Structural and Mechanical Properties of NbN Alloyed with Hf, In, and Zr for Orthopedic Applications: A First-Principles Study
Abstract
1. Introduction
2. Results and Discussion
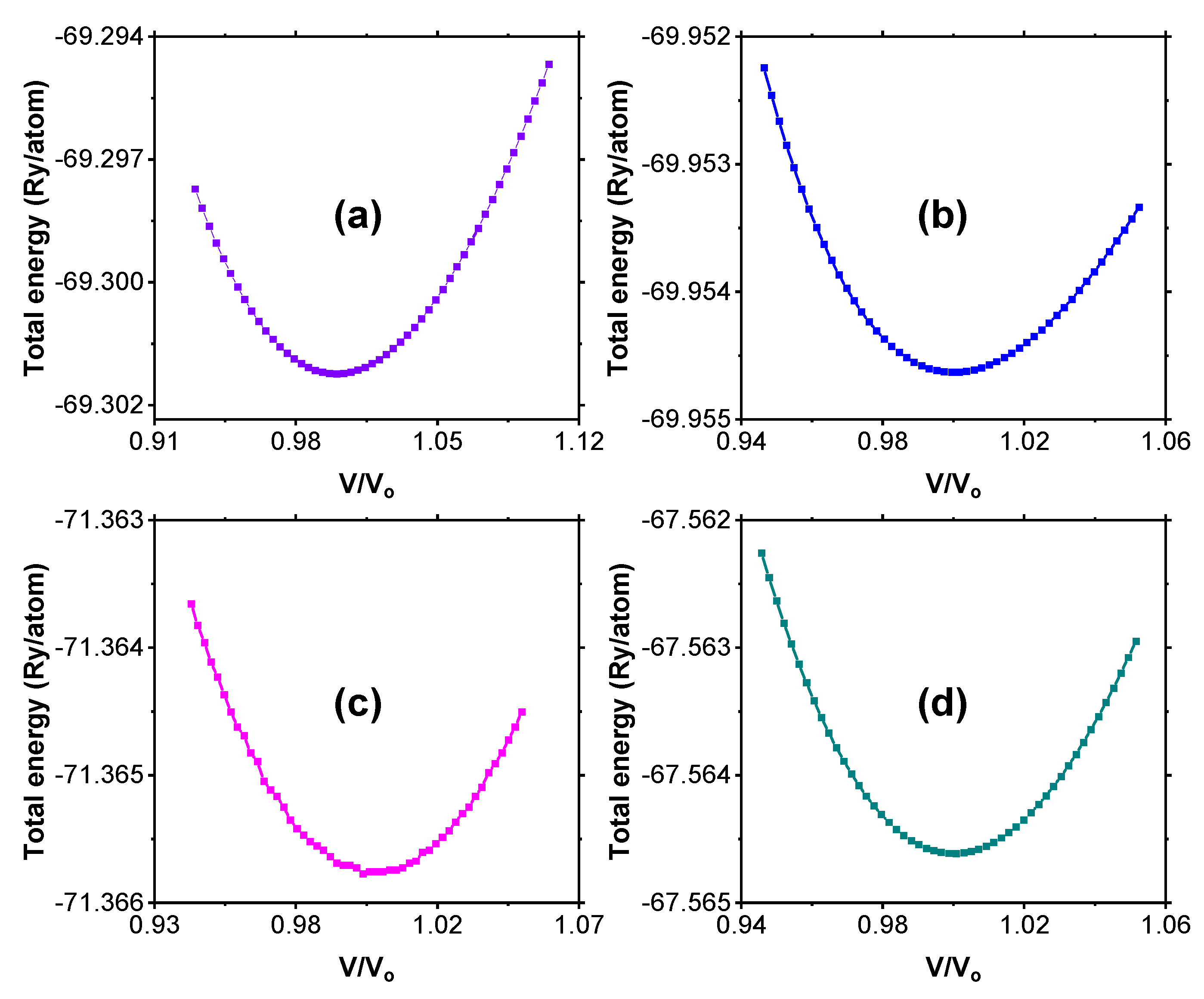
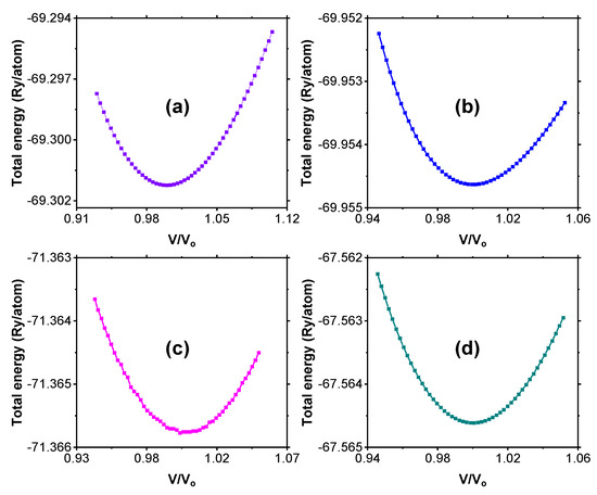
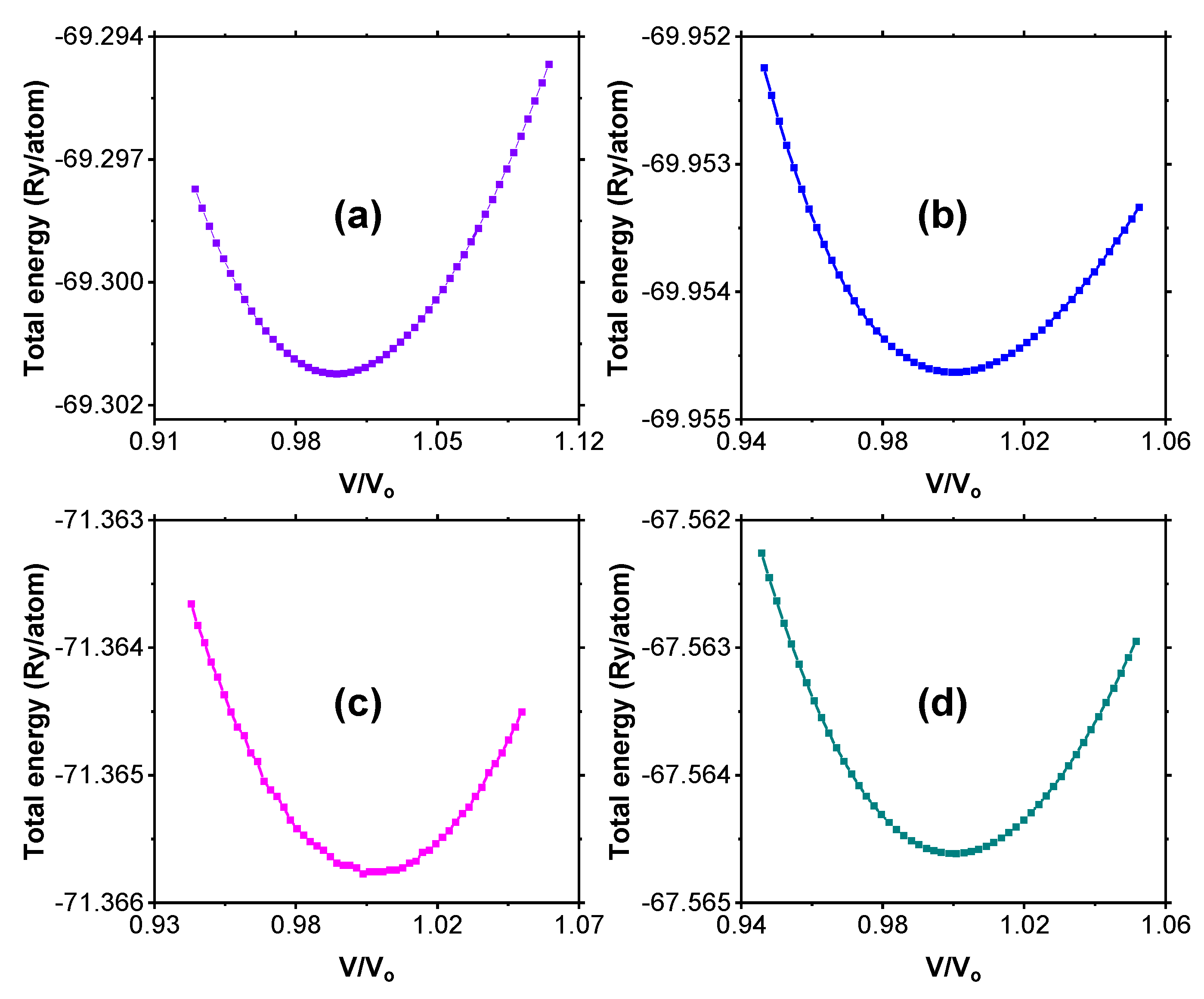
2.1. Structural Properties
2.2. Mechanical Properties
3. Materials and Methods
3.1. Crystal Structures for Input
3.2. Calculation of Mechanical Properties
4. Conclusion
Author Contributions
Funding
Data Availability Statement
Conflicts of Interest
References
- Szczesny, G.; Kopec, M.; Politis, D.J.; Kowalewski, A.; Szolc, T. A review of biomaterials for orthopedic surgery and traumatology: From past to present. Materials 2022, 15, 3622. [Google Scholar] [CrossRef]
- Badhe, R.V.; Akinfosile, A.; Bijukumar, D.; Barba, M.; Mathew, M.T. Systemic toxicity eliciting metal ion levels from metallic implants and orthopedic devices-A mini review. Toxicol. Lett. 2021, 310, 213–224. [Google Scholar] [CrossRef] [PubMed]
- Geanta, V.; Voiculescu, I.; Ştefǎnoiu, R.; Rusu, E.R. Stainless steels with biocompatible properties for medical devices. Key Eng. Mater. 2013, 583, 9–15. [Google Scholar] [CrossRef]
- Buechel, F.F.; Pappas, M.J. Properties of materials used in orthopedic implant systems. In Principles of Human Joint Replacement; Springer: Cham, Switzerland, 2015. [Google Scholar] [CrossRef]
- Ma, C.; Du, T.; Niu, X.; Fan, Y. Biomechanics and mechanobiology of the bone matrix. Bone Res. 2022, 10, 59. [Google Scholar] [CrossRef] [PubMed]
- Thienpont, E. Titanium niobium nitride knee implants are not inferior to chrome cobalt components for primary total knee arthroplasty. Arch. Orthop. Trauma. Surg. 2015, 135, 1749–1754. [Google Scholar] [CrossRef] [PubMed]
- Yamini, S.A. Influence of microalloying elements (Ti, Nb) and nitrogen concentrations on precipitation of pipeline steels—A thermodynamic approach. Eng. Rep. 2020, 3, e12337. [Google Scholar] [CrossRef]
- Buscaglia, V. Nitridation of Ti/Nb alloys and solid-state properties of δ-(Ti,Nb)N. J. Alloys Compd. 1997, 262–263, 521–528. [Google Scholar]
