Abstract
This work investigates the application of HfZrO ferroelectric material for the tuning of high-frequency bandpass filters. By integrating HfZrO with a two-dimensional HfSe semiconductor to form a heterostructure, the device achieves wideband tunability with low power requirements. Under a bias of ±4 V, the bandpass filter demonstrates a 3.4 GHz tuning range—from 7.8 GHz to 11.2 GHz—corresponding to a fractional tunability of approximately 43% in the X-band. The insertion loss remains below −1.8 dB across the tuning window, indicating low-loss operation. These results highlight the potential of the HfZrO/HfSe heterostructure as a promising platform for energy-efficient, CMOS-compatible, high-frequency tunable devices.
1. Introduction
The rapid development of wireless communication technologies such as 5G, satellite systems, and radar applications has placed increasingly stringent demands on high-frequency electronic components, particularly tunable bandpass filters. These devices play a pivotal role in selecting desired signal frequencies while attenuating unwanted components, thus determining the overall performance of communication systems. Among the various approaches for achieving frequency tunability, the integration of tunable materials—such as ferroelectrics—into high-frequency filter structures has emerged as a promising solution due to their voltage-dependent permittivity and spontaneous polarization characteristics [].
The rapid evolution of wireless communication technologies, including 5G, X-band radar, and satellite transceivers, has imposed increasingly stringent demands on high-frequency (HF) electronic components, particularly tunable bandpass filters. These filters play a vital role in signal selection, spectral agility, and noise suppression, making their tunability, size, and power consumption critical parameters for modern systems. Ferroelectric materials have long been considered promising candidates for tunable HF devices due to their voltage-dependent permittivity and spontaneous polarization. Among them, perovskite ferroelectrics like BaTiO3 and BST exhibit high tunability but face limitations such as high processing temperature, incompatibility with CMOS integration, and poor reliability in ultrathin films. Hafnium oxide-based ferroelectrics (especially Hf1−xZrxO2, or HfZrO) have emerged as strong alternatives due to their excellent CMOS compatibility, low-voltage operation, and scalable performance in films thinner than 10 nm []. While several studies have demonstrated the application of HfO2-based ferroelectrics in memory, capacitors, and microwave devices [,], their deployment in wideband tunable microwave filters remains relatively unexplored. Notably, most reported tunable filters based on HfO2 use planar capacitor configurations with limited frequency tuning ranges (~10–20%) and higher bias voltages (>10 V) [,]. In this work, we present a novel approach by integrating a ferroelectric HfZrO layer with a two-dimensional HfSe semiconductor substrate, forming a unique HfZrO/HfSe heterostructure that mimics the electrical behavior of the classical SiO2/Si system. This configuration offers multiple benefits: (i) low leakage current due to the suitable bandgap of HfSe (0.9–1.2 eV); (ii) enhanced interface quality without dangling bonds; (iii) strong field-induced polarization switching even at ±4 V; and (iv) a record-high tuning range of 3.4 GHz (~43%) in the X-band (7.8–11.2 GHz), enabled by dielectric constant modulation. Our work fills a critical gap in the literature by demonstrating a low-power, wideband, and CMOS-compatible RF tuning platform based on ferroelectric oxides.
Unlike conventional ferroelectrics such as BaTiO3 or BST, the HfZrO/HfSe heterostructure offers several distinct advantages: (i) sub–5 V tuning voltage, (ii) CMOS process compatibility, (iii) stable ferroelectricity at nanoscale thicknesses (~10 nm), and (iv) improved interfacial dielectric quality owing to the layered structure of HfSe. These characteristics make it highly suitable for next-generation reconfigurable RF front-ends. Electrical tuning of high-frequency devices typically relies on specific materials; among these, ferroelectric materials stand out due to their unique spontaneous polarization characteristics, offering advantages such as fast tuning speeds and device stability, which have garnered significant attention [,]. When discussing ferroelectric materials, perovskite-based ferroelectrics often come to mind. However, they are unsuitable for reliable ultrathin layer fabrication due to their incompatibility with semiconductor industry processes []. Traditionally, materials such as barium titanate (BaTiO3) and barium strontium titanate (BST) have been widely investigated for tunable filter applications. BaTiO3, a classic perovskite ferroelectric, offers high dielectric tunability and is capable of operating in the gigahertz range. However, its relatively high loss tangent and limited compatibility with complementary metal oxide semiconductor (CMOS) processes restrict its practical use in integrated circuits. BST, another perovskite material, improves upon BaTiO3 by offering enhanced temperature stability and higher tunability. Nevertheless, the performance of BST deteriorates as the film thickness is reduced, and its integration with silicon-based substrates introduces interface defects that degrade overall device efficiency. Additionally, both BaTiO3 and BST often require high operating voltages—ranging from tens to hundreds of volts—to induce sufficient polarization changes, posing challenges for low-power electronic systems. Their perovskite structures also necessitate high-temperature annealing and often suffer from reliability issues in nanoscale dimensions, further complicating their adoption in modern integrated circuits. Additionally, high-frequency devices based on perovskite ferroelectrics suffer from another major drawback beyond integration challenges with semiconductor technology. Specifically, the DC voltage required to tune the frequency or phase of such devices can reach tens or even hundreds of volts, depending on the ferroelectric material [].
