The Rheological Performance and Structure of Wheat/Acorn Composite Dough and the Quality and In Vitro Digestibility of Its Noodles
Abstract
:1. Introduction
2. Materials and Methods
2.1. Materials
2.2. Tannin Removal Treatment
2.3. Proximate Analysis
2.4. Rheological Tests of Mixed Dough
2.4.1. Pasting Properties Analysis
2.4.2. Mixing Characterization
2.4.3. Rheofermentometer Rheological Measurements
2.5. Preparation of Acorn Noodle
2.6. Noodle Quality Evaluation
2.6.1. Cooking Properties of Acorn Noodles
- Optimum cooking time
- Water absorption and cooking loss
2.6.2. Color Measurement
2.6.3. Texture Properties of Acorn Noodles
2.6.4. Microscopy Observing
2.6.5. In Vitro Digestibility
2.6.6. Sensory Evaluation
2.7. Statistical Analysis
3. Results
3.1. Physicochemical Properties of Flour
3.2. Rheological Properties of Mixed Dough
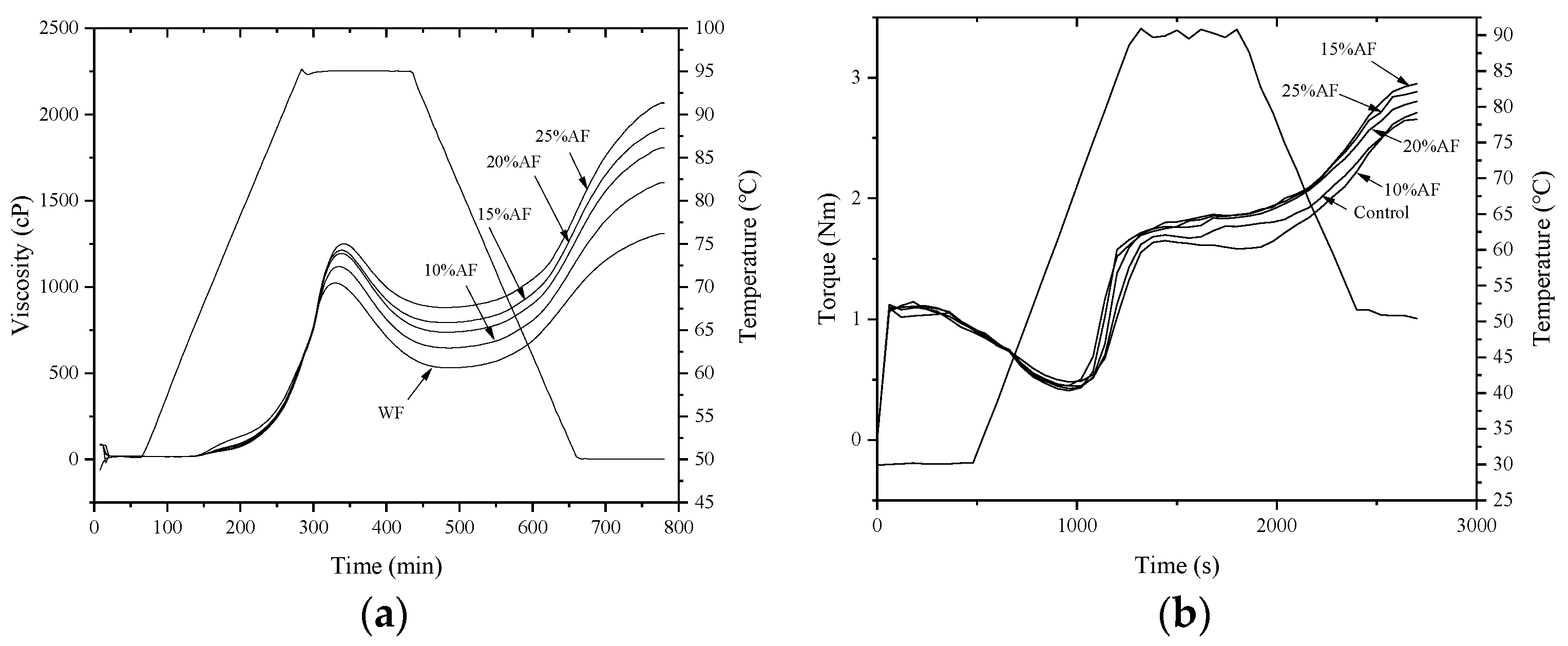
3.2.1. Pasting Properties
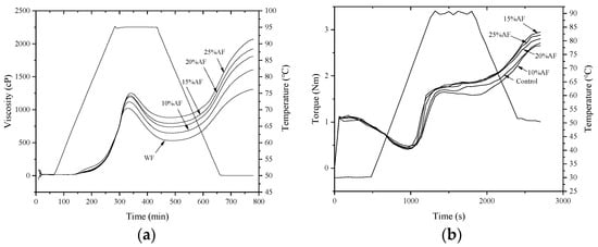
3.2.2. Mixing Properties
3.2.3. Fermentation Properties
3.3. Noodle Quality
3.3.1. Cooking Quality
3.3.2. Color Attributes
3.3.3. Textural Properties of Fresh and Cooked Noodles
3.3.4. Scanning Electron Microscopy (SEM)
3.3.5. In Vitro Digestibility
3.3.6. Sensory Evaluation
3.4. PCA
4. Discussion
Author Contributions
Funding
Institutional Review Board Statement
Informed Consent Statement
Data Availability Statement
Conflicts of Interest
References
- Makhlouf, F.Z.; Squeo, G.; Barkat, M.; Trani, A.; Caponio, F. Antioxidant activity, tocopherols and polyphenols of acornoil obtained from Quercus species grown in Algeria. Food Res. Int. 2018, 114, 208–213. [Google Scholar] [CrossRef] [PubMed]
- Heidari, F.; Asadollahi, M.A.; Jeihanipour, A.; Kheyrandish, M.; Rismani-Yazdi, H.; Karimi, K. Biobutanol production using unhydrolyzed waste acorn as a novel substrate. RSC Adv. 2016, 6, 9254–9260. [Google Scholar] [CrossRef]
- Ahmadi, S.; Nagpal, R.; Wang, S.; Gagliano, J.; Kitzman, D.W.; Soleimanian-Zad, S.; Sheikh-Zeinoddin, M.; Read, R.; Yadav, H. Prebiotics from acorn and sago prevent high-fat-diet-induced insulin resistance via microbiome-gut-brain axis modulation. J. Nutr. Biochem. 2019, 67, 1–13. [Google Scholar] [CrossRef]
- Nourmoradi, H.; Moghadam, K.F.; Jafari, A.; Kamarehie, B. Removal of acetaminophen and ibuprofen from aqueous solutions by activated carbon derived from Quercus Brantii (Oak) acorn as a low-cost biosorbent. J. Environ. Chem. Eng. 2018, 6, 6807–6815. [Google Scholar] [CrossRef]
