Microporous N- and O-Codoped Carbon Materials Derived from Benzoxazine for Supercapacitor Application
Abstract
:1. Introduction
2. Results and Discussion
3. Materials and Methods
3.1. Materials
3.2. Preparation
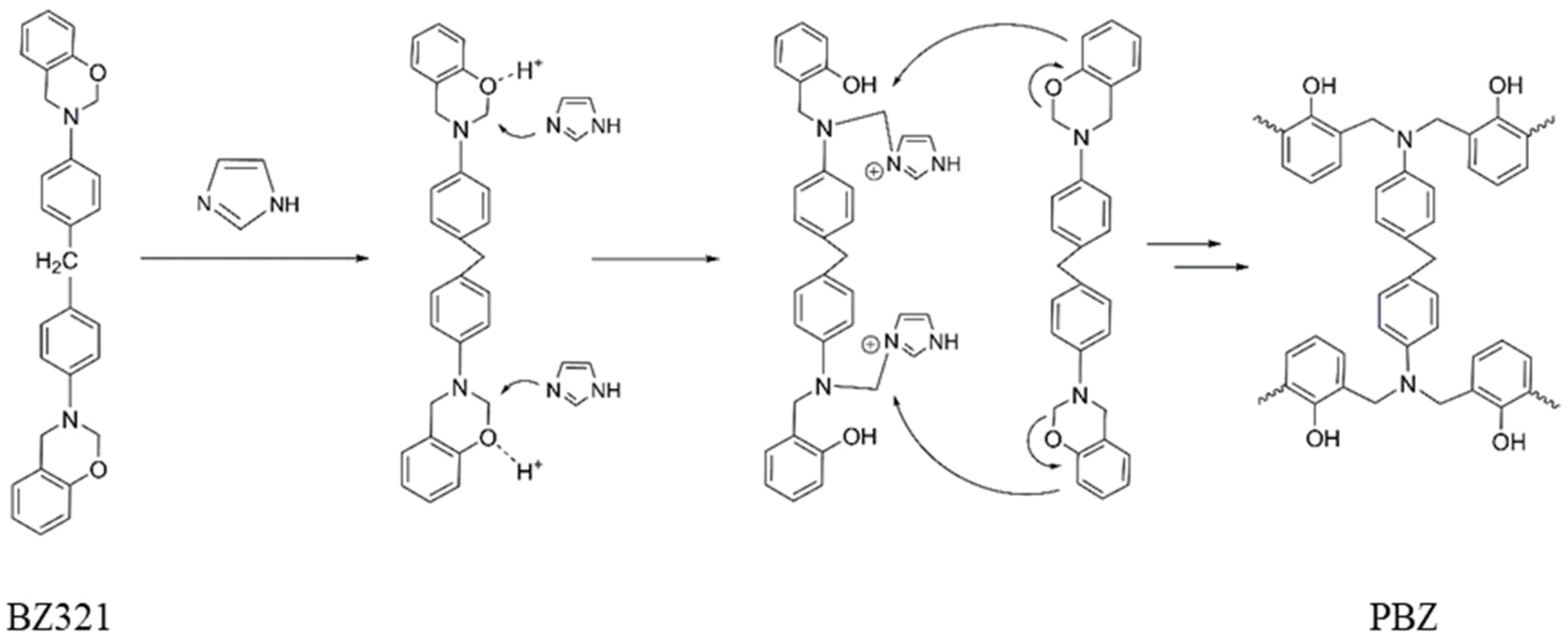
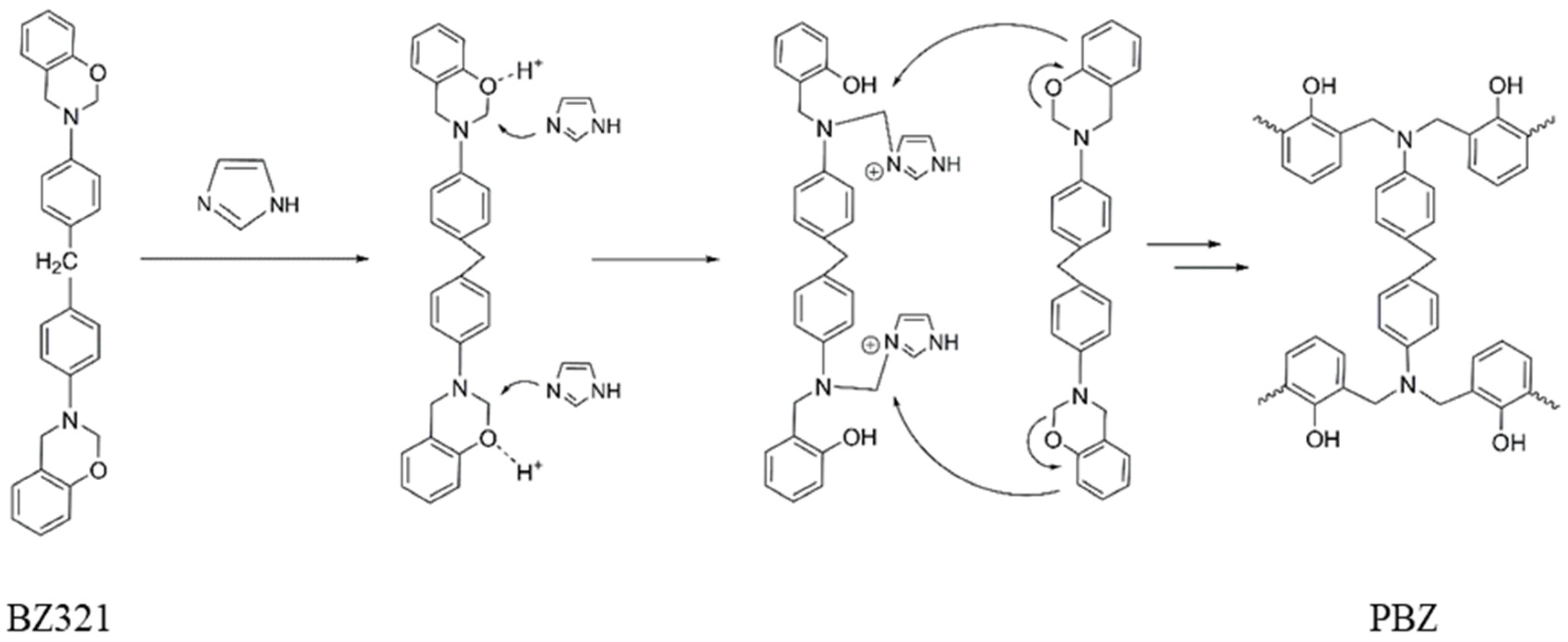
3.2.1. Synthesis of Polybenzoxazine
3.2.2. Preparation of N- and O-Codoped Carbon Materials Derived from PBZ
3.3. Characterizations
3.4. Electrochemical Measurements
4. Conclusions
Author Contributions
Funding
Data Availability Statement
Conflicts of Interest
References
- Wang, D.; Zhou, Q.; Fu, H.; Lian, Y.; Zhang, H. A Fe2(SO4)3-assisted approach towards green synthesis of cuttlefish ink-derived carbon nanospheres for high-performance supercapacitors. J. Colloid Interface Sci. 2023, 638, 695–708. [Google Scholar] [CrossRef]
- Zhang, W.; Zhang, L.; Guo, J.; Lee, J.; Lin, L.; Diao, G. Carbon nanofibers based on potassium citrate/polyacrylonitrile for supercapacitors. Membranes 2022, 12, 272. [Google Scholar] [CrossRef]
- Liu, T.; Chen, L.; Chen, L.; Tian, G.; Ji, M.; Zhou, S. Layer-by-layer heterostructure of MnO2@reduced graphene oxide composites as high-performance electrodes for supercapacitors. Membranes 2022, 12, 1044. [Google Scholar] [CrossRef] [PubMed]
- Yuan, L.; Xin, N.; Liu, Y.; Shi, W. In situ construction of multi-dimensional Co3O4/NiCo2O4 hierarchical flakes on self-supporting carbon substrate with ultra-high capacitance for hybrid supercapacitors. J. Colloid Interface Sci. 2021, 599, 158–167. [Google Scholar] [CrossRef]
- Pang, Z.; Li, G.; Xiong, X.; Ji, L.; Xu, Q.; Zou, X.; Lu, X. Molten salt synthesis of porous carbon and its application in supercapacitors: A review. J. Energy Chem. 2021, 61, 622–640. [Google Scholar] [CrossRef]
- Chen, L.; Hao, C.; Zhang, Y.; Wei, Y.; Dai, L.; Cheng, J.; Zhang, H. Guest ions pre-intercalation strategy of manganese-oxides for supercapacitor and battery applications. J. Energy Chem. 2021, 60, 480–493. [Google Scholar] [CrossRef]
- Yuan, F.; Li, C.; Wu, J.; Liang, Y.; Huang, H.; Xu, S.; Liang, X.; Zhou, W.; Guo, J. Binder-free hybrid cobalt-based sulfide/oxide nanoarrays toward enhanced energy storage performance for hybrid supercapacitors. J. Energy Storage 2023, 63, 106979. [Google Scholar] [CrossRef]
