Electrochemical Performance of Potassium Hydroxide and Ammonia Activated Porous Nitrogen-Doped Carbon in Sodium-Ion Batteries and Supercapacitors
Abstract
1. Introduction
2. Results
2.1. Structural Aspects
2.2. Electrochemical Performance
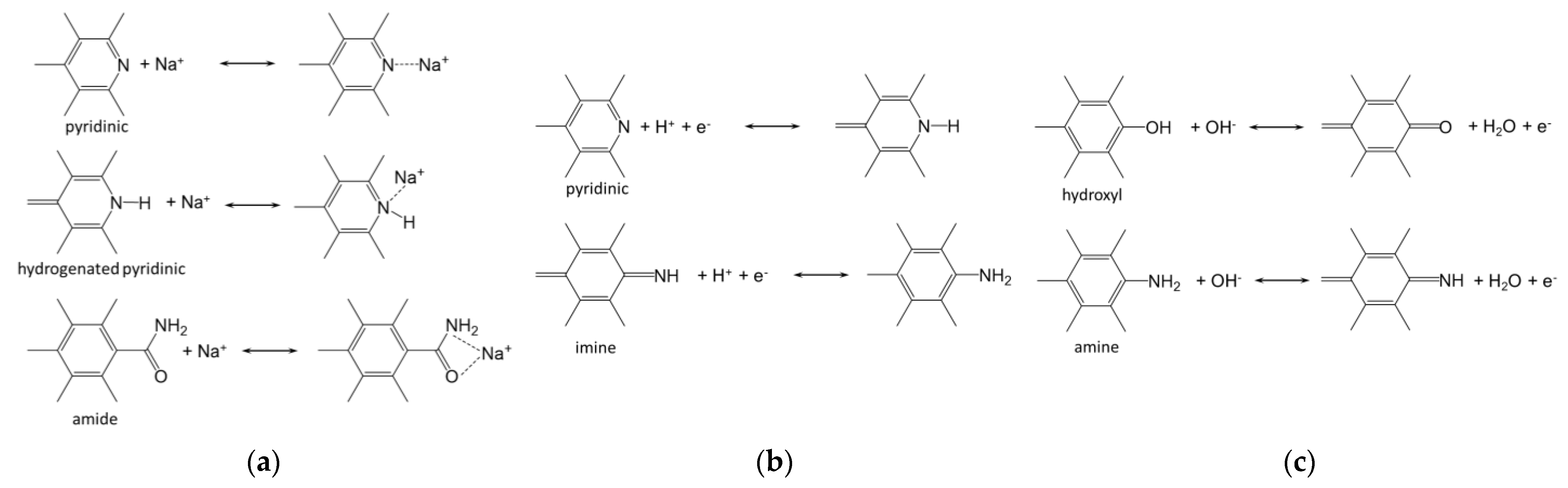
3. Discussion
4. Materials and Methods
4.1. Synthesis
4.2. Characterization
4.3. Preparation of Electrodes and Electrochemical Tests
5. Conclusions
Supplementary Materials
Author Contributions
Funding
Institutional Review Board Statement
Informed Consent Statement
Data Availability Statement
Acknowledgments
Conflicts of Interest
References
- Zhang, T.; Li, C.; Wang, F.; Noori, A.; Mousavi, M.F.; Xia, X.; Zhang, Y. Recent Advances in Carbon Anodes for Sodium-Ion Batteries. Chem. Rec. 2022, 22, e202200083. [Google Scholar] [CrossRef] [PubMed]
- Lenchuk, O.; Adelhelm, P.; Mollenhauer, D. New Insights into the Origin of Unstable Sodium Graphite Intercalation Compounds. Phys. Chem. Chem. Phys. 2019, 21, 19378–19390. [Google Scholar] [CrossRef] [PubMed]
- Yuan, M.; Cao, B.; Liu, H.; Meng, C.; Wu, J.; Zhang, S.; Li, A.; Chen, X.; Song, H. Sodium Storage Mechanism of Nongraphitic Carbons: A General Model and the Function of Accessible Closed Pores. Chem. Mater. 2022, 34, 3489–3500. [Google Scholar] [CrossRef]
- Stolyarova, S.G.; Fedoseeva, Y.V.; Baskakova, K.I.; Vorfolomeeva, A.A.; Shubin, Y.V.; Makarova, A.A.; Bulusheva, L.G.; Okotrub, A.V. Bromination of Carbon Nanohorns to Improve Sodium-Ion Storage Performance. Appl. Surf. Sci. 2022, 580, 152238. [Google Scholar] [CrossRef]
- Fedosova, A.A.; Stolyarova, S.G.; Shubin, Y.V.; Makarova, A.A.; Gusel’nikov, A.V.; Okotrub, A.V.; Bulusheva, L.G. Sodium Storage Properties of Thin Phosphorus-Doped Graphene Layers Developed on the Surface of Nanodiamonds under Hot Pressing Conditions. Fuller. Nanotub. Carbon Nanostructures 2020, 28, 335–341. [Google Scholar] [CrossRef]
- Dou, X.; Hasa, I.; Saurel, D.; Vaalma, C.; Wu, L.; Buchholz, D.; Bresser, D.; Komaba, S.; Passerini, S. Hard Carbons for Sodium-Ion Batteries: Structure, Analysis, Sustainability, and Electrochemistry. Mater. Today 2019, 23, 87–104. [Google Scholar] [CrossRef]
- Alvira, D.; Antorán, D.; Manyà, J.J. Plant-Derived Hard Carbon as Anode for Sodium-Ion Batteries: A Comprehensive Review to Guide Interdisciplinary Research. Chem. Eng. J. 2022, 447, 137468. [Google Scholar] [CrossRef]
- Saurel, D.; Orayech, B.; Xiao, B.; Carriazo, D.; Li, X.; Rojo, T. From Charge Storage Mechanism to Performance: A Roadmap toward High Specific Energy Sodium-Ion Batteries through Carbon Anode Optimization. Adv. Energy Mater. 2018, 8, 1703268. [Google Scholar] [CrossRef]
- Sarkar, S.; Roy, S.; Hou, Y.; Sun, S.; Zhang, J.; Zhao, Y. Recent Progress in Amorphous Carbon-Based Materials for Anodes of Sodium-Ion Batteries. ChemSusChem 2021, 14, 3693–3723. [Google Scholar] [CrossRef]
- Liu, T.; Li, X. Biomass-Derived Nanostructured Porous Carbons for Sodium Ion Batteries: A Review. Mater. Technol. 2019, 34, 232–245. [Google Scholar] [CrossRef]
- Yuan, Y.; Chen, Z.; Yu, H.; Zhang, X.; Liu, T.; Xia, M.; Zheng, R.; Shui, M.; Shu, J. Heteroatom-Doped Carbon-Based Materials for Lithium and Sodium Ion Batteries. Energy Storage Mater. 2020, 32, 65–90. [Google Scholar] [CrossRef]
- Lee, J.; Kim, J.; Hyeon, T. Recent Progress in the Synthesis of Porous Carbon Materials. Adv. Mater. 2006, 18, 2073–2094. [Google Scholar] [CrossRef]
- Jiang, G.; Senthil, R.A.; Sun, Y.; Kumar, T.R.; Pan, J. Recent Progress on Porous Carbon and Its Derivatives from Plants as Advanced Electrode Materials for Supercapacitors. J. Power Sources 2022, 520, 230886. [Google Scholar] [CrossRef]