- Rakić, S.; Povrenović, D.; Tešević, V.; Simić, M.; Maletić, R. Oak acorn, polyphenols and antioxidant activity in functional food. J. Food Eng. 2006, 74, 416–423. [Google Scholar] [CrossRef]
- Dogan, A.; Celik, I.; Kaya, M.S. Antidiabetic properties of lyophilized extract of acorn (Quercus brantii Lindl.) on experimentally STZ-induced diabetic rats. J. Ethnopharmacol. 2015, 176, 243–251. [Google Scholar] [CrossRef]
- Spiertz, H. Food production, crops and sustainability: Restoring confidence in science and technology. Curr. Opin. Environ. Sustain. 2010, 2, 439–443. [Google Scholar] [CrossRef]
- Vinha, A.F.; Barreira, J.C.M.; Costa, A.S.G.; Oliveira, M.B.P.P. A New Age for Quercus spp. Fruits: Review on nutritional and phytochemical composition and related biological activities of acorns. Compr. Rev. Food Sci. Food Saf. 2016, 15, 947–981. [Google Scholar] [CrossRef] [Green Version]
- Martins, R.B.; Nunes, M.C.; Raymundo, A. Impact of acorn flour on gluten-free dough rheology properties. Foods 2020, 9, 560. [Google Scholar] [CrossRef]
- Hashemi, S.M.B.; Gholamhosseinpour, A.; Khaneghah, A.M. Fermentation of acorn dough by lactobacilli strains: Phytic acid degradation and antioxidant activity. LWT–Food Sci. Technol. 2019, 100, 144–149. [Google Scholar] [CrossRef]
- Zhang, Z.S.; Saleh, A.S.M.; Wu, H.; Gou, M.; Liu, Y.; Jing, L.Z.; Zhao, K.; Su, C.Y.; Zhang, B.; Li, W.H. Effect of starch isolation method on structural and physicochemical properties of acorn kernel starch. Starch/Stärke 2019, 72, 1900122. [Google Scholar] [CrossRef]
- Bala, M.; Arun Kumar, T.V.; Tushir, S.; Nanda, S.K.; Gupta, R.K. Quality protein maize based muffins: Influence of non-gluten proteins on batter and muffin characteristics. J. Food Sci. Technol. 2019, 56, 713–723. [Google Scholar] [CrossRef]
- Chrastil, J. Improved colorimetric determination of amylose in starches or flours. Carbohydr. Res. 1987, 159, 154–158. [Google Scholar] [CrossRef]
- Bhattacharya, M.; Zee, S.Y.; Corke, H. Physicochemical properties related to quality of rice noodles. Cereal Chem. 1999, 76, 861–867. [Google Scholar] [CrossRef]
- Moreira, R.; Chenlo, F.; Torres, M.D. Effect of sodium chloride, sucrose and chestnut starch on rheological properties of chestnut flour doughs. Food Hydrocoll. 2011, 25, 1041–1050. [Google Scholar] [CrossRef]
- Huang, W.N.; Kim, Y.S.; Li, X.Y.; Rayas-Duarte, P. Rheofermentometer parameters and bread specific volume of frozen sweet dough influenced by ingredients and dough mixing temperature. J. Cereal Sci. 2008, 48, 639–646. [Google Scholar] [CrossRef]
