Next Article in Journal
Pulsed EPR Study of the Interaction Between 23Na+ and Flavin in the Sodium-Pumping NADH:Ubiquinone Oxidoreductase (NQR) from Vibrio cholerae
Previous Article in Journal
Electrical Properties and Charge Transfer Mechanisms in Nanoscale Anodic TiO2 Films at Low Applied Voltages
 
 
Due to scheduled maintenance work on our servers, there may be short service disruptions on this website between 11:00 and 12:00 CEST on March 28th.
Font Type:
Arial Georgia Verdana
Font Size:
Aa Aa Aa
Line Spacing:
Column Width:
Background:
Article

Low Molecular Weight Acid-Modified Aluminum Nitride Powders for Enhanced Hydrolysis Resistance

1
School of Materials Science and Engineering, Hanshan Normal University, Chaozhou 521041, China
2
Advanced Ceramic Materials Innovation Research Center, Hanshan Normal University, Chaozhou 521041, China
3
Advanced Materials and Technology Institute, University of Science and Technology Beijing, Beijing 100083, China
*
Authors to whom correspondence should be addressed.
These authors contributed equally to this work.
Inorganics 2026, 14(1), 30; https://doi.org/10.3390/inorganics14010030
Submission received: 31 October 2025 / Revised: 9 January 2026 / Accepted: 16 January 2026 / Published: 18 January 2026
(This article belongs to the Section Inorganic Materials)

Abstract

Aluminum nitride (AlN) possesses an exceptional combination of high thermal conductivity and an ultra-wide band gap, rendering it highly attractive for electronic packaging and semiconductor substrate applications. In this study, surface chemical modification of AlN powders was performed employing low-molecular-weight organic acids, successfully yielding hydrolysis-resistant AlN powders. The underlying mechanisms responsible for the improved anti-hydrolysis performance imparted by both single organic acids and the composite acid were systematically investigated using X-ray diffraction (XRD), scanning electron microscope (SEM), and transmission electron microscope (TEM), characterization techniques. The results reveal that Oxalic acid within the concentration range of 0.25 M to 1.50 M partially inhibits the hydrolysis of aluminum nitride (AlN); however, hydrolysis products such as aluminum hydroxide are still formed. In the case of citric acid, a higher concentration leads to a stronger anti-hydrolysis effect on the modified AlN. No significant hydrolysis products were detected when the AlN sample was treated in a 1 M aqueous citric acid solution at 80 °C. The effectiveness of the organic acids in enhancing the hydrolysis resistance of AlN follows the order: composite acid (citric acid + oxalic acid) > citric acid > oxalic acid. Under the action of the composite acid, the AlN diffraction peaks exhibit the highest intensity. Furthermore, TEM observations reveal the formation of an amorphous protective layer on the surface, which contributes to the improved hydrolysis resistance. Analytical results confirmed that the surface modification process, mediated by citric acid, oxalic acid, or the composite acid, involved an esterification-like reaction between the surface hydroxyl groups on AlN and the chemical modifiers. This reaction led to the formation of a continuous protective coordination layer encapsulating the AlN particles, which serves as an effective diffusion barrier against water molecules, thereby significantly inhibiting the hydrolysis reaction.