- Wahid, M.; Puthusseri, D.; Gawli, Y.; Sharma, N.; Ogale, S. Hard Carbons for Sodium-Ion Battery Anodes: Synthetic Strategies, Material Properties, and Storage Mechanisms. ChemSusChem 2018, 11, 506–526. [Google Scholar] [CrossRef]
- Li, Y.; Pu, Z.; Sun, Q.; Pan, N. A Review on Novel Activation Strategy on Carbonaceous Materials with Special Morphology/Texture for Electrochemical Storage. J. Energy Chem. 2021, 60, 572–590. [Google Scholar] [CrossRef]
- Wiggins-Camacho, J.D.; Stevenson, K.J. Effect of Nitrogen Concentration on Capacitance, Density of States, Electronic Conductivity, and Morphology of N-Doped Carbon Nanotube Electrodes. J. Phys. Chem. C 2009, 113, 19082–19090. [Google Scholar] [CrossRef]
- Agrawal, A.; Janakiraman, S.; Biswas, K.; Venimadhav, A.; Srivastava, S.K.; Ghosh, S. Understanding the Improved Electrochemical Performance of Nitrogen-Doped Hard Carbons as an Anode for Sodium Ion Battery. Electrochim. Acta 2019, 317, 164–172. [Google Scholar] [CrossRef]
- Shen, W.; Wang, C.; Xu, Q.; Liu, H.; Wang, Y. Nitrogen-Doping-Induced Defects of a Carbon Coating Layer Facilitate Na-Storage in Electrode Materials. Adv. Energy Mater. 2015, 5, 1400982. [Google Scholar] [CrossRef]
- Sedelnikova, O.V.; Fedoseeva, Y.V.; Romanenko, A.I.; Gusel’nikov, A.V.; Vilkov, O.Y.; Maksimovskiy, E.A.; Bychanok, D.S.; Kuzhir, P.P.; Bulusheva, L.G.; Okotrub, A.V. Effect of Boron and Nitrogen Additives on Structure and Transport Properties of Arc-Produced Carbon. Carbon 2019, 143, 660–668. [Google Scholar] [CrossRef]
- Bulusheva, L.G.; Okotrub, A.V.; Fedoseeva, Y.V.; Kurenya, A.G.; Asanov, I.P.; Vilkov, O.Y.; Koós, A.A.; Grobert, N. Controlling Pyridinic, Pyrrolic, Graphitic, and Molecular Nitrogen in Multi-Wall Carbon Nanotubes Using Precursors with Different N/C Ratios in Aerosol Assisted Chemical Vapor Deposition. Phys. Chem. Chem. Phys. 2015, 17, 23741–23747. [Google Scholar] [CrossRef]
- Scardamaglia, M.; Struzzi, C.; Aparicio Rebollo, F.J.; De Marco, P.; Mudimela, P.R.; Colomer, J.F.; Amati, M.; Gregoratti, L.; Petaccia, L.; Snyders, R.; et al. Tuning Electronic Properties of Carbon Nanotubes by Nitrogen Grafting: Chemistry and Chemical Stability. Carbon 2015, 83, 118–127. [Google Scholar] [CrossRef]
- Vesel, A.; Zaplotnik, R.; Primc, G.; Mozetič, M. A Review of Strategies for the Synthesis of N-Doped Graphene-like Materials. Nanomaterials 2020, 10, 2286. [Google Scholar] [CrossRef] [PubMed]
- Abbas, Q.; Raza, R.; Shabbir, I.; Olabi, A.G. Heteroatom Doped High Porosity Carbon Nanomaterials as Electrodes for Energy Storage in Electrochemical Capacitors: A Review. J. Sci. Adv. Mater. Devices 2019, 4, 341–352. [Google Scholar] [CrossRef]
- Wu, J.; Pan, Z.; Zhang, Y.; Wang, B.; Peng, H. The Recent Progress of Nitrogen-Doped Carbon Nanomaterials for Electrochemical Batteries. J. Mater. Chem. A 2018, 6, 12932–12944. [Google Scholar] [CrossRef]
- Lobiak, E.V.; Kuznetsova, V.R.; Makarova, A.A.; Okotrub, A.V.; Bulusheva, L.G. Structure, Functional Composition and Electrochemical Properties of Nitrogen-Doped Multi-Walled Carbon Nanotubes Synthesized Using Co–Mo, Ni–Mo and Fe–Mo Catalysts. Mater. Chem. Phys. 2020, 255, 123563. [Google Scholar] [CrossRef]
- Guo, D.; Fu, Y.; Bu, F.; Liang, H.; Duan, L.; Zhao, Z.; Wang, C.; El-Toni, A.M.; Li, W.; Zhao, D. Monodisperse Ultrahigh Nitrogen-Containing Mesoporous Carbon Nanospheres from Melamine-Formaldehyde Resin. Small Methods 2021, 5, 2001137. [Google Scholar] [CrossRef]
