Ultrasound Assisted Extraction Approach to Test the Effect of Elastic Rubber Nettings on the N-Nitrosamines Content of Ham Meat Samples
Abstract
:1. Introduction
2. Materials and Methods
2.1. Reagents
2.2. Instrumentation
2.3. Samples and Analytical Procedure
3. Results
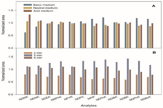
3.1. Optimization of Sample Preparation
3.2. Method Validation
3.3. Analysis of Meat Samples and Recovery Studies
4. Conclusions
Author Contributions
Funding
Institutional Review Board Statement
Informed Consent Statement
Acknowledgments
Conflicts of Interest
References
- Lu, S.; Wu, D.; Li, G.; Lv, Z.; Gong, P.; Xia, L.; Sun, Z.; Chen, G.; Chen, X.; You, J.; et al. Facile and sensitive determination of N-nitrosamines in food samples by high-performance liquid chromatography via combining fluorescent labeling with dispersive liquid-liquid microextraction. Food Chem. 2017, 234, 408–415. [Google Scholar] [CrossRef]
- Campillo, N.; Viñas, P.; Martínez-Castillo, N.; Hernández-Córdoba, M. Determination of volatile nitrosamines in meat products by microwave-assisted extraction and dispersive liquid-liquid microextraction coupled to gas chromatography-mass spectrometry. J. Chromatogr. A 2011, 1218, 1815–1821. [Google Scholar] [CrossRef]
- Wang, Z.; Zhai, M.; Xia, X.; Yang, M.; Han, T.; Huang, M. A simple method for monitoring eight N-nitrosamines in beef jerkys by gas chromatography-tandem mass spectrometry with one-step treatment coupled to active carbon solid-phase extraction. Food Anal. Methods 2018, 11, 933–938. [Google Scholar] [CrossRef]
- Ozel, M.Z.; Gogus, F.; Yagci, S.; Hamilton, J.F.; Lewis, A.C. Determination of volatile nitrosamines in various meat products using comprehensive gas chromatography-nitrogen chemiluminescence detection. Food Chem. Toxicol. 2010, 48, 3268–3273. [Google Scholar] [CrossRef]
- Ramezani, H.; Hosseini, H.; Kamankesh, M.; Ghasemzadeh-Mohammadi, V.; Mohammadi, A. Rapid determination of nitrosamines in sausage and salami using microwave-assisted extraction and dispersive liquid–liquid microextraction followed by gas chromatography–mass spectrometry. Eur. Food Res. Technol. 2014, 240, 441–450. [Google Scholar] [CrossRef]
- Sen, N.P. Migration and Formation of N -Nitrosamines from Food Contact Materials. In Food and Packaging Interactions; ACS: Washington, DC, USA, 1988; pp. 146–158. [Google Scholar]
- Fiddler, W.; Pensabene, J.W.; Gates, R.A.; Adam, R. Nitrosamine formation in processed hams as related to reformulated elastic rubber netting. J. Food Sci. 1998, 63, 276–278. [Google Scholar] [CrossRef]
- Sen, N.P.; Baddoo, P.A.; Seaman, S.W. Nitrosamines in cured pork products packaged in elastic rubber nettings: An update. Food Chem. 1993, 47, 387–390. [Google Scholar] [CrossRef]
- Fiddler, W.; Pensabene, J.W.; Gates, R.A.; Custer, C.; Yoffe, A.; Phillipo, T. N-Nitrosodibenzylamine in boneless hams processed in elastic rubber nettings. J. AOAC Int. 1997, 80, 353–358. [Google Scholar] [CrossRef] [PubMed] [Green Version]
- Pensabene, J.W.; Fiddler, W.; Gates, R.A. Nitrosamine formation and penetration in hams processed in elastic rubber nettings: N-nitrosodibutylamine and N-nitrosodibenzylamine. J. Agric. Food Chem. 1995, 43, 1919–1922. [Google Scholar] [CrossRef]
- Pensabene, J.W.; Fiddler, W.; Gates, R.A. Solid-Phase extraction method for volatile N-nitrosamines in hams processed with elastic rubber netting. J. AOAC Int. 1992, 75, 438–442. [Google Scholar] [CrossRef]
- Sen, N.P.; Seaman, S.W.; Kushwaha, S.C. Improved method for determination of volatile nitrosamines in baby bottle rubber nipples and pacifiers. J. Assoc. Off. Anal. Chem. 1987, 70, 434–438. [Google Scholar] [CrossRef]
- Bouma, K.; Schothorst, R.C. Identification of extractable substances from rubber nettings used to package meat products. Food Addit. Contam. 2003, 20, 300–307. [Google Scholar] [CrossRef]
- Petersen, A. N-Nitrosodibutylamine and other Volatile Nitrosamines in Cured Meat Packaged in Rubber Nettings. J. Food Sci. 1993, 58, 47–48. [Google Scholar] [CrossRef]
- Helmick, J.S.; Fiddler, W. Thermal decomposition of the rubber vulcanization agent, zinc dibenzyldithiocarbamete, and its potential role in nitrosamine formation in hams processed in elastic nettings. J. Agric. Food Chem. 1994, 42, 2541–2544. [Google Scholar] [CrossRef]
- European Parliament and Council of the European Union European Parliament and Council Directive No 95/2/EC of 20 February 1995 on food additives other than colours and sweeteners. Off. J. Eur. Union 1995, L61, 1–40.