1. Introduction

Aluminum Nitride (AlN), possessing no natural counterparts, is exclusively synthesized through artificial means [1]. Early research primarily utilized AlN as a nitrogen-source fertilizer, with its ceramic form remaining unrealized until the 1950s due to formidable sintering exigencies [1]. The ongoing transition to 5G/6G communication technologies have intensified thermal management bottlenecks across multiple advanced applications—including smartphones, high-speed rail, and new energy vehicles—where continued device miniaturization (from 20 nm to 3 nm architectures) has dramatically increased power density, thereby demanding packaging materials with radically enhanced comprehensive performance. Presently, AlN is universally acknowledged as the preeminent packaging material and an essential substrate for fourth-generation semiconductors, owing to its unmatched combination of properties [2]. However, the pronounced susceptibility of AlN powders to hydrolytic degradation not only compromises their intrinsic thermal conductivity but also generates environmentally hazardous ammonia vapors. Moreover, the exceptionally high sintering temperatures requisite for dense AlN ceramics entail substantial energy expenditure and impose extreme operational demands on furnace systems. These collective limitations severely constrain industrial adoption of AlN powders, with their inherent hydrolytic instability constituting a fundamental weakness. Consequently, investigating and developing hydrolysis-resistant AlN powders represents a research imperative of both scientific and technological significance.
In their investigation of hydrolysis mechanisms in submicron and nano-sized AlN powders, Xu et al. [3] demonstrated a positive correlation between system temperature and hydrolysis rate, while revealing an inverse relationship between particle size and hydrolysis kinetics. Their analysis identified Al(OH)3 as the predominant hydrolysis product at ambient temperature, with AlO(OH) becoming the dominant phase under elevated thermal conditions. TEM characterization revealed that hydrolysis preferentially initiates at surface step sites, leading to the formation of amorphous phases. Researchers further established that phosphoric acid treatment effectively passivates AlN surfaces, resulting in significantly enhanced hydrolysis resistance. XRD analysis confirmed the absence of new crystalline phases following this surface modification. Additionally, the development of a thermal treatment protocol successfully generated a dense alumina protective layer on AlN surfaces, with systematic investigation of the correlation between particle size and the critical annealing temperature required for optimal hydrolysis resistance. The study also documented accelerated hydrolysis kinetics in both acidic (HCl) and basic (NaOH) environments, where AlN undergoes transformation to Al3+ and AlO2 species, respectively. Guo et al. [4] systematically outlined future research directions for enhancing the hydrolysis resistance of AlN powders, categorizing the primary approaches into two distinct strategies: surface chemical modification and physical coating techniques. Surface chemical modification involves the formation of chemical bonds between AlN surfaces and modifying agents, primarily accomplished through methods including coupling agent modification, graft copolymerization, surface oxidation, surfactant treatment, and strong acid functionalization [5]. Physical coating methodologies predominantly comprise liquid-phase encapsulation and vapor deposition techniques.
Aluminum Nitride (AlN) is a Group III-V compound characterized by its hexagonal wurtzite crystal structure and strong covalent bonding. The atomic arrangement consists of [AlN4] tetrahedra as the fundamental building blocks, with a space group of P63mc and lattice parameters of a = 0.3110 nm and c = 0.4978 nm [3]. When compared to other high-thermal-conductivity ceramic materials (Al2O3, BeO, SiC, Si3N4), AlN demonstrates superior comprehensive properties owing to its lower atomic mass, strong bonding nature, non-toxicity, low dielectric constant and loss, well-matched thermal expansion coefficient with silicon, and high mechanical strength [1]. Furthermore, AlN possesses an ultra-wide bandgap of 6.2 eV [6] with direct transition characteristics [3], rendering it an excellent electrical insulator. Thermal transport in AlN occurs primarily through phonon interactions, resulting in high intrinsic thermal conductivity. However, the practical thermal conductivity is significantly influenced by microstructural factors: porosity impedes heat propagation, impurities induce phonon scattering, and grain boundaries create interfacial barriers to thermal transport. Consequently, continuous AlN crystal structures with minimal defects are essential for optimizing phonon-mediated heat conduction [1].
AlN powders undergo rapid hydrolysis upon exposure to atmospheric moisture or aqueous environments. This hydrolytic degradation leads to decreased nitrogen content and increased oxygen incorporation into the AlN crystal lattice, consequently disrupting its structural integrity and periodicity. The introduced lattice defects and oxygen impurities act as effective phonon scattering centers, significantly degrading the thermal conductivity. Furthermore, hydrolytic susceptibility necessitates stringent storage conditions, increasing both storage costs and handling complexity. More critically, this property prohibits the application of water-based shaping techniques—including tape casting, slip casting, and spray drying, thereby substantially limiting the processing flexibility and industrial applicability of AlN powders [7].
Thermal treatment of AlN surfaces represents one approach to inhibiting hydrolysis by forming a dense alumina protective layer [8] that prevents direct water contact. However, this method suffers from significant drawbacks including high energy consumption and the introduction of oxygen impurities into the crystal structure [9]. These oxygen atoms act as phonon scattering centers, generating thermal resistance that substantially degrades the intrinsic thermal conductivity of AlN. Surface modification using high-molecular-weight organic acids (e.g., oleic acid, palmitic acid, 8-hydroxyquinoline, polyethylene glycol, stearic acid, Tween 80, silane coupling agents) has been frequently reported. According to the principle of “like dissolves like,” anhydrous ethanol is typically required as the solvent. This methodology presents several limitations: the high cost of organic modifiers, safety concerns associated with ethanol handling, and predominantly physical adsorption mechanisms that lead to gradual desorption at elevated temperatures. The resulting hydrophobic surfaces preclude water-based forming techniques such as slip casting and spray drying [10]. Additionally, subsequent sintering requires extensive binder burnout procedures that prolong processing time and generate porous, insufficiently densified ceramic structures. These residual pores act as phonon scattering centers, inducing thermal resistance and ultimately degrading the thermal conductivity of the final product.
Conventional surface chemical modification of AlN powders typically employs phosphoric acid or silane coupling agents. When phosphoric acid is utilized as a surface modifier, phosphorus incorporation into the AlN lattice during sintering occurs, disrupting crystalline integrity and periodicity [11,12]. This phosphorus-induced lattice distortion acts as phonon scattering centers, consequently degrading the thermal conductivity of the resulting AlN ceramics. Furthermore, the application of phosphoric acid raises environmental concerns due to its ecological impact. Silane coupling agents, while effective in modification, impart hydrophobic characteristics to the treated AlN powders [13]. This hydrophobicity prevents the implementation of aqueous-based forming processes. Additionally, silane modification presents economic disadvantages due to high material costs and necessitates extensive binder removal during sintering. This prolonged debonding process often results in elevated porosity within the sintered ceramics, ultimately compromising their thermal conductivity.
In this study, we propose an alternative approach using commercially available low-molecular-weight organic acids, namely oxalic acid and citric acid, as surface modifiers. These compounds offer significant advantages: their low cost, presence of hydrophilic functional groups enabling water-based processing, and elemental composition consisting exclusively of carbon, hydrogen, and oxygen. During low-temperature sintering, these organic acids undergo complete decomposition into water vapor and carbon dioxide, leaving no residual impurities. This characteristic enables the production of high-purity AlN ceramics, rendering this methodology particularly suitable for manufacturing semiconductor substrate materials where extreme purity is paramount.