- Sun, J.; Sun, Y.; Oh, J.A.S.; Gu, Q.; Zheng, W.; Goh, M.; Zeng, K.; Cheng, Y.; Lu, L. Insight into the Structure-Capacity Relationship in Biomass Derived Carbon for High-Performance Sodium-Ion Batteries. J. Energy Chem. 2021, 62, 497–504. [Google Scholar] [CrossRef]
- Zhang, Y.; Zhang, Z.; Tang, Y.; Jia, D.; Huang, Y.; Guo, Y.; Zhou, Z. Carbon Block Anodes with Columnar Nanopores Constructed from Amine-Functionalized Carbon Nanosheets for Sodium-Ion Batteries. J. Mater. Chem. A 2020, 8, 24393–24400. [Google Scholar] [CrossRef]
- Sun, F.; Gao, J.; Yang, Y.; Zhu, Y.; Wang, L.; Pi, X.; Liu, X.; Qu, Z.; Wu, S.; Qin, Y. One-Step Ammonia Activation of Zhundong Coal Generating Nitrogen-Doped Microporous Carbon for Gas Adsorption and Energy Storage. Carbon 2016, 109, 747–754. [Google Scholar] [CrossRef]
- Yang, C.; Qiao, C.; Chen, Y.; Zhao, X.; Wu, L.; Li, Y.; Jia, Y.; Wang, S.; Cui, X. Nitrogen Doped γ-Graphyne: A Novel Anode for High-Capacity Rechargeable Alkali-Ion Batteries. Small 2020, 16, 1907365. [Google Scholar] [CrossRef]
- Gaddam, R.R.; Farokh Niaei, A.H.; Hankel, M.; Searles, D.J.; Kumar, N.A.; Zhao, X.S. Capacitance-Enhanced Sodium-Ion Storage in Nitrogen-Rich Hard Carbon. J. Mater. Chem. A 2017, 5, 22186–22192. [Google Scholar] [CrossRef]
- Ou, J.; Yang, L.; Xi, X. Nitrogen-Rich Porous Carbon Anode with High Performance for Sodium Ion Batteries. J. Porous Mater. 2017, 24, 189–192. [Google Scholar] [CrossRef]
- Xiang, J.; Lv, W.; Mu, C.; Zhao, J.; Wang, B. Activated Hard Carbon from Orange Peel for Lithium/Sodium Ion Battery Anode with Long Cycle Life. J. Alloys Compd. 2017, 701, 870–874. [Google Scholar] [CrossRef]
- Sridhar, V.; Park, H. Sugar-Derived Disordered Carbon Nano-Sheets as High-Performance Electrodes in Sodium-Ion Batteries. New J. Chem. 2017, 41, 4286–4290. [Google Scholar] [CrossRef]
- Farokh Niaei, A.H.; Roman, T.; Hussain, T.; Searles, D.J. Computational Study on the Adsorption of Sodium and Calcium on Edge-Functionalized Graphene Nanoribbons. J. Phys. Chem. C 2019, 123, 14895–14908. [Google Scholar] [CrossRef]
- Zhou, M.; Pu, F.; Wang, Z.; Guan, S. Nitrogen-Doped Porous Carbons through KOH Activation with Superior Performance in Supercapacitors. Carbon 2014, 68, 185–194. [Google Scholar] [CrossRef]
- Zhang, Z.; Xu, M.; Wang, H.; Li, Z. Enhancement of CO2 Adsorption on High Surface Area Activated Carbon Modified by N2, H2 and Ammonia. Chem. Eng. J. 2010, 160, 571–577. [Google Scholar] [CrossRef]
- Shaarani, F.W.; Hameed, B.H. Ammonia-Modified Activated Carbon for the Adsorption of 2,4-Dichlorophenol. Chem. Eng. J. 2011, 169, 180–185. [Google Scholar] [CrossRef]
- Yang, H.; Lee, J.; Cheong, J.Y.; Wang, Y.; Duan, G.; Hou, H.; Jiang, S.; Kim, I.D. Molecular Engineering of Carbonyl Organic Electrodes for Rechargeable Metal-Ion Batteries: Fundamentals, Recent Advances, and Challenges. Energy Environ. Sci. 2021, 14, 4228–4267. [Google Scholar] [CrossRef]
- Zhang, D.; Hao, Y.; Ma, Y.; Feng, H. Hydrothermal Synthesis of Highly Nitrogen-Doped Carbon Powder. Appl. Surf. Sci. 2012, 258, 2510–2514. [Google Scholar] [CrossRef]
- Chen, H.; Song, Z.; Zhao, X.; Li, X.; Lin, H. Reduction of Free-Standing Graphene Oxide Papers by a Hydrothermal Process at the Solid/Gas Interface. RSC Adv. 2013, 3, 2971–2978. [Google Scholar] [CrossRef]
- Liu, P.; Si, Z.; Lv, W.; Wu, X.; Ran, R.; Weng, D.; Kang, F. Synthesizing Multilayer Graphene from Amorphous Activated Carbon via Ammonia-Assisted Hydrothermal Method. Carbon 2019, 152, 24–32. [Google Scholar] [CrossRef]