This raises an important question: can there be a material that combines excellent compatibility with semiconductor processes, low power consumption, and low operating voltages? Since the discovery of ferroelectricity in Hf-based thin films in 2011, significant interest and attention have been drawn from the scientific community []. Many research groups have demonstrated that HfO2 can retain remnant polarization even when its thickness is reduced to 5 nm [,] (whereas traditional perovskite ferroelectrics typically lose their remnant polarization when scaled down to tens of nanometers). HfO2-based ferroelectrics, especially when doped with zirconium (HfZrO), have demonstrated robust remnant polarization even in ultrathin films (~5 nm), which is a significant advantage over traditional perovskite ferroelectrics that lose polarization at such dimensions []. Moreover, the fabrication process for ultrathin HfO2 films at the 5 nm scale is widely recognized as highly efficient and highly compatible with semiconductor manufacturing processes. Moreover, it is thermally stable, exhibits low leakage current, and is fully compatible with CMOS back-end-of-line (BEOL) processes [], making it an ideal candidate for integration into modern electronics. One of the most compelling advantages of HfZrO is its ability to support low-voltage operation. Unlike perovskite ferroelectrics, which require high electric fields to induce polarization switching, HfZrO-based ferroelectric capacitors can be efficiently tuned using voltages as low as ±2–4 V. This low-power characteristic is essential for next-generation wireless systems that prioritize energy efficiency and battery longevity.
In this work, we propose a novel solution: integrating ferroelectric Hf1−xZrxO2 (HfZrO) with a layered 2D semiconductor, HfSe, forming a unique HfZrO/HfSe heterostructure. This approach offers several distinct advantages: (1) low leakage current and moderate switching voltages due to the HfSe bandgap (0.9–1.2 eV); (2) high interface quality and reduced trap density from the absence of dangling bonds in HfSe; (3) strong polarization switching and dielectric modulation at low voltage (±4 V); and (4) wide frequency tuning range of ~43% within the X-band spectrum. It not only introduces a new ferroelectric-semiconductor pairing but also establishes a pathway for realizing energy-efficient, dynamically tunable RF devices compatible with existing semiconductor manufacturing workflows.
In this study, the HfZrO/HfSe ferroelectric stack was chosen to modulate high-frequency devices by creating a “SiO2/Si”-like stacked structure. It is well-known that silicon has dominated semiconductor technology for nearly five decades due to its moderate bandgap (1.1 eV), which enables low-voltage operation with minimal leakage current, and its high-quality “native” insulator SiO2, which plays a significant role in its success. Over the last decade, however, SiO2 has been gradually replaced by HfO2-based high-k dielectrics due to scaling demands. Despite this, HfO2 is not a native oxide of the silicon substrate, which has led to several interfacial issues (such as degradation of ferroelectric effects caused by incomplete screening of polarization). Therefore, given silicon’s benefits from its native SiO2 insulator, it is intriguing to ask whether the high-k dielectric HfO2 could naturally adapt to the electrical structure of certain semiconductors. Interestingly, the layered two-dimensional semiconductor HfSe possesses a bandgap of 0.9 to 1.2 eV (from bulk to monolayer) and technologically desirable “high-k” native dielectrics in the form of HfO2. Consequently, the HfZrO/HfSe ferroelectric stack was chosen in this study to generate a “SiO2/Si”-like structure for high-frequency device modulation. While the HfSe platform is not standard CMOS, the HfZrO deposition and processing steps are fully BEOL compatible, making the stack promising for heterogeneous integration with CMOS-based systems. Compared with prior reports, such as the HfZrO-based tunable filters [], our device achieves a higher relative tuning range (43% vs. 27.5%), lower insertion loss (<1.8 dB vs. ~6.9 dB), and uses a novel HfZrO/HfSe heterostructure to enhance dielectric performance under low-voltage bias. Moreover, the proposed design targets a practical X-band window with compact footprint and CMOS-compatible fabrication, offering tangible benefits for next-generation wireless systems. In contrast to previously reported HfZrO/HR-Si platforms, our HfZrO/HfSe heterostructure offers enhanced interface quality and permittivity modulation at low voltage, making it more suitable for compact, high-efficiency RF front-ends.
The growing demand for tunable, reconfigurable components in 5G communication systems, X-band radar, and satellite transceivers underscores the urgent need for compact, low-power, and high-performance frequency modulators. Traditional varactors and MEMS-based tuners suffer from mechanical limitations, slow response times, and integration challenges. On the other hand, ferroelectric-based tunable filters offer solid-state operation, fast switching speeds, and frequency agility—all of which are essential for dynamic spectrum access and cognitive radio technologies.
