Evaluation of the Effect of a Grape Seed Tannin Extract on Wine Ester Release and Perception Using In Vitro and In Vivo Instrumental and Sensory Approaches
Abstract
1. Introduction
2. Materials and Methods
2.1. Wine Samples
2.2. Panel
2.3. Instrumental Evaluation
2.3.1. In Vitro Ester Release
2.3.2. In Vivo Ester Release
2.3.3. Thermal Desorption and Gas Chromatography Mass Spectrometry (GC–MS) Analyses
2.4. Sensory Evaluation
2.4.1. Training Sessions
2.4.2. Orthonasal Evaluation
2.4.3. Retronasal Evaluation by Time-Intensity (TI)
2.5. Statistical Analyses
3. Results
3.1. Effects of a Grape Seed Tannin Extract (GSE) on the In Vitro Ester Release from Wine
3.2. Effects of a Grape Seed Tannin Extract (GSE) on the In Vivo Oral Ester Release from Wine
3.3. Effects of a Grape Seed Tannin Extract (GSE) on the Orthonasal Perception of Wine Esters
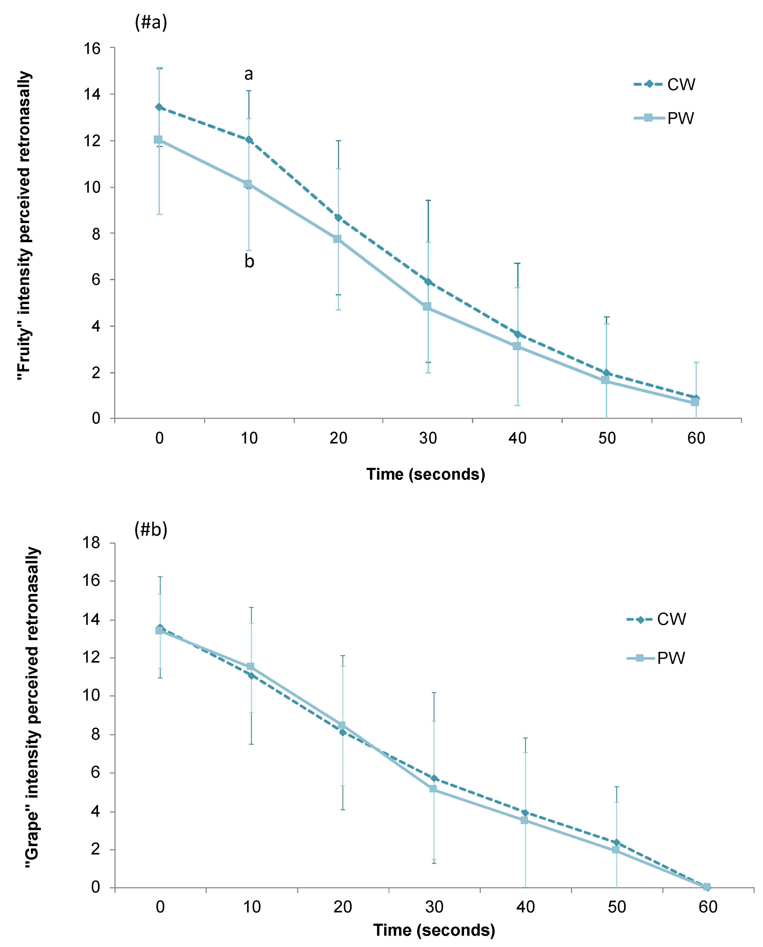
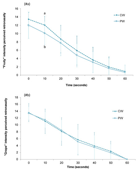
3.4. Effects of a Grape Seed Tannin Extract (GSE) on the Retronasal Perception of Wine Esters
4. Discussion
5. Conclusions
Author Contributions
Funding
Institutional Review Board Statement
Informed Consent Statement
Data Availability Statement
Acknowledgments
Conflicts of Interest
References
- Obreque-Slíer, E.; Peña-Neira, A.; López-Solís, R.; Ramírez-Escudero, C.; Zamora-Marín, F. Phenolic characterization of commercial enological tannins. Eur. Food Res. Tech. 2009, 229, 859–866. [Google Scholar] [CrossRef]
- Vignault, A.; Pascual, O.; Gombau, J.; Jourdes, M.; Moine, V.; Fermaud, M.; Roudet, J.; Canals, J.; Teissedre, P.-L.; Zamora, F. New insight about the functionality of oenological tannins; Main results of the working group on oenological tannins. BIO Web Conf. 2019, 12, 02005. [Google Scholar] [CrossRef]
- Landon, J.L.; Weller, K.; Harbertson, J.F.; Ross, C.F. Chemical and sensory evaluation of astringency in Washington State red wines. Am. J. Enol. Vitic. 2008, 59, 153–158. [Google Scholar]
- Muñoz-González, C.; Canon, F.; Feron, G.; Guichard, E.; Pozo-Bayón, M.A. Assessment Wine Aroma Persistence by Using an in Vivo PTR-ToF-MS Approach and Its Relationship with Salivary Parameters. Molecules 2019, 24, 1277. [Google Scholar] [CrossRef]
- Perez-Jiménez, M.; Chaya, C.; Pozo-Bayón, M.Á. Individual differences and effect of phenolic compounds in the immediate and prolonged in-mouth aroma release and retronasal aroma intensity during wine tasting. Food Chem. 2019, 285, 147–155. [Google Scholar] [CrossRef]
- Charters, S.; Pettigrew, S. The dimensions of wine quality. Food Qual. Pref. 2007, 18, 997–1007. [Google Scholar] [CrossRef]
- Dufour, C.; Bayonove, C.L. Interactions between wine polyphenols and aroma substances. An insight at the molecular level. J. Agric. Food Chem. 1999, 47, 678–684. [Google Scholar] [CrossRef]
- Mitropoulou, A.; Hatzidimitriou, E.; Paraskevopoulou, A. Aroma release of a model wine solution as influenced by the presence of non-volatile components. Effect of commercial tannin extracts, polysaccharides and artificial saliva. Food Res. Int. 2011, 44, 1561–1570. [Google Scholar] [CrossRef]