- Fedoseeva, Y.V.; Lobiak, E.V.; Shlyakhova, E.V.; Kovalenko, K.A.; Kuznetsova, V.R.; Vorfolomeeva, A.A.; Grebenkina, M.A.; Nishchakova, A.D.; Makarova, A.A.; Bulusheva, L.G.; et al. Hydrothermal Activation of Porous Nitrogen-Doped Carbon Materials for Electrochemical Capacitors and Sodium-Ion Batteries. Nanomaterials 2020, 10, 2163. [Google Scholar] [CrossRef] [PubMed]
- Kopac, T.; Kırca, Y. Effect of Ammonia and Boron Modifications on the Surface and Hydrogen Sorption Characteristics of Activated Carbons from Coal. Int. J. Hydrogen Energy 2020, 45, 10494–10506. [Google Scholar] [CrossRef]
- Wang, Y.; Zhang, L.; Hou, H.; Xu, W.; Duan, G.; He, S.; Liu, K.; Jiang, S. Recent Progress in Carbon-Based Materials for Supercapacitor Electrodes: A Review. J. Mater. Sci. 2021, 56, 173–200. [Google Scholar] [CrossRef]
- Yang, L.; Guo, X.; Jin, Z.; Guo, W.; Duan, G.; Liu, X.; Li, Y. Emergence of Melanin-Inspired Supercapacitors. Nano Today 2021, 37, 101075. [Google Scholar] [CrossRef]
- Cao, L.; Li, H.; Xu, Z.; Zhang, H.; Ding, L.; Wang, S.; Zhang, G.; Hou, H.; Xu, W.; Yang, F.; et al. Comparison of the Heteroatoms-Doped Biomass-Derived Carbon Prepared by One-Step Nitrogen-Containing Activator for High Performance Supercapacitor. Diam. Relat. Mater. 2021, 114, 108316. [Google Scholar] [CrossRef]
- Cao, L.; Li, H.; Xu, Z.; Gao, R.; Wang, S.; Zhang, G.; Jiang, S.; Xu, W.; Hou, H. Camellia Pollen-Derived Carbon with Controllable N Content for High-Performance Supercapacitors by Ammonium Chloride Activation and Dual N-Doping. ChemNanoMat 2021, 7, 34–43. [Google Scholar] [CrossRef]
- Han, X.; Xiao, G.; Wang, Y.; Chen, X.; Duan, G.; Wu, Y.; Gong, X.; Wang, H. Design and Fabrication of Conductive Polymer Hydrogels and Their Applications in Flexible Supercapacitors. J. Mater. Chem. A 2020, 8, 23059–23095. [Google Scholar] [CrossRef]
- Shlyakhova, E.V.; Bulusheva, L.G.; Kanygin, M.A.; Plyusnin, P.E.; Kovalenko, K.A.; Senkovskiy, B.V.; Okotrub, A.V. Synthesis of Nitrogen-containing Porous Carbon Using Calcium Oxide. Phys. Status Solidi 2014, 251, 2607–2612. [Google Scholar] [CrossRef]
- Ferrari, A.C.; Meyer, J.C.; Scardaci, V.; Casiraghi, C.; Lazzeri, M.; Mauri, F.; Piscanec, S.; Jiang, D.; Novoselov, K.S.; Roth, S.; et al. Raman Spectrum of Graphene and Graphene Layers. Phys. Rev. Lett. 2006, 97, 187401. [Google Scholar] [CrossRef]
- Larkin, P. Infrared and Raman Spectroscopy: Principles and Spectral Interpretation; Elsevier: Stamford, CT, USA, 2017. [Google Scholar]
- Bayu, A.; Nandiyanto, D.; Oktiani, R.; Ragadhita, R. How to Read and Interpret FTIR Spectroscope of Organic Material. Indones. J. Sci. Technol. 2019, 4, 97–118. [Google Scholar] [CrossRef]
- Ji, Y.; Yang, X.; Ji, Z.; Zhu, L.; Ma, N.; Chen, D.; Jia, X.; Tang, J.; Cao, Y. DFT-Calculated IR Spectrum Amide I, II, and III Band Contributions of N-Methylacetamide Fine Components. ACS Omega 2020, 5, 8572–8578. [Google Scholar] [CrossRef]
- Dhopte, K.B.; Mohanapriya, K.; Jha, N.; Nemade, P.R. Enhanced Electrochemical Performance of Hyperbranched Poly(Amidographene). Energy Storage Mater. 2019, 16, 281–289. [Google Scholar] [CrossRef]
- Khosravi, Z.; Kotula, S.; Lippitz, A.; Unger, W.E.S.; Klages, C.-P. IR- and NEXAFS-spectroscopic Characterization of Plasma-nitrogenated. Plasma Process. Polym. 2018, 15, 1700066. [Google Scholar] [CrossRef]
- Ramanathan, T.; Fisher, F.T.; Ruoff, R.S.; Brinson, L.C. Amino-Fimctionalized Carbon Nanotubes for Binding to Polymers and Biological Systems. Chem. Mater. 2005, 17, 1290–1295. [Google Scholar] [CrossRef]