- Muchiri, P.W.; Mwalukuku, V.M.; Korir, K.K.; Amolo, G.O.; Makau, N.W. Hardness characterization parameters of niobium carbide and niobium nitride: A first principles study. Mater. Chem. Phys. 2019, 229, 489–494. [Google Scholar] [CrossRef]
- Field, J.A.; Luna-Velasco, A.; Boitano, S.A.; Shadman, F.; Ratner, B.D. Cytotoxicity and physicochemical properties of hafnium oxide nanoparticles. Chemosphere 2011, 84, 1401–1407. [Google Scholar] [CrossRef]
- Lim, C.H.; Han, J.-H.; Cho, H.-W.; Kang, M. Studies on the toxicity and distribution of indium compounds according to particle size in sprague-dawley rats. Technol. Res. 2015, 30, 55–63. [Google Scholar] [CrossRef]
- Yang, Y.; Bao, H.; Chai, Q.; Wang, Z.; Sun, Z.; Fu, C.; Liu, Z.; Mung, X.; Liu, T. Toxicity, biodistribution and oxidative damage caused by zirconia nanoparticles after intravenous injection. Int. J. Nanomed. 2023, 14, 5175–5186. [Google Scholar] [CrossRef]
- Korir, K.K.; Amolo, G.O.; Makau, N.W.; Joubert, D.P. First-principles calculations of the bulk properties of 4d transition metal carbides and nitrides in the rock salt, zincblende and wurtzite structures. Diam. Relat. Mater. 2011, 20, 157–164. [Google Scholar] [CrossRef]
- Becker, K.; Ebert, F. Die Kristallstrukturen einiger binaerer carbide und nitride. Z. Fuer Phys. 1925, 31, 268–272. [Google Scholar] [CrossRef]
- Cameron, J.R.; Skofronick, J.G.; Grant, R.M. Physics of the Body; Medical Physics Publishing: Madison, WI, USA, 1999. [Google Scholar]
- Oryan, A.; Monazzah, S.; Bigham-Sadegh, A. Bone injury and fracture healing biology. Biomed. Environ. Sci. 2015, 28, 57–71. [Google Scholar] [CrossRef] [PubMed]
- Gaith, M.; Al-Hayek, I. Elastic comparison between human and bovine femural bone. Res. J. Appl. Sci. Eng. Technol. 2012, 4, 5183–5187. [Google Scholar]
- Lu, C.; Chen, C. Structure-strength relations of distinct MON phases from first-principles calculations. Phys. Rev. Mater. 2020, 4, 1–13. [Google Scholar] [CrossRef]
- Hart, H.H.; Nimphius, S.; Rantalainen, T.; Ireland, A.; Siafarikas, A.; Newton, R.U. Mechanical basis of bone strength: Influence of bone material, bone structure and muscle action. J. Musculoskelet. Neuronal. Interact. 2017, 17, 114–139. [Google Scholar] [PubMed]