- Guo, X.N.; Gao, F.; Zhu, K.X. Effect of fresh egg white addition on the quality characteristics and protein aggregation of oat noodles. Food Chem. 2020, 330, 127319. [Google Scholar] [CrossRef] [PubMed]
- Raungrusmee, S.; Shrestha, S.; Sadiq, M.B.; Anal, A.K. Influence of resistant starch, xanthan gum, inulin and defatted rice bran on the physicochemical, functional and sensory properties of low glycemic gluten-free noodles. LWT—Food Sci. Technol. 2020, 126, 109279. [Google Scholar] [CrossRef]
- Liu, Y.; Xu, M.J.; Wu, H.; Jing, L.Z.; Gong, B.; Gou, M.; Zhao, K.; Li, W.H. The compositional, physicochemical and functional properties of germinated mung bean flour and its addition on quality of wheat flour noodle. J. Food Sci. Technol. 2018, 55, 5142–5152. [Google Scholar] [CrossRef]
- Bustos, M.C.; Perez, G.T.; Leon, A.E. Sensory and nutritional attributes of fiber-enriched pasta. LWT—Food Sci. Technol. 2011, 44, 1429–1434. [Google Scholar] [CrossRef]
- Saleh, M.; Ajo, R.; Al-Ismail, K.; Ondier, G. Effects of hydrocolloids on acorn starch physical properties. Starch/Stärke 2016, 68, 1169–1179. [Google Scholar] [CrossRef]
- Zhang, B.; Zhang, Q.; Wu, H.; Su, C.Y.; Ge, X.Z.; Shen, H.S.; Han, L.H.; Yu, X.Z.; Li, W.H. The influence of repeated versus continuous dry-heating on the performance of wheat starch with different amylose content. LWT—Food Sci. Technol. 2021, 136, 110380. [Google Scholar] [CrossRef]
- Marcoa, C.; Rosell, C.M. Effect of different protein isolates and transglutaminase on rice flour properties. J. Food Eng. 2008, 84, 132–139. [Google Scholar] [CrossRef] [Green Version]
- Barak, S.; Mudgil, D.; Khatkar, B.S. Relationship of gliadin and glutenin proteins with dough rheology, flour pasting and bread making performance of wheat varieties. LWT—Food Sci. Technol. 2013, 51, 211–217. [Google Scholar] [CrossRef]
- Ajo, R.Y. Effect of acorn flour substitution on arabic bread properties. Pak. J. Agric. Sci. 2018, 55, 913–919. [Google Scholar] [CrossRef]
- Ma, F.Y.; Baik, B.K. Qualitative Effect of Added Gluten on Dough Properties and Quality of Chinese Steamed Bread. Cereal Chem. 2017, 94, 827–833. [Google Scholar] [CrossRef]
- Mohammed, I.; Ahmed, A.R.; Senge, B. Effects of chickpea flour on wheat pasting properties and bread making quality. J. Food Sci. Technol. 2014, 51, 1902–1910. [Google Scholar] [CrossRef] [Green Version]
- Ma, S.; Li, L.; Wang, X.X.; Zheng, X.L.; Bian, K.; Bao, Q.D. Effect of mechanically damaged starch from wheat flour on the quality of frozen dough and steamed bread. Food Chem. 2016, 202, 120–124. [Google Scholar] [CrossRef]