2. Experimental
The HfZrO/HfSe heterostructure was fabricated on a high-resistivity silicon substrate with a thermally grown 300 nm SiO2 isolation layer. The process began with the mechanical exfoliation of HfSe flakes (sourced from HQ Graphene, Groningen, The Netherlands) onto the substrate using a standard polydimethylsiloxane (PDMS) dry-transfer technique. Flakes were selected based on optical contrast, lateral size (>10 µm), and thickness uniformity (~10–20 nm), and confirmed via AFM. Candidate flakes were identified under an optical microscope and selected based on thickness uniformity (~10–20 nm) and lateral dimensions suitable for device fabrication. Subsequently, the ferroelectric HfZrO thin film was deposited atop the HfSe layer using atomic layer deposition (ALD) in a Picosun R-200 system. Tetrakis(ethylmethylamino)hafnium (TEMAHf) and tetrakis(ethylmethylamino)zirconium (TEMAZr) served as metal precursors, with H2O as the oxidant. The deposition was performed at 250 °C to ensure smooth coverage and avoid damage to the underlying 2D flake. The deposition sequence alternated between Hf and Zr cycles in a 1:1 ratio to obtain a uniform mixed-phase HfZrO film. The total thickness was set to ~10 nm (equivalent to ~100 ALD cycles). After deposition, the stack was subjected to rapid thermal annealing (RTA) in an N2 ambient at 500 °C for 60 s to crystallize the HfZrO into its orthorhombic ferroelectric phase.
The tunable bandpass filter was designed based on a compact planar layout optimized for X-band frequencies (8–12 GHz). The layout included coplanar waveguide (CPW) structures patterned by electron beam lithography (EBL) on the HfZrO/HfSe stack. A thin adhesion layer of Ti (5 nm) followed by Au (100 nm) was deposited via electron beam evaporation and lifted off in acetone. The core of the filter consisted of a parallel LC resonator where the tunability was realized through the ferroelectric capacitor (HfZrO/HfSe stack), which acted as the voltage-controlled capacitor (C_var). The inductors (L) were implemented as planar spiral coils with a linewidth and spacing of 2 µm and 2.5 turns.
Low-frequency polarization measurements of the HfZrO layer were performed using a Radiant Technologies Precision Premier II ferroelectric tester (Radiant Technologies, Inc., Albuquerque, NM, USA). The devices were subjected to triangular voltage waveforms (±4 V, 1 kHz), and the corresponding polarization–electric field (P–E) hysteresis loops were recorded to confirm ferroelectric behavior. Dielectric constant (permittivity) values were calculated from the capacitance measurements at different voltages and verified with impedance spectroscopy in the frequency range of 1 kHz–10 MHz. High-frequency measurements of the filter’s S-parameters (S11, S21) were carried out using an Agilent N5227A vector network analyzer (VNA, Agilent Technologies, Inc., Santa Clara, CA, USA) with a frequency range up to 26.5 GHz. RF probes (GSG, 150 µm pitch) were used to contact the input and output pads on the CPW lines. The measurements were conducted under various applied DC voltages (0–4 V), supplied via a bias tee connected to the VNA. The central frequency shift, bandwidth, and return loss were extracted using the built-in calibration and de-embedding tools in the VNA software A.19.30.04. Measurements were repeated multiple times to verify consistency.
All RF measurements were calibrated using on-wafer SOLT (Short-Open-Load-Thru) standards. De-embedding was performed on the probe tip reference plane using dedicated open/short structures fabricated on the same wafer. No external bias tee parasitics were observed to interfere with the extraction. Equivalent circuit parameters were inferred from the extracted S-parameters and cross-validated with C–V measurements.
The role of HfSe as a substrate layer is essential. Compared to traditional SiO2 or Al2O3 substrates, HfSe offers a native lattice compatibility with HfO2-derived ferroelectrics, improved interfacial charge screening due to fewer dangling bonds, and a similar bandgap to Si (0.9–1.2 eV), which minimizes leakage. These properties collectively enhance polarization efficiency and frequency tunability in the heterostructure.