- Chen, G.; Zhang, L.; Zhu, Y.; Wan, Z.; Huang, X.; Yin, J.; Liu, Z.; Zhou, Y.; Xia, Y. A supercapacitor electrode with ultrahigh areal capacity by using loofah-inspired bimetallic selenide-incorporated hierarchical nanowires. J. Alloys Compd. 2023, 943, 169045. [Google Scholar] [CrossRef]
- Lu, Y.H.; Wang, Y.Z.; Tsai, M.Y.; Lin, H.P.; Hsu, C.H. Electrospun benzimidazole-based polyimide membrane for supercapacitor applications. Membranes 2022, 12, 961. [Google Scholar] [CrossRef] [PubMed]
- Joshi, B.; Samuel, E.; Park, C.; Kim, Y.; Lee, H.S.; Yoon, S.S. Bimetallic ZnFe2O4 nanosheets prepared via electrodeposition as binder-free high-performance supercapacitor electrodes. Appl. Surf. Sci. 2021, 559, 149951. [Google Scholar] [CrossRef]
- Zhang, X.; Shao, B.; Guo, A.; Sun, Z.; Zhao, J.; Cui, F.; Yang, X. MnO2 nanoshells/Ti3C2Tx MXene hybrid film as supercapacitor electrode. Appl. Surf. Sci. 2021, 560, 150040. [Google Scholar] [CrossRef]
- Dai, T.; Cai, B.; Yang, X.; Jiang, Y.; Wang, L.; Wang, J.; Li, X.; Lü, W. Asymmetric supercapacitors based on SnNiCoS ternary metal sulfide electrodes. Nanotechnology 2023, 34, 225401. [Google Scholar] [CrossRef] [PubMed]
- Yu, J.; Ding, C.; Wang, X.; Huang, P. Optimized synthesis of N-doped multi-channel carbon derived from fiber-reinforced polyimide composites for supercapacitors. Mater. Lett. 2023, 339, 134036. [Google Scholar] [CrossRef]
- Liu, Y.; Xiang, C.; Chu, H.; Qiu, S.; McLeod, J.; She, Z.; Xu, F.; Sun, L.; Zou, Y. Binary Co-Ni oxide nanoparticle-loaded hierarchical graphitic porous carbon for high-performance supercapacitors. J. Mater. Sci. Technol. 2020, 37, 135–142. [Google Scholar] [CrossRef]
- Li, J.; Yang, J.; Wang, P.; Cong, Z.; Shi, F.; Wei, L.; Wang, K.; Tong, Y. NiCo2S4 combined 3D hierarchical porous carbon derived from lignin for high-performance supercapacitors. Int. J. Biol. Macromol. 2023, 232, 123344. [Google Scholar] [CrossRef]
- Liu, Z.; Zhao, Z.; Xu, A.; Li, W.; Qin, Y. Facile preparation of graphene/polyaniline composite hydrogel film by electrodeposition for binder-free all-solid-state supercapacitor. J. Alloys Compd. 2021, 875, 159931. [Google Scholar] [CrossRef]