- Wang, J.; Zhou, B.; Parkinson, I.; Thomas, C.D.L.; Clement, J.G.; Fazzalari, N.; Guo, X.E. Trabecular plate Loss and deteriorating elastic modulus of femoral trabecular bone in intertrochanteric hip fractures. Bone Res. 2013, 1, 346–354. [Google Scholar] [CrossRef] [PubMed]
- Pugh, S.F. XCII. Relations between the elastic moduli and the plastic properties of polycrystalline pure metals. Lond. Edinb. Dublin Philos. Mag. J. Sci. 1954, 45, 823–843. [Google Scholar] [CrossRef]
- Morgan, E.F.; Unnikrisnan, G.U.; Hussein, A.I. Bone mechanical properties in healthy and diseased states. Annu. Rev. Biomed. Eng. 2018, 20, 119–143. [Google Scholar] [CrossRef]
- Oganov, A.R.; Lyakhov, A.O. Towards the theory of hardness of materials. J. Superhard Mater. 2010, 32, 143–147. [Google Scholar] [CrossRef]
- Ibrahim, A.; Magliulo, N.; Groben, J.; Padilla, A.D.; Akbik, F.; Hamid, Z.A. Hardness, an important indicator of bone quality, and the role of collagen in bone hardness. J. Funct. 2020, 11, 85. [Google Scholar] [CrossRef]
- Wu, W.; Zhu, Y.; Chen, W.; Li, S.; Yin, B.; Wang, J.; Zhang, X.; Liu, G.; Hu, Z.; Zhang, Y. Bone hardness of different anatomical regions of human radius and its impact on the pullout strength of screws. Orthop. Surg. 2019, 11, 270–276. [Google Scholar] [CrossRef] [PubMed]
- Grau-Crespo, R.; Hamad, S.; Catlow, C.R.A.; de Leeuw, N.H. Symmetry-adapted configurational modelling of fractional site occupancy in solids. J. Phys. Condens. Matter. 2007, 19, 256201. [Google Scholar] [CrossRef]
- Monkhorst, H.J.; Pack, J.D. Special points for Brillouin zone integration. Phys. Rev. B 1976, 13, 5188. [Google Scholar] [CrossRef]
- Sun, J.; Remsing, R.C.; Zhang, Y.; Sun, Z.; Ruzsinszky, A.; Peng, H.; Yang, Z.; Paul, A.; Waghmare, U.; Wu, X.; et al. Accurate first-principles structures and energies of diversely bonded systems from an efficient density functional. Nat. Chem. 2016, 8, 831–836. [Google Scholar] [CrossRef]