- Gonzaga, M.; Batista, M.; Correia, P.; Guiné, R. Development and characterization of wheat breads with acorn flour. In Proceedings of the ICEUBI2015—International Conference of Engineering: Engineering for Society, Covilhã, Portugal, 2–4 December 2015. [Google Scholar]
- Sun, H.; Yan, S.P.; Jiang, W.L.; Li, G.T.; MacRitchie, F. Contribution of lipid to physicochemical properties and Mantou-making quality of wheat flour. Food Chem. 2010, 121, 332–337. [Google Scholar] [CrossRef]
- Park, C.S.; Baik, B.K. Cooking time of white salted noodles and its relationship with protein and amylose contents of wheat. Cereal Chem. 2004, 81, 165–171. [Google Scholar] [CrossRef]
- Xie, L.Y.; Nishijima, N.; Oda, Y.; Handa, A.; Majumder, K.; Xu, C.M.; Zhang, Y. Utilization of egg white solids to improve the texture and cooking quality of cooked and frozen pasta. LWT—Food Sci. Technol. 2020, 122, 109031. [Google Scholar] [CrossRef]
- Sozer, N.; Dalgıç, A.C.; Kaya, A. Thermal, textural and cooking properties of spaghetti enriched with resistant starch. J. Food Eng. 2007, 81, 476–484. [Google Scholar] [CrossRef]
- Xu, M.; Wu, Y.; Hou, G.G.; Du, X.F. Evaluation of different tea extracts on dough, textural, and functional properties of dry Chinese white salted noodle. LWT—Food Sci. Technol. 2019, 101, 456–462. [Google Scholar] [CrossRef]
- Luo, L.J.; Guo, X.N.; Zhu, K.X. Effect of steaming on the quality characteristics of frozen cooked noodles. LWT—Food Sci. Technol. 2015, 62, 1134–1140. [Google Scholar] [CrossRef]
- Goñi, I.; Garcia-Alonso, A.; Saura-Calixto, F. A starch hydrolysis procedure to estimate glycemic index. Nutr. Res. 1997, 17, 427–437. [Google Scholar] [CrossRef]
- Soong, Y.Y.; Tan, S.P.; Leong, L.P.; Henry, J.K. Total antioxidant capacity and starch digestibility of muffins baked with rice, wheat, oat, corn and barley flour. Food Chem. 2014, 164, 462–469. [Google Scholar] [CrossRef]
- Bustos, M.C.; Perez, G.T.; Leon, A.E. Effect of four types of dietary fiber on the technological quality of pasta. Food Sci. Technol. Int. 2011, 17, 213–221. [Google Scholar] [CrossRef]
- Fardet, A.; Hoebler, C.; Baldwin, P.M.; Bouchet, B.; Gallant, D.J.; Barry, J.L. Involvement of the protein network in the in vitro degradation of starch from spaghetti and lasagne: A microscopic and enzymic study. J. Cereal Sci. 1998, 27, 133–145. [Google Scholar] [CrossRef]




| Sample | Moisture (%) | Fat (%) | Protein (%) | Amylose (%) | Total Starch (%) | Ash (%) | Wet Gluten (%) |
|---|---|---|---|---|---|---|---|
| WF | 14.21 ± 0.01 a | 1.07 ± 0.37 a | 12.46 ± 0.47 a | 18.98 ± 0.17 b | 67.35 ± 0.64 b | 0.35 ± 0.03 a | 30.79 ± 0.20 a |
