Bioactive Compounds in Salicornia patula Duval-Jouve: A Mediterranean Edible Euhalophyte
Abstract
1. Introduction
2. Materials and Methods
2.1. Preparation of the Methanol Extract
2.2. Total Phenolic Compounds (TPC)
2.3. Liquid Chromatography–Mass Spectrometry (LC–MS)
2.4. Electrospray Ionization Mass Spectometry (LC–ESI-MS/MS)
2.5. Statistical Analysis
3. Results
3.1. Total Phenolic Compounds (TPC)
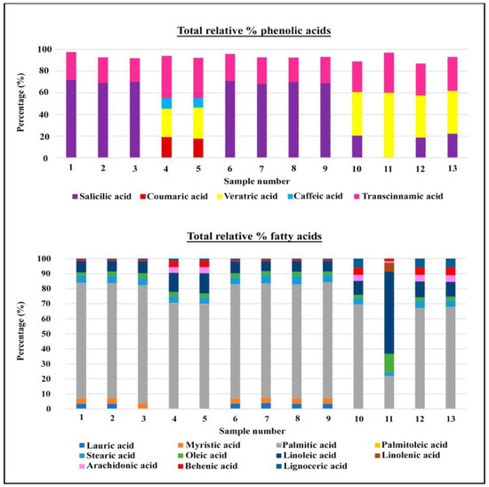
3.2. Phenolic Acids
3.3. Flavonoids
3.4. Fatty Acids
4. Discussion
4.1. Phenolic Compounds
4.2. Phenolic Acids
4.3. Flavonoids
4.4. Fatty Acids
5. Conclusions
Author Contributions
Funding
Data Availability Statement
Acknowledgments
Conflicts of Interest
Appendix A. Tentative Flavonoid Compounds Identified in Salicornia patula Extracts

References
- Boscaiu, M.; Vicente, O. Halophytic crops for a salinising world. Bulletin University Agricultural Sciences Veterinary Medicine Cluj-Napoca. Horticulture 2013, 70, 1–9. [Google Scholar] [CrossRef]
- Gasparri, R.; Casavecchia, S.; Galiè, M.; Pesaresi, S.; Soriano, P.; Estrelles, E.; Biondi, E. Germination pattern of Salicornia patula as an adaptation to environmental conditions of the specific populations. Plant Sociol. 2016, 53, 91–104. [Google Scholar] [CrossRef]
- Sánchez-Gavilán, I.; Rufo, L.; Rodríguez, N.; Fuente, V. On the elemental composition of the Mediterranean euhalophyte Salicornia patula Duval-Jouve (Chenopodiaceae) from saline habitats in Spain (Huelva, Toledo and Zamora). Environ. Sci. Pollut. Res. 2020. [Google Scholar] [CrossRef] [PubMed]
- Fuente, V.; Rufo, L.; Rodríguez, N.; Amils, R.; Zuluaga, J. Metal accumulation screening of the Río Tinto flora (Huelva, Spain). Biol. Trace Elem Rese 2010, 134, 318–341. [Google Scholar] [CrossRef] [PubMed]
- Cory, H.; Passarelli, S.; Szeto, J.; Tamez, M.; Mattei, J. The role of polyphenols in human health and food systems: A mini review. Front Nutr. 2018, 5, 87. [Google Scholar] [CrossRef] [PubMed]
- Loconsole, D.; Cristiano, G.; De Lucia, B. Glassworts: From Wild Salt Marsh Species to Sustainable Edible Crops. Agriculture 2019, 9, 14. [Google Scholar] [CrossRef]
- Roshandel, P.; Shamsi, F. Analysis of oilseed of Halophytic species: Atriplex griffithii, Haloxylon ammodendron, Salicornia europaea, Salsola yazdiana. J. Adv. Lab Res. Biol. 2015, 6, 83–88. [Google Scholar]
- Kadereit, G.; Ball, P.; Beer, S.; Mucina, L.; Sokoloff, D.; Teege, P.; Yaprak, A.E.; Freitag, H.A. A taxonomic nightmare comes true: Phylogeny and biogeography of glassworts (Salicornia L., Chenopodiaceae). Taxon 2007, 56, 1143–1170. [Google Scholar] [CrossRef]
- Cámara, M.; Fernández-Ruiz, V.; Ruiz-Rodríguez, B.M. Wild Edible Plants as Sources of Carotenoids, Fibre, Phenolics and Other Non-Nutrient Bioactive Compounds. In Mediterranean Wild Edible Plants. Ethnobotany and Food Composition Tables; Sánchez-Mata, M.C., Tardío, J., Eds.; Springer: Cham, Switzerland, 2016; pp. 187–205. [Google Scholar]
