Highly Sensitive and Highly Emissive Luminescent Thermometers for Elevated Temperatures Based on Lanthanide-Doped Polymers
Abstract
1. Introduction
2. Results and Discussion
2.1. Measurement Setup Construction
2.2. Synthesis and Characterization
2.3. Luminescence
2.3.1. Room Temperature Data
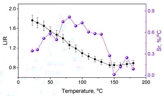
2.3.2. Luminescent Thermometry
3. Experimental Section
3.1. Materials and Methods
3.2. Synthesis
4. Conclusions
Supplementary Materials
Author Contributions
Funding
Data Availability Statement
Acknowledgments
Conflicts of Interest
References
- Quintanilla, M.; Liz-Marzán, L.M. Guiding Rules for Selecting a Nanothermometer. Nano Today 2018, 19, 126–145. [Google Scholar] [CrossRef]
- Chambers, M.; Clarke, D. Doped Oxides for High-Temperature Luminescence and Lifetime Thermometry. Annu. Rev. Mater. Res. 2009, 39, 325–359. [Google Scholar] [CrossRef]
- Aldén, M.; Omrane, A.; Richter, M.; Särner, G. Thermographic Phosphors for Thermometry: A Survey of Combustion Applications. Prog. Energy Combust. Sci. 2011, 37, 422–461. [Google Scholar] [CrossRef]
- Gomez, G.E.; Marin, R.; Neto, A.N.C.; Botas, A.M.P.; Ovens, J.; Kitos, A.A.; Bernini, M.C.; Carlos, L.D.; Soler-Illia, G.J.A.A.; Murugesu, M. Tunable energy transfer process in heterometallic MOFs materials based on 2,6-naphtalenedicarboxylate: Solid-state lighting and near-infrared luminescence thermometry. Chem. Mater. 2020, 32, 7458–7468. [Google Scholar] [CrossRef]
- Kitos, A.A.; Gálico, D.A.; Castañeda, R.; Ovens, J.S.; Murugesu, M.; Brusso, J.L. Stark Sublevel-Based Thermometry with Tb(III) and Dy(III) Complexes Cosensitized via the 2-Amidinopyridine Ligand. Inorg. Chem. 2020, 59, 11061–11070. [Google Scholar] [CrossRef]
- Karachousos-Spiliotakopoulos, K.; Tangoulis, V.; Panagiotou, N.; Tasiopoulos, A.; Nastopoulos, V.; Moreno-Pineda, E.; Wernsdorfer, W.; Schulze, M.; Botas, A.M.P.; Carlos, L.D. Lanthanide Luminescence Thermometry and Slow Magnetic Relaxation in 3-D Polycyanidometallate-Based Materials. Inorg. Chem. 2022, 61, 18629–18639. [Google Scholar] [CrossRef]
- Diaz-Rodriguez, R.M.; Gálico, D.A.; Chartrand, D.; Suturina, E.A.; Murugesu, M. Toward Opto-Structural Correlation to Investigate Luminescence Thermometry in an Organometallic Eu(II) Complex. J. Am. Chem. Soc. 2022, 144, 912–921. [Google Scholar] [CrossRef]
- Karachousos-Spiliotakopoulos, K.; Tangoulis, V.; Panagiotou, N.; Tasiopoulos, A.; Moreno-Pineda, E.; Wernsdorfer, W.; Schulze, M.; Botas, A.M.P.; Carlos, L.D. Luminescence thermometry and field induced slow magnetic relaxation based on a near infrared emissive heterometallic complex. Dalton Trans. 2022, 51, 8208–8216. [Google Scholar] [CrossRef]
- Errulat, D.; Marin, R.; Gálico, D.A.; Harriman, K.L.M.; Pialat, A.; Gabidullin, B.; Iikawa, F.; Couto, O.D.D., Jr.; Moilanen, J.O.; Hemmer, E.; et al. A Luminescent Thermometer Exhibiting Slow Relaxation of the Magnetization: Toward Self-Monitored Building Blocks for Next-Generation Optomagnetic Devices. ACS Cent. Sci. 2019, 5, 1187–1198. [Google Scholar] [CrossRef]
- Marin, R.; Millan, N.C.; Kelly, L.; Liu, N.; Rodrigues, E.M.; Murugesu, M.; Hemmer, E. Luminescence thermometry using sprayed films of metal complexes. J. Mater. Chem. C 2022, 10, 1767–1775. [Google Scholar] [CrossRef]