- Crews, C. The determination of N- nitrosamines in food. Qual. Assur. Saf. Crop. Foods 2010, 2, 2–12. [Google Scholar] [CrossRef]
- Herrmann, S.S.; Duedahl-Olesen, L.; Granby, K. Occurrence of volatile and non-volatile N-nitrosamines in processed meat products and the role of heat treatment. Food Control 2015, 48, 163–169. [Google Scholar] [CrossRef] [Green Version]
- Fan, C.C.; Lin, T.F. N-nitrosamines in drinking water and beer: Detection and risk assessment. Chemosphere 2018, 200, 48–56. [Google Scholar] [CrossRef] [PubMed]
- Lona-Ramirez, F.J.; Gonzalez-Alatorre, G.; Rico-Ramírez, V.; Perez-Perez, M.C.I.; Castrejón-González, E.O. Gas chromatography/mass spectrometry for the determination of nitrosamines in red wine. Food Chem. 2016, 196, 1131–1136. [Google Scholar] [CrossRef] [PubMed]
- Cintya, H.; Silalahi, J.; De Lux Putra, E.; Siburian, R. Analysis of nitrosamines in processed meat products in Medan city by liquid chromatography-mass spectrometry. Open Access Maced. J. Med. Sci. 2019, 7, 1382–1387. [Google Scholar] [CrossRef] [PubMed] [Green Version]
- Roasa, J.; Liu, H.; Shao, S. An optimised HS-SPME-GC-MS method for the detection of volatile nitrosamines in meat samples. Food Addit. Contam. Part A Chem. Anal. Control. Expo. Risk Assess. 2019, 36, 396–404. [Google Scholar] [CrossRef]
- Filho, P.J.S.; Rios, A.; Valcárcel, M.; Melecchi, M.I.S.; Caramão, E.B. Method of determination of nitrosamines in sausages by CO2 supercritical fluid extraction (SFE) and micellar electrokinetic chromatography (MEKC). J. Agric. Food Chem. 2007, 55, 603–607. [Google Scholar] [CrossRef]
- Huang, M.C.; Chen, H.C.; Fu, S.C.; Ding, W.H. Determination of volatile N-nitrosamines in meat products by microwave-assisted extraction coupled with dispersive micro solid-phase extraction and gas chromatography-Chemical ionisation mass spectrometry. Food Chem. 2013, 138, 227–233. [Google Scholar] [CrossRef]
- Soares, F.A.; Chiapetta, S.C.; Pacheco, W.F. Development of an analytical method for the determination of N-nitrosamines in tobacco by GC-NCD after solid phase extraction. Anal. Methods 2017, 9, 2284–2289. [Google Scholar] [CrossRef]
- Jurado-Sánchez, B.; Ballesteros, E.; Gallego, M. Gas chromatographic determination of N-nitrosamines, aromatic amines, and melamine in milk and dairy products using an automatic solid-phase extraction system. J. Agric. Food Chem. 2011, 59, 7519–7526. [Google Scholar] [CrossRef] [PubMed]
- Zhang, Q.; Jin, L.; Zhang, F.; Yao, K.; Ren, Y.; Zhang, J.; Zhang, Q.; He, Q.; Wan, Y.; Chi, Y. Analysis of 7 volatile N-nitrosamines in Chinese Sichuan salted vegetables by gas chromatography-tandem mass spectrometry coupled to modified QuEchERS extraction. Food Control 2019, 98, 342–347. [Google Scholar] [CrossRef]
- Qiu, Y.; Chen, J.H.; Yu, W.; Wang, P.; Rong, M.; Deng, H. Contamination of Chinese salted fish with volatile N-nitrosamines as determined by QuEChERS and gas chromatography–tandem mass spectrometry. Food Chem. 2017, 232, 763–769. [Google Scholar] [CrossRef]
- Seo, J.-E.; Park, J.-E.; Lee, J.-Y.; Kwon, H. Determination of Seven N-nitrosamines in Agricultural Food Matrices Using GC-PCI-MS/MS. Food Anal. Methods 2016, 9, 1595–1605. [Google Scholar] [CrossRef]
- Wang, X.; Gao, Y.; Xu, X.; Zhao, J.; Song, G.; Hu, Y. Derivatization method for determination of nitrosamines by GC-MS. Chromatographia 2011, 73, 321–327. [Google Scholar] [CrossRef]