- Urbano, M.; Tomaselli, V.; Bisignano, V.; Veronico, G.; Hammer, K.; Laghetti, G. Salicornia patula Duval- Jouve: From gathering of wild plants to some attempts of cultivation in Apulia region (southern Italy). Genet Resour Crop Evol. 2017, 64, 1465–1472. [Google Scholar] [CrossRef]
- Slinkard, K.; Singleton, V.L. Total phenol analysis: Automation and comparison with manual methods. Am. J. Enol. Vitic. 1977, 28, 49–55. [Google Scholar]
- Andrés-Lacueva, C.; Medina-Remón, A.; Llorach, R.; Urpi-Sarda, M.; Khan, N.; Chiva-Blanch, G.; Zamora-Ros, R.; Rotches-Ribalta, M.; Lamuela-Raventos, R.M. Phenolic compounds: Chemistry and occurrence in fruits and vegetables. In Fruit and Vegetable Phytochemicals: Chemistry, Nutritional Value and Stability; De la Rosa, L., Alvarez-Parrilla, E., Gonzalez-Aguilar, G.A., Eds.; John Wiley and Sons: Oxford, UK, 2010; pp. 53–88. [Google Scholar]
- Grigore, M.N.; Oprica, L. Halophytes as possible source of antioxidant compounds, in a scenario based on threatened agriculture and food crisis. Iran J. Public Health 2015, 44, 1153. [Google Scholar]
- Zengin, G.; Aumeeruddy-Elalfi, Z.; Mollica, A.; Yilmaz, M.A.; Mahomoodally, M.F. In vitro and in silico perspectives on biological and phytochemical profile of three halophyte species—A source of innovative phytopharmaceuticals from nature. Phytomedicine 2018, 38, 35–44. [Google Scholar] [CrossRef]
- Nikalje, G.C.; Nikam, T.D.; Suprasanna, P. Looking at Halophytic Adaptation to High Salinity through Genomics Landscape. Curr. Genom. 2017, 18, 542–552. [Google Scholar] [CrossRef] [PubMed]
- Essaidi, I.; Brahmi, Z.; Snoussi, A.; Koubaier, H.B.H.; Casabianca, H.; Abe, N.; El Ormi, A.; Chaabouni, M.M.; Bouzouita, N. Phytochemical investigation of Tunisian Salicornia herbacea L., antioxidant, antimicrobial and cytochrome P450 (CYPs) inhibitory activities of its methanol extract. Food Control 2013, 32, 125–133. [Google Scholar] [CrossRef]
- Miura, K.; Tada, Y. Regulation of water, salinity, and cold stress responses by salicylic acid. Front Plant Sci. 2014, 5, 4. [Google Scholar] [CrossRef]
- Friedman, M.; Jürgens, H.S. Effect of pH on the stability of plant phenolic compounds. J. Agric. Food Chem. 2000, 48, 2101–2110. [Google Scholar] [CrossRef]
- Patra, A.K. An overview of antimicrobial properties of different classes of phytochemicals. In Dietary Phytochemicals and Microbes; Springer: Dordrecht, The Netherlands, 2012; pp. 1–32. [Google Scholar]
- D’Archivio, M.; Filesi, C.; Varì, R.; Scazzocchio, B.; Masella, R. Bioavailability of the Polyphenols: Status and Controversias. Int. J. Mol. Sci. 2010, 11, 1321–1342. [Google Scholar] [CrossRef]