- Scardamaglia, M.; Amati, M.; Llorente, B.; Mudimela, P.; Colomer, J.F.; Ghijsen, J.; Ewels, C.; Snyders, R.; Gregoratti, L.; Bittencourt, C. Nitrogen Ion Casting on Vertically Aligned Carbon Nanotubes: Tip and Sidewall Chemical Modification. Carbon 2014, 77, 319–328. [Google Scholar] [CrossRef]
- Li, K.; Min, B.; Li, B. Preparation of Amide-Enriched Micro-Mesoporous Carbons from Bayberry Core via Prepolymerization and Ammonization Co-Treatment for High-Performance Supercapacitors. Energy Rep. 2022, 8, 648–660. [Google Scholar] [CrossRef]
- Zhai, Y.; Pang, D.; Chen, H.; Xiang, B.; Chen, J.; Li, C.; Zeng, G.; Qiu, L. Effects of Ammonization on the Surface Physico-Chemical Properties of Sludge-Based Activated Carbon. Appl. Surf. Sci. 2013, 280, 590–597. [Google Scholar] [CrossRef]
- Chen, C.M.; Zhang, Q.; Zhao, X.C.; Zhang, B.; Kong, Q.Q.; Yang, M.G.; Yang, Q.H.; Wang, M.Z.; Yang, Y.G.; Schlögl, R.; et al. Hierarchically Aminated Graphene Honeycombs for Electrochemical Capacitive Energy Storage. J. Mater. Chem. 2012, 22, 14076–14084. [Google Scholar] [CrossRef]
- Jansen, R.J.J.; van Bekkum, H. XPS of Nitrogen-Containing Functional Groups on Activated Carbon. Carbon 1995, 33, 1021–1027. [Google Scholar] [CrossRef]
- Kehrer, M.; Duchoslav, J.; Hinterreiter, A.; Cobet, M.; Mehic, A.; Stehrer, T.; Stifter, D. XPS Investigation on the Reactivity of Surface Imine Groups with TFAA. Plasma Process. Polym. 2019, 16, 1800160. [Google Scholar] [CrossRef]
- Nowicki, P.; Pietrzak, R.; Wachowska, H. X-Ray Photoelectron Spectroscopy Study of Nitrogen-Enriched Active Carbons Obtained by Ammoxidation and Chemical Activation of Brown and Bituminous Coals. Energy Fuels 2010, 24, 1197–1206. [Google Scholar] [CrossRef]
- Bulusheva, L.G.; Stolyarova, S.G.; Chuvilin, A.L.; Shubin, Y.V.; Asanov, I.P.; Sorokin, A.M.; Mel’Gunov, M.S.; Zhang, S.; Dong, Y.; Chen, X.; et al. Creation of Nanosized Holes in Graphene Planes for Improvement of Rate Capability of Lithium-Ion Batteries. Nanotechnology 2018, 29, 134001. [Google Scholar] [CrossRef] [PubMed]
- Fedoseeva, Y.V.; Pozdnyakov, G.A.; Okotrub, A.V.; Kanygin, M.A.; Nastaushev, Y.V.; Vilkov, O.Y.; Bulusheva, L.G. Effect of Substrate Temperature on the Structure of Amorphous Oxygenated Hydrocarbon Films Grown with a Pulsed Supersonic Methane Plasma Flow. Appl. Surf. Sci. 2016, 385, 464–471. [Google Scholar] [CrossRef]
- Shard, A.G.; Whittle, J.D.; Beck, A.J.; Brookes, P.N.; Bullett, N.A.; Talib, R.A.; Mistry, A.; Barton, D.; McArthur, S.L. A NEXAFS Examination of Unsaturation in Plasma Polymers of Allylamine and Propylamine. J. Phys. Chem. B 2004, 108, 12472–12480. [Google Scholar] [CrossRef]
- Sainio, S.; Wester, N.; Aarva, A.; Titus, C.J.; Nordlund, D.; Kauppinen, E.I.; Leppänen, E.; Palomäki, T.; Koehne, J.E.; Pitkänen, O.; et al. Trends in Carbon, Oxygen, and Nitrogen Core in the X-Ray Absorption Spectroscopy of Carbon Nanomaterials: A Guide for the Perplexed. J. Phys. Chem. C 2021, 125, 973–988. [Google Scholar] [CrossRef]
- Leinweber, P.; Kruse, J.; Walley, F.L.; Gillespie, A.; Eckhardt, K.U.; Blyth, R.I.R.; Regier, T. Nitrogen K-Edge XANES—An Overview of Reference Compounds Used to Identify “unknown” Organic Nitrogen in Environmental Samples. J. Synchrotron Radiat. 2007, 14, 500–511. [Google Scholar] [CrossRef]
- Lapteva, L.L.; Fedoseeva, Y.V.; Shlyakhova, E.V.; Makarova, A.A.; Bulusheva, L.G.; Okotrub, A.V. NEXAFS Spectroscopy Study of Lithium Interaction with Nitrogen Incorporated in Porous Graphitic Material. J. Mater. Sci. 2019, 54, 11168–11178. [Google Scholar] [CrossRef]
