Antioxidative and Immunomodulatory Potential of the Endemic French Guiana Wild Cocoa “Guiana”
Abstract
1. Introduction
2. Materials and Methods
2.1. Plant Material
2.2. Extraction Procedure
2.3. Total Polyphenol Contents
2.4. Total Flavonoid Contents
2.5. Evaluation of In Vitro Antioxidant Activity by Chemical Assays
2.5.1. 2,2-Diphenyl-Lpicrylhydrazyl (DPPH) Assay
2.5.2. Ferric Reducing Antioxidant Power (FRAP) Assay
2.5.3. Oxygen Radical Absorbance Capacity (ORAC) Assay
2.6. Evaluation of Immunomodulatory Activity by Cellular Assays
2.6.1. Macrophage Culture
2.6.2. Cell Viability Assay
2.6.3. Dosage of Nitric Oxide (NO)
2.6.4. Cytokine Measurements by ELISA
2.7. Quantification by Reversed-Phase HPLC-DAD Analysis
2.8. Statistical Analysis
3. Results
3.1. Extractions
3.2. Antioxidant Activity
3.3. Polyphenolics and Methylxanthins Quantification
3.4. Immunomodulatory Activities
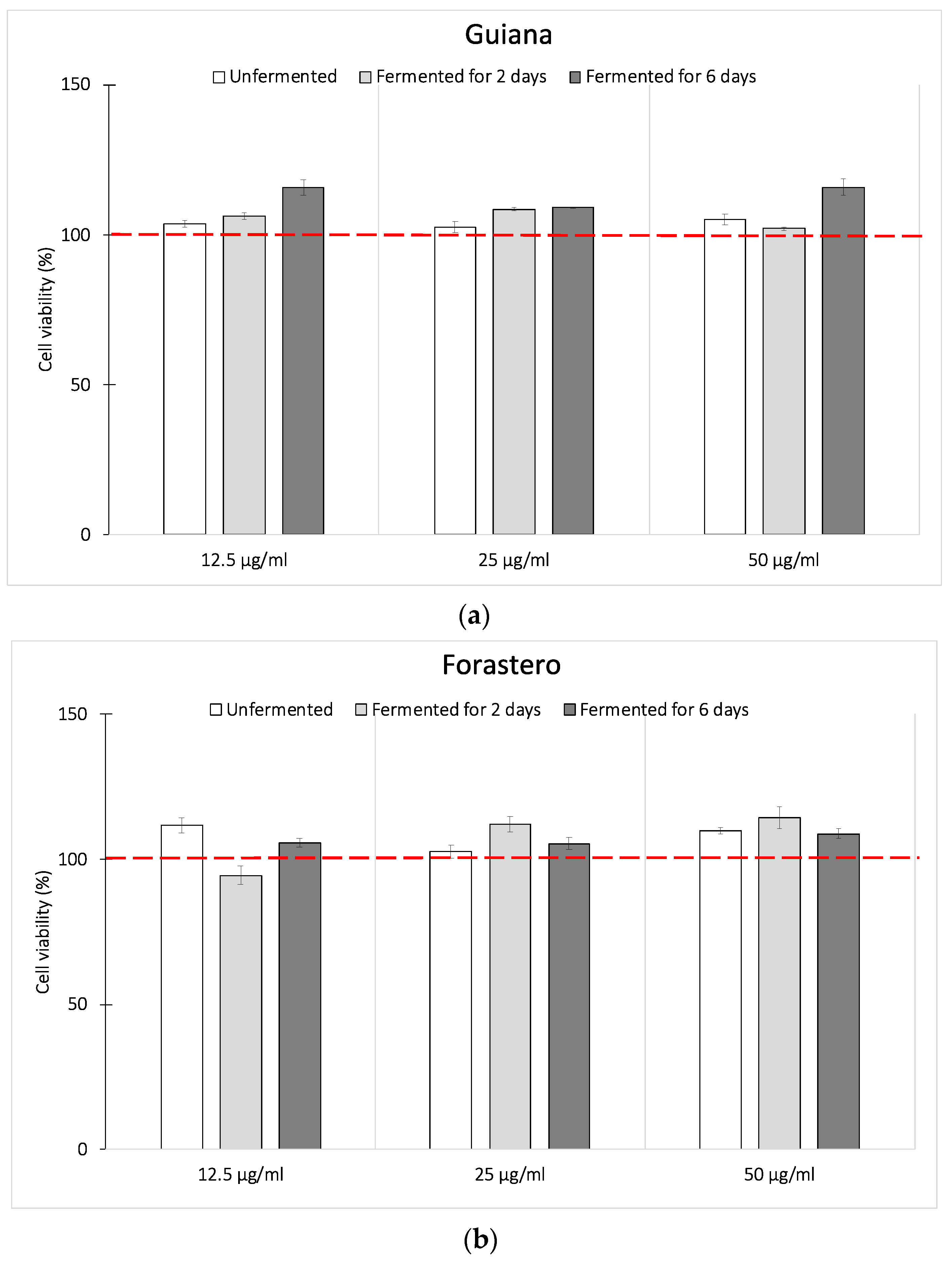
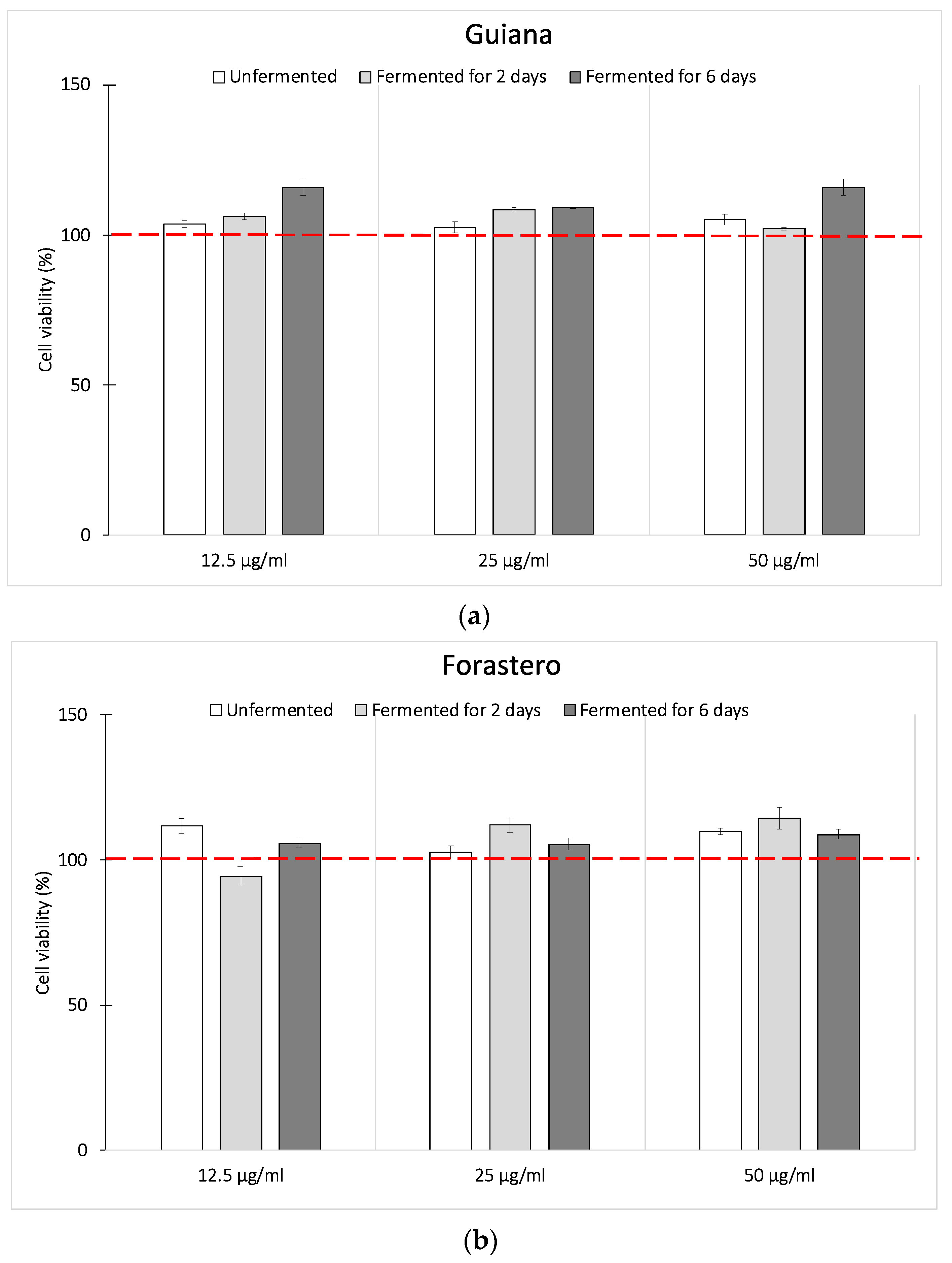
3.4.1. Viability of J774A1 Macrophages
3.4.2. Quantification of Inflammatory Markers
4. Discussion
4.1. Extractions
4.2. Antioxidative Activity
4.3. Polyphenolics and Methylxanthins Quantification
4.4. Immunomodulatory Activities
5. Conclusions
Supplementary Materials
Author Contributions
Funding
Institutional Review Board Statement
Informed Consent Statement
Data Availability Statement
Acknowledgments
Conflicts of Interest
References
- Motamayor, J.C.; Risterucci, A.M.; Lopez, P.A.; Ortiz, C.F.; Moreno, A.; Lanaud, C. Cacao domestication I: The origin of the cacao cultivated by the Mayas. Heredity 2002, 89, 380–386. [Google Scholar] [CrossRef] [PubMed]
- Badrie, N.; Bekele, F.; Sikora, E.; Sikora, M. Cocoa Agronomy, Quality, Nutritional, and Health Aspects. Crit. Rev. Food Sci. Nutr. 2015, 55, 620–659. [Google Scholar] [CrossRef] [PubMed]
- Lachenaud, P.; Bonnot, F.; Oliver, G. Use of floral descriptors to study variability in wild cocoa trees (Theobroma cacao L.) in French Guiana. Genet. Resour. Crop. Evol. 1999, 46, 491–500. [Google Scholar] [CrossRef]