3. Results and Discussion
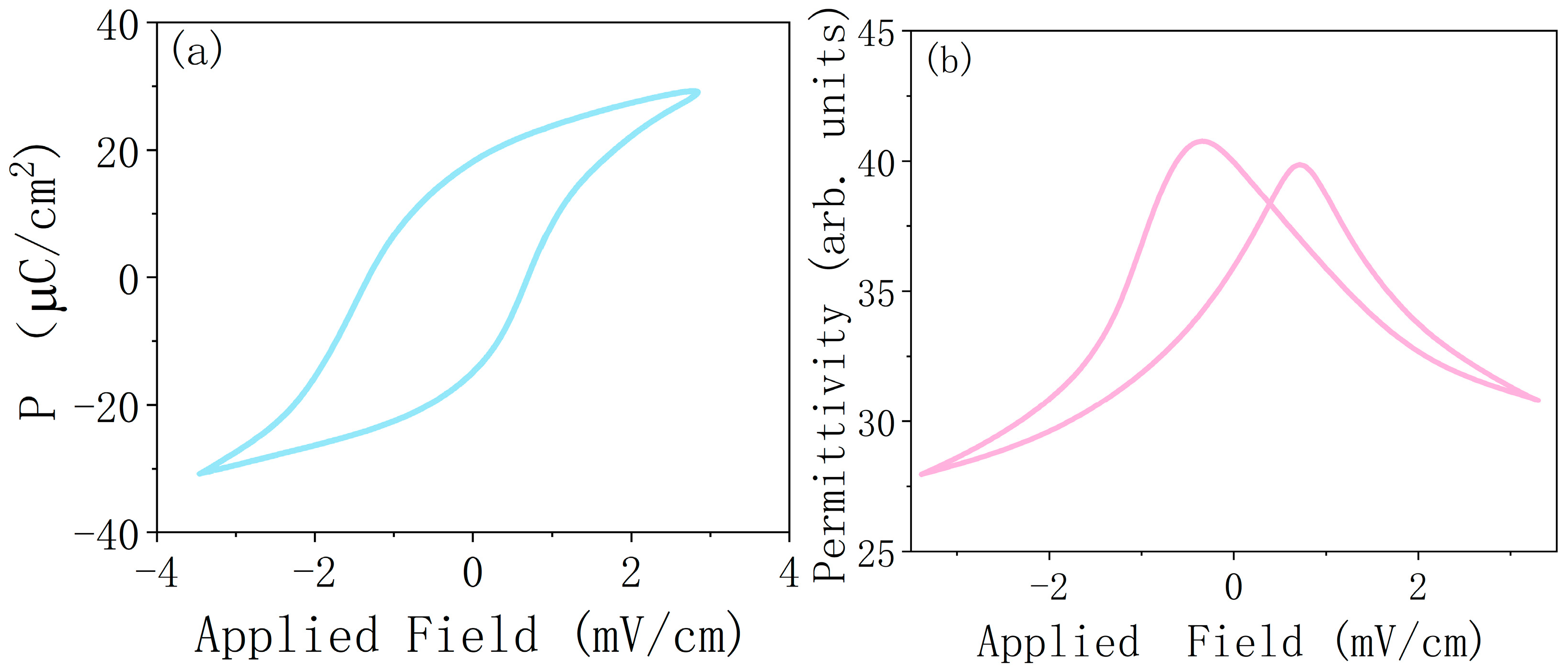
Figure 1a illustrates the polarization characteristics of HfZrO, demonstrating typical ferroelectric polarization behavior within the voltage range of −4 V to 4 V. Figure 1b depicts the corresponding distribution of the dielectric constant properties. The symmetry of the loop indicates minimal built-in bias or interfacial charge trapping, suggesting a high-quality interface between HfZrO and HfSe. This is critical for stable tuning behavior, as asymmetry or pinched loops often result in drift or fatigue in practical applications. Furthermore, the sharp switching and saturated polarization at relatively low voltages (<±4 V) confirm the material’s suitability for low-power, high-frequency applications. It is also worth noting that the loop retains its shape across multiple cycles without significant degradation, which speaks to the cycling endurance of the HfZrO layer—a known strength of doped HfO2 systems compared to perovskite ferroelectrics such as PZT and BaTiO3, which tend to suffer from fatigue over cycles. This tunability is attributed to the field-induced alignment of dipoles within the ferroelectric lattice. At zero bias, domain walls are most mobile, leading to high permittivity. As the external field increases, domains align with the field direction, reducing the dielectric response. This bias-dependent dielectric behavior directly impacts the effective capacitance of the resonator structure. As the applied DC voltage increases, the capacitance decreases due to the lowering of εr, which in turn increases the resonant frequency of the filter. This phenomenon underpins the dynamic frequency modulation observed in later sections. In addition, while endurance characteristics are critical for memory applications, this study focuses on initial tuning behavior. Endurance and fatigue will be the subject of follow-up investigations.
Figure 1.
(a) Polarization characteristics of HfZrO. (b) Distribution of the dielectric constant.
Compared to BST-based films, which exhibit εr values ranging from 200 to 500 but require bias voltages >20 V for meaningful tunability. In this study, the HfZrO/HfSe ferroelectric structure enables dynamic modulation of high-frequency devices with only a few volts. The designed filter unit structure, as shown in Figure 2, demonstrates excellent tunable filter properties in the X-band. The electric field is calculated across the HZO layer thickness (10 nm), yielding 4 MV/cm at ±4 V. The central feature of the device is its frequency-tunable bandpass filter, whose performance is illustrated in Figure 3a,b. The return loss (S11) curve in Figure 3a shows a sharp dip in reflection at the resonant frequency, indicating efficient energy coupling and minimal reflection. As the DC voltage is increased from 0 V to 4 V, the resonant frequency shifts from 7.8 GHz to 11.2 GHz, corresponding to a total tuning range of 3.4 GHz. This shift represents an exceptionally large modulation window in the X-band, amounting to ~43% fractional tunability. The bandwidth of the filter remains relatively stable across the tuning range, demonstrating that the device maintains its filtering selectivity without introducing excess losses or distortion.