| DAF | 11.46 ± 0.01 b | 1.12 ± 0.16 a | 3.81 ± 0.05 b | 20.00 ± 0.31 a | 77.97 ± 0.78 a | 0.14 ± 0.03 b | ND |
| Samples | Pasting Properties | Fermentation Properties | |||||||
|---|---|---|---|---|---|---|---|---|---|
| PV (cP) | TV (cp) | BD (cP) | FV (cP) | SB (cP) | PT (min) | GT (°C) | Hm/mm | VT/mL | |
| WF | 1023 ± 52 b | 531 ± 17 d | 492.0 ± 35.4 a | 1310 ± 39 d | 780 ± 22 d | 5.47 ± 0.00 b | 86.85 ± 0.57 a | 14.2 ± 2.0 a | 1488 ± 132 a |
| DAF10 | 1119 ± 37 ab | 646 ± 23 c | 472.5 ± 13.4 a | 1606 ± 54 c | 959 ± 31 c | 5.57 ± 0.05 ab | 86.50 ± 0.00 a | 10.9 ± 1.5 ab | 1508 ± 9 a |
| DAF15 | 1196 ± 57 a | 738 ± 20 bc | 458.5 ± 36.1 ab | 1808 ± 42 b | 1070 ± 22 b | 5.64 ± 0.05 ab | 86.45 ± 0.14 a | 4.2 ± 0.6 c | 1506 ± 10 a |
| DAF20 | 1213 ± 47 a | 792 ± 22 ab | 420.5 ± 24.8 ab | 1921 ± 54 ab | 1128 ± 32 ab | 5.64 ± 0.05 ab | 86.43 ± 0.04 a | 4.1 ± 0.5 c | 1464 ± 221 a |
| DAF25 | 1251 ± 18 a | 880 ± 12 a | 371.0 ± 5.7 bc | 2067 ± 21 a | 1186 ± 9 a | 5.70 ± 0.04 a | 86.83 ± 0.53 a | 4.8 ± 5.2 bc | 1253 ± 84 ab |
| Sample | WA (%) | DTT (min) | Stab. (min) | C2 (N·m) | C3 (N·m) | C4 (N·m) | C5 (N·m) | C5 − C4 (N·m) | α | β |
|---|---|---|---|---|---|---|---|---|---|---|
| Control | 60.0 | 2.76 ± 0.05 a | 5.1 ± 0.0 c | 0.47 ± 0.00 a | 1.65 ± 0.01 b | 1.58 ± 0.02 c | 2.61 ± 0.03 a | 1.03 ± 0.04 a | 0.046 ± 0.001 a | 0.14 ± 0.00 b |
| DAF10 | 60.0 | 1.90 ± 0.81 ab | 6.0 ± 0.1 b | 0.44 ± 0.01 ab | 1.66 ± 0.03 ab | 1.75 ± 0.03 b | 2.66 ± 0.02 a | 0.92 ± 0.04 a | 0.052 ± 0.001 ab | 0.17 ± 0.01 a |
| DAF15 | 60.0 | 2.55 ± 0.00 a | 6.5 ± 0.1 ab | 0.44 ± 0.00 ab | 1.72 ± 0.01 ab | 1.83 ± 0.05 ab | 2.82 ± 0.18 a | 0.98 ± 0.13 a | 0.053 ± 0.000 ab | 0.18 ± 0.00 a |
| DAF20 | 60.7 | 0.96 ± 0.02 b | 6.6 ± 0.0 a | 0.40 ± 0.03 b | 1.71 ± 0.05 ab | 1.83 ± 0.02 ab | 2.76 ± 0.06 a | 0.94 ± 0.04 a | 0.055 ± 0.001 b | 0.20 ± 0.00 a |
| DAF25 | 60.8 | 0.79 ± 0.04 b | 6.6 ± 0.2 a | 0.41 ± 0.00 b | 1.75 ± 0.00 a | 1.87 ± 0.02 a | 2.87 ± 0.02 a | 1.00 ± 0.04 a | 0.056 ± 0.000 c | 0.20 ± 0.01 a |
| Sample | Cooking Quality | Color Attributes | ||||
|---|---|---|---|---|---|---|
| Cooking Time (s) | Water Absorption (%) | Cooking Loss (%) | Lightness (L*) | Redness (a*) | Yellowness (b*) | |
| Control | 240 | 65.95 ± 3.17 a | 1.63 ± 0.06 c | 80.22 ± 0.17 a | 0.84 ± 0.03 c | 15.66 ± 0.09 b |
| DAF10 | 225 | 59.75 ± 0.80 ab | 2.54 ± 0.02 b | 62.62 ± 0.51 b | 5.21 ± 0.03 b | 19.28 ± 0.35 a |
| DAF15 | 225 | 57.88 ± 0.02 b | 2.48 ± 0.11 b | 60.93 ± 0.20 c | 5.65 ± 0.03 a | 20.03 ± 0.07 a |