- Villamor, R.R.; Evans, M.A.; Mattinson, D.S.; Ross, C.F. Effects of ethanol, tannin and fructose on the headspace concentration and potential sensory significance of odorants in a model wine. Food Res. Int. 2013, 50, 38–45. [Google Scholar] [CrossRef]
- Genva, M.; Kenne Kemene, T.; Deleu, M.; Lins, L.; Fauconnier, M.-L. Is It Possible to Predict the Odor of a Molecule on the Basis of its Structure? Int. J. Mol. Sci. 2019, 20, 3018. [Google Scholar] [CrossRef]
- Bate-Smith, E. Haemanalysis of tannins: The concept of relative astringency. Phytochemistry 1973, 12, 907–912. [Google Scholar] [CrossRef]
- Soares, S.; Vitorino, R.; Osorio, H.; Fernandes, A.; Venâncio, A.; Mateus, N.; Amado, F.; de Freitas, V. Reactivity of human salivary proteins families toward food polyphenols. J. Agric. Food Chem. 2011, 59, 5535–5547. [Google Scholar] [CrossRef]
- Gibbins, H.; Proctor, G.; Yakubov, G.; Wilson, S.; Carpenter, G. Concentration of salivary protective proteins within the bound oral mucosal pellicle. Oral Dis. 2014, 20, 707–713. [Google Scholar] [CrossRef] [PubMed]
- Silva, M.S.; Garcia-Estevez, I.; Brandão, E.; Mateus, N.; de Freitas, V.; Soares, S. Molecular interaction between salivary proteins and food tannins. J. Agric. Food Chem. 2017, 65, 6415–6424. [Google Scholar] [CrossRef] [PubMed]
- Payne, C.; Bowyer, P.K.; Herderich, M.; Bastian, S.E. Interaction of astringent grape seed procyanidins with oral epithelial cells. Food Chem. 2009, 115, 551–557. [Google Scholar] [CrossRef]
- Esteban-Fernández, A.; Muñoz-González, C.; Jiménez-Girón, A.; Pérez-Jiménez, M.; Pozo-Bayón, M.Á. Aroma release in the oral cavity after wine intake is influenced by wine matrix composition. Food Chem. 2018, 243, 125–133. [Google Scholar] [CrossRef]
- Perez-Jiménez, M.; Esteban-Fernández, A.; Muñoz-González, C.; Pozo-Bayón, M.A. Interactions among Odorants, Phenolic Compounds, and Oral Components and Their Effects on Wine Aroma Volatility. Molecules 2020, 25, 1701. [Google Scholar] [CrossRef]
- Muñoz-González, C.; Feron, G.; Brulé, M.; Canon, F. Understanding the release and metabolism of aroma compounds using micro-volume saliva samples by ex vivo approaches. Food Chem. 2018, 240, 275–285. [Google Scholar] [CrossRef]
- Niimi, J.; Liland, K.H.; Tomic, O.; Jeffery, D.W.; Bastian, S.E.; Boss, P.K. Prediction of wine sensory properties using mid-infrared spectra of Cabernet Sauvignon and Chardonnay grape berries and wines. Food Chem. 2020, 128634. [Google Scholar] [CrossRef]
- Sáenz-Navajas, M.-P.; Campo, E.; Valentin, D.; Fernández-Zurbano, P.; Ferreira, V. Sensory Interactions in Wine: Effect Of Nonvolatile Molecules on Wine Aroma and Volatiles on Taste/Astringency Perception. In The Sense of Taste; Nova Science Publishers, Inc.: New York, NY, USA, 2015; p. 97. [Google Scholar]
- Sánchez-Patán, F.; Cueva, C.; Monagas, M.; Walton, G.E.; Gibson, G.R.; Martín-Álvarez, P.J.; Moreno-Arribas, M.V.; Bartolomé, B. Gut microbial catabolism of grape seed flavan-3-ols by human faecal microbiota. Targetted analysis of precursor compounds, intermediate metabolites and end-products. Food Chem. 2012, 131, 337–347. [Google Scholar] [CrossRef]