- Castañeda-Loaiza, V.; Oliveira, M.; Santos, T.; Schüler, L.; Lima, A.R.; Gama, F.; Salazar, M.; Neng, N.; Nogueira, J.M.F.; Varela, J.; et al. Wild vs. cultivated halophytes: Nutritional and functional differences. Food Chem. 2020, 333, 127536. [Google Scholar] [CrossRef]
- Chekroun-Bechlaghem, N.; Belyagoubi-Benhammou, N.; Belyagoubi, L.; Gismondi, A.; Nanni, V.; Di Marco, G.; Atik Bekkara, F. Phytochemical analysis and antioxidant activity of Tamarix africana, Arthrocnemum macrostachyum and Suaeda fruticosa, three halophyte species from Algeria. Plant Biosyst. 2019, 153, 843–885. [Google Scholar] [CrossRef]
- Barreira, L.; Resek, E.; Rodrigues, M.J.; Rocha, M.I.; Pereira, H.; Bandarra, N.; Moreira da Silva, M.; Varela, J.; Custódio, L. Halophytes: Gourmet food with nutritional health benefits? J. Food Comp. Anal. 2017, 59, 35–42. [Google Scholar] [CrossRef]
- El-Araby, R.; Rezk, A.I.; El-Enin, S.A.; Nofal, O.A.; El-Nasharty, A.B. Comparative evaluation of Salicornia bigelovii oil planted under different treatments. Bull. Nat. Rese Cent 2020, 44, 1–10. [Google Scholar] [CrossRef]
- Maatallah Zaier, M.; Ciudad-Mulero, M.; Cámara, M.; Pereira, C.; Ferreira, I.; Achour, L.; Kacem, A. Revalorization of Tunisian wild Amaranthaceae halophytes: Nutritional composition variation in two different phenotypes stages. J. Food Comp. Anal. 2020, 89, 103463. [Google Scholar] [CrossRef]
- Isca, V.M.; Seca, A.M.; Pinto, D.C.; Silva, H.; Silva, A.M. Lipophilic profile of the edible halophyte Salicornia ramosissima. Food Chem. 2014, 165, 330–336. [Google Scholar] [CrossRef] [PubMed]
- Patel, M.K.; Pandey, S.; Brahmbhatt, H.R.; Mishra, A.; Jha, B. Lipid content and fatty acid profile of selected halophytic plants reveal a promising source of renewable energy. Biomass Bioenergy 2019, 124, 25–32. [Google Scholar] [CrossRef]
- Margină, D.; Ungurianu, A.; Purdel, C.; Nitulescu, G.M.; Tsoukalas, D.; Sarandi, E.; Thanasoula, M.; Burykina, T.I.; Tekos, F.; Buha, A.; et al. Analysis of the intricate effects of polyunsaturated fatty acids and polyphenols on inflammatory pathways in health and disease. Food Chem. Toxicol. 2020, 111558. [Google Scholar] [CrossRef]



| ID | Geographical Location and Collection Date | Latitude/Longitude |
|---|---|---|
| 1 | Spain, Huelva, La Rábida, Tinto river, 24 October 2017 | 37.21295617/−6.93198742 |
| 2 | Spain, Huelva, La Rábida, Tinto river, 24 October 2017 | 37.21295617/−6.93198742 |
| 3 | Spain, Huelva, La Rábida, Tinto river, 24 October 2017 | 37.21295617/−6.93198742 |
| 4 | Spain, Huelva, Moguer, Odiel river, 02 December 2009 | 37.29613488/−7.05380284 |
| 5 | Spain, Huelva, El Terrón, Piedras river, 19 September 2007 | 37.19231363/−7.33811922 |
| 6 | Spain, Huelva, San Juan del Puerto, Tinto river, 11 May 2003 | 37.30121786/−6.82803804 |
| 7 | Spain, Huelva, Tinto river estuary, 15 December 2017 | 37.21315236/−6.9432506 |