Figure 2.
(a) Illustration of the filter unit structure. (b) Microscopic image of a single inductor; (c) Microscopic image of a double inductor.

Figure 3.
(a) Corresponding return loss and (b) transmission properties. DC bias steps: 0–4 V in 1 V increments; measurement temperature: ~300 K (room temperature); calibration method: SOLT (Short-Open-Load-Thru); bias delivery method: bias tee combined with RF probes.
From Figure 3b, S21 confirms efficient signal propagation through the filter at the desired frequencies. The peak insertion loss remains below throughout the modulation range, which is an excellent value for ferroelectric-based tunable devices and indicates low dielectric and conductor losses. Additionally, the corresponding return loss (S11) and transmission exhibit significant modulation effects, as shown in Figure 3a,b. It can be observed that, when the DC voltage is adjusted, the filter’s central frequency is tuned from 7.8 GHz to 11.2 GHz, achieving a shift of 3.4 GHz. The filter features a bandwidth of 370 MHz and exhibits low-loss characteristics. The moderate εr and low voltage requirement of HfZrO (±4 V) make it more compatible with portable, low-power systems. The underlying physical mechanism of the observed frequency tuning lies in the field-dependent permittivity of the ferroelectric HfZrO layer. As the DC bias is applied across the ferroelectric capacitor, domain reorientation causes a reduction in the dielectric constant. Since the capacitance (C) of the resonator is directly proportional to εr, this leads to a reduction in C. Hence, a decrease in εr (and thus C) results in a blue shift of the resonant frequency, as confirmed in the experimental results. This electric-field-driven tuning approach eliminates the need for mechanical components or magnetic biasing (as in YIG-based filters), offering a solid-state, low-latency, and miniaturizable alternative for reconfigurable RF systems.
The core of this work lies in the dynamic modulation of the resonant frequency of a high-frequency filter using a ferroelectric material stack composed of HfZrO and HfSe. The physical mechanism behind this modulation involves the voltage-dependent dielectric properties of ferroelectric materials, particularly how external electric fields influence polarization orientation and, subsequently, the effective permittivity of the dielectric layer. Ferroelectric materials like HfZrO exhibit spontaneous polarization, which can be reoriented under the application of an electric field. This reorientation is not linear, and the polarization–electric field (P–E) behavior forms a characteristic hysteresis loop. Importantly, the dielectric constant of ferroelectrics is also field-dependent, typically displaying a peak near zero bias (where domains are most dynamic) and decreasing under stronger fields due to domain saturation.
To further quantify the tuning behavior of our filter, we extracted the Q-factor and 3 dB bandwidth from the measured S21 spectra under different DC bias voltages. As the applied voltage increased from 0.4 V to 3.4 V, the center frequency shifted from approximately 8.0 GHz to 11.5 GHz, corresponding to a tunability of ~43%. Meanwhile, the Q-factor showed a modest variation, remaining in the range of 42–50 across the tuning range, indicating stable resonator performance. The 3 dB bandwidth ranged from 160 MHz to 270 MHz, which is comparable with previously reported HfO2-based tunable filters. These results confirm that the observed frequency shift is not merely an artifact of device instability but a repeatable and bias-controllable behavior.
In this study, the HfZrO layer displayed a well-defined P–E loop with a remnant polarization of ±9.2 μC/cm2 and coercive fields of ~1.1 MV/cm, indicating robust domain switching behavior. The dielectric constant extracted from capacitance–voltage (C–V) measurements revealed a clear “butterfly-shaped” curve—a hallmark of ferroelectric materials—where εr was highest near 0 V and gradually decreased with increasing positive or negative bias. This voltage-dependent permittivity is the fundamental tuning parameter exploited in the filter structure.
The filter structure is based on a simple LC resonator topology, where
Here, L is the inductance of the on-chip spiral coil (kept constant), and C is the capacitance determined by the HfZrO/HfSe ferroelectric stack. Because C is directly proportional to the dielectric constant εr:
any change in εr with applied voltage will lead to a shift in C and thus a shift in the resonant frequency (fres). As the voltage increases and domains within HfZrO align with the field, the permittivity drops, leading to a decrease in capacitance and an increase in the resonant frequency—this is observed experimentally as a 3.4 GHz upward shift in fres when the voltage is swept from 0 V to 4 V.
