Protection of Fatty Liver by the Intake of Fermented Soybean Paste, Miso, and Its Pre-Fermented Mixture
Abstract
1. Introduction
2. Materials and Methods
2.1. Animals and Diets
2.2. Computed Tomographic Analysis
2.3. Collection of Blood and Tissue
2.4. Analysis of Serum Markers
2.5. Liver Histology
2.6. UPLC Sample Preparation and Analysis
2.7. Statistical Analysis
3. Results
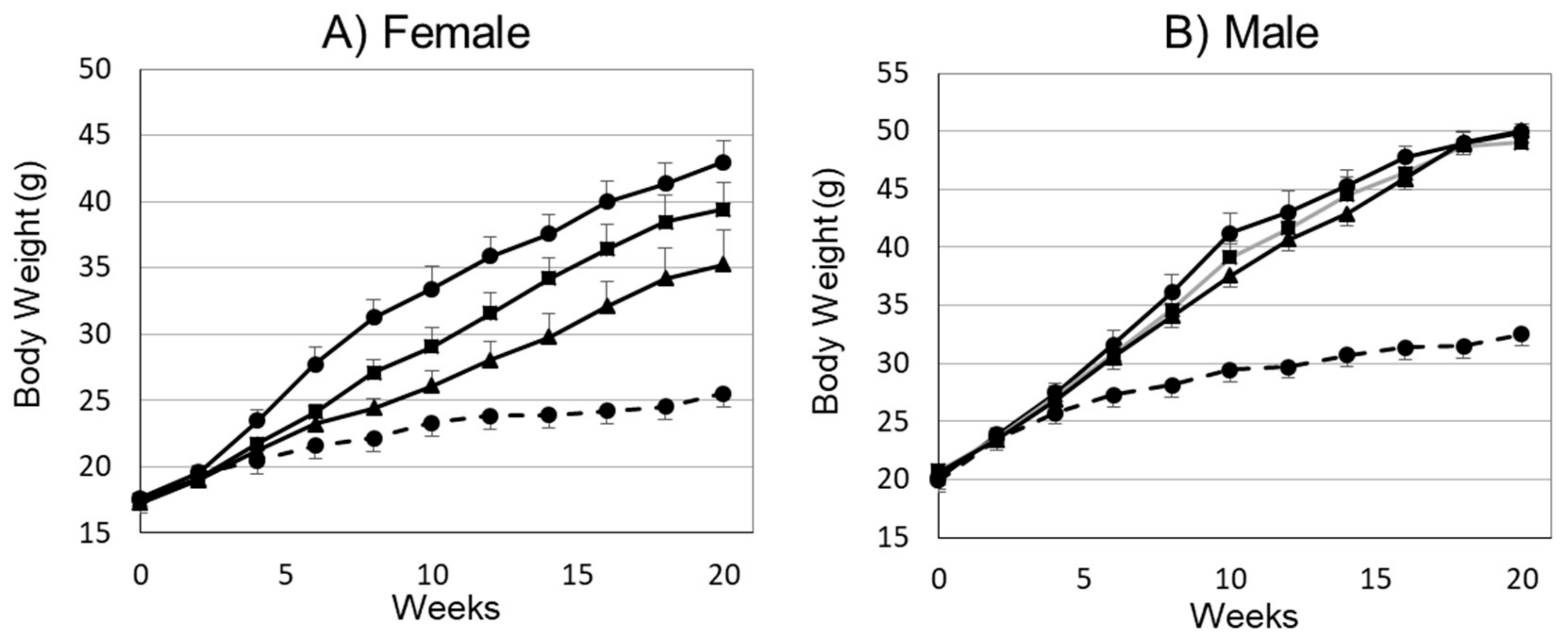
3.1. Effect of Miso on Body and Adipose Tissue Weight in Mice Fed a High-Fat Diet
3.2. Suppression of Fatty Liver by Miso or PFM Intake
3.3. Serum Biochemical Markers of Fatty Liver and Adipokines
3.4. The Daidzein and Genistein Content in Miso or Pre-fermented Miso
4. Discussion
5. Conclusions
Author Contributions
Funding
Data Availability Statement
Acknowledgments
Conflicts of Interest
References
- Dimidi, E.; Cox, S.R.; Rossi, M.; Whelan, K. Fermented Foods: Definitions and Characteristics, Impact on the Gut Microbiota and Effects on Gastrointestinal Health and Disease. Nutrients 2019, 11, 1806. [Google Scholar] [CrossRef] [PubMed]
- Jayachandran, M.; Xu, B. An insight into the health benefits of fermented soy products. Food Chem. 2019, 271, 362–371. [Google Scholar] [CrossRef] [PubMed]
- Takagi, A.; Kano, M.; Kaga, C. Possibility of Breast Cancer Prevention: Use of Soy Isoflavones and Fermented Soy Beverage Produced Using Probiotics. Int. J. Mol. Sci. 2015, 16, 10907–10920. [Google Scholar] [CrossRef] [PubMed]
- Adjakly, M.; Ngollo, M.; Boiteux, J.-P.; Bignon, Y.-J.; Guy, L.; Bernard-Gallon, D. Genistein and daidzein: Different molecular effects on prostate cancer. Anticancer. Res. 2013, 33, 39–44. [Google Scholar]
- Akiyama, T.; Ishida, J.; Nakagawa, S.; Ogawara, H.; Watanabe, S.; Itoh, N.; Shibuya, M.; Fukami, Y. Genistein, a specific inhibitor of tyrosine-specific protein kinases. J. Biol. Chem. 1987, 262, 5592–5595. [Google Scholar] [CrossRef]
- Si, H.; Liu, D. Phytochemical genistein in the regulation of vascular function: New insights. Curr. Med. Chem. 2007, 14, 2581–2589. [Google Scholar] [CrossRef]
- Wang, S.; Wang, Y.; Pan, M.-H.; Ho, C.-T. Anti-obesity molecular mechanism of soy isoflavones: Weaving the way to new therapeutic routes. Food Funct. 2017, 8, 3831–3846. [Google Scholar] [CrossRef]
- Harmon, A.W.; Harp, J.B. Differential effects of flavonoids on 3T3-L1 adipogenesis and lipolysis. Am. J. Physiol. Physiol. 2001, 280, C807–C813. [Google Scholar] [CrossRef]
- Zhang, M.; Ikeda, K.; Xu, J.-W.; Yamori, Y.; Gao, X.-M.; Zhang, B.-L. Genistein suppresses adipogenesis of 3T3-L1 cells via multiple signal pathways. Phytotherapy Res. 2008, 23, 713–718. [Google Scholar] [CrossRef]