- Graf, N.; Yegen, E.; Gross, T.; Lippitz, A.; Weigel, W.; Krakert, S.; Terfort, A.; Unger, W.E.S. XPS and NEXAFS Studies of Aliphatic and Aromatic Amine Species on Functionalized Surfaces. Surf. Sci. 2009, 603, 2849–2860. [Google Scholar] [CrossRef]
- Ghosh, A.; Lee, Y.H. Carbon-Based Electrochemical Capacitors. ChemSusChem 2012, 5, 480–499. [Google Scholar] [CrossRef]
- Liu, T.; Zhang, F.; Song, Y.; Li, Y. Revitalizing Carbon Supercapacitor Electrodes with Hierarchical Porous Structures. J. Mater. Chem. A 2017, 5, 17705–17733. [Google Scholar] [CrossRef]
- Oh, Y.J.; Yoo, J.J.; Kim, Y.I.; Yoon, J.K.; Yoon, H.N.; Kim, J.H.; Park, S. Bin Oxygen Functional Groups and Electrochemical Capacitive Behavior of Incompletely Reduced Graphene Oxides as a Thin-Film Electrode of Supercapacitor. Electrochim. Acta 2014, 116, 118–128. [Google Scholar] [CrossRef]
- Popov, K.M.; Fedoseeva, Y.V.; Kokhanovskaya, O.A.; Razd′yakonova, G.I.; Smirnov, D.A.; Bulusheva, L.G.; Okotrub, A.V. Functional Composition and Electrochemical Characteristics of Oxidized Nanosized Carbon. J. Struct. Chem. 2017, 58, 1187–1195. [Google Scholar] [CrossRef]
- Fedoseeva, Y.V.; Shlyakhova, E.V.; Stolyarova, S.G.; Vorfolomeeva, A.A.; Grebenkina, M.A.; Makarova, A.A.; Shubin, Y.V.; Okotrub, A.V.; Bulusheva, L.G. Brominated Porous Nitrogen-Doped Carbon Materials for Sodium-Ion Storage. Batteries 2022, 8, 114. [Google Scholar] [CrossRef]
- Jing, X.; Wang, L.; Qu, K.; Li, R.; Kang, W.; Li, H.; Xiong, S. KOH Chemical-Activated Porous Carbon Sponges for Monolithic Supercapacitor Electrodes. ACS Appl. Energy Mater. 2021, 4, 6768–6776. [Google Scholar] [CrossRef]
- Samdani, J.S.; Tran, T.N.; Kang, T.H.; Lee, B.J.; Jang, Y.H.; Yu, J.S.; Shanmugam, S. The Identification of Specific N-Configuration Responsible for Li-Ion Storage in N-Doped Porous Carbon Nanofibers: An Ex-Situ Study. J. Power Sources 2021, 483, 229174. [Google Scholar] [CrossRef]
- Jiang, B.; Tian, C.; Wang, L.; Sun, L.; Chen, C.; Nong, X.; Qiao, Y.; Fu, H. Highly Concentrated, Stable Nitrogen-Doped Graphene for Supercapacitors: Simultaneous Doping and Reduction. Appl. Surf. Sci. 2012, 258, 3438–3443. [Google Scholar] [CrossRef]
- Bulusheva, L.G.; Kanygin, M.A.; Arkhipov, V.E.; Popov, K.M.; Fedoseeva, Y.V.; Smirnov, D.A.; Okotrub, A.V. In Situ X-Ray Photoelectron Spectroscopy Study of Lithium Interaction with Graphene and Nitrogen-Doped Graphene Films Produced by Chemical Vapor Deposition. J. Phys. Chem. C 2017, 121, 5108–5114. [Google Scholar] [CrossRef]
- Saroja, A.P.V.K.; Muruganathan, M.; Muthusamy, K.; Mizuta, H.; Sundara, R. Enhanced Sodium Ion Storage in Interlayer Expanded Multiwall Carbon Nanotubes. Nano Lett. 2018, 18, 5688–5696. [Google Scholar] [CrossRef]
- Nishchakova, A.D.; Grebenkina, M.A.; Shlyakhova, E.V.; Shubin, Y.V.; Kovalenko, K.A.; Asanov, I.P.; Fedoseeva, Y.V.; Makarova, A.A.; Okotrub, A.V.; Bulusheva, L.G. Porosity and Composition of Nitrogen-Doped Carbon Materials Templated by the Thermolysis Products of Calcium Tartrate and Their Performance in Electrochemical Capacitors. J. Alloys Compd. 2021, 858, 158259. [Google Scholar] [CrossRef]
- Kuznetsov, V.L.; Butenko, Y.V.; Chuvilin, A.L.; Romanenko, A.I.; Okotrub, A.V. Electrical Resistivity of Graphitized Ultra-Disperse Diamond and Onion-like Carbon. Chem. Phys. Lett. 2001, 336, 397–404. [Google Scholar] [CrossRef]
- Elmouwahidi, A.; Zapata-Benabithe, Z.; Carrasco-Marín, F.; Moreno-Castilla, C. Activated Carbons from Koh-Activation of Argan (Argania Spinosa) Seed Shells as Supercapacitor Electrodes. Bioresour. Technol. 2012, 111, 185–190. [Google Scholar] [CrossRef] [PubMed]