- Lachenaud, P.; Sounigo, O.; Oliver, G. Genetic structure of Guianan wild cocoa (Theobroma cacao L.) described using isozyme electrophoresis. Plant. Genet. Resour. Newsl. 2004, 60, 24–30. [Google Scholar]
- Khan, N.; Motilal, L.A.; Sukha, D.A.; Bekele, F.L.; Iwaro, A.D.; Bidaisee, G.G.; Umaharan, P.; Grierson, L.H.; Zhang, D. Variability of butterfat content in cacao (Theobroma cacao L.): Combination and correlation with other seed-derived traits at the International Cocoa Genebank, Trinidad. Plant. Genet. Resour. 2008, 6, 175–186. [Google Scholar] [CrossRef]
- Steinberg, F.M.; Bearden, M.M.; Keen, C.L. Cocoa and chocolate flavonoids: Implications for cardiovascular health. J. Am. Diet. Assoc. 2003, 103, 215–223. [Google Scholar] [CrossRef]
- Kim, H.; Keeney, P.G. (-)-Epicatechin Content in Fermented and Unfermented Cocoa Beans. J. Food Sci. 1984, 49, 1090–1092. [Google Scholar] [CrossRef]
- Katz, D.L. Cocoa and chocolate in human health and disease. Antioxid. Redox Signal. 2011, 15, 2779–2811. [Google Scholar] [CrossRef]
- Andújar, I.; Recio, M.C.; Giner, R.M.; Ríos, J.L. Cocoa Polyphenols and Their Potential Benefits for Human Health. Oxidative Med. Cell. Longev. 2012, 2012, 1–23. [Google Scholar] [CrossRef]
- Othman, A.; Ismail, A.; Abdul Ghani, N.; Adenan, I. Antioxidant capacity and phenolic content of cocoa beans. Food Chem. 2007, 100, 1523–1530. [Google Scholar] [CrossRef]
- Cádiz-Gurrea, M.L.; Lozano-Sanchez, J.; Contreras-Gámez, M.; Legeai-Mallet, L.; Fernández-Arroyo, S.; Segura-Carretero, A. Isolation, comprehensive characterization and antioxidant activities of Theobroma cacao extract. J. Funct. Foods 2014, 10, 485–498. [Google Scholar] [CrossRef]
- Gültekin-Özgüven, M.; Berktaş, I.; Özçelik, B. Change in stability of procyanidins, antioxidant capacity and in-vitro bioaccessibility during processing of cocoa powder from cocoa beans. Lwt. Food Sci. Technol. 2016, 72, 559–565. [Google Scholar] [CrossRef]
- Vinson, J.A.; Proch, J.; Bose, P.; Muchler, S.; Taffera, P.; Shuta, D.; Samman, N.; Agbor, G.A. Chocolate is a powerful ex vivo and in vivo antioxidant, an antiatherosclerotic agent in an animal model, and a significant contributor to antioxidants in the European and American Diets. J. Agric Food Chem. 2006, 54, 8071–8076. [Google Scholar] [CrossRef]