- Pérez-Jiménez, M.; Pozo-Bayón, M.Á. Development of an in-mouth headspace sorptive extraction method (HSSE) for oral aroma monitoring and application to wines of different chemical composition. Food Res. Int. 2019, 121, 97–107. [Google Scholar] [CrossRef] [PubMed]
- Lorrain, B.; Tempere, S.; Iturmendi, N.; Moine, V.; de Revel, G.; Teissedre, P.-L. Influence of phenolic compounds on the sensorial perception and volatility of red wine esters in model solution: An insight at the molecular level. Food Chem. 2013, 140, 76–82. [Google Scholar] [CrossRef] [PubMed]
- Aronson, J.; Ebeler, S.E. Effect of polyphenol compounds on the headspace volatility of flavors. Am. J. Enol. Vitic. 2004, 55, 13–21. [Google Scholar]
- Lund, C.; Nicolau, L.; Gardner, R.; Kilmartin, P.A. Effect of polyphenols on the perception of key aroma compounds from Sauvignon Blanc wine. Aust. J. Grape Wine Res. 2009, 15, 18–26. [Google Scholar] [CrossRef]
- Cliff, M.A.; Stanich, K.; Edwards, J.E.; Saucier, C.T. Adding grape seed extract to wine affects astringency and other sensory attributes. Food Qual. 2012, 35, 263–271. [Google Scholar] [CrossRef]
- Arvisenet, G.; Guichard, E.; Ballester, J. Taste-aroma interaction in model wines: Effect of training and expertise. Food Qual. Pref. 2016, 52, 211–221. [Google Scholar] [CrossRef]




| Compounds | CAS Number | Physicochemical Characteristics | Sensory Descriptor d | |||
|---|---|---|---|---|---|---|
| Chemical Formula | Mw a | log Pb | BP c | |||
| Ethyl hexanoate | 123-66-0 | C8H16O2 | 144 | 2.83 | 167 | Fruity |
| Ethyl decanoate | 110-38-3 | C12H24O2 | 200 | 4.79 | 248 | Grape |
Publisher’s Note: MDPI stays neutral with regard to jurisdictional claims in published maps and institutional affiliations. |
© 2021 by the authors. Licensee MDPI, Basel, Switzerland. This article is an open access article distributed under the terms and conditions of the Creative Commons Attribution (CC BY) license (http://creativecommons.org/licenses/by/4.0/).
Share and Cite
Muñoz-González, C.; Criado, C.; Pérez-Jiménez, M.; Pozo-Bayón, M.Á. Evaluation of the Effect of a Grape Seed Tannin Extract on Wine Ester Release and Perception Using In Vitro and In Vivo Instrumental and Sensory Approaches. Foods 2021, 10, 93. https://doi.org/10.3390/foods10010093
Muñoz-González C, Criado C, Pérez-Jiménez M, Pozo-Bayón MÁ. Evaluation of the Effect of a Grape Seed Tannin Extract on Wine Ester Release and Perception Using In Vitro and In Vivo Instrumental and Sensory Approaches. Foods. 2021; 10(1):93. https://doi.org/10.3390/foods10010093
Chicago/Turabian StyleMuñoz-González, Carolina, Celia Criado, María Pérez-Jiménez, and María Ángeles Pozo-Bayón. 2021. "Evaluation of the Effect of a Grape Seed Tannin Extract on Wine Ester Release and Perception Using In Vitro and In Vivo Instrumental and Sensory Approaches" Foods 10, no. 1: 93. https://doi.org/10.3390/foods10010093
APA StyleMuñoz-González, C., Criado, C., Pérez-Jiménez, M., & Pozo-Bayón, M. Á. (2021). Evaluation of the Effect of a Grape Seed Tannin Extract on Wine Ester Release and Perception Using In Vitro and In Vivo Instrumental and Sensory Approaches. Foods, 10(1), 93. https://doi.org/10.3390/foods10010093