- Yu, Y.B.; Chow, W.K. Review on an Advanced High-Temperature Measurement Technology: The Optical Fiber Thermometry. J. Thermodyn. 2009, 2009, 823482. [Google Scholar] [CrossRef]
- Rocha, J.; Brites, C.D.S.; Carlos, L.D. Lanthanide Organic Framework Luminescent Thermometers. Chem. Eur. J. 2016, 22, 14782–14795. [Google Scholar] [CrossRef] [PubMed]
- Brites, C.D.S.; Millán, A.; Carlos, L.D. Lanthanides in Luminescent Thermometry. In Handbook on the Physics and Chemistry of Rare Earths; Elsevier: Amsterdam, The Netherlands, 2016; Volume 49, pp. 339–427. ISBN 9780444636997. [Google Scholar]
- Brites, C.D.S.; Lima, P.P.; Silva, N.J.O.; Millán, A.; Amaral, V.S.; Palacio, F.; Carlos, L.D. Thermometry at the nanoscale. Nanoscale 2012, 4, 4799–4829. [Google Scholar] [CrossRef]
- Utochnikova, V.V.; Solodukhin, N.N.; Aslandukov, A.A.; Zaitsev, K.V.; Kalyakina, A.S.; Averin, A.A.; Ananyev, I.A.; Churakov, A.V.; Kuzmina, N.P. Highly Luminescent, Water-Soluble Lanthanide Fluorobenzoates: Syntheses, Structures and Photophysics. Part II: Luminescence Enhancement by p-Substituent Variation. Eur. J. Inorg. Chem. 2017, 2017, 107–114. [Google Scholar] [CrossRef]
- Utochnikova, V.V.; Latipov, E.; Dalinger, A.I.; Nelyubina, Y.V.; Vashchenko, A.A.; Hoffmann, M.; Kalyakina, A.S.; Vatsadze, S.Z.; Schepers, U.; Bräse, S.; et al. Lanthanide pyrazolecarboxylates for OLEDs and bioimaging. J. Lumin 2018, 202, 38–46. [Google Scholar] [CrossRef]
- Vialtsev, M.B.; Tcelykh, L.O.; Kozlov, M.I.; Latipov, E.V.; Bobrovsky, A.Y.; Utochnikova, V.V. Terbium and europium aromatic carboxylates in the polystyrene matrix: The first metal-organic-based material for high-temperature thermometry. J. Lumin 2021, 239, 118400. [Google Scholar] [CrossRef]
- Vialtsev, M.B.; Tcelykh, L.O.; Bobrovsky, A.Y.; Utochnikova, V.V. Lanthanide complexes for elevated temperature luminescence thermometry: Mixture vs bimetallic compound. J. Alloys Compd. 2022, 924, 166421. [Google Scholar] [CrossRef]
- Vialtsev, M.B.; Dalinger, A.I.; Latipov, E.V.; Lepnev, L.S.; Kushnir, S.E.; Vatsadze, S.Z.; Utochnikova, V.V. New approach to increase the sensitivity of Tb–Eu-based luminescent thermometer. Phys. Chem. Chem. Phys. 2020, 22, 25450–25454. [Google Scholar] [CrossRef]
- Orlova, A.V.; Kozhevnikova, V.Y.; Goloveshkin, A.S.; Lepnev, L.S.; Utochnikova, V.V. NIR luminescence thermometers based on Yb–Nd coordination compounds for the 83–393 K temperature range. Dalton Trans. 2022, 51, 5419–5425. [Google Scholar] [CrossRef]
- Solodukhin, N.N.; Utochnikova, V.V.; Lepnev, L.S.; Kuzmina, N.P. Mixed-ligand terbium hydroxyaromatic carboxylates with o-phenanthroline: Luminescence quenching at 300 and 77K. Mendeleev Commun. 2014, 24, 91–93. [Google Scholar] [CrossRef]
- McKeen, L.W. The Effect of Long Term Thermal Exposure on Plastics and Elastomers; Elsevier: Amsterdam, The Netherlands, 2013; pp. 1–280. [Google Scholar] [CrossRef]
- Utochnikova, V.V.; Kuzmina, N.P. Photoluminescence of lanthanide aromatic carboxylates. Russ. J. Coord. Chem. Khimiya 2016, 42, 679–694. [Google Scholar] [CrossRef]
- Kalyakina, A.S.; Utochnikova, V.V.; Zimmer, M.; Dietrich, F.; Kaczmarek, A.M.; Van Deun, R.; Vashchenko, A.A.; Goloveshkin, A.S.; Nieger, M.; Gerhards, M.; et al. Remarkable high efficiency of red emitters using Eu(iii) ternary complexes. Chem. Commun. 2018, 54, 5221–5224. [Google Scholar] [CrossRef] [PubMed]