- Jeon, S.; Park, Y.J.; Kwon, Y.H. Genistein alleviates the development of nonalcoholic steatohepatitis in ApoE(-/-) mice fed a high-fat diet. Mol. Nutr. Food Res. 2014, 58, 830–841. [Google Scholar] [CrossRef]
- Okabe, Y.; Shimazu, T.; Tanimoto, H. Higher bioavailability of isoflavones after a single ingestion of aglycone-rich fermented soybeans compared with glucoside-rich non-fermented soybeans in Japanese postmenopausal women. J. Sci. Food Agric. 2010, 91, 658–663. [Google Scholar] [CrossRef]
- Pappachan, J.M.; Babu, S.; Krishnan, B.; Ravindran, N.C. Non-alcoholic Fatty Liver Disease: A Clinical Update. J. Clin. Transl. Hepatol. 2017, 5, 1–10. [Google Scholar] [CrossRef] [PubMed]
- Younossi, Z.; Anstee, Q.M.; Marietti, M.; Hardy, T.; Henry, L.; Eslam, M.; George, J.; Bugianesi, E. Global burden of NAFLD and NASH: Trends, predictions, risk factors and prevention. Nat. Rev. Gastroenterol. Hepatol. 2018, 15, 11–20. [Google Scholar] [CrossRef] [PubMed]
- Younossi, Z.M.; Koenig, A.B.; Abdelatif, D.; Fazel, Y.; Henry, L.; Wymer, M. Global epidemiology of nonalcoholic fatty liver disease-Meta-analytic assessment of prevalence, incidence, and outcomes. Hepatology 2016, 64, 73–84. [Google Scholar] [CrossRef] [PubMed]
- Carr, R.M.; Oranu, A.; Khungar, V. Nonalcoholic Fatty Liver Disease: Pathophysiology and Management. Gastroenterol. Clin. N. Am. 2016, 45, 639–652. [Google Scholar] [CrossRef] [PubMed]
- Kulik, L.; El-Serag, H.B. Epidemiology and Management of Hepatocellular Carcinoma. Gastroenterology 2019, 156, 477–491.e1. [Google Scholar] [CrossRef]
- Marengo, A.; Rosso, C.; Bugianesi, E. Liver Cancer: Connections with Obesity, Fatty Liver, and Cirrhosis. Annu. Rev. Med. 2016, 67, 103–117. [Google Scholar] [CrossRef]
- Chen, K.-I.; Erh, M.-H.; Su, N.-W.; Liu, W.-H.; Chou, C.-C.; Cheng, K.-C. Soyfoods and soybean products: From traditional use to modern applications. Appl. Microbiol. Biotechnol. 2012, 96, 9–22. [Google Scholar] [CrossRef]
- Yamabe, S.; Kobayashi-Hattori, K.; Kaneko, K.; Endo, H.; Takita, T. Effect of soybean varieties on the content and composition of isoflavone in rice-koji miso. Food Chem. 2007, 100, 369–374. [Google Scholar] [CrossRef]
- Brunt, E.M.; Janney, C.G.; Di Bisceglie, A.M.; Neuschwander-Tetri, B.A.; Bacon, B.R. Nonalcoholic steatohepatitis: A proposal for grading and staging the histological lesions. Am. J. Gastroenterol. 1999, 94, 2467–2474. [Google Scholar] [CrossRef]
