Next Article in Journal
DNA and BSA Binding, Molecular Docking Interactions and ADMET Properties of New PEPPSI-Type Palladium Complexes
Previous Article in Journal
The Effect of the Glycine-to-Oxidant Ratio on the Characteristics and Catalytic Performance of VOx/MgO Catalysts for ODH of n-Octane
Previous Article in Special Issue
Two Mechanism Pathways from a Versatile Arene Ruthenium Assembly: Reaching Aqueous Sensing Reversibility and Selectivity for CN
 
 
Font Type:
Arial Georgia Verdana
Font Size:
Aa Aa Aa
Line Spacing:
Column Width:
Background:
Article

Blue and Green Phosphorescent Organic Light-Emitting Diodes Based on Bis(cyclometalated) Tetrahydrocurcuminate Iridium(III) Complexes

by
Francesco Fagnani
1,
Alessia Colombo
1,*,
Claudia Dragonetti
1,
Mattia Fontani
1,
Dominique Roberto
1,*,
Massimo Cocchi
2,
Simona Fantacci
3 and
J. A. Gareth Williams
4
1
Department of Chemistry, University of Milan, UdR-INSTM, Via C. Golgi 19, I-20133 Milan, Italy
2
Istituto per la Sintesi Organica e la Fotoreattività (ISOF), Consiglio Nazionale delle Ricerche (CNR), Via P. Gobetti 101, 40129 Bologna, Italy
3
Istituto di Scienze e Tecnologie Chimiche ‘‘Giulio Natta’’ SCITEC, Consiglio Nazionale delle Ricerche (CNR), Computational Laboratory for Hybrid/Organic Photovoltaics (CLHYO), Via Elce di Sotto 8, 06213 Perugia, Italy
4
Department of Chemistry, Durham University, Durham DH13LE, UK
*
Authors to whom correspondence should be addressed.
Inorganics 2025, 13(12), 390; https://doi.org/10.3390/inorganics13120390
Submission received: 23 October 2025 / Revised: 21 November 2025 / Accepted: 26 November 2025 / Published: 27 November 2025

Abstract

The non-linear optical and antitumoral properties of cis-Ir(N,C-ppy)2(O,O-THC) have previously been established (where ppy and THC are the deprotonated forms of 2-phenylpyridine and tetrahydrocurcumin, respectively). In the present study, this complex is investigated as a green phosphorescent emitter for an OLED fabricated by solution processing. The device efficiency is similar to that of an analogue employing the archetypal complex cis-Ir(N,C-ppy)2(O,O-acac), but shows a higher luminance at low applied voltages (<6 V). In order to explore whether this effect might be observed in the blue region too, a new derivative has been prepared and characterized, namely cis-Ir(N,C-F2ppy)2(O,O-THC) (F2ppyH = 2-(2,4-difluorophenyl)pyridine). It, too, gives an OLED with a particularly high luminance at low voltage, suggesting a beneficial effect of substituting acetylacetonate by tetrahydrocurcuminate.