- Sies, H.; Schewe, T.; Heiss, C.; Kelm, M. Cocoa polyphenols and inflammatory mediators. Am. J. Clin. Nutr. 2005, 81, 304S–312S. [Google Scholar] [CrossRef] [PubMed]
- Ramiro-Puig, E.; Castell, M. Cocoa: Antioxidant and immunomodulator. Br. J. Nutr. 2009, 101, 931. [Google Scholar] [CrossRef] [PubMed]
- Afoakwa, E.O.; Ofosu-Ansah, E.; Budu, A.S.; Mensah-Brown, H.; Takrama, J.F. Roasting effects on phenolic content and free-radical scavenging activities of pulp preconditioned and fermented cocoa (Theobroma cacao) beans. Afr. J. Foodagriculturenutr. Dev. 2015, 15, 9635–9650. [Google Scholar]
- Fowler, M.S.; Coutel, F. Cocoa beans: From tree to factory. In Beckett’s Industrial Chocolate Manufacture and Use; Wiley-Blackwell: Hoboken, NY, USA, 2008; pp. 9–49. ISBN 978-1-118-92359-7. [Google Scholar]
- Suazo, Y.; Davidov-Pardo, G.; Arozarena, I. Effect of Fermentation and Roasting on the Phenolic Concentration and Antioxidant Activity of Cocoa from Nicaragua. J. Food Qual. 2014, 37, 50–56. [Google Scholar] [CrossRef]
- Arnous, A.; Makris, D.P.; Kefalas, P. Correlation of Pigment and Flavanol Content with Antioxidant Properties in Selected Aged Regional Wines from Greece. J. Food Compos. Anal. 2002, 15, 655–665. [Google Scholar] [CrossRef]
- Brand-Williams, W.; Cuvelier, M.E.; Berset, C. Use of a free radical method to evaluate antioxidant activity. Lwt Food Sci. Technol. 1995, 28, 25–30. [Google Scholar] [CrossRef]
- Benzie, I.F.; Strain, J.J. The ferric reducing ability of plasma (FRAP) as a measure of “antioxidant power”: The FRAP assay. Anal. Biochem. 1996, 239, 70–76. [Google Scholar] [CrossRef] [PubMed]
- Morel, S.; Landreau, A.; Nguyen, V.H.; Derbré, S.; Grellier, P.; Pape, P.L.; Pagniez, F.; Litaudon, M.; Richomme, P. Preparative isolation, fast centrifugal partition chromatography purification and biological activity of cajaflavanone from Derris ferruginea stems. Phytochem. Anal. 2012, 23, 152–158. [Google Scholar] [CrossRef]