2. Results and Discussion

2.1. Composite Acid-Modified AlN Powders

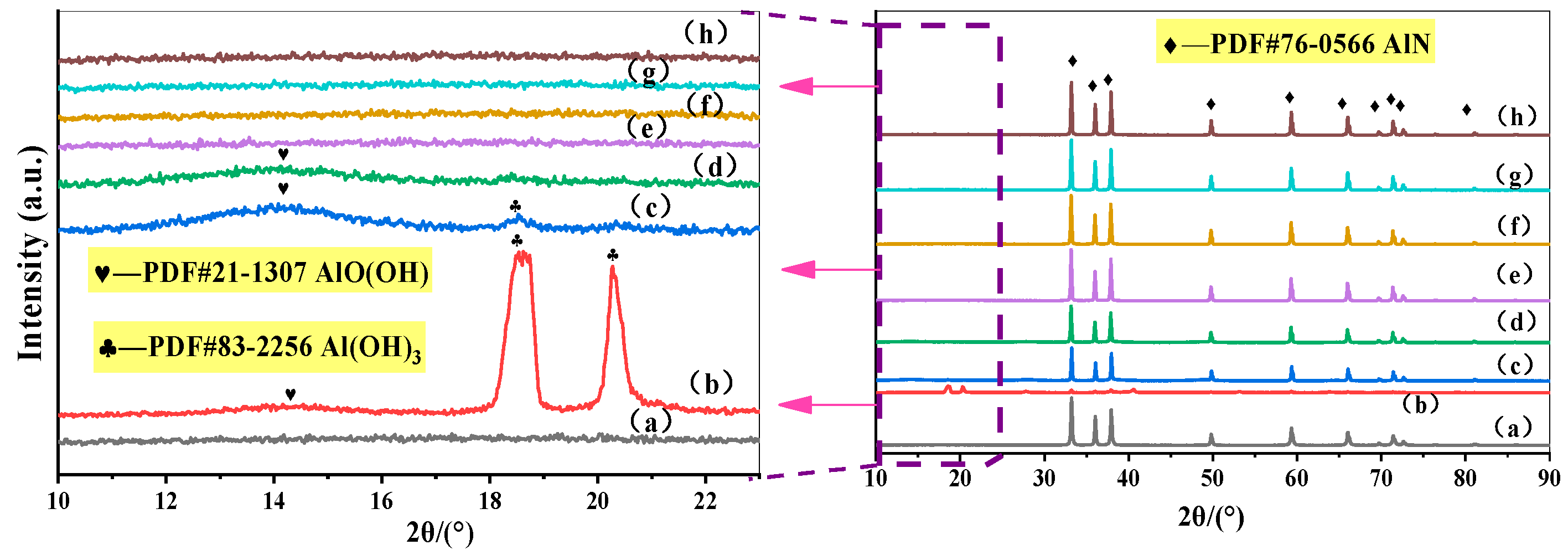
Figure 1 shows the XRD patterns of aluminum nitride (AlN) after treatment with different liquids. The results reveal that in aqueous solution, the hydrolysis products of AlN are aluminum hydroxide and aluminum oxyhydroxide, with almost no detectable diffraction peaks of AlN. In an aqueous solution containing C18H29NaO3S, the main hydrolysis product is aluminum hydroxide, while the diffraction peaks of AlN remain present. This indicates that C18H29NaO3S, acting as an organic dispersant, exhibits a certain anti-hydrolysis effect, though the effect is limited. In contrast, in organic acid solutions, the diffraction peak intensities of AlN decomposition products (aluminum hydroxide or aluminum oxyhydroxide) decrease significantly, while the diffraction peaks of crystalline AlN remain relatively strong. Among the organic acids tested, the composite acid shows the best performance, followed by citric acid, with oxalic acid being the least effective. AlN hydrolysis accelerates under extreme pH conditions through Lewis acid–base interactions, where Al3+ species coordinate with hydroxyl groups following base-catalyzed kinetics [3,4], necessitating moderate-weak acidic environments for effective modification [14]. The synergistic formulation enables complete decomposition of organic components to volatile products (H2O/CO2) during sintering, preserving AlN purity while maintaining boron-assisted sintering enhancement.
The hydrolysis resistance of AlN powder originates from an esterification-like reaction [4] between surface hydroxyl groups and carboxylic acid moieties of the modifier, forming a protective coordination layer encapsulating the AlN particles. This surface barrier effectively prevents direct contact between the powder and water molecules (Figure 2).
The successfully modified AlN surface develops a protective chemical layer that effectively suppresses the reaction with water, consequently inhibiting pH elevation and maintaining solution colorlessness. In contrast, unmodified AlN powder undergoes a dual hydrolysis process upon aqueous exposure: primary hydrolysis generates ammonia, followed by its hydration to form ammonium hydroxide, which dissociates into hydroxyl anions. This alkaline environment elevates the solution pH beyond the phenolphthalein transition range (8.2–10.0), resulting in the characteristic color shift from colorless to magenta observed in Figure 2. The underlying chemical mechanism follows these coupled reactions [15]:
AlN + 4H2O → Al(OH)3 + NH3·H2O (T < 77.85 °C)
AlN + 3H2O → AlO(OH) + NH3·H2O (T > 77.85 °C)
NH3·H2O ⇌ NH4+ + OH
The base-catalyzed hydrolysis mechanism proceeds through ammonium hydroxide dissociation (NH3·H2O ⇌ NH4+ + OH), resulting in systematic elevation of solution pH. Both the equilibrium pH value and its temporal evolution provide quantitative metrics for assessing the degree and rate of AlN hydrolysis. The hydrolytic transformation pathway demonstrates critical temperature dependence: below the transition temperature (77.85 °C), tetrahydrate hydrolysis dominates to form Al(OH)3 as the primary product; above this threshold, trihydrate hydrolysis preferentially generates metastable AlO(OH) intermediates. Subsequent hydration of amorphous AlO(OH) phases ultimately yields stable Al(OH)3, establishing a dual-phase composition of aluminum hydroxides in the final hydrolysis products under hydrothermal conditions.
The value of pH reveals distinct behavioral regimes between composite and single-acid modified AlN systems. While the composite acid formulation maintains a circumneutral pH = ~6.5 throughout the 287-day monitoring period, single-component acids (oxalic, citric, and sodium dodecylbenzenesulfonate) exhibit persistently alkaline conditions (pH > 7.0). This systematic pH divergence suggests two potential degradation pathways: single-acid systems may experience either complete passivation failure due to insufficient surface modification, or progressive degradation of the protective coordination layer through Brownian motion-induced structural defects. The subsequent alkaline environment (elevated [OH]) likely accelerates protective layer deterioration via interfacial etching mechanisms [16]. The demonstrated pH stability in composite acid systems confirms enhanced modification efficacy, attributed to the formation of a coherent protective interface with superior structural integrity and chemical resistance compared to single-acid derived layers.
As evidenced by the XRD patterns in Figure 3, composite acid-treated AlN samples (0.5, 1.0, 1.5, and 2.0 g) maintain identical diffraction profiles to pristine AlN, demonstrating effective surface modification without structural alteration. The absence of Al(OH)3 diffraction peaks confirms successful passivation against hydrolysis across the tested mass range, indicating the robust protective capability of the composite acid treatment in preserving the crystal structure of AlN under aqueous conditions.
Figure 4 reveals that the successfully modified AlN powder particles exhibit well-defined layered step-terraces with smooth surfaces enveloped by a dense frost-like coating. The morphology presents distinctive faceted or scaly polygonal structures, indicating the preservation of crystalline integrity without detectable deterioration from water molecule attack. The observed surface features demonstrate effective passivation through the composite acid modification, maintaining the structural coherence of AlN particles against hydrolytic degradation.
Figure 5 reveals the homogeneous microstructure of composite acid-modified AlN particles. Panel (b) distinctly shows a multilayer amorphous coating (between dashed lines) uniformly encapsulating the crystalline AlN core. The protective interface exhibits controlled surface topography with optimal roughness characteristics. Well-resolved lattice fringes (0.25 nm d-spacing) beneath the coating confirm the preserved wurtzite structure of the AlN substrate. Through quantitative mass-thickness contrast analysis, the grayscale variations correspond to protective layer thicknesses of 1–5 nm, demonstrating precise surface engineering at the nanoscale level. XRD analyses (Figure 1) establish that the composite acid and its individual carboxylic acid components (citric/oxalic acids) generate analogous diffraction profiles with significantly suppressed hydrolysis peaks compared to aqueous degradation. This synergistic behavior confirms that the organic acid constituents primarily mediate enhanced anti-hydrolysis performance through formation of coherent coordination complexes on AlN surfaces, effectively preserving the structural integrity against hydrolytic attack while maintaining crystallographic perfection.