- Cao, L.; Li, H.; Liu, X.; Liu, S.; Zhang, L.; Xu, W.; Yang, H.; Hou, H.; He, S.; Zhao, Y.; et al. Nitrogen, sulfur co-doped hierarchical carbon encapsulated in graphene with ‘‘sphere-in-layer” interconnection for high-performance supercapacitor. J. Colloid Interface Sci. 2021, 599, 443–452. [Google Scholar] [CrossRef] [PubMed]
- Wang, Y.; Liu, G.; Liu, Y.; Yang, J.; Liu, P.; Jiang, Q.; Jiang, F.; Liu, C.; Ding, W.; Xu, J. Heterostructural conductive polymer with multi-dimensional carbon materials for capacitive energy storage. Appl. Surf. Sci. 2021, 558, 149910. [Google Scholar] [CrossRef]
- Xiao, Y.; Liu, Y.; Liu, F.; Han, P.; Qin, G. Wearable pseudocapacitor based on porous MnO2 composite. J. Alloys Compd. 2020, 813, 152089. [Google Scholar] [CrossRef]
- Gu, J.; Wang, H.; Li, S.; Riaz, M.S.; Ning, J.; Pu, X.; Hu, Y. Tuning pyridinic-N and graphitic-N doping with 4,4′-bipyridine in honeycomb-like porous carbon and distinct electrochemical roles in aqueous and ionic liquid gel electrolytes for symmetric supercapacitors. J. Colloid Interface Sci. 2023, 635, 254–264. [Google Scholar] [CrossRef]
- Samal, R.; Bhat, M.; Kapse, S.; Thapa, R.; Late, D.J.; Rout, C.S. Enhanced energy storage performance and theoretical studies of 3D cuboidal manganese diselenides embedded with multiwalled carbon nanotubes. J. Colloid Interface Sci. 2021, 598, 500–510. [Google Scholar] [CrossRef]
- Zhao, Z.; Shen, T.; Liu, Z.; Zhong, Q.; Qin, Y. Facile fabrication of binder-free reduced graphene oxide/MnO2/Ni foam hybrid electrode for high-performance supercapacitors. J. Alloys Compd. 2020, 812, 152124. [Google Scholar] [CrossRef]
- Sha, Z.; Zhou, Y.; Huang, F.; Yang, W.; Yu, Y.; Zhang, J.; Wu, S.; Brown, S.A.; Peng, S.; Han, Z.; et al. Carbon fibre electrodes for ultra long cycle life pseudocapacitors by engineering the nano-structure of vertical graphene and manganese dioxide. Carbon 2021, 177, 260–270. [Google Scholar] [CrossRef]
- Fu, F.; Yang, D.; Zhao, B.; Fan, Y.; Liu, W.; Lou, H.; Qiu, X. Boosting capacitive performance of N, S co-doped hierarchical porous lignin-derived carbon via self-assembly assisted template-coupled activation. J. Colloid Interface Sci. 2023, 640, 698–709. [Google Scholar] [CrossRef] [PubMed]