- Rufino, M.; Pérez-Jiménez, J.; Arranz, S.; Alves, R.; Brito, E.; Oliveira, M.; Saura-Calixto, F. Açaí (Euterpe oleraceae) “BRS Pará”: A tropical fruit source of antioxidant dietary fiber and high antioxidant capacity oil. Food Res. Int. 2011, 44, 2100–2106. [Google Scholar] [CrossRef]
- Assemat, S.; Lachenaud, P.; Ribeyre, F.; Davrieux, F.; Pradon, J.-L.; Cros, E. Bean Quality Traits and Sensory Evaluation of Wild Guianan Cocoa Populations (Theobroma cacao L.). Genet. Resour. Crop. Evol. 2005, 52, 911–917. [Google Scholar] [CrossRef]
- Servent, A.; Boulanger, R.; Davrieux, F.; Pinot, M.-N.; Tardan, E.; Forestier-Chiron, N.; Hue, C. Assessment of cocoa (Theobroma cacao L.) butter content and composition throughout fermentations. Food Res. Int. 2018, 107, 675–682. [Google Scholar] [CrossRef] [PubMed]
- Indiarto, R.; Pranoto, Y.; Santoso, U. Supriyanto In vitro Antioxidant Activity and Profile of Polyphenol Compounds Extracts and their Fractions on Cacao Beans. Pak. J. Biol. Sci. 2019, 22, 34–44. [Google Scholar] [CrossRef] [PubMed]
- Kajdžanoska, M.; Petreska, J.; Stefova, M. Comparison of Different Extraction Solvent Mixtures for Characterization of Phenolic Compounds in Strawberries. J. Agric. Food Chem. 2011, 59, 5272–5278. [Google Scholar] [CrossRef]
- Nsor-Atind, J.; Zhong, F.; Mothibe, K.J.; Bangoura, M.L.; Lagnika, C. Quantification of Total Polyphenolic Content and Antimicrobial Activity of Cocoa (Theobroma cacao L.) Bean Shells. Pak. J. Nutr. 2012, 11, 672–677. [Google Scholar] [CrossRef]
- Barel, M. Qualité du Cacao: L’impact du Traitement Post-Recolte; Editions Quae: Paris, France, 2013; ISBN 978-2-7592-2052-6. [Google Scholar]
- Zapata Bustamante, S.; Tamayo Tenorio, A.; Alberto Rojano, B. Efecto de la fermentación sobre la actividad antioxidante de diferentes clones de cacao colombiano. Rev. Cuba. De Plantas Med. 2013, 18, 391–404. [Google Scholar]
- Batista, N.N.; de Andrade, D.P.; Ramos, C.L.; Dias, D.R.; Schwan, R.F. Antioxidant capacity of cocoa beans and chocolate assessed by FTIR. Food Res. Int. 2016, 90, 313–319. [Google Scholar] [CrossRef] [PubMed]
- Carrillo, L.C.; Londoño-Londoño, J.; Gil, A. Comparison of polyphenol, methylxanthines and antioxidant activity in Theobroma cacao beans from different cocoa-growing areas in Colombia. Food Res. Int. 2014, 60, 273–280. [Google Scholar] [CrossRef]