| 8 | Spain, Huelva, Tinto river estuary, 15 December 2017 | 37.21315236/−6.9432506 |
| 9 | Spain, Huelva, Tinto river estuary, 15 December 2017 | 37.21315236/−6.9432506 |
| 10 | Spain, Valladolid, Aldeamayor de San Martín, 22 October 2017 | 41.50816286/−4.65960225 |
| 11 | Spain, Valladolid, Aldeamayor de San Martín, 22 October 2017 | 41.50816286/−4.65960225 |
| 12 | Spain, Madrid, Colmenar de Oreja, 10 November 2017 | 40.1379148/−3.5709978 |
| 13 | Spain, Madrid, Colmenar de Oreja, 10 November 2017 | 40.1379148/−3.5709978 |
| Gallic Acid Curve | Concentration (mM) | Concentration (mg/mL) | ABS | ABS | ABS |
|---|---|---|---|---|---|
| Control | 0 | 0.00 | 0.000 | 0.000 | 0.000 |
| 1 | 0.05 | 0.01 | 0.085 | 0.087 | 0.089 |
| 2 | 0.1 | 0.02 | 0.178 | 0.178 | 0.176 |
| 3 | 0.2 | 0.03 | 0.331 | 0.331 | 0.329 |
| 4 | 0.3 | 0.05 | 0.564 | 0.566 | 0.578 |
| 5 | 0.4 | 0.07 | 0.713 | 0.703 | 0.709 |
| 6 | 0.5 | 0.09 | 0.904 | 0.911 | 0.907 |
| 7 | 0.6 | 0.10 | 1.091 | 1.082 | 1.094 |
| ID | Sample Weight | TPC | SD | Material Conservation |
|---|---|---|---|---|
| 1 | 0.581 g | 3.128 mg GA/g plant a | 0.123 | Fresh material |
| 2 | 0.590 g | 4.209 mg GA/g plant a | 0.154 | Dry material |
| 3 | 0.540 g | 4.086 mg GA/g plant a | 0.027 | Frozen material |
| 4 | 0.524 g | 3.171 mg GA/g plant a | 0.173 | Dry material |
| 5 | 0.565 g | 3.143 mg GA/g plant a | 0.078 | Dry material |
| 6 | 0.531 g | 3.428 mg GA/g plant b | 1.270 | Dry material |
| 7 | 0.581 g | 1.372 mg GA/g plant a | 0.020 | Fresh material |
| 8 | 0.572 g | 2.989 mg GA/g plant a | 0.893 | Dry material |
| 9 | 0.581 g | 2.530 mg GA/g plant a | 0.118 | Frozen material |
| 10 | 0.584 g | 4.091 mg GA/g plant a | 0.124 | Dry material |
| 11 | 0.595 g | 2.117 mg GA/g plant a | 0.027 | Fresh material |
| 12 | 0.514 g | 1.313 mg GA/g plant a | 0.011 | Fresh material |
| 13 | 0.591 g | 4.172 mg GA/g plant a | 0.122 | Dry material |
| ID | Coumaric Acid | Salycilic Acid | Veratric Acid | Caffeic Acid | Transcinnamic Acid |
|---|---|---|---|---|---|
| 1 | nd | 72.04 (0.02) | nd | nd | 25.60 (0.05) |
| 2 | nd | 69.30 (0.01) | nd | nd | 23.45 (0.04) |
| 3 | nd | 70.08 (0.01) | nd | nd | 21.90 (0.02) |
| 4 | 19.07 (0.06) | nd | 26.06 (0.02) | 9.88 (0.02) | 39.08 (0.11) |
| 5 | 17.76 (0.05) | nd | 28.66 (0.01) | 8.70 (0.00) | 37.12 (0.01) |
| 6 | nd | 71.08 (0.04) | nd | nd | 24.68 (0.01) |
| 7 | nd | 68.12 (0.11) | nd | nd | 24.50 (0.09) |
| 8 | nd | 70.22 (0.05) | nd | nd | 22.21 (0.04) |
| 9 | nd | 69.04 (0.06) | nd | nd | 24.02 (0.03) |
| 10 | nd | 20.46 (0.01) | 40.16 (0.02) | nd | 28.33 (0.03) |
| 11 | nd | nd | 59.98 (0.02) | nd | 37.12 (0.01) |
| 12 | nd | 8.69 (0.02) | 38.77 (0.01) | nd | 29.50 (0.05) |
| 13 | nd | 22.31 (0.01) | 39.44 (0.02) | nd | 31.41 (0.01) |
| Flavonoid Compound | Experimental Mass M-H m/z | MS/MS (m/z) |
|---|---|---|