- Jurado-Sánchez, B.; Ballesteros, E.; Gallego, M. Gas chromatographic determination of N-nitrosamines in beverages following automatic solid-phase extraction. J. Agric. Food Chem. 2007, 55, 9758–9763. [Google Scholar] [CrossRef]
- Kühne, F.; Kappenstein, O.; Straβgütl, S.; Weese, F.; Weyer, J.; Pfaff, K.; Luch, A. N-nitrosamines migrating from food contact materials into food simulants: Analysis and quantification by means of HPLC-APCI-MS/MS. Food Addit. Contam. Part A Chem. Anal. Control. Expo. Risk Assess. 2018, 35, 792–805. [Google Scholar] [CrossRef]
- Li, W.; Chen, N.; Zhao, Y.; Guo, W.; Muhammd, N.; Zhu, Y.; Huang, Z. Online coupling of tandem liquid-phase extraction with HPLC-UV for the determination of trace: N -nitrosamines in food products. Anal. Methods 2018, 10, 1733–1739. [Google Scholar] [CrossRef]
- Bian, Y.; Zhang, Y.; Zhou, Y.; Li, G.-H.; Feng, X.-S. Progress in the pretreatment and analysis of N-nitrosamines: An update since 2010. Crit. Rev. Food Sci. Nutr. 2020, 1–35. [Google Scholar] [CrossRef]
- Aragón, M.; Marcé, R.M.; Borrull, F. Determination of N-nitrosamines and nicotine in air particulate matter samples by pressurised liquid extraction and gas chromatography-ion trap tandem mass spectrometry. Talanta 2013, 115, 896–901. [Google Scholar] [CrossRef]
- Sun, C.; Wang, R.; Wang, T.; Li, Q. Primary evaluation of nine volatile N-nitrosamines in raw red meat from Tianjin, China, by HS-SPME-GC–MS. Food Chem. 2020, 310, 125945. [Google Scholar] [CrossRef] [PubMed]
- Ventanas, S.; Ruiz, J. On-site analysis of volatile nitrosamines in food model systems by solid-phase microextraction coupled to a direct extraction device. Talanta 2006, 70, 1017–1023. [Google Scholar] [CrossRef]
- Lobato, V.; Rath, S.; Reyes, F.G.R. Effect of processing on the degradation of ivermectin in milk and milk products. Toxicol. Lett. 2006, 164, S273–S274. [Google Scholar] [CrossRef]
- Andrade, R.; Reyes, F.G.R.; Rath, S. A method for the determination of volatile N-nitrosamines in food by HS-SPME-GC-TEA. Food Chem. 2005, 91, 173–179. [Google Scholar] [CrossRef]
- Sen, N.P.; Seaman, S.W.; Page, B.D. Rapid semi-quantitative estimation of N-nitrosodibutylamine and N-nitrosodibenzylamine in smoked hams by solid-phase microextraction followed by gas chromatography-thermal energy analysis. J. Chromatogr. A 1997, 788, 131–140. [Google Scholar] [CrossRef]
- Amelin, V.G.; Lavrukhin, D.K. Combination of microwave heating extraction and dispersive liquid-liquid microextraction for the determination of nitrosoamines in foods using gas-liquid chromatography with a mass-spectrometric detector. J. Anal. Chem. 2016, 71, 359–364. [Google Scholar] [CrossRef]
- Giménez-Campillo, C.; Pastor-Belda, M.; Campillo, N.; Hernández-Córdoba, M.; Viñas, P. Development of a new methodology for the determination of N-Nitrosamines impurities in ranitidine pharmaceuticals using microextraction and gas chromatography-mass spectrometry. Talanta 2020, 223, 121659. [Google Scholar] [CrossRef] [PubMed]
- Commission Decision 2002/657/EC Commission Decision 2002/657/EC of 12 August 2002 implementing Council Directive 96/23/EC concerning the performance of analytical methods and the interpretation of results. Off. J. Eur. Union 2002, L221, 8–36.