2.2. Oxalic Acid-Modified AlN Powders

Systematic investigation of the optimal modification concentration was conducted using 10 mL oxalic acid solutions reacting with 1 g AlN powder at 65 °C for 6 h. Comparative XRD analysis (Figure 6) reveals that the characteristic Al(OH)3 diffraction peaks in oxalic acid-modified samples exhibit significantly lower intensity than those in hydrolyzed AlN controls. This demonstrates enhanced hydrolysis resistance in oxalic acid environments compared to aqueous conditions. However, the limited suppression of hydrolysis peaks across the tested concentration range indicates that while oxalic acid treatment confers measurable anti-hydrolysis effects at 65 °C, its protective efficacy remains suboptimal under these hydrothermal conditions.

2.3. Citric Acid-Modified AlN Powders

Figure 7 demonstrates that no hydrolysis peaks were detected in the XRD patterns of 1 g AlN powder reacted with 10 mL of 1 M citric acid solution for 6 h under isothermal conditions at 25 °C, 40 °C, 65 °C, and 80 °C. In contrast, the control experiment with deionized water exhibited temperature-dependent hydrolysis behavior: no hydrolysis products were observed at 25 °C, while characteristic Al(OH)3 diffraction peaks emerged at 40 °C and 65 °C. At 80 °C, the simultaneous presence of both Al(OH)3 and AlO(OH) phases was confirmed. The temperature-dependent hydrolysis pathways proceed according to the following reactions [14]:
            AlN(s) + 4H2O(l) → Al(OH)3(s) + NH3·H2O(aq) (T < 77.85 °C)
           AlN(s) + 3H2O(l) → AlO(OH)(s) + NH3·H2O(aq) (T > 77.85 °C)
NH3·H2O(aq) ⇌ NH4+(aq) + OH(aq)
Al(OH)3, being an amphoteric compound, undergoes acidic dissociation in alkaline media as follows:
Al(OH)3 + OH(aq)→AlO2 + 2H2O
The hydrolysis of AlN generates ammonia, which exists as ammonium hydroxide in aqueous solution. Subsequent dissociation produces OH ions, establishing an alkaline environment that accelerates hydrolysis via base catalysis [3]. However, the amphoteric nature of Al(OH)3 enables acidic dissociation, effectively neutralizing the OH generated during hydrolysis and maintaining a neutral pH, thereby retarding further reaction. In citric acid solution, AlN retains its hydrolysis resistance even at 65 °C. Since elevated temperature promotes the modification reaction kinetics, 65 °C is identified as the optimal temperature for achieving effective surface modification of AlN powders.
Systematic investigation to determine the optimal modification concentration of citric acid for 1 g AlN powder was conducted under isothermal conditions at 65 °C. With concentration gradients established at 0.25 M intervals, XRD analysis in Figure 8 demonstrates that citric acid solutions at concentrations ≥0.75 M achieve effective surface modification of AlN powders under these hydrothermal conditions.
Figure 9 reveals well-defined terraced structures on the modified AlN particle surfaces, exhibiting faceted or scaly polygonal configurations with smooth surface topography.
Figure 10 demonstrates the progressive degradation of AlN powder in aqueous environment, exhibiting substantial surface roughening with ill-defined terrace structures. The deteriorated morphology presents disintegrated architectures with characteristic flaky and acicular hydrolysis products, indicative of comprehensive hydrolytic corrosion under hydrothermal conditions.

3. Materials and Methods

3.1. Materials and Experimental Procedure

The surface modification of aluminum nitride (AlN, Figure 11) powder was performed according to the following experimental procedure. Initially, 1.0 g of AlN powder was accurately weighed and introduced into a centrifuge tube containing 10 mL of an aqueous modifier solution (Table 1). The anionic surfactant sodium dodecylbenzenesulfonate (C18H29NaO3S) was used as the dispersant. A very small quantity of boric acid was incorporated into the low-molecular-weight organic acid, acting as a buffer.
The reaction system was maintained under controlled temperature conditions using a thermostatic water bath, with the centrifuge tube immersed in a beaker filled with deionized water. Subsequently, the modified powder was separated by centrifugation at 1500 rpm for 15 min, followed by two successive washing cycles with deionized water to remove any residual modifiers. The resulting sediment was transferred to a crucible and dried at 100 °C for 10 min in an oven. The dried powder was then carefully ground using an agate mortar, sieved through a 250-mesh screen, and subjected to subsequent characterization. Phase identification was carried out by X-ray diffraction (XRD) analysis, while morphological characterization was performed using scanning electron microscopy (SEM) after depositing a conductive thin film on the sample surface.

3.2. Characterization Methods

X-ray powder diffraction (XRD) patterns were obtained using a Miniflex600 diffractometer (RIGAKU, Tokyo, Japan) operated at 40 kV and 15 mA with Cu Kα (0.15418 nm), a curved graphite secondary monochromator, a scan range of 5°2θ to 90°2θ, a step width of 0.02°2θ, and a scan speed of 10°/min. The incident X-ray beam was filtered by a nickel (Ni) filter to remove the Kβ component. The Rigaku MiniFlex 600 X-ray diffractometer incorporates a real-time angle calibration system, a compact detector, and a detector monochromator, which significantly enhances angular accuracy, intensity, and peak-to-background ratio.
The microstructure of the samples was examined using a SU 5000 scanning electron microscope (Hitachi, Tokyo, Japan) with a field emission gun operating normally at 5–10 kV of acceleration voltage in a high vacuum environment. Specimen preparation involved mounting powder samples on conductive adhesive followed by Au/Pd sputter-coating to ensure surface conductivity. Samples were subsequently transferred to the microscope chamber under high vacuum conditions for characterization.
The morphology of the samples was examined by using a transmission electron microscope (TEM, JEM-2100F, Tokyo, Japan) operated at 100~200 kV. The micrographs of the samples were obtained from powdered samples deposited on a holey Cu grid.