1. Introduction

In the last three decades, much work has been dedicated to phosphorescent iridium(III) and platinum(II) complexes as emitters in organic light-emitting diodes (OLEDs), because the efficient spin–orbit coupling (SOC) associated with the heavy metal centre favours intersystem crossing and thus radiative decay from triplet excited states [1].
Thus, in 1998, Forest et al. reported the first example of a platinum(II) complex as an emitter in an OLED [2]. They observed that the efficiency of OLEDs can be enhanced by the presence of a fluorescent molecule but, since the energy transfer from the host to the fluorophore occurs via excitons, only the singlet (S) spin states cause fluorescence; these are only ca 25% of the global excited-state population, the rest being triplet (T) states. Phosphorescent molecules provide a route for achieving improved light-emission efficiencies, as emission may result from both S and T states. In a host material doped with a phosphorescent platinum(II) porphine, highly efficient energy transfer from singlet to triplet states and subsequent radiative decay of T1 was achieved, leading to a device generating red emission with external quantum efficiency (EQE) of 4% [2]. Since this pioneering work, a huge array of platinum and iridium complexes have been prepared as potential emitters for variously coloured OLEDs, which are renovating the lighting and display industries [3,4,5].
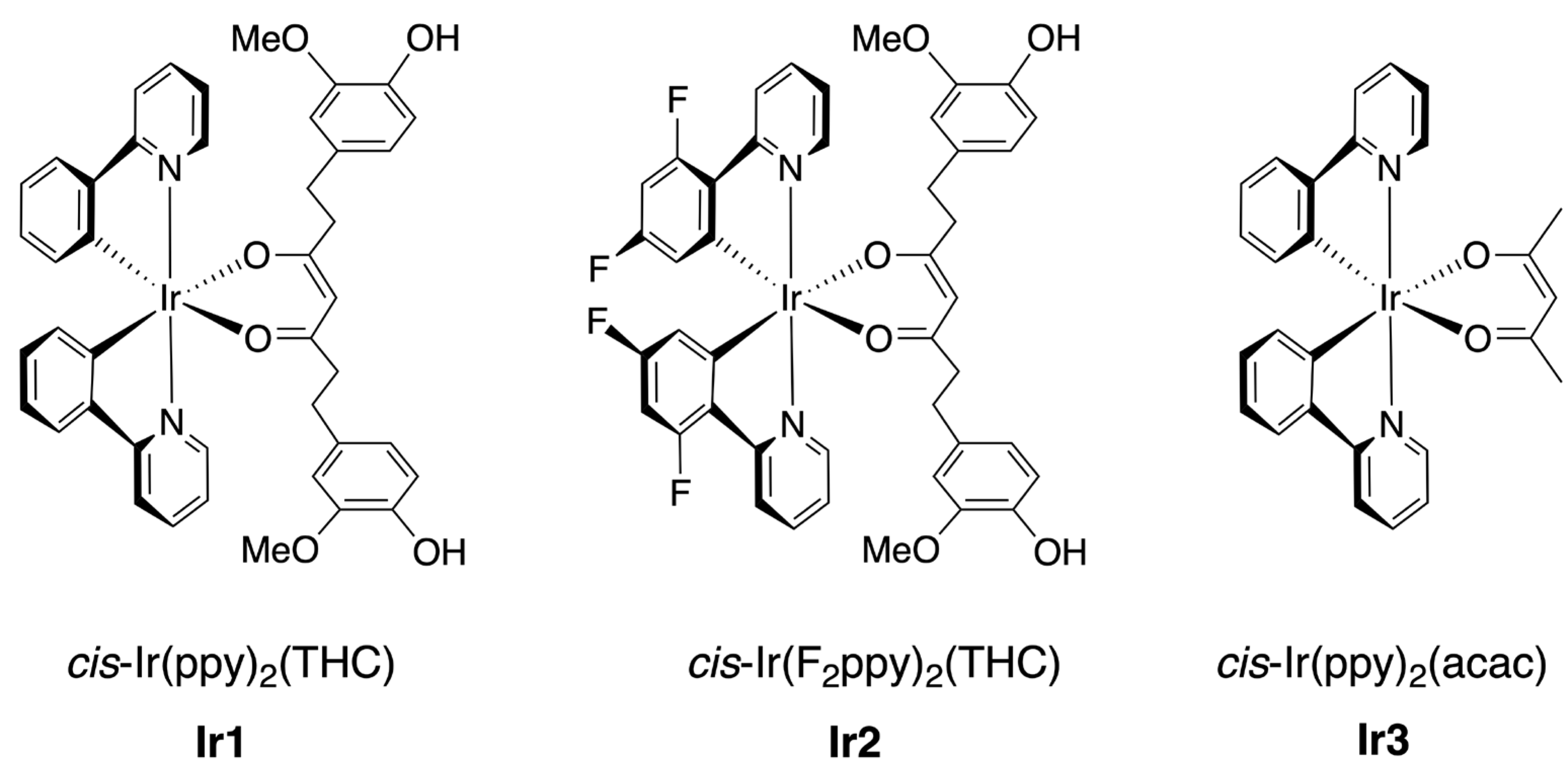
Whilst the tris-cyclometalated fac-Ir(N,C-ppy)3 remains the gold standard in the field, bis-cyclometalated analogues that feature two aryl-heterocycles—in combination with an O,O- or N,N-chelating ligand to complete the coordination sphere—have been widely explored, too [6]. The archetypal example is cis-Ir(N,C-ppy)2(O,O-acac) (Ir3 in Figure 1), an efficient green emitter (λmax = 516 nm, lifetime τ = 1.6 µs [7]). The high performance of a pioneering OLED prepared using this complex (electroluminescence λmax = 520 nm) was attributed to the ca 100% internal phosphorescence efficiency of the iridium complex, coupled with balanced hole and electron injection, and triplet exciton confinement within the light-emitting layer [8]. Since that report, Ir3 has been widely used for the fabrication of various green [9,10,11,12,13,14,15,16] and—by co-doping with other phosphorescent emitters—orange [17] and white [18,19] OLEDs.
The emission colours from derivatives of Ir3 are strongly dependent on the identity of the N,C-cyclometalating ligand, ranging from blue to red [7,20], the lowest-energy (emissive) excited state in these complexes having a mixture of 3MLCT and 3ππ* character [9]. Thus, for example, substitution of ppy by 2-phenyl-benzothiozolate or 2-(2′-benzothienyl)pyridine led to yellow or red OLEDs, respectively [9]. Meanwhile, as the introduction of fluorine atoms into the ppy ligand depletes the electron density in the highest filled orbitals, Ir(N,C-F2ppy)2(O,O-acac) is blue-shifted (λmax= 481 nm, τ = 1.0 µs, Φ = 0.64), offering a route to a blue OLED (F2ppy = 2-(2,4-difluorophenyl)pyridine) [20]. The investigation of new iridium(III)-based phosphors nevertheless remains of interest to improve OLED efficiency, longevity, and other desirable properties for the display industries and emerging technologies [21].