- Guo, N.; Liu, A.; Luo, W.; Ma, R.; Yan, L.; Ai, L.; Xu, M.; Wang, L.; Jia, D. Hybrid nanoarchitectonics of coal-derived carbon with oxidationinduced morphology-selectivity for high-performance supercapacitor. J. Colloid Interface Sci. 2023, 639, 171–179. [Google Scholar] [CrossRef] [PubMed]
- Yang, J.; Tan, Z.; Chen, X.; Liang, Y.; Zheng, M.; Hu, H.; Dong, H.; Liu, X.; Liu, Y.; Xiao, Y. A mild method to prepare nitrogen-rich interlaced porous carbon nanosheets for high-performance supercapacitors. J. Colloid Interface Sci. 2021, 599, 381–389. [Google Scholar] [CrossRef]
- Lei, X.; Pan, F.; Hua, C.; Wang, S.; Xiong, B.; Liu, Y.; Fu, Z.; Xiang, B.; Lu, Y. Oxide-doped hierarchically porous carbon for high-performance supercapacitor. J. Alloys Compd. 2022, 901, 163624. [Google Scholar] [CrossRef]
- Periyasamy, T.; Asrafali, S.P.; Kim, S.C. Heteroatom-enhanced porous carbon materials based on polybenzoxazine for supercapacitor electrodes and CO2 capture. Polymers 2023, 15, 1564. [Google Scholar] [CrossRef] [PubMed]
- Lu, Z.; Liu, X.; Wang, T.; Huang, X.; Dou, J.; Wu, D.; Yu, J.; Wu, S.; Chen, X. S/N-codoped carbon nanotubes and reduced graphene oxide aerogel based supercapacitors working in a wide temperature range. J. Colloid Interface Sci. 2023, 638, 709–718. [Google Scholar] [CrossRef] [PubMed]
- Lin, S.; Mo, L.; Wang, F.; Shao, Z. N/O co-doped hierarchically porous carbon with three-dimensional conductive network for high-performance supercapacitors. J. Alloys Compd. 2021, 873, 159705. [Google Scholar] [CrossRef]
- Wang, R.; Lei, W.; Wang, L.; Li, Z.; Chen, J.; Hu, Z. N-doped carbon nanofibrous film with unique wettability, enhanced supercapacitive property, and facile capacity to demulsify surfactant free oil-in-water emulsions. Chem. Res. Chin. Univ. 2021, 37, 436–442. [Google Scholar] [CrossRef]
- Wen, J.; Chen, X.; Huang, M.; Yang, W.; Deng, J. Core-shell-structured MnO2@carbon spheres and nitrogen-doped activated carbon for asymmetric supercapacitors with enhanced energy density. J. Chem. Sci. 2020, 132, 6. [Google Scholar] [CrossRef]
- Xiang, X.; Liu, E.; Huang, Z.; Shen, H.; Tian, Y.; Xiao, C.; Yang, J.; Mao, Z. Preparation of activated carbon from polyaniline by zinc chloride activation as supercapacitor electrodes. J. Solid State Electrochem. 2011, 15, 2667–2674. [Google Scholar] [CrossRef]