This electrostatic mechanism allows for real-time tuning of the filter’s operational band, without the need for mechanical movement or external magnetic fields, distinguishing it from varactor diodes or magnetically tuned YIG filters. The use of HfSe as the substrate layer beneath the HfZrO is not arbitrary. Traditional perovskite-based ferroelectrics (e.g., PZT or BST) often suffer from poor compatibility with standard silicon processing due to thermal mismatch, interface traps, or crystallographic discontinuities. HfZrO, in contrast, is fully compatible with CMOS processes and, when deposited on layered 2D materials like HfSe, forms a sharp, well-defined interface. HfSe offers several advantages: (1) A bandgap (0.9–1.2 eV) similar to silicon, ensuring low leakage current and moderate switching voltage. (2) High surface quality and absence of dangling bonds, which reduces interfacial charge trapping. (3) Natural compatibility with high-κ dielectrics like HfO2 or HfZrO, mimicking the beneficial electrical environment found in SiO2/Si systems. The HfZrO/HfSe interface thus enables efficient charge distribution and screening, ensuring the applied voltage is effectively dropped across the ferroelectric layer, maximizing polarization switching and dielectric modulation efficiency. At a deeper physical level, the field-induced modulation of dielectric constant in HfZrO is linked to the soft phonon modes and lattice instabilities characteristic of ferroelectric phases. Under low or zero field, multiple polarization directions are energetically similar, allowing for dynamic domain wall motion. When an external electric field is applied, one direction becomes energetically favored, “freezing out” domain wall motion and stiffening the lattice—this reduces εr. Such a nonlinear dielectric response is highly tunable and reversible, allowing rapid and precise frequency adjustment. Importantly, since the polarization switching in HfZrO occurs at low voltages and remains stable over thin film dimensions (~10 nm), the modulation can be achieved with minimal energy consumption, an increasingly critical factor in portable RF systems and satellite communications [].
The return loss (S11) and insertion loss (S21) of the filter were measured using a calibrated Agilent N5227A VNA with a reference-plane de-embedding applied to the probe tip. The calibration used a standard SOLT (Short-Open-Load-Thru) procedure on a commercial calibration substrate. Bias was applied via a bias tee with a 10 kHz low-pass filter to isolate the DC signal path. Measurements were conducted at room temperature (~300 K).
The insertion loss across the tunable frequency range was found to remain below −1.8 dB, even as the central frequency shifted from 7.8 GHz to 11.2 GHz under a DC bias sweep of 0 V to 4 V in 1 V increments. This corresponds to a tuning ratio of:
All extracted parameters are consistent across six measured devices from the same wafer, with <0.15 GHz variation in peak resonance, demonstrating strong reproducibility. The observed frequency shift originates from the field-dependent dielectric constant of the HfZrO layer. As shown in Figure 1b, the permittivity (εr) exhibits a butterfly-shaped response, peaking near 0 V and decreasing under ±4 V bias. According to the LC resonance model:
Thus, the reduction in εr (V) at higher voltages directly lowers capacitance, shifting fres higher. This behavior confirms the electrical tunability is indeed dominated by intrinsic ferroelectric properties rather than parasitics. The frequency shift observed in our tunable filter can be directly attributed to changes in the effective dielectric constant εr of the ferroelectric HfZrO layer, following the classic relation
Compared with previously reported tunable ferroelectric filters based on perovskite oxides or hafnium oxide derivatives, our device achieves superior tuning range, reduced operating voltage, and improved integration capability. For instance, previously fabricated phase shifters using doped-HfO2 capacitors, but achieved only ~10% frequency tunability at >10 V bias []. Some work demonstrated tunable microwave capacitors with HfO2/graphene stacks but reported limited spectral agility and dielectric nonlinearity []. In contrast, our HfZrO/HfSe structure achieves 43% fractional frequency tuning in the 7.8–11.2 GHz range (X-band); low operating voltage of ±4 V, well below previous benchmarks; robust dielectric modulation, confirmed by a butterfly-shaped ε–V curve; and high integration compatibility, owing to the 2D layered HfSe and BEOL-processable ALD-grown HfZrO. Furthermore, the use of HfSe as the substrate—unlike Si, sapphire, or graphene—ensures a high-quality interface with reduced charge trapping and efficient field screening, leading to stable tuning behavior across multiple cycles.
Compared to existing tunable filters, our HfZrO/HfSe-based bandpass filter demonstrates several key advantages. It achieves a tuning range of 3.4 GHz (7.8–11.2 GHz) under a low voltage of ±4 V, with an insertion loss less than −1.8 dB. In contrast, MEMS-based tunable filters often face mechanical reliability issues and slower response times (e.g., microsecond scale), while BST-based devices typically require higher voltages (>20 V) [] and are less compatible with CMOS integration. Additionally, our quasi-linear tuning behavior and solid-state structure enable fast, low-latency operation suitable for modern RF systems.
We observed that the tuning characteristics were quasi-linear between 1 V and 4 V, with an average resolution of ~100 MHz/V. The deviation from perfect linearity is attributed to the nonlinear response of εr (V) in the ferroelectric domain switching regime []. The resonance shift behavior remained consistent across multiple biasing cycles and exhibited thermal stability from 290 K to 330 K.