2. Results and Discussion

Previously, we found that an analogue of Ir3 incorporating tetrahydrocurcumin (THC) in place of the acac ligand—namely cis-Ir(N,C-ppy)2(O,O-THC) denoted Ir1 in Figure 1—displays impressive phosphorescence in solution under ambient conditions: λmax = 520 nm, τ = 1.8 µs, Φ = 0.90 [22,23]. THC–H is a β-diketone, closely related to acac–H, but carrying 4-hydroxy-3-methoxybenzyl substituents at each end (Figure 1). Apparently, these substituents help to suppress the non-radiative decay of the T1 state of Ir1 in solution, but no work was undertaken to probe whether this enhanced performance conferred by the THC ligand might translate into an OLED. In the present work, we describe a solution-fabricated OLED that incorporates Ir1, together with a device featuring the newly synthesized derivative Ir(N,C-F2ppy)(O,O-THC), Ir2. The device performance is compared with that of an equivalent OLED that employs Ir3 as the emitter (Figure 1).
Complexes Ir1 and Ir3 were synthesized according to the literature [7,23]. The new complex Ir2 was readily prepared in two steps, in the same as Ir1 [23] (Scheme 1):
(i)
Preparation of the known chloro-bridged dimer [Ir(N,C-F2ppy)2(µ-Cl)]2 from F2ppyH and IrCl3.3H2O [20];
(ii)
Bridge-splitting reaction with the tetrahydrocurcumin anion THC obtained upon treatment of THC–H with sodium methoxide in methanol.
The resulting complex was purified by recrystallization and characterized as described under Section 3.
Scheme 1. The synthetic route to Ir2.
Scheme 1. The synthetic route to Ir2.
Inorganics 13 00390 sch001
The UV–visible absorption spectrum of Ir2 in dichloromethane at 295 K shows intense bands in the ultraviolet region <330 nm attributed to the spin allowed 1(π–π*) transitions of the arylpyridine ligands, accompanied by somewhat weaker bands at longer wavelengths, extending into the visible region and tailing off by around 480 nm (Figure 2). The spectral profile is typical of cyclometallated iridium complexes, with the latter set of bands being due to metal-to-ligand charge-transfer transitions [7,9,20,24,25,26,27,28,29]. The lower-energy set of bands are clearly shifted relative to that of Ir1 (by around 1550 cm−1 for the lowest-energy band), whose absorption tails significantly further into the visible region, to > 500 nm. Such a shift is typical of the introduction of fluoro substituents into the aryl rings of Ir(N,C-ppy)-based complexes, primarily reflecting the stabilization of the pertinent filled orbitals, as confirmed by computational modelling based on the Density Functional Theory approach (see Supplementary Information).
The complex is quite strongly photoluminescent in deoxygenated solution, emitting in the blue-green region, λmax = 484 nm (Figure 2). This constitutes a blue-shift of about 1430 cm−1 compared to Ir1 (520 nm), comparable to the effect on the absorption bands. Otherwise, the two complexes have very similar spectral profiles, with just a hint of a second vibrational component being observed to lower energy in each case. At 77 K, the vibrational structure becomes more highly resolved, with the components due to transitions to the 1st, 2nd, and (for Ir2) 3rd vibrational levels of the electron ground state clearly visible, and with a progression of around 1400 cm−1. The luminescence lifetime and quantum yield of Ir2 are, respectively, shorter and smaller than those of Ir1 (τ = 1.1 and 1.8 µs; Φ = 0.32 and 0.90, respectively). This probably reflects a higher propensity of the higher-energy emissive state of Ir2 to non-radiative decay, possibly via higher-lying d-d states, mirroring to some extent what is found for the corresponding acac complexes [20]). It also translates to the OLED performance data (vide infra).
The key photophysical parameters of Ir1, Ir2 and Ir3 are summarized in Table 1.
We turned to the question of the potential of these THC complexes as emitters for OLEDs. As they have high solubility in chlorinated solvents, they are amenable to device fabrication by solution processing, which is considered the way forward for mass production of large-area lighting devices owing to lower cost [30]. OLEDs were prepared (see Section 3) with an emitting layer of TCTA (4,4′,4″-tris(N-carbazolyl)triphenylamine) containing 6% w/w of the iridium complex (Ir1, Ir2, or Ir3), deposited by spin-coating from a solution in dichloromethane. Holes were injected from an indium tin oxide anode and passed through the TCTA emitting layer containing the iridium complex by means of PEDOT (poly(3,4-ethylenedioxythiophene), a conductive polymer). Electrons were injected from the cathode of Al/LiF and transported with a layer of TPBi (2,2′,2″-(1,3,5-benzinetriyl)-tris (1-phenyl-1H-benzimidazole)) to the emitting layer where charges recombined. An energy level diagram for the devices is represented in Figure 3.
Electroluminescence (EL) spectra and photographs of the fabricated OLEDs are shown in Figure 4. The external efficiency and luminance of the devices as a function of current density and applied voltage are plotted in Figure 5.
As shown in Figure 4, the OLEDs based on the ppy-containing complexes Ir1 and Ir3 give a green emission; their EL spectra are essentially identical, with λmax = 525 nm and CIE coordinates that are almost equal: (0.28; 0.62) for Ir1 and (0.28; 0.63) for Ir3. The emission of the OLED containing Ir2 is substantially blue-shifted, as expected, with λmax = 480 nm and CIE coordinates of (0.17; 0.38). The maximum EQE achieved is similar for Ir1 and Ir3 (between 5 and 6%, Figure 5 inset), but is somewhat lower for Ir2, at just under 4%. This tallies with the conclusion from the solution data, namely that the excited state of the fluorinated complex is subject to faster non-radiative decay at ambient temperature, compromising the efficiency.
Interestingly, at applied voltages <6 V, the OLEDs based on either Ir1 or Ir2 afford a notably higher luminance than the device based on Ir3 (note the logarithmic scale of luminance in Figure 5). This observation indicates a beneficial effect of substituting acac by THC, at least at low voltages, although the origin of the effect is not clear. The roll-off of the EL efficiency at high applied voltage in each case is, however, typical of all such devices, and is caused by high-field induced exciton dissociation and to exciton–charge and/or exciton–exciton interactions [31].
Finally, it is worth pointing out that in all three OLEDs, there is no significant contribution to the EL from the TBPi electron-transporting or TCTA layers, demonstrating good charge carrier confinement within the emitting layer and complete energy transfer from the excited states of TCTA (formed by charge recombination) to the iridium emitters.