- Utochnikova, V. The use of luminescent spectroscopy to obtain information about the composition and the structure of lanthanide coordination compounds. Coord. Chem. Rev. 2019, 398, 113006. [Google Scholar] [CrossRef]
- Utochnikova, V.V.; Pietraszkiewicz, O.; Koźbiał, M.; Gierycz, P.; Pietraszkiewicz, M.; Kuzmina, N.P. Mixed-ligand terbium terephthalates: Synthesis, photophysical and thermal properties and use for luminescent terbium terephthalate thin film deposition. J. Photochem. Photobiol. A Chem. 2013, 253, 72–80. [Google Scholar] [CrossRef]
- Coelho, A.A. Indexing of powder diffraction patterns by iterative use of singular value decomposition. J. Appl. Crystallogr. 2003, 36, 86–95. [Google Scholar] [CrossRef]
- AXS GmbH, Ostliche. Rheinbruckenstraße 50, D-76187, Bruker TOPAS 4.2; Bruker Corporation: Karlsruhe, Germany, 2009. [Google Scholar]









| LTPI1 | 1{5[Tb(Bz)3Phen]2+1[Eu(Bz)3Phen]2}:4PI4050 |
| LTPI2 | 1{5[Tb(Bz)3Phen]2+1[Eu(Bz)3Phen]2}:4PI2050 |
| LTPI3 | 1{5[Tb(Bz)3Phen]2+1[Eu(Bz)3Phen]2}:4PI4072 |
| Sample | PLQY, ±5% | τ(Tb), ±0.01 ms | τ(Eu), ±0.1 ms |
|---|---|---|---|
| [Tb(Bz)3Phen]2 | 14 | 0.13 | - |
| [Eu(Bz)3Phen]2 | 99 | - | 1.24 |
| LTPI1 | 22 | 0.20 | 1.25 |
| LTPI2 | 7 | 0.20 | 1.51 |
| LTPI3 | 27 | 0.22 | 1.70 |
Disclaimer/Publisher’s Note: The statements, opinions and data contained in all publications are solely those of the individual author(s) and contributor(s) and not of MDPI and/or the editor(s). MDPI and/or the editor(s) disclaim responsibility for any injury to people or property resulting from any ideas, methods, instructions or products referred to in the content. |
© 2023 by the authors. Licensee MDPI, Basel, Switzerland. This article is an open access article distributed under the terms and conditions of the Creative Commons Attribution (CC BY) license (https://creativecommons.org/licenses/by/4.0/).
Share and Cite
Tcelykh, L.; Latipov, E.; Lepnev, L.; Anosov, A.; Kozhevnikova, V.; Kuzmina, N.; Utochnikova, V.V. Highly Sensitive and Highly Emissive Luminescent Thermometers for Elevated Temperatures Based on Lanthanide-Doped Polymers. Inorganics 2023, 11, 189. https://doi.org/10.3390/inorganics11050189
Tcelykh L, Latipov E, Lepnev L, Anosov A, Kozhevnikova V, Kuzmina N, Utochnikova VV. Highly Sensitive and Highly Emissive Luminescent Thermometers for Elevated Temperatures Based on Lanthanide-Doped Polymers. Inorganics. 2023; 11(5):189. https://doi.org/10.3390/inorganics11050189
Chicago/Turabian StyleTcelykh, Liubov, Egor Latipov, Leonid Lepnev, Andrei Anosov, Vladislava Kozhevnikova, Natalia Kuzmina, and Valentina V. Utochnikova. 2023. "Highly Sensitive and Highly Emissive Luminescent Thermometers for Elevated Temperatures Based on Lanthanide-Doped Polymers" Inorganics 11, no. 5: 189. https://doi.org/10.3390/inorganics11050189
APA StyleTcelykh, L., Latipov, E., Lepnev, L., Anosov, A., Kozhevnikova, V., Kuzmina, N., & Utochnikova, V. V. (2023). Highly Sensitive and Highly Emissive Luminescent Thermometers for Elevated Temperatures Based on Lanthanide-Doped Polymers. Inorganics, 11(5), 189. https://doi.org/10.3390/inorganics11050189