4. Conclusions
This work presents the successful design and demonstration of a voltage-tunable high-frequency bandpass filter based on a ferroelectric heterostructure composed of HfZrO and HfSe. Through material-level innovation and system-level engineering, we achieved significant frequency modulation performance while maintaining low power consumption and compact form factor—key metrics required for modern wireless communication systems such as 5G, satellite links, and radar platforms. The fabricated filter exhibited a wide frequency tuning range of 3.4 GHz within the X-band spectrum (7.8 GHz to 11.2 GHz), accomplished using a low operating voltage of less than ±4 V. This result corresponds to a fractional tunability of approximately 43%, which compares favorably with other reported tunable filter technologies based on BaTiO3, BST, or phase-change materials. Importantly, the achieved tunability does not come at the expense of increased loss or degraded filter performance: the insertion loss remains below, and the bandwidth remains stable at approximately 370 MHz across the entire tuning range. From a materials perspective, the HfZrO thin film demonstrated excellent ferroelectric behavior, with a symmetric P–E hysteresis loop. These characteristics are critical to enabling voltage-tunable capacitance in the LC-resonator-based filter without requiring complex driving circuitry or high-voltage power supplies. The HfSe underlayer, serving as both a semiconducting substrate and a structural analog to silicon in SiO2/Si systems, provides favorable band alignment and electrical interface quality with the HfZrO dielectric, enhancing charge stability and minimizing leakage.
Despite these promising findings, the study also reveals several areas that warrant further exploration. First, although initial tests confirm stable electrical and RF behavior, long-term reliability, including fatigue resistance, retention performance, and temperature stability, must be rigorously validated for practical deployment. Second, the current device was demonstrated on a discrete flake transferred by mechanical exfoliation. For large-scale integration, wafer-level deposition and patterned growth of 2D HfSe or similar materials need to be developed. Additionally, parasitic effects from interconnects and packaging were not fully explored and could influence performance in real-world systems. Looking ahead, the flexibility of the HfZrO/HfSe platform opens up new directions in reconfigurable RF circuits, including multi-band filters, frequency-agile phase shifters, and dynamically tunable antenna arrays. Future work may explore array-level implementations where individual filter units can be dynamically tuned for beam steering, frequency hopping, or cognitive radio applications. Further miniaturization of inductive elements and integration with MEMS or 3D-stacked architectures may also unlock new form factors for compact RF modules. While the dielectric tunability of perovskite ferroelectrics such as BaxSr1−xTiO3 (BST) is indeed higher than that of doped hafnium oxide, these materials typically require high bias voltages and lack CMOS process compatibility. In contrast, the HfZrO-based heterostructure demonstrated here offers lower voltage operation (<5 V), nanoscale thickness, and is suitable for back-end-of-line CMOS integration—making it more practical for emerging RF front-end applications. Though not explicitly shown, stable device response was observed across repeated voltage cycling, indicating reasonable endurance for our application scenario.
In summary, this study lays the groundwork for a new class of tunable RF components based on CMOS-compatible ferroelectric materials. By leveraging the unique properties of the HfZrO/HfSe heterostructure, we demonstrate a compelling combination of wide frequency tuning, low driving voltage, and scalable fabrication potential—critical requirements for the next generation of intelligent and adaptive communication systems.
Author Contributions
Investigation, Z.X., K.W., J.L., H.L., Y.W., J.W., X.C., W.X. and Y.M.; writing—original draft preparation, J.Z.; supervision, R.J.; funding acquisition, Y.M. All authors have read and agreed to the published version of the manuscript.
Funding
This research was funded by the Natural Science Foundation of Ningbo Municipality (2023J007), and Graduate Student Scientific Research and Innovation Project of Ningbo University.
Data Availability Statement
The data presented in this study are available on request from the corresponding author.
Conflicts of Interest
Dr. Yu Meng was employed by Weidaoxin (Hangzhou) Technology Co., Ltd. and Dr. Ran Jiang was employed by Qingdao Tailao Technology Co., Ltd. The funders had no role in the design of the study; in the collection, analyses, or interpretation of data; in the writing of the manuscript; or in the decision to publish the results.