3. Materials and Methods

3.1. General Comments

All the reagents and the solvents were used as received from the supplier. Complexes Ir1 [23] and Ir3 [7], and the intermediate [Ir(N,C-F2ppy)2(µ-Cl)]2 [20] were prepared as previously reported. The NMR spectra were recorded on a Bruker AV III 400 MHz spectrometer. Elemental analyses were carried out by the Department of Chemistry of the University of Milan.

3.2. Synthesis of Complex Ir2

Tetrahydrocurcumin (37.0 mg, 0.1 mmol) was dissolved in methanol (3 mL) and NaOMe (5.4 mg, 0.1 mmol) was added. The mixture was stirred for 1 h at 0 °C and then [Ir(Fppy)2(µ-Cl)]2 (60.0 mg, 0.05 mmol) was added. The yellow solution was stirred at reflux for 24 h. The resulting yellow precipitate was filtered off, then dissolved in the minimum amount of dichloromethane and re-precipitated by addition of diethylether, giving the product as an orange precipitate in 51% yield.
1H-NMR (400 MHz, CD3CN): δ (ppm) 8.24 (d, J = 8.2 Hz, 2H), 8.14 (d, J = 4.8 Hz, 2H), 7.93 (t, J = 8.2 Hz, 2H), 7.20 (t, J = 5.8 Hz, 2H), 6.68 (d, J = 1.9 Hz, 2H), 6.60 (d, J = 8.7 Hz, 2H), 6.49 (ddd, 1J = 9.6 Hz, 2J = 2.4 Hz, 2H), 6.34 (dd, 1J = 8.7 Hz, 2J = 1.9 Hz, 2H), 5.64 (dd, 1J = 9.6 Hz, 2J = 2.4 Hz, 2H), 5.38 (s, 1H), 3.76 (s, 6H), 2.82 (m, 2H) 2.58 (m, 4H), 2.37 (m, 2H).
13C-NMR (100.6 MHz, CD3CN): δ (ppm) 187.8, 167.9, 162.2, 148.4, 138.7, 122.7, 122.5, 120.7, 114.7, 114.5, 111.9, 100.1, 96.9, 55.6, 42.2, 31.5.
Elemental Analysis for C43H35F4IrN2O6. Calcd %.: C 54.71; H, 3.74; N, 2.97. Found: C 54.98; H 3.76; N 2.96.

3.3. Photophysical Characterization

Absorption spectra, emission, and excitation spectra were recorded as previously described for Ir1 [22]. The luminescence quantum yield was obtained using aqueous [Ru(bpy)3]Cl2 as the standard (Φ = 0.04 in air-equilibrated aqueous solution [32]). The luminescence lifetimes were obtained by time-correlated single-photon counting (TCSPC), as previously described [22].

3.4. OLED Fabrication

The OLEDs were fabricated by using both wet and dry processes (spin coating and sublimation in high vacuum) on a pre-cleaned glass substrate made of indium tin oxide (ITO). Holes were injected from the ITO anode and passed through a 40 nm thick transporting layer made of poly(3,4-ethylenedioxythiophene) (PEDOT). Electrons were injected from a Al(100 nm)/LiF (0.5 nm) cathode and transported to the emitting layer thanks to a layer of 2,2′,2′′-(1,3,5-benzinetriyl)-tris(1-phenyl-1H-benzimidazole) (TPBi, with a 30 nm thickness). Charges recombined in the emitting layer (thickness of 40 nm) made of 4,4′,4′′-tris (N-carbazolyl-triphenylamine) (TCTA) containing the suitable iridium complex (6% wt).
The current–voltage characteristics, the light output power, and the electroluminescence (EL) spectra were obtained as previously reported [33]. All measurements were performed at room temperature under an Ar atmosphere and were repeated for various runs, excluding any irreversible morphological and chemical changes in the devices.

4. Conclusions

In conclusion, this work shows that cis-Ir(N,C-ppy)2(O,O-THC)—already known for its good luminescent [22], non-linear optical [23], and antitumoral [22] properties—can also be used as a green emitter for the fabrication of solution-processable OLEDs with an efficiency similar to that reached with the archetypal cis-Ir(N,C-ppy)2(O,O-acac). Interestingly, at applied voltages < 6 V, the OLED based on the THC complex is characterized by a higher luminance. Similarly, an analogous device containing the newly synthesized cis-Ir(N,C-F2ppy)2(O,O-THC)—which emits in the blue region due to the presence of the fluoro substituents in the metalated rings—also shows enhanced luminance at these lower voltages. This beneficial effect may merit further investigation in the future, especially if it extends to red emitters, where efficiencies are often lower. Therefore, we will extend our study to the preparation and use in OLEDs of novel complexes such as Ir(N,C-2-(2′-benzothienyl)pyridine)2(O,O-THC). In addition, in order to understand the effect on the device stability of the substitution of the acac ligand by THC, we plan to produce OLEDs with a larger surface area in collaboration with a company that will perform lifetime tests.

Supplementary Materials

The following supporting information can be downloaded at: https://www.mdpi.com/article/10.3390/inorganics13120390/s1, Computational details [34,35,36,37,38,39,40,41,42,43,44].