- Abdul Karim, A.; Azlan, A.; Ismail, A.; Hashim, P.; Abd Gani, S.S.; Zainudin, B.H.; Abdullah, N.A. Phenolic composition, antioxidant, anti-wrinkles and tyrosinase inhibitory activities of cocoa pod extract. BMC Complementary Altern. Med. 2014, 14, 381. [Google Scholar] [CrossRef] [PubMed]
- Pokorná, J.; Venskutonis, P.R.; Kraujalyte, V.; Kraujalis, P.; Dvořák, P.; Tremlová, B.; Kopřiva, V.; Ošťádalová, M. Comparison of different methods of antioxidant activity evaluation of green and roast C. Arabica and C. Robusta coffee beans. Acta Aliment. 2015, 44, 454–460. [Google Scholar] [CrossRef]
- Patay, É.B.; Sali, N.; Kőszegi, T.; Csepregi, R.; Balázs, V.L.; Németh, T.S.; Németh, T.; Papp, N. Antioxidant potential, tannin and polyphenol contents of seed and pericarp of three Coffea species. Asian Pac. J. Trop. Med. 2016, 9, 366–371. [Google Scholar] [CrossRef] [PubMed]
- Ramalakshmi, K.; Rao, L.J.M.; Takano-Ishikawa, Y.; Goto, M. Bioactivities of low-grade green coffee and spent coffee in different in vitro model systems. Food Chem. 2009, 115, 79–85. [Google Scholar] [CrossRef]
- Todorovic, V.; Redovnikovic, I.R.; Todorovic, Z.; Jankovic, G.; Dodevska, M.; Sobajic, S. Polyphenols, methylxanthines, and antioxidant capacity of chocolates produced in Serbia. J. Food Compos. Anal. 2015, 41, 137–143. [Google Scholar] [CrossRef]
- Santander Muñoz, M.; Rodríguez Cortina, J.; Vaillant, F.E.; Escobar Parra, S. An overview of the physical and biochemical transformation of cocoa seeds to beans and to chocolate: Flavor formation. Crit. Rev. Food Sci. Nutr. 2020, 60, 1593–1613. [Google Scholar] [CrossRef] [PubMed]
- Pallares Pallares, A.; Estupiñán, A.M.R.; Perea Villamil, J.A.; López Giraldo, L.J.; Pallares Pallares, A.; Perea Villamil, J.A.; López Giraldo, L.J. Impact of fermentation and drying in polyphenol content and antioxidant capacity of cocoa variety CCN-51. Rev. Ion. 2016, 29, 7–21. [Google Scholar] [CrossRef]