- Kleiner, D.E.; Brunt, E.M.; Van Natta, M.; Behling, C.; Contos, M.J.; Cummings, O.W.; Ferrell, L.D.; Liu, Y.-C.; Torbenson, M.S.; Unalp-Arida, A.; et al. Design and validation of a histological scoring system for nonalcoholic fatty liver disease. Hepatology 2005, 41, 1313–1321. [Google Scholar] [CrossRef] [PubMed]
- De Aguiar, C.L.; Baptista, A.S.; Alencar, S.M.; Haddad, R.; Eberlin, M.N. Analysis of isoflavonoids from leguminous plant extracts by RPHPLC/DAD and electrospray ionization mass spectrometry. Int. J. Food Sci. Nutr. 2007, 58, 116–124. [Google Scholar] [CrossRef] [PubMed]
- Uifălean, A.; Farcas, A.; Ilieș, M.; Hegheş, S.C.; Ionescu, C.; Iuga, C.A. Assessment of Isoflavone Aglycones Variability in Soy Food Supplements Using A Validated Hplc-Uv Method. Clujul Med. 2015, 88, 373–380. [Google Scholar] [CrossRef] [PubMed]
- Okada, E.; Nakamura, K.; Ukawa, S.; Wakai, K.; Date, C.; Iso, H.; Tamakoshi, A. The Japanese food score and risk of all-cause, CVD and cancer mortality: The Japan Collaborative Cohort Study. Br. J. Nutr. 2018, 120, 464–471. [Google Scholar] [CrossRef]
- Eguchi, Y.; Wong, G.; Lee, E.; Akhtar, O.; Lopes, R.; Sumida, Y. Epidemiology of non-alcoholic fatty liver disease and non-alcoholic steatohepatitis in Japan: A focused literature review. JGH Open 2020, 4, 808–817. [Google Scholar] [CrossRef]
- Estes, C.; Anstee, Q.M.; Arias-Loste, M.T.; Bantel, H.; Bellentani, S.; Caballeria, J.; Colombo, M.; Craxì, A.; Crespo, J.; Day, C.P.; et al. Modeling NAFLD disease burden in China, France, Germany, Italy, Japan, Spain, United Kingdom, and United States for the period 2016–2030. J. Hepatol. 2018, 69, 896–904. [Google Scholar] [CrossRef]
- Rizzo, G.; Baroni, L. Soy, Soy Foods and Their Role in Vegetarian Diets. Nutrients 2018, 10, 43. [Google Scholar] [CrossRef]
- Salomone, F.; Godos, J.; Zelber-Sagi, S. Natural antioxidants for non-alcoholic fatty liver disease: Molecular targets and clinical perspectives. Liver Int. 2015, 36, 5–20. [Google Scholar] [CrossRef]
- Yalniz, M.; Bahcecioglu, I.H.; Kuzu, N.; Poyrazoglu, O.K.; Bulmus, O.; Celebi, S.; Ustundag, B.; Ozercan, I.H.; Şahin, K. Preventive role of genistein in an experimental non-alcoholic steatohepatitis model. J. Gastroenterol. Hepatol. 2007, 22, 2009–2014. [Google Scholar] [CrossRef]
- Kim, M.-H.; Kang, K.-S.; Lee, Y.-S. The inhibitory effect of genistein on hepatic steatosis is linked to visceral adipocyte metabolism in mice with diet-induced non-alcoholic fatty liver disease. Br. J. Nutr. 2010, 104, 1333–1342. [Google Scholar] [CrossRef]
- Fukutake, M.; Takahashi, M.; Ishida, K.; Kawamura, H.; Sugimura, T.; Wakabayashi, K. Quantification of genistein and genistin in soybeans and soybean products. Food Chem. Toxicol. 1996, 34, 457–461. [Google Scholar] [CrossRef]