Author Contributions

Conceptualization, A.C. and D.R.; Data curation, C.D., F.F., M.C., S.F. and J.A.G.W.; Funding acquisition, C.D. and A.C.; Investigation, M.F., M.C., S.F. and J.A.G.W.; Methodology, C.D., M.F., M.C. and J.A.G.W.; Software, M.C. and S.F.; Supervision, A.C. and C.D.; Writing—original draft, A.C. and D.R.; Writing—review and editing, A.C., C.D., F.F., M.F., D.R., M.C., S.F. and J.A.G.W. All authors have read and agreed to the published version of the manuscript.

Funding

This work has been funded by the European Union—NextGenerationEU under the Italian Ministry of University and Research (MUR) National Innovation Ecosystem grant ECS00000041–VITALITY. CUP: B43C22000470005.

Data Availability Statement

Most data are part of the present manuscript but DFT results are in Supplementary Information.

Acknowledgments

We thank the University of Milan, CNR, and the National Interuniversity Consortium of Materials Science and Technology (Project INSTM TRI.25/073DRAGONETTI and INSTM TRI.25/173COLOMBO) for support.

Conflicts of Interest

The authors declare no conflicts of interest.

Abbreviations

CIECommission Internationale de L’Éclairage
ELElectroluminescence
EPADiethyl ether/isopentane/ethanol, 2:2:1 v/v
EQEExternal quantum efficiency
ITOIndium tin oxide
OLEDOrganic light-emitting diode
PEDOTPoly(3,4-ethylenedioxythiophene)
SOCSpin–orbit coupling
TCSPCTime-correlated single-photon counting
TCTA4,4′,4′′-Tris (N-carbazolyl-triphenylamine)
TPBi2,2′,2′′-(1,3,5-benzinetriyl)-tris(1-phenyl-1H-benzimidazole)