| Quercetin-3-O-rutinoside (rutin) | 610 | 609–610 |
| Apigenin-7-glucoside | 433 | 433 |
| Kaempferol/Luteolin | 287 | 285–286 |
| Pelargonidin-3-O-rutinoside | 580 | 577–579 |
| Retention Time (min) | Tentative Identity of Flavonoids | 1 | 2 | 3 | 4 | 5 | 6 | 7 | 8 | 9 | 10 | 11 | 12 | 13 |
|---|---|---|---|---|---|---|---|---|---|---|---|---|---|---|
| 16 | Luteolin/Kaempferol | +++ | +++ | +++ | +++ | +++ | ||||||||
| 17.6 | Luteolin/Kaempferol | +++ | +++ | +++ | +++ | +++ | ||||||||
| 19 | Luteolin/Kaempferol | +++ | +++ | +++ | +++ | +++ | ||||||||
| 21.3 | Apigenin-7-glucoside | +++ | +++ | +++ | +++ | +++ | +++ | +++ | +++ | +++ | +++ | |||
| 21.9 | Pelargonidin-3-O-rutinoside | +++ | +++ | +++ | +++ | +++ | ||||||||
| 23.6 | Luteolin/Kaempferol | +++ | +++ | +++ | +++ | +++ | ||||||||
| 25.5 | Rutin | +++ | +++ | +++ | +++ | +++ | +++ | +++ | +++ | +++ | +++ | +++ | +++ | +++ |
| 26 | Luteolin/kaempferol | +++ | +++ | +++ | +++ | +++ | ||||||||
| 27.6 | Apigenin-7-glucoside | +++ | +++ | +++ | +++ | +++ | +++ | +++ | +++ | +++ | +++ | +++ | +++ | +++ |
| 27.8 | Pelargonidin-3-O-rutinoside | +++ | +++ | +++ | +++ | +++ | ||||||||
| 28 | Rutin | +++ | +++ | +++ | +++ | +++ | +++ | +++ | +++ | +++ | +++ | +++ | +++ | +++ |
| 28.8 | Luteolin/Kaempferol | +++ | +++ | +++ | +++ | +++ | ||||||||
| 29.1 | Luteolin/Kaempferol | +++ | +++ | +++ | +++ | +++ | ||||||||
| 29.5 | Luteolin/Kaempferol | +++ | +++ | +++ | +++ | +++ | ||||||||
| 31.1 | Pelargonidin-3-O-rutinoside | +++ | +++ | +++ | +++ | +++ | ||||||||
| 31.4 | Rutin | +++ | +++ | +++ | +++ | +++ | +++ | +++ | +++ | +++ | +++ | +++ | +++ | +++ |
| 37.4 | Apigenin-7-glucoside | +++ | +++ | +++ | +++ | +++ | +++ | +++ | +++ | +++ | +++ | +++ | +++ | +++ |
| 39.5 | Luteolin/Kaempferol | +++ | +++ | +++ | +++ | +++ | ||||||||
| 42.5 | Apigenin-7-glucoside | +++ | +++ | +++ | +++ | +++ | +++ | +++ | +++ | +++ | +++ | +++ | +++ | +++ |
| 44.8 | Pelargonidin 3-O-rutinoside | +++ | +++ | +++ | +++ | +++ | ||||||||
| 47.8 | Pelargonidin-3-O-rutinoside | +++ | +++ | +++ | +++ | +++ |
| ID | Lauric Acid (C12:0) | Myristic Acid (C14:0) | Palmitic Acid (C16:0) | Palmitoleic Acid (C16:1) | Stearic Acid (C18:0) | Oleic Acid (C18:1) | Linoleic Acid (C18:2) | Linolenic Acid (C18:3) | Arachidonic Acid (C20:0) | Behenic Acid (C22:0) | Lignoceric Acid (C24:0) | TOTAL SFAs | TOTAL MUFAs | TOTA PUFAs |
|---|---|---|---|---|---|---|---|---|---|---|---|---|---|---|
| 1 | 3.22 (0.05) | 3.35 (0.07) | 70.45 (0.62) | nd | 4.12 (0.07) | 2.17 (0.02) | 6.88 (0.02) | nd | nd | 0.77 (0.01) | 0.71 (0.00) | 82.82 | 2.17 | 6.88 |
| 2 | 3.28 (0.06) | 3.42 (0.08) | 72.96 (0.77) | nd | 4.44 (0.11) | 2.82 (0.01) | 6.75 (0.04) | nd | nd | 0.75 (0.01) | 0.69 (0.02) | 85.54 | 2.82 | 6.75 |
| 3 | nd | 3.31 (0.09) | 69.66 (0.31) | nd | 4.05 (0.06) | 3.09 (0.09) | 7.02 (0.07) | nd | nd | 0.78 (0.01) | 0.72 (0.01) | 78.52 | 3.09 | 2.02 |