- Kodama, M.; Yamashita, J.; Soneda, Y.; Hatori, H.; Nishimura, S.; Kamegawa, K. Structural Characterization and Electric Double Layer Capacitance of Template Carbons. Mater. Sci. Eng. B 2004, 108, 156–161. [Google Scholar] [CrossRef]
- Wang, Q.; Xia, W.; Guo, W.; An, L.; Xia, D. Zou, R. Functional Zeolitic-Imidazolate-Framework-Templated Porous Carbon Materials for CO2 Capture and Enhanced Capacitors. Chem.-Asian J. 2013, 8, 1879–1885. [Google Scholar] [CrossRef]
- Lee, Y.-H.; Chang, K.-H.; Hu, C.-C. Differentiate the Pseudocapacitance and Double-Layer Capacitance Contributions for Nitrogen-Doped Reduced Graphene Oxide in Acidic and Alkaline Electrolytes. J. Power Sources 2013, 227, 300–308. [Google Scholar] [CrossRef]
- Wang, Q.; Yan, J.; Fan, Z. Nitrogen-Doped Sandwich-like Porous Carbon Nanosheets for High Volumetric Performance Supercapacitors. Electrochim. Acta 2014, 146, 548–555. [Google Scholar] [CrossRef]
- Zhang, W.; Ren, Z.; Ying, Z.; Liu, X.; Wan, H. Activated Nitrogen-Doped Porous Carbon Ensemble on Montmorillonite for High-Performance Supercapacitors. J. Alloys Compd. 2018, 743, 44–51. [Google Scholar] [CrossRef]
- Ornelas, O.; Sieben, J.M.; Ruiz-Rosas, R.; Morallón, E.; Cazorla-Amorós, D.; Geng, J.; Soin, N.; Siores, E.; Johnson, B.F. On the Origin of the High Capacitance of Nitrogen-Containing Carbon Nanotubes in Acidic and Alkaline Electrolytes. Chem. Commun. 2014, 50, 11343–11346. [Google Scholar] [CrossRef]
- Lv, L.-P.; Wu, Z.-S.; Chen, L.; Lu, H.; Zheng, Y.-R.; Weidner, T.; Feng, X.; Landfester, K.D. Crespy, Precursor-controlled and template-free synthesis of nitrogen-doped carbon nanoparticles for supercapacitors. RSC Adv. 2015, 5, 50063–50069. [Google Scholar] [CrossRef]
- Liu, R.; Pan, L.; Wan, L.; Wu, D. An evaporation-induced tri-consistent assembly route towards nitrogen-doped carbon microfibers with ordered mesopores for high performance supercapacitors. Phys. Chem. Chem. Phys. 2015, 17, 4724–4729. [Google Scholar] [CrossRef]
- Olejniczak, A.; Leżańska, M.; Pacuła, A.; Nowak, P.; Włoch, J.; Łukaszewicz, J.P. Nitrogen-containing mesoporous carbons with high capacitive properties derived from a gelatin biomolecule. Carbon. 2015, 91, 200–214. [Google Scholar] [CrossRef]
- Zeng, R.; Tang, X.; Huang, B.; Yuan, K.; Chen, Y. Nitrogen-Doped Hierarchically Porous Carbon Materials with Enhanced Performance for Supercapacitor. ChemElectroChem 2018, 5, 515–522. [Google Scholar] [CrossRef]
- Yang, B.; Liu, S.; Fedoseeva, Y.V.; Okotrub, A.V.; Makarova, A.A.; Jia, X.; Zhou, J. Engineering selenium-doped nitrogen-rich carbon nanosheets as anode materials for enhanced Na-Ion storage. J. Power Sources 2021, 493, 229700. [Google Scholar] [CrossRef]
- Hao, R.; Yang, Y.; Wang, H.; Jia, B.; Ma, G.; Yu, D.; Guo, L.; Yang, S. Direct chitin conversion to N-doped amorphous carbon nanofibers for high-performing full sodium-ion batteries. Nano Energy 2018, 45, 220–228. [Google Scholar] [CrossRef]
- Liu, H.; Jia, M.; Cao, B.; Chen, R.; Lv, X.; Tang, R.; Wu, F.; Xu, B. Nitrogen-doped carbon/graphene hybrid anode material for sodium-ion batteries with excellent rate capability. J. Power Sources 2016, 319, 195–201. [Google Scholar] [CrossRef]
- Liu, S.; Yang, B.; Zhou, J.; Song, H. Nitrogen-rich carbon-onion-constructed nanosheets: An ultrafast and ultrastable dual anode material for sodium and potassium storage. J. Mater. Chem. A 2019, 7, 18499–18509. [Google Scholar] [CrossRef]
- Qu, Y.; Guo, M.; Zeng, F.; Zou, C.; Yuan, C.; Zhang, X.; Li, Q.; Lu, H. Synthesis of nitrogen-doped porous carbon nanofibers as an anode material for high performance sodium-ion batteries. Solid State Ion. 2019, 337, 170–177. [Google Scholar] [CrossRef]