References

  1. Gildea, L.F.; Williams, J.A.G. Iridium and platinum complexes for OLEDs. In Organic Light-Emitting Diodes: Materials, Devices and Applications; Buckley, A., Ed.; Woodhead: Cambridge, UK, 2013. [Google Scholar]
  2. Baldo, M.A.; O’Brien, D.F.; You, Y.; Shoustikov, A.; Sibley, S.; Thompson, M.E.; Forrest, S.R. Highly efficient phosphorescent emission from organic electroluminescent devices. Nature 1998, 395, 151–154. [Google Scholar] [CrossRef]
  3. Cebrian, C.; Mauro, M. Recent advances in phosphorescent platinum complexes for organic light-emitting diodes. Beilstein J. Org. Chem. 2018, 14, 1459–1481. [Google Scholar] [CrossRef]
  4. Pal, A.K.; Krotkus, S.; Fontani, M.; Mackenzie, C.F.R.; Cordes, D.B.; Slawin, A.M.Z.; Samuel, I.D.W.; Zysman-Colman, E. High-Efficiency Deep-Blue-Emitting Organic Light-Emitting Diodes Based on Iridium(III) Carbene Complexes. Adv. Mater. 2018, 30, 1804231. [Google Scholar] [CrossRef]
  5. Tao, P.; Jin, J.; Zheng, X.; Pu, Y.-J.; Wong, W.-Y. Engineering emissive excited states in organic electroluminescent materials. Matter 2025, 8, 102142. [Google Scholar] [CrossRef]
  6. Tao, P.; Lü, X.; Zhou, G.; Wong, W.-Y. Asymmetric Tris-Heteroleptic Cyclometalated Phosphorescent Iridium(III) Complexes: An Emerging Class of Metallophosphors. Acc. Mater. Res. 2022, 3, 830–842. [Google Scholar] [CrossRef]
  7. Lamansky, S.; Djurovich, P.; Murphy, D.; Abdel-Razaq, F.; Kwong, R.; Tsyba, I.; Bortz, M.; Mui, B.; Bau, R.; Thompson, M.E. Synthesis and characterization of phosphorescent cyclometalated iridium complexes. Inorg. Chem. 2001, 40, 1704–1711. [Google Scholar] [CrossRef]
  8. Adachi, C.; Baldo, M.A.; Thompson, M.E.; Forrest, S.R. Nearly 100% internal phosphorescence efficiency in an organic light emitting device. J. Appl. Phys. 2001, 90, 5048–5051. [Google Scholar] [CrossRef]
  9. Lamansky, S.; Djurovich, P.; Murphy, D.; Abdel-Razzaq, F.; Lee, H.E.; Adachi, C.; Burrows, P.E.; Forrest, S.R.; Thompson, M.E. Highly Phosphorescent Bis-Cyclometalated Iridium Complexes: Synthesis, Photophysical Characterization, and Use in Organic Light Emitting Diodes. J. Am. Chem. Soc. 2001, 123, 4304–4312. [Google Scholar] [CrossRef]
  10. Chen, H.-F.; Yang, S.-J.; Tsai, Z.-H.; Hung, W.-Y.; Wang, T.-C.; Wong, K.-T. 1,3,5-Triazine derivatives as new electron transport–type host materials for highly efficient green phosphorescent OLEDs. J. Mater. Chem. 2009, 19, 8112–8118. [Google Scholar] [CrossRef]
  11. Wang, Z.B.; Helander, M.G.; Qiu, J.; Puzzo, D.P.; Greiner, M.T.; Liu, Z.W.; Lu, Z.H. Highly simplified phosphorescent organic light emitting diode with >20% external quantum efficiency at >10,000 cd/m2. Appl. Phys. Lett. 2011, 98, 073310. [Google Scholar] [CrossRef]
  12. Helander, M.G.; Wang, Z.B.; Qiu, J.; Greiner, M.T.; Puzzo, D.P.; Liu, Z.W.; Lu, Z.H. Chlorinated Indium Tin Oxide Electrodes with High Work Function for Organic Device Compatibility. Science 2011, 332, 944–947. [Google Scholar] [CrossRef] [PubMed]
  13. Liehm, P.; Murawski, C.; Furno, M.; Leussem, B.; Leo, K.; Gather, M.C. Comparing the emissive dipole orientation of two similar phosphorescent green emitter molecules in highly efficient organic light-emitting diodes. Appl. Phys. Lett. 2012, 101, 253304. [Google Scholar] [CrossRef]
  14. Park, Y.S.; Lee, S.; Kim, K.-H.; Kim, S.-Y.; Lee, J.-H.; Kim, J.-J. Exciplex-Forming Co-host for Organic Light-Emitting Diodes with Ultimate Efficiency. Adv. Funct. Mater. 2013, 23, 4914–4920. [Google Scholar] [CrossRef]
  15. Zhang, H.-M.; Wang, D.-B.; Zeng, W.-J.; Yan, M.-N. High-Efficiency Green Phosphorescent Organic Light-Emitting Diode Based on Simplified Device Structures. Chin. Phys. Lett. 2015, 32, 097803. [Google Scholar] [CrossRef]
  16. Lu, C.-Y.; Jiao, M.; Lee, W.-K.; Chen, C.-Y.; Tsai, W.L.; Lin, C.-Y.; Wu, C.C. Achieving Above 60% External Quantum Effi ciency in Organic Light-Emitting Devices Using ITO-Free Low-Index Transparent Electrode and Emitters with Preferential Horizontal Emitting Dipoles. Adv. Funct. Mater. 2016, 26, 3250–3258. [Google Scholar] [CrossRef]
  17. Lee, S.; Kim, K.-H.; Limbach, D.; Park, Y.-S.; Kim, J.-J. Low Roll-Off and High Efficiency Orange Organic Light Emitting Diodes with Controlled Co-Doping of Green and Red Phosphorescent Dopants in an Exciplex Forming Co-Host. Adv. Funct. Mater. 2013, 23, 4105–4110. [Google Scholar] [CrossRef]
  18. Sun, N.; Zhao, Y.; Zhao, F.; Chen, Y.; Yang, D.; Chen, J.; Ma, D. A white organic light-emitting diode with ultra-high color rendering index, high efficiency, and extremely low efficiency roll-off. Appl. Phys. Lett. 2014, 105, 013303. [Google Scholar] [CrossRef]
  19. Zhang, T.; He, S.-J.; Wang, D.-K.; Jiang, N.; Lu, Z.-H. A multi-zoned white organic light-emitting diode with high CRI and low color temperature. Sci. Rep. 2016, 6, 20517. [Google Scholar] [CrossRef]
  20. Dumur, F.; Lepeltier, M.; Siboni, H.Z.; Gigmes, D.; Aziz, H. Phosphorescent organic light-emitting devices (PhOLEDs) based on heteroleptic bis-cyclometalated complexes using acetylacetonate as the ancillary ligand. Synth. Met. 2014, 198, 131–136. [Google Scholar] [CrossRef]
  21. Kim, H.J.; Jang, J.-H.; Park, H.J.; Jung, B.J.; Song, W.; Lee, J.Y.; Hwang, D.-H. Highly efficient and spectrally stable white organic light-emitting diodes. Dye. Pigment. 2018, 149, 363–372. [Google Scholar] [CrossRef]
  22. Colombo, A.; Fontani, M.; Dragonetti, C.; Roberto, D.; Williams, J.A.G.; Scotto di Perrotolo, R.; Casagrande, F.; Barozzi, S.; Polo, S. A Highly Luminescent Tetrahydrocurcumin Ir III Complex with Remarkable Photoactivated Anticancer Activity. Chem. Eur. J. 2019, 25, 7948–7952. [Google Scholar] [CrossRef]
  23. Fontani, M.; Colombo, A.; Dragonetti, C.; Righetto, S.; Roberto, D.; Marinotto, D. Cyclometalated Ir(III) Complexes with Curcuminoid Ligands as Active Second-Order NLO Chromophores and Building Blocks for SHG Polymeric Films. Inorganics 2020, 8, 36. [Google Scholar] [CrossRef]
  24. Margapoti, E.; Shukla, V.; Valore, A.; Sharma, A.; Dragonetti, C.; Kitts, C.C.; Roberto, D.; Murgia, M.; Ugo, R.; Muccini, M. Excimer Emission in Single Layer Electroluminescent Devices Based on [Ir(4,5-diphenyl-2-methylthiazolo)2(5-methyl-1,10-phenanthroline)]+[PF6]. J. Phys. Chem. C 2009, 113, 12517–12522. [Google Scholar] [CrossRef]
  25. Beyer, B.; Ulbricht, C.; Escudero, D.; Friebe, C.; Winter, A.; Gonzalez, L.; Schubert, U.S. Phenyl-1H-[1,2,3]triazoles as New Cyclometalating Ligands for Iridium(III) Complexes. Organometallics 2009, 28, 5478–5488. [Google Scholar] [CrossRef]
  26. Rausch, A.F.; Thompson, M.E.; Yersin, H. Blue light emitting Ir(III) compounds for OLEDs—New insights into ancillary ligand effects on the emitting triplet state. J. Phys. Chem. A 2009, 113, 5927–5932. [Google Scholar] [CrossRef]
  27. Nazeeruddin, M.K.; Humphry-Baker, R.; Berner, D.; Rivier, S.; Zuppiroli, L.; Graetzel, M. Highly phosphorescence iridium complexes and their application in organic light-emitting devices. J. Am. Chem. Soc. 2003, 125, 8790–8797. [Google Scholar] [CrossRef] [PubMed]