| 4 | nd | nd | 71.20 (0.28) | 0.17 (0.00) | 4.61 (0.12) | 2.88 (0.23) | 12.90 (0.01) | nd | 3.92 (0.01) | 4.31 (0.11) | 1.35 (0.01) | 85.39 | 3.05 | 12.90 |
| 5 | nd | nd | 69.30 (0.33) | 0.18 (0.01) | 4.28 (0.03) | 2.66 (0.12) | 13.33 (0.04) | nd | 4.08(0.02) | 4.38 (0.05) | 1.21 (0.00) | 83.25 | 2.84 | 13.33 |
| 6 | 3.25 (0.01) | 3.33 (0.11) | 70.43 (0.55) | nd | 4.23 (0.09) | 2.55 (0.05) | 7.11 (0.05) | nd | nd | 0.81 (0.02) | 0.98 (0.01) | 83.03 | 2.55 | 7.11 |
| 7 | 3.72 (0.00) | 3.41 (0.09) | 71.08 (0.26) | nd | 5.02 (0.08) | 2.42 (0.07) | 6.42 (0.04) | nd | nd | 0.73 (0.02) | 0.66 (0.01) | 84.60 | 2.42 | 6.42 |
| 8 | 3.31 (0.02) | 3.37 (0.02) | 71.41 (0.32) | nd | 4.87 (0.09) | 3.01 (0.11) | 6.77 (0.02) | nd | nd | 0.73 (0.01) | 0.66 (0.01) | 84.35 | 3.01 | 6.77 |
| 9 | 3.33 (0.07) | 3.44 (0.06) | 72.50 (0.22) | nd | 4.56 (0.04) | 2.12 (0.05) | 6.70 (0.01) | nd | nd | 0.71 (0.01) | 0.70 (0.02) | 85.23 | 2.12 | 6.70 |
| 10 | nd | nd | 71.83 (0.04) | nd | 4.24 (0.06) | 2.49 (0.01) | 9.55 (0.02) | nd | 4.14 (0.01) | 5.00 (0.07) | 6.11 (0.03) | 87.09 | 2.49 | 9.55 |
| 11 | nd | nd | 21.51 (0.81) | nd | 2.35 (0.01) | 12.81 (0.03) | 56.02 (0.04) | 5.88 (0.07) | 1.08 (0.06) | 1.69 (0.10) | nd | 26.63 | 12.81 | 61.90 |
| 12 | nd | nd | 69.80(0.35) | nd | 4.71 (0.08) | 2.63 (0.04) | 10.88 (0.05) | nd | 4.52 (0.03) | 5.19 (0.01) | 6.04 (0.02) | 84.29 | 2.63 | 10.88 |
| 13 | nd | nd | 70.57 (0.51) | nd | 4.56 (0.07) | 2.56 (0.08) | 10.31 (0.02) | nd | 4.61 (0.02) | 5.31 (0.03) | 6.12 (0.07) | 86.17 | 2.56 | 10.31 |
Publisher’s Note: MDPI stays neutral with regard to jurisdictional claims in published maps and institutional affiliations. |
© 2021 by the authors. Licensee MDPI, Basel, Switzerland. This article is an open access article distributed under the terms and conditions of the Creative Commons Attribution (CC BY) license (http://creativecommons.org/licenses/by/4.0/).
Share and Cite
Sánchez-Gavilán, I.; Ramírez, E.; de la Fuente, V. Bioactive Compounds in Salicornia patula Duval-Jouve: A Mediterranean Edible Euhalophyte. Foods 2021, 10, 410. https://doi.org/10.3390/foods10020410
Sánchez-Gavilán I, Ramírez E, de la Fuente V. Bioactive Compounds in Salicornia patula Duval-Jouve: A Mediterranean Edible Euhalophyte. Foods. 2021; 10(2):410. https://doi.org/10.3390/foods10020410
Chicago/Turabian StyleSánchez-Gavilán, Irene, Esteban Ramírez, and Vicenta de la Fuente. 2021. "Bioactive Compounds in Salicornia patula Duval-Jouve: A Mediterranean Edible Euhalophyte" Foods 10, no. 2: 410. https://doi.org/10.3390/foods10020410
APA StyleSánchez-Gavilán, I., Ramírez, E., & de la Fuente, V. (2021). Bioactive Compounds in Salicornia patula Duval-Jouve: A Mediterranean Edible Euhalophyte. Foods, 10(2), 410. https://doi.org/10.3390/foods10020410