References
- Tao, H.; Padilla, W.J.; Zhang, X.; Averitt, R.D. Recent progress in electromagnetic metamaterial devices for terahertz applications. IEEE J. Sel. Top. Quantum Electron. 2010, 17, 92–101. [Google Scholar] [CrossRef]
- Müller, J.; Polakowski, P.; Mueller, S.; Mikolajick, T. Ferroelectric hafnium oxide based materials and devices: Assessment of current status and future prospects. ECS J. Solid State Sci. Technol. 2015, 4, N30. [Google Scholar] [CrossRef]
- Dragoman, M.; Aldrigo, M.; Modreanu, M.; Dragoman, D. Extraordinary tunability of high-frequency devices using Hf0. 3Zr0. 7O2 ferroelectric at very low applied voltages. Appl. Phys. Lett. 2017, 110, 103104. [Google Scholar] [CrossRef]
- Aldrigo, M.; Dragoman, M.; Iordanescu, S.; Nastase, F.; Vulpe, S. Tunable microwave filters using HfO2-based ferroelectrics. Nanomaterials 2020, 10, 2057. [Google Scholar] [CrossRef] [PubMed]
- Dragoman, M.; Aldrigo, M.; Dragoman, D.; Iordanescu, S.; Dinescu, A.; Modreanu, M. HfO2-based ferroelectrics applications in nanoelectronics. Phys. Status Solidi Rapid Res. Lett. 2021, 15, 2000521. [Google Scholar] [CrossRef]
- Lederer, M.; Lehninger, D.; Ali, T.; Kämpfe, T. Review on the microstructure of ferroelectric hafnium oxides. Phys. Status Solidi Rapid Res. Lett. 2022, 16, 2200168. [Google Scholar] [CrossRef]
- Snook, K.A.; Zhao, J.-Z.; Alves, C.H.; Cannata, J.M.; Chen, W.-H.; Meyer, R.J.; Ritter, T.A.; Shung, K.K. Design, fabrication, and evaluation of high frequency, single-element transducers incorporating different materials. IEEE Trans. Ultrason. Ferroelectr. Freq. Control 2002, 49, 169–176. [Google Scholar] [CrossRef] [PubMed]
- Lin, B.; Choe, G.; Hur, J.; Khan, A.I.; Yu, S.; Wang, H. Experimental RF characterization of ferroelectric hafnium zirconium oxide material at GHz for microwave applications. In Proceedings of the 2021 Device Research Conference (DRC), Santa Barbara, CA, USA, 20–23 June 2021; pp. 1–2. [Google Scholar]
- Ali, F.; Ali, T.; Lehninger, D.; Sünbül, A.; Viegas, A.; Sachdeva, R.; Abbas, A.; Czernohorsky, M.; Seidel, K. Fluorite-Structured Ferroelectric and Antiferroelectric Materials: A Gateway of Miniaturized Electronic Devices. Adv. Funct. Mater. 2022, 32, 2201737. [Google Scholar] [CrossRef]
- Yuan, Y.; Xiao, Z.; Yang, B.; Huang, J. Arising applications of ferroelectric materials in photovoltaic devices. J. Mater. Chem. A 2014, 2, 6027–6041. [Google Scholar] [CrossRef]
- Schenk, T.; Hoffmann, M.; Ocker, J.; Pesic, M.; Mikolajick, T.; Schroeder, U. Complex internal bias fields in ferroelectric hafnium oxide. ACS Appl. Mater. Interfaces 2015, 7, 20224–20233. [Google Scholar] [CrossRef] [PubMed]
- Quaresima, S.; Casilli, N.; Petrov, V.; Jornet, J.M.; Colombo, L.; Davaji, B.; Cassella, C. A millimeter wave ferroelectric hafnium zirconium oxide-based programmable antenna. In Proceedings of the 2024 IEEE Ultrasonics, Ferroelectrics, and Frequency Control Joint Symposium (UFFC-JS), Taipei, Taiwan, 22–26 September 2024; pp. 1–5. [Google Scholar]
- Abdulazhanov, S.; Lederer, M.; Lehninger, D.; Mart, C.; Ali, T.; Wang, D.; Olivo, R.; Emara, J.; Kämpfe, T.; Gerlach, G. Tunability of ferroelectric hafnium zirconium oxide for varactor applications. IEEE Trans. Electron Devices 2021, 68, 5269–5276. [Google Scholar] [CrossRef]
- Chouprik, A.; Negrov, D.; Tsymbal, E.Y.; Zenkevich, A. Defects in ferroelectric HfO 2. Nanoscale 2021, 13, 11635–11678. [Google Scholar] [CrossRef] [PubMed]
- Abdulazhanov, S.; Le, Q.H.; Lehninger, D.; Sünbül, A.; Kämpfe, T.; Gerlach, G. Improved tunability of BEoL-integrated hafnium zirconium oxide varactors for mmwave applications. In Proceedings of the 2024 Device Research Conference (DRC), College Park, MD, USA, 24–26 June 2024; pp. 1–2. [Google Scholar]
- Dawber, M.; Rabe, K.; Scott, J. Physics of thin-film ferroelectric oxides. Rev. Mod. Phys. 2005, 77, 1083–1130. [Google Scholar] [CrossRef]
- Al-Ahmad, M.; Loyez, C.; Rolland, N.; Rolland, P.-A. Wide BST-based tuning of voltage controlled oscillator. In Proceedings of the 2006 Asia-Pacific Microwave Conference, Yokohama, Japan, 12–15 December 2006; pp. 468–471. [Google Scholar]
- Hall, D. Review nonlinearity in piezoelectric ceramics. JMatS 2001, 36, 4575–4601. [Google Scholar] [CrossRef]
Disclaimer/Publisher’s Note: The statements, opinions and data contained in all publications are solely those of the individual author(s) and contributor(s) and not of MDPI and/or the editor(s). MDPI and/or the editor(s) disclaim responsibility for any injury to people or property resulting from any ideas, methods, instructions or products referred to in the content. |
© 2025 by the authors. Licensee MDPI, Basel, Switzerland. This article is an open access article distributed under the terms and conditions of the Creative Commons Attribution (CC BY) license (https://creativecommons.org/licenses/by/4.0/).