- Tewtrakul, S.; Subhadhirasakul, S.; Tansakul, P.; Cheenpracha, S.; Karalai, C. Antiinflammatory Constituents from Eclipta prostrata using RAW264.7 Macrophage Cells. Phytotherapy Res. 2011, 25, 1313–1316. [Google Scholar] [CrossRef] [PubMed]
- Ørgaard, A.; Jensen, L. The Effects of Soy Isoflavones on Obesity. Exp. Biol. Med. 2008, 233, 1066–1080. [Google Scholar] [CrossRef] [PubMed]
- Slikker, W.; Scallet, A.C.; Doerge, D.R.; Ferguson, S.A.; Slikker, J.W. Gender-Based Differences in Rats after Chronic Dietary Exposure to Genistein. Int. J. Toxicol. 2001, 20, 175–179. [Google Scholar] [CrossRef] [PubMed]
- Lee, D.; Kim, M.J.; Ahn, J.; Lee, S.H.; Lee, H.; Kim, J.H.; Park, S.; Jang, Y.; Ha, T.; Jung, C.H. Nutrikinetics of Isoflavone Metabolites After Fermented Soybean Product (Cheonggukjang) Ingestion in Ovariectomized Mice. Mol. Nutr. Food Res. 2017, 61, 61. [Google Scholar] [CrossRef] [PubMed]
- Eguchi, Y.; Nafld, J.; Hyogo, H.; Ono, M.; Mizuta, T.; Ono, N.; Fujimoto, K.; Chayama, K.; Saibara, T. Prevalence and associated metabolic factors of nonalcoholic fatty liver disease in the general population from 2009 to 2010 in Japan: A multicenter large retrospective study. J. Gastroenterol. 2012, 47, 586–595. [Google Scholar] [CrossRef]
- Lazar, M.A. Resistin- and Obesity-associated Metabolic Diseases. Horm. Metab. Res. 2007, 39, 710–716. [Google Scholar] [CrossRef]
- Steppan, C.M.; Bailey, S.T.; Bhat, S.; Brown, E.J.; Banerjee, R.R.; Wright, C.M.; Patel, H.R.; Ahima, R.S.; Lazar, M.A. The hormone resistin links obesity to diabetes. Nat. Cell Biol. 2001, 409, 307–312. [Google Scholar] [CrossRef]
- Rinella, M.E. Nonalcoholic fatty liver disease: A systematic review. JAMA 2015, 313, 2263–2273. [Google Scholar] [CrossRef]
- Watanabe, S.; Hashimoto, E.; Ikejima, K.; Uto, H.; Ono, M.; Sumida, Y.; Seike, M.; Takei, Y.; Takehara, T.; Tokushige, K.; et al. Evidence-based clinical practice guidelines for nonalcoholic fatty liver disease/nonalcoholic steatohepatitis. Hepatol. Res. 2015, 45, 363–377. [Google Scholar] [CrossRef]
- Kleiner, D.; Brunt, E.M. Nonalcoholic Fatty Liver Disease: Pathologic Patterns and Biopsy Evaluation in Clinical Research. Semin. Liver Dis. 2012, 32, 3–13. [Google Scholar] [CrossRef] [PubMed]
- Byun, M.-S.; Yu, O.-K.; Cha, Y.-S.; Park, T.-S. Korean traditional Chungkookjang improves body composition, lipid profiles and atherogenic indices in overweight/obese subjects: A double-blind, randomized, crossover, placebo-controlled clinical trial. Eur. J. Clin. Nutr. 2016, 70, 1116–1122. [Google Scholar] [CrossRef] [PubMed]