4. Conclusions

The composite acid formulation was designed with citric acid, and oxalic acid. Since AlN powder inevitably undergoes surface hydrolysis upon exposure to air or aqueous solutions, generating Al(OH)3, the particle surfaces possess abundant hydroxyl groups. Both oxalic and citric acids, being low-molecular-weight organic acids containing carboxyl groups, undergo esterification-like reactions with these surface hydroxyl groups to form protective coatings encapsulating the AlN particles. Initial investigation confirmed the effective modification performance of the composite acid after 287 days of reaction at 25 °C. Subsequent evaluation of individual components revealed that both citric acid and oxalic acid contribute to hydrolysis resistance. Further optimization of citric acid modification identified 65 °C as the optimal temperature, with concentrations ≥0.75 M in 10 mL solution providing effective protection within 6 h. In contrast, oxalic acid demonstrated limited anti-hydrolysis efficacy under identical conditions.

Author Contributions

Drafting and the manuscript, Y.Y.; Investigation, L.W.; interpretation of the data, S.L. and C.Z.; writing—review and editing, S.L. and J.L.; Funding acquisition, S.L. and X.L.; formal analysis, X.L. and Y.Y.; conception and planning of the work, C.Z. and J.L. All authors have read and agreed to the published version of the manuscript.

Funding

The Special Project in Key Fields of General Universities in Guangdong Province (2024ZDZX3030 and 2024ZDZX3029), the Mentorship Support Program of Hanshan Normal University (XWT2025101), the Scientific Research Project of the Department of Education of Guangdong Province (2025KQNCX044), the First-Class Course Construction Project for “Ceramic Technology” at Hanshan Normal University (E23169) and the Scientific Research Project of Hanshan Normal University (XQL202403).

Institutional Review Board Statement

Not applicable.

Informed Consent Statement

Not applicable.

Data Availability Statement

The data presented in this study are available on request.

Acknowledgments

The Guangdong Chaoshan Institute of Higher Education and Technology are acknowledged.

Conflicts of Interest

The authors declare no conflicts of interest.