- Bouchenafa, M.; Benmakhlouf, A.; Sidoumou, M.; Bouchemadou, A.; Maabed, S.; Halit, M.; Bentabet, A.; Bin-Omran, S.; Khenata, R.; Al-Douri, Y. Theoretical investigation of the structural, elastic, electronic and optical properties of the ternary tetragonal tellurides KBTe2 (B = Al, In). Mater. Sci. Semicond. Process. 2020, 114, 105085. [Google Scholar] [CrossRef]
- Ongwen, N.O.; Ogam, E.; Otunga, H. Ab initio study of elastic properties of orthorhombic cadmium stannate as a substrate for the manufacture of MEMS devices. Mater. Today Commun. 2021, 26, 101822. [Google Scholar] [CrossRef]
- Voigt, W. Lehrbuchde Kristallphysik; B.G. Teubner: Leipzig/Berlin, Germany, 1928. [Google Scholar]
- Reuss, A. Calculation of the flow limits of mixed crystals on the basis of the plasticity of monocrystals. J. Appl. Math. Mech. 1929, 9, 49–58. [Google Scholar]
- Muslov, S.A.; Lotkov, A.I.; Arutyunov, S.D. Extrema of elastic properties of cubic crystals. Russ. Phys. J. 2019, 62, 1417–1427. [Google Scholar] [CrossRef]
- Hill, R.W. The elastic behaviour of a crystalline aggregate. Proc. Phys. Soc. A 2002, 65, 349. [Google Scholar] [CrossRef]
- Chen, W.-H.; Yu, C.-F.; Chiang, K.-N.; Cheng, H.-C. First-principles density functional calculations of physical properties of orthorhombic Au2Al crystal. Intermetallics 2015, 62, 60–68. [Google Scholar] [CrossRef]
- Grimvall, G.; Magyari-Köpe, B.; Ozoliņš, V.; Persson, K.A. Lattice instabilities in metallic elements. Rev. Mod. Phys. 2012, 84, 945–986. [Google Scholar] [CrossRef]
- Wang, J.; Li, J.; Yip, S.; Phillpot, S.; Wolf, D. Mechanical instabilities of homogeneous crystals. Phys. Rev. B 1995, 52, 12627. [Google Scholar] [CrossRef]
- Avery, P.; Wang, X.; Oses, C.; Gossett, E.; Proserpio, D.M.; Toher, C.; Curtarolo, S. Predicting superhard materials via a machine learning informed evolutionary structure search. Comput. Mater. 2019, 5, 89. [Google Scholar] [CrossRef]




| Alloy | a (Å) | ρ (kg/m3) | c11 (GPa) | c12 (GPa) | c44 (GPa) |
|---|---|---|---|---|---|
| NbN | 4.767 4.76 [9] 4.76 [14] | 6452 | 273.8 ± 2.0 277.7 [9] | 192.3 ± 1.3 189.8 [9] | 34.4 ± 1.2 35.3 [9] |