  28. Li, J.; Djurovich, P.I.; Alleyne, B.D.; Yousufuddin, M.; Ho, N.N.; Thomas, J.C.; Peters, J.C.; Bau, R.; Thompson, M.E. Synthetic control of excited-state properties in cyclometalated Ir(III) complexes using ancillary ligands. Inorg. Chem. 2005, 44, 1713–1727. [Google Scholar] [CrossRef] [PubMed]
  29. Liu, Z.; Bian, Z.; Huang, C. Luminescent Iridium Complexes and Their Applications. Top. Organomet. Chem. 2010, 28, 113–142. [Google Scholar]
  30. Tselekidou, D.; Papadopoulos, K.; Zachariadis, A.; Kyriazopoulos, V.; Kassavetis, S.; Laskarakis, A.; Gioti, M. Solution-processable red phosphorescent OLEDs based on Ir(dmpq)2(acac) doped in small molecules as emitting layer. Mater. Sci. Semicond. Process. 2023, 163, 107546. [Google Scholar] [CrossRef]
  31. Kalinowski, J.; Stampor, W.; Szmytkowski, J.; Virgili, D.; Cocchi, M.; Fattori, V.; Sabatini, C. Coexistence of dissociation and annihilation of excitons on charge carriers in organic phosphorescent emitters. Phys. Rev. B 2006, 74, 85316. [Google Scholar] [CrossRef]
  32. Suzuki, K.; Kobayashi, A.; Kaneko, S.; Takehira, K.; Yoshihara, T.; Ishida, H.; Shiina, Y.; Oishi, S.; Tobita, S. Re-evaluation of absolute luminescence quantum yields of standard solutions using a spectrometer with an integrating sphere and a back-thinned CCD detector. Phys. Chem. Chem. Phys. 2009, 11, 9850–9860. [Google Scholar] [CrossRef]
  33. Colombo, A.; De Soricellis, G.; Dragonetti, C.; Fagnani, F.; Roberto, D.; Carboni, B.; Guerchais, V.; Roisnel, T.; Cocchi, M.; Fantacci, S.; et al. Introduction of a mesityl substituent on pyridyl rings as a facile strategy for improving the performance of luminescent 1,3-bis-(2-pyridyl)benzene platinum(ii) complexes: A springboard for blue OLEDs. J. Mater. Chem. C 2024, 12, 9702–9715. [Google Scholar] [CrossRef]
  34. Frisch, M.J.; Trucks, G.W.; Schlegel, H.B.; Scuseria, G.E.; Robb, M.A.; Cheeseman, J.R.; Scalmani, G.; Barone, V.; Mennucci, B.; Petersson, G.A.; et al. Gaussian 09, Revision D.01, Quantum Chemistry Software; Gaussian, Inc.: Wallingford, CT, USA, 2009.
  35. Becke, A.D. Density-functional thermochemistry. III. The role of exact exchange. J. Chem. Phys. 1993, 98, 5648–5652. [Google Scholar] [CrossRef]
  36. Miertus, S.; Scrocco, E.; Tomasi, J. Electrostatic interaction of a solute with a continuum. A direct utilization of Ab initio molecular potentials for the prevision of solvent effects. Chem. Phys. 1981, 55, 117–129. [Google Scholar] [CrossRef]
  37. Cossi, M.; Barone, V.; Cammi, R.; Tomasi, J. Ab initio study of solvated molecules: A new implementation of the polarizable continuum model. Chem. Phys. Lett. 1996, 255, 327–335. [Google Scholar] [CrossRef]
  38. Barone, V.; Cossi, M. Quantum calculation of molecular energies and energy gradients in solution by a conductor solvent model. J. Phys. Chem. A 1998, 102, 1995–2001. [Google Scholar] [CrossRef]
  39. Cossi, M.; Rega, N.; Scalmani, G.; Barone, V. Energies, structures, and electronic properties of molecules in solution with the C-PCM solvation model. J. Comput. Chem. 2003, 24, 669–681. [Google Scholar] [CrossRef]
  40. McLean, A.D.; Chandler, G.S. Contracted Gaussian basis sets for molecular calculations. I. Second row atoms, Z = 11–18. J. Chem. Phys. 1980, 72, 5639–5648. [Google Scholar] [CrossRef]
  41. Wachters, A.J.H. Gaussian basis set for molecular wavefunctions containing third-row atoms. J. Chem. Phys. 1970, 52, 1033. [Google Scholar] [CrossRef]
  42. Petersson, A.; Al-Laham, M.A. A Complete Basis Set Model Chemistry. II. Open-Shell Systems and the Total Energies of the First-Row Atoms. J. Chem. Phys. 1991, 94, 6081–6090. [Google Scholar] [CrossRef]
  43. Hay, P.J.; Wadt, W.R. Ab initio effective core potentials for molecular calculations. Potentials for K to Au including the outermost core orbitals. J. Chem. Phys. 1985, 82, 299–310. [Google Scholar] [CrossRef]
  44. Valore, A.; Colombo, A.; Dragonetti, C.; Righetto, S.; Roberto, D.; Ugo, R.; De Angelis, F.; Fantacci, S. Luminescent cyclometallated Ir(iii) and Pt(ii) complexes with β-diketonate ligands as highly active second-order NLO chromophores. Chem. Commun. 2010, 46, 2414–2416. [Google Scholar] [CrossRef]
Figure 1. Structures of the established and new iridium(III) complexes containing the THC ligand, Ir1 and Ir2, respectively, and of the well-known, archetypal acac analogue Ir3.
Figure 1. Structures of the established and new iridium(III) complexes containing the THC ligand, Ir1 and Ir2, respectively, and of the well-known, archetypal acac analogue Ir3.
Inorganics 13 00390 g001
Figure 2. Absorption and emission spectra of Ir1 (solid red lines) and Ir2 (corresponding blue lines) in CH2Cl2 at 295 K. The emission spectra at 77 K in diethyl ether/isopentane/ethanol (2:2:1 v/v) are also shown as dashed lines of the corresponding colours.
Figure 2. Absorption and emission spectra of Ir1 (solid red lines) and Ir2 (corresponding blue lines) in CH2Cl2 at 295 K. The emission spectra at 77 K in diethyl ether/isopentane/ethanol (2:2:1 v/v) are also shown as dashed lines of the corresponding colours.
Inorganics 13 00390 g002
Figure 3. OLED energy level diagram.
Figure 3. OLED energy level diagram.
Inorganics 13 00390 g003
Figure 4. EL spectra, CIE coordinates, and photographs of the three OLED devices.
Figure 4. EL spectra, CIE coordinates, and photographs of the three OLED devices.
Inorganics 13 00390 g004
Figure 5. Plots of Luminance vs. Applied Voltage and (inset) External EL efficiency vs. Current Density for the three OLED devices tested in this work.
Figure 5. Plots of Luminance vs. Applied Voltage and (inset) External EL efficiency vs. Current Density for the three OLED devices tested in this work.
Inorganics 13 00390 g005
Table 1. Key photophysical parameters of the investigated complexes, at 298 K in dilute degassed CH2Cl2 solution, along with related OLED CIE coordinates (x, y).
Table 1. Key photophysical parameters of the investigated complexes, at 298 K in dilute degassed CH2Cl2 solution, along with related OLED CIE coordinates (x, y).
Complexλmax,em/nmΦlumτ/µsT1/eVHOMO/eVLUMO/eVOLED CIE (x, y)
Ir1520 a0.90 a1.8 a2.40 b−5.11 b,e−2.71 b,f0.28, 0.62 b
Ir2484 b0.32 b1.1 b2.58 b−5.30 b,e−2.72 b,f0.17, 0.38 b
Ir3516 c0.53 d1.6 c2.39 b−5.14 b,e−2.75 b,f0.28, 0.63 b
a From reference [22]. b This work. c From reference [7]. d From reference [20]. e Obtained from DFT calculations. f Estimated by adding the T1 excited-state energy (from the emission lmax) to the DFT-calculated HOMO (see Supplementary Information).
Disclaimer/Publisher’s Note: The statements, opinions and data contained in all publications are solely those of the individual author(s) and contributor(s) and not of MDPI and/or the editor(s). MDPI and/or the editor(s) disclaim responsibility for any injury to people or property resulting from any ideas, methods, instructions or products referred to in the content.