- Jaouadi, M.; Marzouki, M.; Hamzaoui, A.H.; Ghodbane, O. Enhanced electrochemical performance of olive stonesderived activated carbon by silica coating for supercapacitor applications. J. Appl. Electrochem. 2022, 52, 125–137. [Google Scholar] [CrossRef]
- Qu, K.; Chen, M.; Wang, W.; Yang, S.; Jing, S.; Guo, S.; Tian, J.; Qi, H.; Huang, Z. Biomass-derived carbon dots regulating nickel cobalt layered double hydroxide from 2D nanosheets to 3D flower-like spheres as electrodes for enhanced asymmetric supercapacitors. J. Colloid Interface Sci. 2022, 616, 584–594. [Google Scholar] [CrossRef]
- Yin, Q.; Zhang, Z.; Liu, H. Research progress of low dielectric benzoxazine resin. J. Polym. Sci. Eng. 2018, 1, 234. [Google Scholar] [CrossRef]
- Yu, Z.L.; Qin, B.; Ma, Z.Y.; Huang, J.; Li, S.C.; Zhao, H.Y.; Li, H.; Zhu, Y.B.; Wu, H.A.; Yu, S.H. Superelastic hard carbon nanofiber aerogels. Adv. Mater. 2019, 31, 1900651. [Google Scholar] [CrossRef]
- Thirukumaran, P.; Atchudan, R.; Parveen, A.S.; Lee, Y.R.; Kim, S.C. Polybenzoxazine originated N-doped mesoporous carbon ropes as an electrode material for high-performance supercapacitors. J. Alloys Compd. 2018, 750, 384–391. [Google Scholar] [CrossRef]
- Zhang, K.; Shang, Z.; Wu, S.; Wang, J.; Sheng, W.; Shen, X.; Zhu, M. Commercialized benzoxazine resin-derived porous carbon as high performance electrode materials for supercapacitor. J. Inorg. Organomet. Polym. 2017, 27, 1423–1429. [Google Scholar] [CrossRef]
- Liu, Y.; Cao, L.; Luo, J.; Peng, Y.; Ji, Q.; Dai, J.; Zhu, J.; Liu, X. Biobased nitrogen- and oxygen-codoped carbon materials for high-performance supercapacitor. ACS Sustain. Chem. Eng. 2019, 7, 2763–2773. [Google Scholar] [CrossRef]
- Wang, L.; Sun, J.; Zhang, H.; Xu, L.; Liu, G. Preparation of benzoxazine-based N-doped mesoporous carbon material and its electrochemical behaviour as supercapacitor. J. Electroanal. Chem. 2020, 868, 114196. [Google Scholar] [CrossRef]
- Zhou, X.; Li, Y.; Li, J.; Wang, Y.; Liu, C.; Wang, L.; Li, S.; Song, Y. Preparation and characterization of polybenzoxazine foam with flame retardancy. Polym. Adv. Technol. 2020, 31, 3095–3103. [Google Scholar] [CrossRef]