References

  1. Li, W.X. Study on Hydrolysis-Resistant Modification of AlN Powder and Carbothermal Reduction Sintering of AlN Ceramics. Master’s Thesis, South China University of Technology, Guangzhou, China, 2019. [Google Scholar]
  2. Zhang, S.; Cheng, W.G. Analysis of domestic patent technology for aluminum nitride powder preparation. Zhongguo Keji Xinxi 2023, 8, 28–31. [Google Scholar]
  3. Xu, L.W. Study on Hydrolysis Behavior and Hydrolysis Resistance of AlN Powder. Master’s Thesis, Nanchang University, Nanchang, China, 2010. [Google Scholar]
  4. Guo, J.; Qiu, T.; Yang, J. Research progress in hydrolysis-resistant treatment of AlN powders. Electron. Compon. Mater. 2009, 28, 80–84. [Google Scholar]
  5. Zhang, C.Y.; Yu, Y.L.; Yang, H.; Wu, Y.Y.; Zhong, M.F.; Lin, S.M.; Zhang, Z.J.; Xu, W.; Wu, L.G. Mechanism for the hydrolysis resistance of aluminum nitride powder modified by boric acid. Ceram. Int. 2022, 48, 32696–32702. [Google Scholar] [CrossRef]
  6. Lan, J.; Ma, S.Q.; Li, Y.K.; Yin, L.S. Research progress in preparation and application of aluminum nitride powder. J. Ceram. 2021, 42, 44–53. [Google Scholar]
  7. He, J.X.; Hu, J.L.; Chen, B.; Deng, R.Y.; Wang, J.C. Research progress on hydrolysis behavior and anti-hydrolysis modification of AlN powders. China Ceram. Ind. 2022, 29, 39–43. [Google Scholar]
  8. Li, Y.; Qiu, T.; Zhou, W.; Li, M.; He, X.C.; Xu, J. Effect of Heat Treatment on Water Resistance of Aluminum Nitride Powder. J. Chin. Ceram. Soc. 1997, 5, 107–112. [Google Scholar]
  9. Yao, Y.; Liu, B.; Su, J.; Jiang, X.L.; Wang, T. Hydrolysis Resistance of AlN Powder in N2-O2 Atmosphere. J. Nanjing Univ. Inf. Sci. Technol. (Nat. Sci. Ed.) 2014, 6, 69–73. [Google Scholar]
  10. Lu, H.; Qin, M.; He, Q.; Liu, C.; Qu, X.H. Effect of Surface Treatment on Hydration Resistance of Aluminum Nitride Powder. Vac. Electron. Technol. 2015, 4, 36–38. [Google Scholar]
  11. Xu, L.; Tang, J.; Zhou, Y.; Liu, M.; Hu, D.P. Effect of Phosphoric Acid Pickling on Hydrolysis Resistance of AlN Powder. China Ceram. 2010, 46, 51–55. [Google Scholar]
  12. Guo, J.; Qiu, T. Modification of Aluminum Nitride Powder by Ball Milling with Aluminum Dihydrogen Phosphate and Phosphoric Acid. Inorg. Chem. Ind. 2010, 42, 30–33. [Google Scholar]
  13. Ganesh, I.; Olhero, S.M.; Araújo, A.B.; Correia, M.R.; Sundararajan, G.; Ferreira, J.M.F. Chemisorption of Phosphoric Acid and Surface Characterization of As Passivated AlN Powder Against Hydrolysis. Langmuir 2008, 24, 5359–5365. [Google Scholar] [CrossRef] [PubMed]
  14. Zhang, Y.; Liu, M.; Tang, J. Effect of pH Value on Hydrolysis Products of AlN Powder. J. Ceram. 2011, 32, 231–234. [Google Scholar]
  15. Xu, L.; Liu, M.; Hu, D.; Zhang, Y.; Hong, J.M.; Tang, J.C. Study on Hydrolysis Behavior of Aluminum Nitride Powder. Appl. Sci. Technol. 2009, 36, 1–5. [Google Scholar]
  16. Shan, H.; Zhang, Z. Organic Surface Treatment and Hydrolysis Kinetics of AlN Powder. J. Inorg. Mater. 1998, 5, 667–673. [Google Scholar]
Figure 1. XRD patterns of 1 g AlN powder after 287-day exposure to 10 mL of different modifiers at 25 °C. Reference patterns: AlN (PDF #76-0566), Al(OH)3 (PDF #83-2256), and AlO(OH) (PDF #21-1307). (a) The raw materials; (b) Aqueous solution; (c) Composite acid; (d) 0.10 M citric acid; (e) 1.00 M oxalic acid; (f) 0.01 M sodium dodecylbenzenesulfonate.
Figure 1. XRD patterns of 1 g AlN powder after 287-day exposure to 10 mL of different modifiers at 25 °C. Reference patterns: AlN (PDF #76-0566), Al(OH)3 (PDF #83-2256), and AlO(OH) (PDF #21-1307). (a) The raw materials; (b) Aqueous solution; (c) Composite acid; (d) 0.10 M citric acid; (e) 1.00 M oxalic acid; (f) 0.01 M sodium dodecylbenzenesulfonate.
Inorganics 14 00030 g001
Figure 2. Comparative analysis of phenolphthalein indicator reactions with AlN before and after composite acid modification.
Figure 2. Comparative analysis of phenolphthalein indicator reactions with AlN before and after composite acid modification.
Inorganics 14 00030 g002
Figure 3. XRD patterns of 10 mL modifier reacting with different AlN powder masses at 25 °C for 67 days.
Figure 3. XRD patterns of 10 mL modifier reacting with different AlN powder masses at 25 °C for 67 days.
Inorganics 14 00030 g003
Figure 4. SEM image of 1 g AlN powder after 67-day reaction with 10 mL composite acid at 25 °C. (a) 10 µm; (b) 2 µm; (c) 2 µm; (d) 200 nm.