- Hernández-Hernández, C.; Viera-Alcaide, I.; Morales-Sillero, A.M.; Fernández-Bolaños, J.; Rodríguez-Gutiérrez, G. Bioactive compounds in Mexican genotypes of cocoa cotyledon and husk. Food Chem. 2018, 240, 831–839. [Google Scholar] [CrossRef] [PubMed]
- Febrianto, N.A.; Zhu, F. Diversity in Composition of Bioactive Compounds among 26 Cocoa Genotypes. J. Agric. Food Chem. 2019, 67, 9501–9509. [Google Scholar] [CrossRef]
- Rusconi, M.; Conti, A. Theobroma cacao L., the Food of the Gods: A scientific approach beyond myths and claims. Pharmacol. Res. 2010, 61, 5–13. [Google Scholar] [CrossRef] [PubMed]
- Lachenaud, P.; Paulin, D.; Ducamp, M.; Thevenin, J.-M. Twenty years of agronomic evaluation of wild cocoa trees (Theobroma cacao L.) from French Guiana. Sci. Hortic. 2007, 113, 313–321. [Google Scholar] [CrossRef]
- Bordiga, M.; Locatelli, M.; Travaglia, F.; Coïsson, J.D.; Mazza, G.; Arlorio, M. Evaluation of the effect of processing on cocoa polyphenols: Antiradical activity, anthocyanins and procyanidins profiling from raw beans to chocolate. Int. J. Food Sci. Technol. 2015, 50, 840–848. [Google Scholar] [CrossRef]
- Camu, N.; Winter, T.D.; Addo, S.K.; Takrama, J.S.; Bernaert, H.; Vuyst, L.D. Fermentation of cocoa beans: Influence of microbial activities and polyphenol concentrations on the flavour of chocolate. J. Sci. Food Agric. 2008, 88, 2288–2297. [Google Scholar] [CrossRef]
- De Taeye, C.; Kankolongo Cibaka, M.-L.; Jerkovic, V.; Collin, S. Degradation of (−)-Epicatechin and Procyanidin B2 in Aqueous and Lipidic Model Systems. First Evidence of “Chemical” Flavan-3-ol Oligomers in Processed Cocoa. J. Agric. Food Chem. 2014, 62, 9002–9016. [Google Scholar] [CrossRef]
- Ramiro, E.; Franch, À.; Castellote, C.; Pérez-Cano, F.; Permanyer, J.; Izquierdo-Pulido, M.; Castell, M. Flavonoids from Theobroma cacao Down-Regulate Inflammatory Mediators. J. Agric. Food Chem. 2005, 53, 8506–8511. [Google Scholar] [CrossRef] [PubMed]
- Mao, T.K.; van de Water, J.; Keen, C.L.; Schmitz, H.H.; Gershwin, M.E. Modulation of TNF-α Secretion in Peripheral Blood Mononuclear Cells by Cocoa Flavanols and Procyanidins. Available online: https://www.hindawi.com/journals/jir/2002/541495/abs/ (accessed on 18 December 2018).