- Zhao, M.Q.; Zhang, Q.; Huang, J.Q.; Tian, G.L.; Nie, J.Q.; Peng, H.J.; Wei, F. Unstacked double-layer templated graphene for high-rate lithium-sulphur batteries. Nat. Commun. 2014, 5, 3410. [Google Scholar] [CrossRef] [PubMed] [Green Version]
- He, W.; Ren, P.G.; Dai, Z.; Hou, X.; Ren, F.; Jin, Y.L. Hierarchical porous carbon composite constructed with 1-D CNT and 2-D GNS anchored on 3-D carbon skeleton from spent coffee grounds for supercapacitor. Appl. Surf. Sci. 2021, 558, 149899. [Google Scholar] [CrossRef]
- Liu, W.; Mei, J.; Liu, G.; Kou, Q.; Yi, T.; Xiao, S. Nitrogen-doped hierarchical porous carbon from wheat straw for supercapacitors. ACS Sustain. Chem. Eng. 2018, 6, 11595–11605. [Google Scholar] [CrossRef]
- Zhang, H.; Xu, L.; Liu, G. Synthesis of benzoxazine-based N-doped mesoporous carbons as high-performance electrode materials. Appl. Sci. 2020, 10, 422. [Google Scholar] [CrossRef] [Green Version]
- Wang, D.; Wang, Y.; Liu, H.; Xu, W.; Xu, L. Unusual carbon nanomesh constructed by interconnected carbon nanocages for ionic liquid-based supercapacitor with superior rate capability. Chem. Eng. J. 2018, 342, 474–483. [Google Scholar] [CrossRef]
- Chen, L.F.; Zhang, X.D.; Liang, H.W.; Kong, M.; Guan, Q.F.; Chen, P.; Wu, Z.Y.; Yu, S.H. Synthesis of nitrogen-doped porous carbon nanofibers as an efficient electrode material for supercapacitors. ACS Nano 2012, 6, 7092–7102. [Google Scholar] [CrossRef]
- Guan, X.; Pan, L.; Fan, Z. Flexible, transparent and highly conductive polymer film electrodes for all-solid-state transparent supercapacitor applications. Membranes 2021, 11, 788. [Google Scholar] [CrossRef]




| Sample | SSA (m2 g−1) | Vtotal (cm3 g−1) | Davg (nm) | ID/IG | Element Content (%) | N Species (%) | O Species (%) | |||||||
|---|---|---|---|---|---|---|---|---|---|---|---|---|---|---|
| C | H | N | O | N-6 | N-5 | N-Q | O-C=O | C-O-C/C-OH | C=O | |||||
| C-600 | 721.77 | 0.301 | 1.668 | 1.07 | 68.61 | 1.86 | 7.32 | 22.21 | 30.13 | 53.65 | 16.22 | 48.04 | 10.53 | 41.43 |
| C-700 | 823.10 | 0.352 | 1.708 | 1.06 | 77.42 | 1.44 | 6.88 | 14.26 | 28.47 | 48.78 | 22.75 | 8.05 | 62.53 | 29.42 |