Figure 4. SEM image of 1 g AlN powder after 67-day reaction with 10 mL composite acid at 25 °C. (a) 10 µm; (b) 2 µm; (c) 2 µm; (d) 200 nm.
Inorganics 14 00030 g004
Figure 5. TEM image of 1 g AlN powder after 67-day reaction with 10 mL composite acid at 25 °C. (a) 50 nm; (b) 10 nm.
Figure 5. TEM image of 1 g AlN powder after 67-day reaction with 10 mL composite acid at 25 °C. (a) 50 nm; (b) 10 nm.
Inorganics 14 00030 g005
Figure 6. XRD patterns of 1 g AlN powder reacting with 10 mL of oxalic acid solutions at different concentrations under isothermal conditions at 65 °C for 6 h. Reference patterns: AlN (PDF #76-0566) and Al(OH)3 (PDF #83-2256). (a) Pristine AlN; (b) Aqueous solution; (c) 0.25 M oxalic acid; (d) 0.50 M oxalic acid; (e) 0.75 M oxalic acid; (f) 1.00 M oxalic acid; (g) 1.25 M oxalic acid; (h) 1.50 M oxalic acid.
Figure 6. XRD patterns of 1 g AlN powder reacting with 10 mL of oxalic acid solutions at different concentrations under isothermal conditions at 65 °C for 6 h. Reference patterns: AlN (PDF #76-0566) and Al(OH)3 (PDF #83-2256). (a) Pristine AlN; (b) Aqueous solution; (c) 0.25 M oxalic acid; (d) 0.50 M oxalic acid; (e) 0.75 M oxalic acid; (f) 1.00 M oxalic acid; (g) 1.25 M oxalic acid; (h) 1.50 M oxalic acid.
Inorganics 14 00030 g006
Figure 7. XRD patterns of 1 g AlN powder after 6 h reaction with 10 mL of different solutions under isothermal conditions. (a) 25 °C aqueous solution; (b) 25 °C 1 M citric acid; (c) 40 °C aqueous solution; (d) 40 °C 1 M citric acid; (e) 65 °C aqueous solution; (f) 65 °C 1 M citric acid; (g) 80 °C aqueous solution; (h) 80 °C 1 M citric acid.
Figure 7. XRD patterns of 1 g AlN powder after 6 h reaction with 10 mL of different solutions under isothermal conditions. (a) 25 °C aqueous solution; (b) 25 °C 1 M citric acid; (c) 40 °C aqueous solution; (d) 40 °C 1 M citric acid; (e) 65 °C aqueous solution; (f) 65 °C 1 M citric acid; (g) 80 °C aqueous solution; (h) 80 °C 1 M citric acid.
Inorganics 14 00030 g007
Figure 8. XRD patterns of 1 g AlN powder reacting with 10 mL of citric acid solutions at different concentrations under isothermal conditions at 65 °C for 6 h. Reference patterns: AlN (PDF #76-0566), Al(OH)3 (PDF #83-2256), and AlO(OH) (PDF #21-1307). (a) Pristine AlN; (b) Aqueous solution; (c) 0.25 M citric acid; (d) 0.50 M citric acid; (e) 0.75 M citric acid; (f) 1.00 M citric acid; (g) 1.25 M citric acid; (h) 1.50 M citric acid.
Figure 8. XRD patterns of 1 g AlN powder reacting with 10 mL of citric acid solutions at different concentrations under isothermal conditions at 65 °C for 6 h. Reference patterns: AlN (PDF #76-0566), Al(OH)3 (PDF #83-2256), and AlO(OH) (PDF #21-1307). (a) Pristine AlN; (b) Aqueous solution; (c) 0.25 M citric acid; (d) 0.50 M citric acid; (e) 0.75 M citric acid; (f) 1.00 M citric acid; (g) 1.25 M citric acid; (h) 1.50 M citric acid.
Inorganics 14 00030 g008
Figure 9. SEM image of 1 g AlN powder after 6 h reaction with 10 mL of 1 M citric acid solution under isothermal conditions at 65 °C. (a) 20 µm; (b) 4 µm.
Figure 9. SEM image of 1 g AlN powder after 6 h reaction with 10 mL of 1 M citric acid solution under isothermal conditions at 65 °C. (a) 20 µm; (b) 4 µm.
Inorganics 14 00030 g009
Figure 10. SEM image of 1 g AlN powder after 6 h reaction with 10 mL aqueous solution under isothermal conditions at 65 °C. (a) 20 µm; (b) 4 µm; (c) 4 µm.
Figure 10. SEM image of 1 g AlN powder after 6 h reaction with 10 mL aqueous solution under isothermal conditions at 65 °C. (a) 20 µm; (b) 4 µm; (c) 4 µm.
Inorganics 14 00030 g010
Figure 11. XRD pattern of the raw AlN material.
Figure 11. XRD pattern of the raw AlN material.
Inorganics 14 00030 g011
Table 1. The composition of different aqueous solutions.
Table 1. The composition of different aqueous solutions.
The Main CompositionC (mol/L)
H2C2O4·2H2O1.00
C6H8O7·H2O0.10
H2C2O4·2H2O + C6H8O7·H2O1.00 + 0.1
C18H29NaO3S0.01
Disclaimer/Publisher’s Note: The statements, opinions and data contained in all publications are solely those of the individual author(s) and contributor(s) and not of MDPI and/or the editor(s). MDPI and/or the editor(s) disclaim responsibility for any injury to people or property resulting from any ideas, methods, instructions or products referred to in the content.