| DAF20 | 225 | 56.21 ± 0.90 b | 3.61 ± 0.15 a | 59.80 ± 0.31 cd | 5.75 ± 0.05 a | 20.10 ± 0.28 a |
| DAF25 | 210 | 54.90 ± 0.98 b | 3.68 ± 0.27 a | 60.19 ± 0.46 d | 5.63 ± 0.10 a | 19.81 ± 0.58 a |
| Sample | TPA | Shear | Stretch | |||||||||
|---|---|---|---|---|---|---|---|---|---|---|---|---|
| Hardness (g) | Adhesiveness (g·s) | Springiness | Cohesiveness | Gumminess | Chewiness | Resilience | Firmness (g) | WS (g·s) | RE (g) | Extensibility (mm) | ||
| Fresh | Control | 1598 ± 53 d | −5.18 ± 1.08 a | 0.54 ± 0.01 b | 0.35 ± 0.02 c | 525.7 ± 22.7 d | 333.0 ± 34.5 b | 0.33 ± 0.01 ab | 1852 ± 82 c | 1033 ± 53 d | 21.72 ± 0.76 d | 12.15 ± 0.15 a |
| DAF10 | 1752 ± 19 c | −4.85 ± 0.54 a | 0.43 ± 0.03 c | 0.35 ± 0.03 c | 553.9 ± 29.8 cd | 228.4 ± 27.9 c | 0.30 ± 0.02 b | 1895 ± 16 c | 1014 ± 51 d | 19.40 ± 0.88 e | 11.68 ± 0.36 a | |
| DAF15 | 1968 ± 66 b | −3.88 ± 0.34 a | 0.51 ± 0.06 b | 0.34 ± 0.02 c | 616.1 ± 49.0 c | 281.1 ± 34.0 bc | 0.31 ± 0.03 ab | 1940 ± 53 c | 1134 ± 45 c | 21.04 ± 0.45 de | 10.9 ± 0.22 b | |
| DAF20 | 2241 ± 109 a | −4.43 ± 0.31 a | 0.49 ± 0.02 bc | 0.37 ± 0.01 c | 836.5 ± 52.0 a | 440.6 ± 79.5 a | 0.34 ± 0.02 a | 2149 ± 67 b | 1323 ± 61 b | 25.48 ± 0.53 c | 7.63 ± 0.37 c | |
| DAF25 | 2218 ± 57 a | −1.92 ± 0.24 b | 0.49 ± 0.05 b,c | 0.33 ± 0.01 c | 702.2 ± 12.2 b | 367.6 ± 59.2 ab | 0.30 ± 0.01 b | 2328 ± 24 a | 1458 ± 47 a | 26.32 ± 1.87 c | 6.51 ± 0.20 d | |
| Cooked | Control | 372 ± 7 f | −13.03 ± 1.02 cd | 1.00 ± 0.01 a | 0.42 ± 0.01 b | 157.0 ± 2.5 f | 147.3 ± 5.7 d | 0.17 ± 0.00 d | 484 ± 18 f | 425 ± 16 d | 50.70 ± 4.77 a | 11.81 ± 1.54 a |
| DAF10 | 444 ± 7 e | −12.67 ± 2.23 cd | 0.99 ± 0.00 a | 0.44 ± 0.00 a | 199.1 ± 2.9 e | 192.4 ± 9.2 c | 0.16 ± 0.01 d | 720 ± 35 d | 674 ± 23 a | 49.02 ± 1.47 a | 12.15 ± 0.91 a | |
| DAF15 | 442 ± 21 e | −9.24 ± 0.94 c | 0.99 ± 0.04 a | 0.45 ± 0.01 a | 206.4 ± 10.6 e | 217.5 ± 11.5 c | 0.17 ± 0.00 d | 672 ± 48 d | 661 ± 55 ab | 47.70 ± 2.24 a,b | 10.95 ± 1.15 a | |
| DAF20 | 444 ± 20 e | −13.86 ± 3.06 d | 1.04 ± 0.22 a | 0.46 ± 0.01 a | 207.0 ± 8.0 e | 225.8 ± 43.2 c | 0.17 ± 0.01 d | 681 ± 39 d | 603 ± 44 b | 47.77 ± 2.56 ab | 10.69 ± 0.83 a | |
| DAF25 | 464 ± 24 e | −11.20 ± 3.07 cd | 1.00 ± 0.00 a | 0.46 ± 0.01 a | 211.2 ± 8.2 e | 215.2 ± 24.3 c | 0.18 ± 0.01 c | 594 ± 45 e | 531 ± 25 c | 42.75 ± 1.31 b | 10.94 ± 0.86 a | |
| Samples | C∞ (%) | k | R2 | HI (%) | PGI |
|---|---|---|---|---|---|
| Control | 82.75 ± 0.15 a | 0.022 ± 0.002 a | 0.970 | 58.48 ± 1.48 a | 71.82 ± 0.81 a |