- Kani, A.H.; Alavian, S.M.; Esmaillzadeh, A.; Adibi, P.; Azadbakht, L. Effects of a novel therapeutic diet on liver enzymes and coagulating factors in patients with non-alcoholic fatty liver disease: A parallel randomized trial. Nutrients 2014, 30, 814–821. [Google Scholar] [CrossRef] [PubMed]
- Koohkan, S.; Schaffner, D.; Milliron, B.-J.; Frey, I.; König, D.; Deibert, P.; Vitolins, M.Z.; Berg, A. The impact of a weight reduction program with and without meal-replacement on health related quality of life in middle-aged obese females. BMC Women’s Health 2014, 14, 45. [Google Scholar] [CrossRef] [PubMed]





| ND 1 | HFD 2 | HFD+M 3 | HFD+PFM 4 | |
|---|---|---|---|---|
| Protein (%) | 24.85 | 26.45 | 25.98 | 25.64 |
| Carbohydrate (%) | 49.48 | 26.23 | 25.64 | 26.6 |
| Fat (%) | 4.06 | 33.41 | 32.26 | 32.03 |
| Energy (kcal/100g) | 333.8 | 511.4 | 496.7 | 497.4 |
| Female | Male | |||||||
|---|---|---|---|---|---|---|---|---|
| Groups | ND | HFD | HFD+M | HFD+PFM | ND | HFD | HFD+M | HFD+PFM |
| Initial body weight (g) | 17.5 ± 0.74 | 17.7 ± 0.31 | 17.6 ± 0.27 | 17.2 ± 0.26 | 19.9 ± 0.89 | 20.1 ± 0.51 | 20.7 ± 0.55 | 20.5 ± 0.29 |
| Final body weight (g) | 25.5 ± 0.78 | 43.0 ± 1.62 | 39.4 ± 2.07 | 37.5 ± 2.59 | 32.5 ± 0.72 | 49.9 ± 0.76 | 49.0 ± 1.41 | 50.0 ± 1.11 |
| Body weight gain (g) | 8.0 ± 0.78 | 25.4 ± 1.45 | 21.9 ± 2.07 | 20.3 ± 2.61 | 12.6 ± 0.76 | 29.8 ± 0.64 | 28.3 ± 0.97 | 29.6 ± 0.93 |
| Feed intake (g/day) 1 | 3.3 ± 0.06 | 2.7 ± 0.05 | 2.6 ± 0.06 | 2.7 ± 0.07 | 3.4 ± 0.10 | 2.8 ± 0.05 | 2.9 ± 0.08 | 3.0 ± 0.06 |
| Energy intake (kcal/day) | 11.0 ± 0.21 | 13.8 ± 0.28 | 12.9 ± 0.31 | 13.4 ± 0.34 | 11.3 ± 0.33 | 14.3 ± 0.27 | 14.4 ± 0.40 | 14.9 ± 0.29 |
| Female | Male | |||||||
|---|---|---|---|---|---|---|---|---|
| ND | HFD | HFD+M | HFD+PFM | ND | HFD | HFD+M | HFD+PFM | |
| Liver weight (g) | 1.0 ± 0.05 | 1.8 ± 0.14 | 1.3 ± 0.11 † | 1.4 ± 0.05 * | 1.23 ± 0.04 | 3.04 ± 0.41 | 2.75 ± 0.28 | 2.98 ± 0.28 |
| Liver weight (%) 1 | 3.9 ± 0.11 | 4.2 ± 0.17 | 3.4 ± 0.12 † | 3.7 ± 0.06 * | 3.8 ± 0.07 | 6.0 ± 0.74 | 5.6 ± 0.42 | 5.9 ± 0.44 |
| NAS | 0.83 ± 0.14 | 5.67 ± 0.51 | 3.33 ± 0.19 † | 4.00 ± 0.28 * | 0.67 ± 0.19 | 6.0 ± 0.00 | 5.83 ± 0.15 | 5.5 ± 0.31 |
| Steatosis | 0.00 ± 0.00 | 2.16 ± 0.28 | 1.33 ± 0.19 * | 1.80 ± 0.18 | 0.00 ± 0.00 | 3.0 ± 0.00 | 2.83 ± 0.15 | 2.83 ± 0.15 |
| Lobular inflammation | 0.83 ± 0.15 | 1.66 ± 0.19 | 1.00 ± 0.00 * | 1.00 ± 0.00 * | 0.67 ± 0.19 | 1.0 ± 0.00 | 1.0 ± 0.00 | 0.83 ± 0.15 |
| Ballooning | 0.00 ± 0.00 | 1.83 ± 0.15 | 1.00 ± 0.00 † | 1.20 ± 0.17 * | 0.00 ± 0.00 | 2.0 ± 0.00 | 2.0 ± 0.00 | 1.83 ± 0.15 |