Share and Cite

MDPI and ACS Style

Wu, L.; Yu, Y.; Lin, S.; Li, X.; Zhang, C.; Luo, J. Low Molecular Weight Acid-Modified Aluminum Nitride Powders for Enhanced Hydrolysis Resistance. Inorganics 2026, 14, 30. https://doi.org/10.3390/inorganics14010030

AMA Style

Wu L, Yu Y, Lin S, Li X, Zhang C, Luo J. Low Molecular Weight Acid-Modified Aluminum Nitride Powders for Enhanced Hydrolysis Resistance. Inorganics. 2026; 14(1):30. https://doi.org/10.3390/inorganics14010030

Chicago/Turabian Style

Wu, Linguang, Yaling Yu, Shaomin Lin, Xianxue Li, Chenyang Zhang, and Ji Luo. 2026. "Low Molecular Weight Acid-Modified Aluminum Nitride Powders for Enhanced Hydrolysis Resistance" Inorganics 14, no. 1: 30. https://doi.org/10.3390/inorganics14010030

APA Style

Wu, L., Yu, Y., Lin, S., Li, X., Zhang, C., & Luo, J. (2026). Low Molecular Weight Acid-Modified Aluminum Nitride Powders for Enhanced Hydrolysis Resistance. Inorganics, 14(1), 30. https://doi.org/10.3390/inorganics14010030

Note that from the first issue of 2016, this journal uses article numbers instead of page numbers. See further details here.

Article Metrics

Back to TopTop