| DAF10 | 67.71 ± 1.55 b | 0.022 ± 0.001 a | 0.973 | 47.75 ± 0.24 b | 65.92 ± 0.13 b |
| DAF15 | 64.88 ± 12.18 b | 0.023 ± 0.003 a | 0.972 | 46.63 ± 6.86 b | 65.31 ± 3.77 b |
| DAF20 | 68.23 ± 1.49 a,b | 0.021 ± 0.002 a | 0.965 | 47.64 ± 0.78 b | 65.86 ± 0.43 b |
| DAF25 | 67.16 ± 2.65 b | 0.022 ± 0.005 a | 0.990 | 47.51 ± 1.69 b | 65.79 ± 0.93 b |
| Sample | Appearance | Color | Flavor | Softness | Stickiness | Elasticity | Overall Liking |
|---|---|---|---|---|---|---|---|
| Control | 8.18 ± 0.60 a | 8.09 ± 0.83 a | 7.45 ± 0.82 a | 7.64 ± 1.21 a | 7.73 ± 1.10 a | 7.36 ± 1.03 a | 8.18 ± 0.75 a |
| DAF10 | 7.09 ± 1.38 ab | 7.27 ± 0.79 ab | 7.36 ± 0.92 a | 6.91 ± 1.04 a | 6.82 ± 0.98 a | 7.09 ± 1.04 a | 7.64 ± 0.81 ab |
| DAF15 | 6.09 ± 1.38 b | 6.64 ± 0.83 b | 6.91 ± 0.94 a | 6.55 ± 1.13 a | 7.00 ± 0.77 a | 6.45 ± 0.69 a | 7.00 ± 0.77 b |
| DAF20 | 6.82 ± 1.54 ab | 6.82 ± 0.78 b | 7.00 ± 0.89 a | 6.82 ± 1.40 a | 7.09 ± 1.04 a | 6.55 ± 1.13 a | 7.27 ± 1.10 ab |
| DAF25 | 6.45 ± 1.37 b | 6.91 ± 0.51 b | 6.73 ± 0.79 a | 6.91 ± 0.83 a | 7.00 ± 0.89 a | 6.36 ± 1.03 a | 6.73 ± 1.10 b |
Publisher’s Note: MDPI stays neutral with regard to jurisdictional claims in published maps and institutional affiliations. |
© 2021 by the authors. Licensee MDPI, Basel, Switzerland. This article is an open access article distributed under the terms and conditions of the Creative Commons Attribution (CC BY) license (https://creativecommons.org/licenses/by/4.0/).
Share and Cite
Zhang, Q.; Yu, J.; Li, K.; Bai, J.; Zhang, X.; Lu, Y.; Sun, X.; Li, W. The Rheological Performance and Structure of Wheat/Acorn Composite Dough and the Quality and In Vitro Digestibility of Its Noodles. Foods 2021, 10, 2727. https://doi.org/10.3390/foods10112727
Zhang Q, Yu J, Li K, Bai J, Zhang X, Lu Y, Sun X, Li W. The Rheological Performance and Structure of Wheat/Acorn Composite Dough and the Quality and In Vitro Digestibility of Its Noodles. Foods. 2021; 10(11):2727. https://doi.org/10.3390/foods10112727
Chicago/Turabian StyleZhang, Qian, Jiangtao Yu, Kui Li, Junqiing Bai, Xiuyun Zhang, Yifan Lu, Xiangxiang Sun, and Wenhao Li. 2021. "The Rheological Performance and Structure of Wheat/Acorn Composite Dough and the Quality and In Vitro Digestibility of Its Noodles" Foods 10, no. 11: 2727. https://doi.org/10.3390/foods10112727
APA StyleZhang, Q., Yu, J., Li, K., Bai, J., Zhang, X., Lu, Y., Sun, X., & Li, W. (2021). The Rheological Performance and Structure of Wheat/Acorn Composite Dough and the Quality and In Vitro Digestibility of Its Noodles. Foods, 10(11), 2727. https://doi.org/10.3390/foods10112727