- Goss, L.C.; Monthey, S.; Issel, H.M. Review and the latest update of n-nitrosamines in the rubber industry; The regulated, the potentially regulated, and compounding to eliminate nitrosamine formation. Rubber Chem. Technol. 2006, 79, 541–552. [Google Scholar] [CrossRef]


| Compound | tR, min | Target Ion, m/z | Qualifier Ion, m/z |
|---|---|---|---|
| NDMA | 4.13 | 74 | 31, 42, 44 |
| NEMA | 5.23 | 88 | 42, 44, 56 |
| NDEA | 6.48 | 102 | 42, 44, 57 |
| Octanone (IS) | 8.27 | 58 | 43 |
| NMPhA | 10.65 | 106 | 44, 77, 107 |
| NPYR | 10.67 | 100 | 41, 42, 68 |
| NDPA | 10.85 | 70 | 42, 43, 130 |
| NPIP | 11.99 | 114 | 42, 44, 55 |
| NEPhA | 12.70 | 106 | 77, 121 |
| NDiBA | 13.43 | 84 | 43, 57 |
| NDBA | 14.76 | 84 | 41, 57, 116 |
| NDPhA | 16.91 | 169 | 167, 168 |
| NDBzA | 18.01 | 91 | 44, 88 |
| Compounds | Linearity, ng g−1 | QL, ng g−1 | DL, ng g−1 | RSD a, % | RSD b, % |
|---|---|---|---|---|---|
| NDMA | 5–1000 | 4.4 | 1.3 | 4.2 (5.5) | 5.2 (6.9) |
| NEMA | 5–1000 | 2.2 | 0.67 | 4.1 (5.2) | 4.3 (5.4) |
| NDEA | 5–1000 | 3.9 | 1.4 | 5.7 (7.5) | 8.9 (10) |
| NMPhA | 1–1000 | 0.7 | 0.20 | 4.8 (6.3) | 5.1 (6.5) |
| NPYR | 5–1000 | 1.5 | 0.5 | 4.0 (5.2) | 4.6 (5.9) |
| NDPA | 1–1000 | 0.9 | 0.3 | 6.9 (10) | 9.2 (11) |
| NPIP | 2.5–1000 | 1.4 | 0.42 | 6.2 (8.9) | 9.7 (12) |
| NEPhA | 1–1000 | 0.8 | 0.24 | 5.7 (7.6) | 6.0 (7.9) |
| NDiBA | 2.5–1000 | 1.6 | 0.48 | 5.9 (7.7) | 6.2 (8) |
| NDBA | 1–1000 | 0.5 | 0.15 | 4.2 (5.2) | 8.8 (9.7) |
| NDPhA | 2.5–1000 | 1.2 | 0.4 | 2.5 (3.3) | 5.0 (6.4) |
| NDBzA | 5–1000 | 4.6 | 1.4 | 3.8 (4.9) | 4.0 (5.2) |
| NAs | Sample Treatment | DLs (ng g−1) | NA Levels, ng g−1 | Ref. | ||
|---|---|---|---|---|---|---|
| Technique | Sample Mass, g | Time a, min | ||||
| 9 (NEMA, NDMA, NDEA, NPYR, NMOR, NDPA, NPIP, NDBA NDPhA) | MAE-DLLME | 0.25 | 70/5 | 0.12–0.56 | ND-5.7 | [2] |
| 7 (NDMA, NDEA, NDBA, NMEA, NPIP, NDPhA, NPYR) | MAE-DLLME | 1.5 | 25/10 | 0.11–0.48 | ND-8.6 | [5] |
| 9 (NDMA, NDEA, NEMA, NDPA, NMOR, NPYR, NPIP, NDBA, NDPhA) | HS-SPME | 1 | 55 | <3.6 56 for NDMA | ND-5.0 | [22] |
| 7 (NDMA, NPYR, NDPA, NPIP, NDBA NMEA, NDEA) | MAE-D-µ-SPE | 5 | 10/35 | 0.01–0.12 | ND-3.2 | [24] |
| 9 (NDMA, NDEA, NDPA, NDBA, NPIP, NPYR, NMOR, NDPhA, NMEA) | HS-SPME | 2 | 35 | 7.2–16 | ND-10 | [36] |
| 7 (NMEA, NDBA, NDPA, NDEA, NDMA, NPIP, NPYR) | MAE-DLLME | 1 | 65/6 | 0.1–0.5 | <0.1–4.8 | [41] |
| 8 (NDMA, NEMA, NDEA, NPIP, NMOR, NDPA, NPYR, NDBA) | SLE-SPE | 10 | 70/60 | 0.05–0.10 | 0.1–22.1 | [3] |
| 12 (NDMA, NEMA, NDEA, NPYR, NDPA, NPIP, NDBA, NDPhA, NMPhA, NEPhA, NDiBA, NDBzA) | UAE-DLLME | 1 | 10/3 | 0.15–11 | ND-40 | This method |
| Sample Number | Elastic Rubber Netting b | Meat | Additive | Concentration Found, ng g−1 | ||||