- Kenny, T.P.; Keen, C.L.; Schmitz, H.H.; Gershwin, M.E. Immune Effects of Cocoa Procyanidin Oligomers on Peripheral Blood Mononuclear Cells. Exp. Biol. Med. 2007, 232, 293–300. [Google Scholar] [CrossRef]
- Urban, J.L.; Shepard, H.M.; Rothstein, J.L.; Sugarman, B.J.; Schreiber, H. Tumor necrosis factor: A potent effector molecule for tumor cell killing by activated macrophages. Proc. Natl. Acad. Sci. USA 1986, 83, 5233–5237. [Google Scholar] [CrossRef] [PubMed]
- van Horssen, R.; Ten Hagen, T.L.M.; Eggermont, A.M.M. TNF-alpha in cancer treatment: Molecular insights, antitumor effects, and clinical utility. Oncologist 2006, 11, 397–408. [Google Scholar] [CrossRef]
- Zeng, H.; Locatelli, M.; Bardelli, C.; Amoruso, A.; Coisson, J.D.; Travaglia, F.; Arlorio, M.; Brunelleschi, S. Anti-inflammatory Properties of Clovamide and Theobroma cacao Phenolic Extracts in Human Monocytes: Evaluation of Respiratory Burst, Cytokine Release, NF-κB Activation, and PPARγ Modulation. J. Agric. Food Chem. 2011, 59, 5342–5350. [Google Scholar] [CrossRef]
- Wang, H.; Cao, Z. Anti-inflammatory Effects of (-)-Epicatechin in Lipopolysaccharide-Stimulated Raw 264.7 Macrophages. Trop. J. Pharm. Res. 2014, 13, 1415–1419. [Google Scholar] [CrossRef]
- Yimin; Kohanawa, M. A Regulatory Effect of the Balance between TNF-α and IL-6 in the Granulomatous and Inflammatory Response to Rhodococcus aurantiacus Infection in Mice. J. Immunol. 2006, 177, 642–650. [Google Scholar] [CrossRef] [PubMed]
- Diao, H.; Kohanawa, M. Endogenous Interleukin-6 Plays a Crucial Protective Role in Streptococcal Toxic Shock Syndrome via Suppression of Tumor Necrosis Factor Alpha Production. Infect. Immun. 2005, 73, 3745–3748. [Google Scholar] [CrossRef] [PubMed]
- Yahfoufi, N.; Alsadi, N.; Jambi, M.; Matar, C. The Immunomodulatory and Anti-Inflammatory Role of Polyphenols. Nutrients 2018, 10, 1618. [Google Scholar] [CrossRef] [PubMed]





| TPC (mg GAE/g DM) | TFC (μg CE/g DM) | DPPH (μmol TE/g DM) | FRAP (μmol Fe2+/g DM) | ORAC (μM TE/g DM) | |||
|---|---|---|---|---|---|---|---|
| Guiana | Unfermented | 41 ± 0.8 a | 309 ± 10.1 a,c | 295 ± 17.9 a,c | 685 ± 48.5 a,d | 1097 ± 111.8 a | |
| Fermented (days) | 2 | 35 ± 0.9 b,f | 290 ± 10.6 a,d | 247 ± 10.5 b | 613 ± 44.6 a | 1059 ± 54.9 a | |
| 4 | 38 ± 3.8 a,b,g | 312 ± 18.0 a | 256 ± 16.5 b | 534 ± 28.5 b | 983 ± 97.3 a,b | ||
| 6 | 28 ± 1.7 c | 148 ± 7.2 b,d,g | 221 ± 17.5 b,e | 450 ± 25.6 c | 848 ± 48.3 b | ||