Share and Cite

MDPI and ACS Style

Fagnani, F.; Colombo, A.; Dragonetti, C.; Fontani, M.; Roberto, D.; Cocchi, M.; Fantacci, S.; Williams, J.A.G. Blue and Green Phosphorescent Organic Light-Emitting Diodes Based on Bis(cyclometalated) Tetrahydrocurcuminate Iridium(III) Complexes. Inorganics 2025, 13, 390. https://doi.org/10.3390/inorganics13120390

AMA Style

Fagnani F, Colombo A, Dragonetti C, Fontani M, Roberto D, Cocchi M, Fantacci S, Williams JAG. Blue and Green Phosphorescent Organic Light-Emitting Diodes Based on Bis(cyclometalated) Tetrahydrocurcuminate Iridium(III) Complexes. Inorganics. 2025; 13(12):390. https://doi.org/10.3390/inorganics13120390

Chicago/Turabian Style

Fagnani, Francesco, Alessia Colombo, Claudia Dragonetti, Mattia Fontani, Dominique Roberto, Massimo Cocchi, Simona Fantacci, and J. A. Gareth Williams. 2025. "Blue and Green Phosphorescent Organic Light-Emitting Diodes Based on Bis(cyclometalated) Tetrahydrocurcuminate Iridium(III) Complexes" Inorganics 13, no. 12: 390. https://doi.org/10.3390/inorganics13120390

APA Style

Fagnani, F., Colombo, A., Dragonetti, C., Fontani, M., Roberto, D., Cocchi, M., Fantacci, S., & Williams, J. A. G. (2025). Blue and Green Phosphorescent Organic Light-Emitting Diodes Based on Bis(cyclometalated) Tetrahydrocurcuminate Iridium(III) Complexes. Inorganics, 13(12), 390. https://doi.org/10.3390/inorganics13120390

Note that from the first issue of 2016, this journal uses article numbers instead of page numbers. See further details here.

Article Metrics

Back to TopTop