|---|---|---|---|---|---|---|---|---|
| NDMA | NDBA | NDPhA | NMPhA | NDBzA | ||||
| 1 | No | Pig | NATPRE | ND | 27 ± 2 | 2.6 ± 0.1 | 1.8 ± 0.3 | ND |
| 2 | Prolan V-22 | Pig | No | ND | 33 ± 3 | 2.5 ± 0.2 | 2.3 ± 0.9 | 15 ± 2 |
| 3 | Prolan V-22 | Pig | NATPRE | ND | 23 ± 1 | 3.7 ± 1 | 1.6 ± 0.2 | ND |
| 4 | Prolan V-22 | Pig | 20 mg kg−1 nitrite | 8 ± 4 | 23 ± 6 | 3.4 ± 0.1 | 1.4 ± 0.2 | 28 ± 3 |
| 5 | Prolan V-22 | Chicken | NATPRE | 14 ± 9 | 39 ± 2 | 2.5 ± 0.3 | 1.4 ± 0.2 | ND |
| 6 | Prolan M-0 V-6-4 HGB-3 XL | Pig | NATPRE | 11 ± 1 | 22 ± 3 | 1.9 ± 0.1 | 1.5 ± 0.3 | ND |
| 7 | Prolan V-66 HGB-45 REG | Pig | 150 mg kg−1 nitrite | ND | 40 ± 9 | 2.7 ± 0.5 | 1.6 ± 0.3 | ND |
Publisher’s Note: MDPI stays neutral with regard to jurisdictional claims in published maps and institutional affiliations. |
© 2021 by the authors. Licensee MDPI, Basel, Switzerland. This article is an open access article distributed under the terms and conditions of the Creative Commons Attribution (CC BY) license (https://creativecommons.org/licenses/by/4.0/).
Share and Cite
Giménez-Campillo, C.; Pastor-Belda, M.; Campillo, N.; Hernández, J.d.D.; Guillén, I.; Vizcaíno, P.; López-García, I.; Hernández-Córdoba, M.; Arroyo-Manzanares, N.; Viñas, P. Ultrasound Assisted Extraction Approach to Test the Effect of Elastic Rubber Nettings on the N-Nitrosamines Content of Ham Meat Samples. Foods 2021, 10, 2564. https://doi.org/10.3390/foods10112564
Giménez-Campillo C, Pastor-Belda M, Campillo N, Hernández JdD, Guillén I, Vizcaíno P, López-García I, Hernández-Córdoba M, Arroyo-Manzanares N, Viñas P. Ultrasound Assisted Extraction Approach to Test the Effect of Elastic Rubber Nettings on the N-Nitrosamines Content of Ham Meat Samples. Foods. 2021; 10(11):2564. https://doi.org/10.3390/foods10112564
Chicago/Turabian StyleGiménez-Campillo, Claudia, Marta Pastor-Belda, Natalia Campillo, Juan de Dios Hernández, Isidro Guillén, Pascuala Vizcaíno, Ignacio López-García, Manuel Hernández-Córdoba, Natalia Arroyo-Manzanares, and Pilar Viñas. 2021. "Ultrasound Assisted Extraction Approach to Test the Effect of Elastic Rubber Nettings on the N-Nitrosamines Content of Ham Meat Samples" Foods 10, no. 11: 2564. https://doi.org/10.3390/foods10112564
APA StyleGiménez-Campillo, C., Pastor-Belda, M., Campillo, N., Hernández, J. d. D., Guillén, I., Vizcaíno, P., López-García, I., Hernández-Córdoba, M., Arroyo-Manzanares, N., & Viñas, P. (2021). Ultrasound Assisted Extraction Approach to Test the Effect of Elastic Rubber Nettings on the N-Nitrosamines Content of Ham Meat Samples. Foods, 10(11), 2564. https://doi.org/10.3390/foods10112564