| Hf-Nb-N | 4.787 | 7440 | 265.6 ± 4.1 | 171.2 ± 2.7 | 59.0 ± 1.7 |
| In-Nb-N | 4.821 | 6573 | 213.4 ± 1.4 | 150.0 ± 2.5 | 72.4 ± 1.1 |
| Zr-Nb-N | 4.798 | 6402 | 270.0 ± 3.2 | 174.2 ± 1.6 | 48.9 ± 1.3 |
| Alloy | B (GPa) | G (GPa) | E (GPa) | (GPa) | ||
|---|---|---|---|---|---|---|
| NbN | 219.3 219.1 [9] | 36.6 38 [9] | 104.0 109.0 [9] | 0.421 0.41 [9] | 5.989 | 1.537 1.649 [9] |
| Hf-Nb-N | 202.7 | 54.0 | 171.2 | 0.377 | 3.576 | 3.445 |
| In-Nb-N | 171.1 | 52.0 | 141.5 | 0.362 | 3.292 | 3.896 |
| Zr-Nb-N | 206.1 | 48.5 | 134.9 | 0.391 | 4.250 | 2.773 |
Disclaimer/Publisher’s Note: The statements, opinions and data contained in all publications are solely those of the individual author(s) and contributor(s) and not of MDPI and/or the editor(s). MDPI and/or the editor(s) disclaim responsibility for any injury to people or property resulting from any ideas, methods, instructions or products referred to in the content. |
© 2024 by the authors. Licensee MDPI, Basel, Switzerland. This article is an open access article distributed under the terms and conditions of the Creative Commons Attribution (CC BY) license (https://creativecommons.org/licenses/by/4.0/).
Share and Cite
Alruqi, A.B.; Ongwen, N.O. Structural and Mechanical Properties of NbN Alloyed with Hf, In, and Zr for Orthopedic Applications: A First-Principles Study. Inorganics 2024, 12, 43. https://doi.org/10.3390/inorganics12020043
Alruqi AB, Ongwen NO. Structural and Mechanical Properties of NbN Alloyed with Hf, In, and Zr for Orthopedic Applications: A First-Principles Study. Inorganics. 2024; 12(2):43. https://doi.org/10.3390/inorganics12020043
Chicago/Turabian StyleAlruqi, Adel Bandar, and Nicholas O. Ongwen. 2024. "Structural and Mechanical Properties of NbN Alloyed with Hf, In, and Zr for Orthopedic Applications: A First-Principles Study" Inorganics 12, no. 2: 43. https://doi.org/10.3390/inorganics12020043
APA StyleAlruqi, A. B., & Ongwen, N. O. (2024). Structural and Mechanical Properties of NbN Alloyed with Hf, In, and Zr for Orthopedic Applications: A First-Principles Study. Inorganics, 12(2), 43. https://doi.org/10.3390/inorganics12020043