- Lu, Y.; Li, D.; Lyu, C.; Liu, H.; Liu, B.; Lyu, S.; Rosenau, T.; Yang, D. High nitrogen doped carbon nanofiber aerogels for sodium ion batteries: Synergy of vacancy defects to boost sodium ion storage. Appl. Surf. Sci. 2019, 496, 143717. [Google Scholar] [CrossRef]
- Sun, L.; Xie, J.; Zhang, X.; Zhang, L.; Wu, J.; Shao, R.; Jiang, R.; Jin, Z. Controllable synthesis of nitrogen-doped carbon nanobubbles to realize high-performance lithium and sodium storage. Dalt. Trans. 2020, 49, 15712–15717. [Google Scholar] [CrossRef]
- Ding, K.; Gao, B.; Fu, J.; An, W.; Song, H.; Li, X.; Yuan, Q.; Zhang, X.; Huo, K.; Chu, P.K. Intertwined Nitrogen-Doped Carbon Nanotubes for High-Rate and Long-Life Sodium-Ion Battery.pdf. ChemElectroChem 2017, 4, 2542–2546. [Google Scholar] [CrossRef]
- Bu, L.; Kuai, X.; Zhu, W.; Huang, X.; Tian, K.; Lu, H.; Zhao, J.; Gao, L. Nitrogen-doped double-shell hollow carbon spheres for fast and stable sodium ion storage. Electrochim. Acta 2020, 356, 136804. [Google Scholar] [CrossRef]
- Khan, M.; Ahmad, N.; Lu, K.; Sun, Z.; Wei, C.; Zheng, X.; Yang, R. Nitrogen-doped carbon derived from onion waste as anode material for high performance sodium-ion battery. Solid State Ion. 2020, 346, 115223. [Google Scholar] [CrossRef]
- Ou, J.; Yang, L.; Zhang, Z. Chrysanthemum derived hierarchically porous nitrogen-doped carbon as high performance anode material for Lithium/Sodium ion batteries. Powder Technol. 2019, 344, 89–95. [Google Scholar] [CrossRef]







Publisher’s Note: MDPI stays neutral with regard to jurisdictional claims in published maps and institutional affiliations. |
© 2022 by the authors. Licensee MDPI, Basel, Switzerland. This article is an open access article distributed under the terms and conditions of the Creative Commons Attribution (CC BY) license (https://creativecommons.org/licenses/by/4.0/).
Share and Cite
Fedoseeva, Y.V.; Shlyakhova, E.V.; Stolyarova, S.G.; Vorfolomeeva, A.A.; Nishchakova, A.D.; Grebenkina, M.A.; Makarova, A.A.; Kovalenko, K.A.; Okotrub, A.V.; Bulusheva, L.G. Electrochemical Performance of Potassium Hydroxide and Ammonia Activated Porous Nitrogen-Doped Carbon in Sodium-Ion Batteries and Supercapacitors. Inorganics 2022, 10, 198. https://doi.org/10.3390/inorganics10110198
Fedoseeva YV, Shlyakhova EV, Stolyarova SG, Vorfolomeeva AA, Nishchakova AD, Grebenkina MA, Makarova AA, Kovalenko KA, Okotrub AV, Bulusheva LG. Electrochemical Performance of Potassium Hydroxide and Ammonia Activated Porous Nitrogen-Doped Carbon in Sodium-Ion Batteries and Supercapacitors. Inorganics. 2022; 10(11):198. https://doi.org/10.3390/inorganics10110198
Chicago/Turabian StyleFedoseeva, Yuliya V., Elena V. Shlyakhova, Svetlana G. Stolyarova, Anna A. Vorfolomeeva, Alina D. Nishchakova, Mariya A. Grebenkina, Anna A. Makarova, Konstantin A. Kovalenko, Alexander V. Okotrub, and Lyubov G. Bulusheva. 2022. "Electrochemical Performance of Potassium Hydroxide and Ammonia Activated Porous Nitrogen-Doped Carbon in Sodium-Ion Batteries and Supercapacitors" Inorganics 10, no. 11: 198. https://doi.org/10.3390/inorganics10110198
APA StyleFedoseeva, Y. V., Shlyakhova, E. V., Stolyarova, S. G., Vorfolomeeva, A. A., Nishchakova, A. D., Grebenkina, M. A., Makarova, A. A., Kovalenko, K. A., Okotrub, A. V., & Bulusheva, L. G. (2022). Electrochemical Performance of Potassium Hydroxide and Ammonia Activated Porous Nitrogen-Doped Carbon in Sodium-Ion Batteries and Supercapacitors. Inorganics, 10(11), 198. https://doi.org/10.3390/inorganics10110198