| Female | Male | |||||||
|---|---|---|---|---|---|---|---|---|
| ND | HFD | HFD+M | HFD+PFM | ND | HFD | HFD+M | HFD+PFM | |
| GLU | 122.1 ± 20.8 | 303.8 ± 17.5 | 269.6 ± 33.8 | 248.8 ± 31.1 | 247.3 ± 34.4 | 492.0 ± 55.4 | 492.5 ± 42.2 | 602.2 ± 66.4 |
| GOT | 285.3 ± 112.7 | 370.8 ± 46.0 | 371.0 ± 54.5 | 418.5 ± 94.0 | 105.5 ± 15.5 | 105.5 ± 43.3 | 184.3 ± 24.0 | 146.7 ± 11.7 |
| GPT | 38.1 ± 3.1 | 187.0 ± 19.7 | 111.8 ± 25.0 | 93.5 ± 14.4 * | 28.8 ± 3.1 | 156.3 ± 41.2 | 119.0 ± 19.9 | 72.5 ± 9.6 |
| ALP | 290.6 ± 15.5 | 271.1 ± 15.5 | 242.0 ± 6.8 | 204.6 ± 22.8 | 252.1 ± 11.0 | 337.1 ± 38.1 | 328.8 ± 20.7 | 284.0 ± 13.0 |
| TCHO | 79.8 ± 5.0 | 110.3 ± 4.5 | 83.8 ± 8.7* | 89.6 ± 4.0 | 86.8 ± 3.8 | 187.3 ± 18.0 | 186.1 ± 6.9 | 169.7 ± 5.3 |
| TG | 84.5 ± 14.0 | 38.8 ± 5.3 | 36.0 ± 5.9 | 31.6 ± 5.0 | 88.0 ± 5.7 | 59.3 ± 2.8 | 46.3 ± 3.4 | 42.2 ± 2.7 |
| HDL | 70.6 ± 5.1 | 108.3 ± 5.3 | 82.3 ± 10.2 | 88.6 ± 3.2 | 76.6 ± 4.1 | 192.6 ± 19.4 | 191.3 ± 7.1 | 170.5 ± 7.4 |
| Miso | PFM | |
|---|---|---|
| Daidzein (µg/g) | 262.66 | 91.37 |
| Genistein (µg/g) | 192.58 | 116.82 |
Publisher’s Note: MDPI stays neutral with regard to jurisdictional claims in published maps and institutional affiliations. |
© 2021 by the authors. Licensee MDPI, Basel, Switzerland. This article is an open access article distributed under the terms and conditions of the Creative Commons Attribution (CC BY) license (http://creativecommons.org/licenses/by/4.0/).
Share and Cite
Kanno, R.; Koshizuka, T.; Miyazaki, N.; Kobayashi, T.; Ishioka, K.; Ozaki, C.; Chiba, H.; Suzutani, T. Protection of Fatty Liver by the Intake of Fermented Soybean Paste, Miso, and Its Pre-Fermented Mixture. Foods 2021, 10, 291. https://doi.org/10.3390/foods10020291
Kanno R, Koshizuka T, Miyazaki N, Kobayashi T, Ishioka K, Ozaki C, Chiba H, Suzutani T. Protection of Fatty Liver by the Intake of Fermented Soybean Paste, Miso, and Its Pre-Fermented Mixture. Foods. 2021; 10(2):291. https://doi.org/10.3390/foods10020291
Chicago/Turabian StyleKanno, Ryoko, Tetsuo Koshizuka, Nozomu Miyazaki, Takahiro Kobayashi, Ken Ishioka, Chiaki Ozaki, Hideki Chiba, and Tatsuo Suzutani. 2021. "Protection of Fatty Liver by the Intake of Fermented Soybean Paste, Miso, and Its Pre-Fermented Mixture" Foods 10, no. 2: 291. https://doi.org/10.3390/foods10020291
APA StyleKanno, R., Koshizuka, T., Miyazaki, N., Kobayashi, T., Ishioka, K., Ozaki, C., Chiba, H., & Suzutani, T. (2021). Protection of Fatty Liver by the Intake of Fermented Soybean Paste, Miso, and Its Pre-Fermented Mixture. Foods, 10(2), 291. https://doi.org/10.3390/foods10020291