| C-800 | 802.96 | 0.336 | 1.675 | 1.04 | 78.42 | 1.29 | 6.70 | 13.59 | 26.99 | 43.00 | 30.01 | 18.17 | 61.74 | 20.09 |
| C-900 | 745.05 | 0.311 | 1.670 | 1.03 | 83.96 | 1.07 | 5.41 | 9.56 | 26.53 | 39.25 | 34.22 | 81.00 | 12.60 | 6.40 |
| Sample | Specific Capacitance (F g−1) | ||||
|---|---|---|---|---|---|
| 0.25 (A g−1) | 0.5 (A g−1) | 1 (A g−1) | 2 (A g−1) | 5 (A g−1) | |
| C-600 | 150 | 128 | 120 | 105 | 80 |
| C-700 | 205 | 180 | 160 | 140 | 105 |
| C-800 | 175 | 155 | 140 | 115 | 95 |
| C-900 | 160 | 140 | 130 | 110 | 85 |
Disclaimer/Publisher’s Note: The statements, opinions and data contained in all publications are solely those of the individual author(s) and contributor(s) and not of MDPI and/or the editor(s). MDPI and/or the editor(s) disclaim responsibility for any injury to people or property resulting from any ideas, methods, instructions or products referred to in the content. |
© 2023 by the authors. Licensee MDPI, Basel, Switzerland. This article is an open access article distributed under the terms and conditions of the Creative Commons Attribution (CC BY) license (https://creativecommons.org/licenses/by/4.0/).
Share and Cite
Li, Y.-Y.; Li, Y.-L.; Liu, L.-N.; Xu, Z.-W.; Xie, G.; Wang, Y.; Zhao, F.-G.; Gao, T.; Li, W.-S. Microporous N- and O-Codoped Carbon Materials Derived from Benzoxazine for Supercapacitor Application. Inorganics 2023, 11, 269. https://doi.org/10.3390/inorganics11070269
Li Y-Y, Li Y-L, Liu L-N, Xu Z-W, Xie G, Wang Y, Zhao F-G, Gao T, Li W-S. Microporous N- and O-Codoped Carbon Materials Derived from Benzoxazine for Supercapacitor Application. Inorganics. 2023; 11(7):269. https://doi.org/10.3390/inorganics11070269
Chicago/Turabian StyleLi, Yuan-Yuan, Yu-Ling Li, Li-Na Liu, Zi-Wen Xu, Guanghui Xie, Yufei Wang, Fu-Gang Zhao, Tianzeng Gao, and Wei-Shi Li. 2023. "Microporous N- and O-Codoped Carbon Materials Derived from Benzoxazine for Supercapacitor Application" Inorganics 11, no. 7: 269. https://doi.org/10.3390/inorganics11070269
APA StyleLi, Y.-Y., Li, Y.-L., Liu, L.-N., Xu, Z.-W., Xie, G., Wang, Y., Zhao, F.-G., Gao, T., & Li, W.-S. (2023). Microporous N- and O-Codoped Carbon Materials Derived from Benzoxazine for Supercapacitor Application. Inorganics, 11(7), 269. https://doi.org/10.3390/inorganics11070269