| Forastero | Unfermented | 46 ± 1.2 d | 307 ± 4.7 c,e | 329 ± 42.4 c,d | 827 ± 73.1 d,e | 839 ± 67.8 c,d | |
| Fermented (days) | 2 | 52 ± 2.1 e | 329 ± 8.5 e | 351 ± 2.5 d | 987 ± 26.6 c | 1133 ± 22.5 e | |
| 4 | 42 ± 1.5 a | 233 ± 16.5 f | 293 ± 17.1 d | 754 ± 58 e | 860 ± 93.4 d | ||
| 6 | 37 ± 2.0 f,g | 133 ± 4.2 g | 247 ± 22.7 e | 575 ± 6.8 f | 696 ± 43.9 f |
| Compound | Guiana | Forastero | ||
|---|---|---|---|---|
| Unfermented (mg/100 g DM) | Fermented for 6 days (mg/100 g DM) | Unfermented (mg/100 g DM) | Fermented for 6 days (mg/100 g DM) | |
| Theobromine | 1180 ± 33.0 a,1 | 968 ± 207.8 a | 1005 ± 84.3 b,2 | 921 ± 51.7 b |
| Caffeine | 160 ± 13.7 a,1 | 116 ± 14.9 b | 315 ± 44.9 c,2 | 204 ± 23.0 d |
| Epicatechin | 614 ± 39.3 a,1 | 332 ± 29.0 b | 641 ± 66.1 c,1 | 257 ± 9.3 d |
| Procyanidin A1 | 36 ± 4.0 a,1 | 15 ± 0.7 b | 20 ± 2.4 c,1 | 13 ± 1.9 d |
| Procyanidin A2 | 39 ± 3.1 a,1 | 24 ± 2.8 b | 32 ± 4.9 c,1 | 28 ± 1.7 c |
| Procyanidin B2 | 254 ± 14.8 a,1 | 130 ± 20.7 b | 263 ± 17.7 c,1 | 125 ± 12.6 d |
| Procyanidin C1 | 178 ± 23.5 a,1 | 82 ± 2.9 b | 182 ± 25.8 c,1 | 78 ± 11.4 d |
Publisher’s Note: MDPI stays neutral with regard to jurisdictional claims in published maps and institutional affiliations. |
© 2021 by the authors. Licensee MDPI, Basel, Switzerland. This article is an open access article distributed under the terms and conditions of the Creative Commons Attribution (CC BY) license (http://creativecommons.org/licenses/by/4.0/).
Share and Cite
Jean-Marie, E.; Bereau, D.; Poucheret, P.; Guzman, C.; Boudard, F.; Robinson, J.-C. Antioxidative and Immunomodulatory Potential of the Endemic French Guiana Wild Cocoa “Guiana”. Foods 2021, 10, 522. https://doi.org/10.3390/foods10030522
Jean-Marie E, Bereau D, Poucheret P, Guzman C, Boudard F, Robinson J-C. Antioxidative and Immunomodulatory Potential of the Endemic French Guiana Wild Cocoa “Guiana”. Foods. 2021; 10(3):522. https://doi.org/10.3390/foods10030522
Chicago/Turabian StyleJean-Marie, Elodie, Didier Bereau, Patrick Poucheret, Caroline Guzman, Frederic Boudard, and Jean-Charles Robinson. 2021. "Antioxidative and Immunomodulatory Potential of the Endemic French Guiana Wild Cocoa “Guiana”" Foods 10, no. 3: 522. https://doi.org/10.3390/foods10030522
APA StyleJean-Marie, E., Bereau, D., Poucheret, P., Guzman, C., Boudard, F., & Robinson, J.-C. (2021). Antioxidative and Immunomodulatory Potential of the Endemic French Guiana Wild Cocoa “Guiana”. Foods, 10(3), 522. https://doi.org/10.3390/foods10030522

