Bound States in the Continuum Empower Subwavelength Gratings for Refractometers in Visible
Abstract
:1. Introduction
2. Proposed Structure of Si3N4Based BIC System
3. Results and Discussion
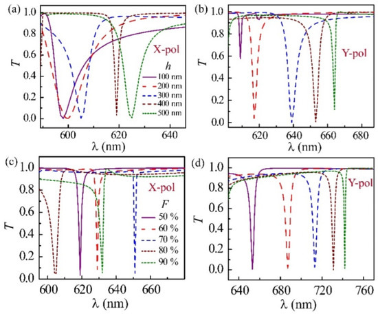
3.1. Optimization of Grating Height and Fill Factor
3.2. Electric Field Profile of the Proposed BIC Structure
3.3. Refractive Index Sensing
3.4. Vector Bending Measurement
4. Conclusions
Author Contributions
Funding
Data Availability Statement
Acknowledgments
Conflicts of Interest
References
- Koshelev, K.; Bogdanov, A.; Kivshar, Y. Engineering with Bound States in the Continuum. Opt. Photonics News 2020, 31, 38–45. [Google Scholar] [CrossRef]
- Hsu, C.W.; Zhen, B.; Lee, J.; Chua, S.L.; Johnson, S.G.; Joannopoulos, J.D.; Soljačić, M. Observation of Trapped Light within the Radiation Continuum. Nature 2013, 499, 188–191. [Google Scholar] [CrossRef] [PubMed] [Green Version]
- von Neumann, J.; Wigner, E.P. Über Merkwürdige Diskrete Eigenwerte. In The Collected Works of Eugene Paul Wigner; Springer: Berlin/Heidelberg, Germany, 1993; pp. 291–293. [Google Scholar] [CrossRef]
- Hsu, C.W.; Zhen, B.; Stone, A.D.; Joannopoulos, J.D.; Soljacic, M. Bound states in the continuum. Nat. Rev. Mater. 2016, 1, 16048. [Google Scholar] [CrossRef] [Green Version]
- Gazdy, B. On the Bound States in the Continuum. Phys. Lett. A 1977, 61, 89–90. [Google Scholar] [CrossRef]
- Stillinger, F.H.; Herrick, D.R. Bound states in the continuum. Phys. Rev. A 1975, 11, 446. [Google Scholar] [CrossRef]
- Plotnik, Y.; Peleg, O.; Dreisow, F.; Heinrich, M.; Nolte, S.; Szameit, A.; Segev, M. Experimental observation of optical bound states in the continuum. Phys. Rev. Lett. 2011, 107, 28–31. [Google Scholar] [CrossRef] [Green Version]
- Marinica, D.C.; Borisov, A.G.; Shabanov, S.V. Bound states in the continuum in photonics. Phys. Rev. Lett. 2008, 100, 183902. [Google Scholar] [CrossRef]
- Kuzmiak, V.; Petráček, J. BIC in waveguide arrays. EPJ Web Conf. 2021, 255, 07001. [Google Scholar] [CrossRef]
- Gao, X.; Zhen, B.; Soljačić, M.; Chen, H.; Hsu, C.W. Bound States in the Continuum in Fiber Bragg Gratings. ACS Photonics 2019, 6, 2996–3002. [Google Scholar] [CrossRef] [Green Version]
- Benalcazar, W.A.; Cerjan, A. Bound states in the continuum of higher-order topological insulators. Phys. Rev. B 2020, 101, 161116. [Google Scholar] [CrossRef]
- Sadrieva, Z.F.; Bogdanov, A.A. Bound state in the continuum in the one-dimensional photonic crystal slab. J. Phys. Conf. Ser. 2016, 741, 012122. [Google Scholar] [CrossRef]
- Joseph, S.; Pandey, S.; Sarkar, S.; Joseph, J. Bound states in the continuum in resonant nanostructures: An overview of engineered materials for tailored applications. Nanophotonics 2021, 10. [Google Scholar] [CrossRef]
- Yuan, L.; Lu, Y.Y. Strong resonances on periodic arrays of cylinders and optical bistability with weak incident waves. Phys. Rev. A 2017, 95, 023834. [Google Scholar] [CrossRef]
- Liang, Y.; Koshelev, K.; Zhang, F.; Lin, H.; Lin, S.; Wu, J.; Jia, B.; Kivshar, Y. Bound States in the Continuum in Anisotropic Plasmonic Metasurfaces. Nano Lett. 2020, 20, 6351–6356. [Google Scholar] [CrossRef] [PubMed]
- Foley, J.M.; Young, S.M.; Phillips, J.D. Symmetry-protected mode coupling near normal incidence for narrow-band transmission filtering in a dielectric grating. Phys. Rev. B 2014, 89, 165111. [Google Scholar] [CrossRef]
- Kodigala, A.; Lepetit, T.; Gu, Q.; Bahari, B.; Fainman, Y.; Kanté, B. Lasing action from photonic bound states in continuum. Nature 2017, 541, 196–199. [Google Scholar] [CrossRef]
- Wang, T.; Zhang, S. Large enhancement of second harmonic generation from transition-metal dichalcogenide monolayer on grating near bound states in the continuum. Opt. Express 2018, 26, 322–337. [Google Scholar] [CrossRef]
- Azzam, S.I.; Shalaev, V.M.; Boltasseva, A.; Kildishev, A.V. Formation of Bound States in the Continuum in Hybrid Plasmonic-Photonic Systems. Phys. Rev. Lett. 2018, 121, 253901. [Google Scholar] [CrossRef] [Green Version]
- Liang, Y.; Lin, H.; Lin, S.; Wu, J.; Li, W.; Meng, F.; Yang, Y.; Huang, X.; Jia, B.; Kivshar, Y. Hybrid anisotropic plasmonic metasurfaces with multiple resonances of focused light beams. Nano Lett. 2021, 21, 8917–8923. [Google Scholar] [CrossRef]
- Shakoor, A.; Grande, M.; Grant, J.; Cumming, D.R.S. One-Dimensional Silicon Nitride Grating Refractive Index Sensor Suitable for Integration with CMOS Detectors. IEEE Photonics J. 2017, 9, 6800711. [Google Scholar] [CrossRef]
- Kaur, P.; Shenoy, M. Highly Sensitive Refractive Index Sensor based on Silicon Nitride Strip Waveguide Directional Coupler. IEEE Sens. Lett. 2018, 2. [Google Scholar] [CrossRef]
- Xu, Y.; Bai, P.; Zhou, X.; Akimov, Y.; Png, C.E.; Ang, L.K.; Knoll, W.; Wu, L. Optical Refractive Index Sensors with Plasmonic and Photonic Structures: Promising and Inconvenient Truth. Adv. Opt. Mater. 2019, 7, 31–33. [Google Scholar] [CrossRef]
- Zhou, H.; Hu, D.; Yang, C.; Chen, C.; Ji, J.; Chen, M.; Chen, Y.; Yang, Y.; Mu, X. Multi-Band Sensing for Dielectric Property of Chemicals Using Metamaterial Integrated Microfluidic Sensor. Sci. Rep. 2018, 8, 14801. [Google Scholar] [CrossRef] [PubMed] [Green Version]
- Gorai, P.; Jha, R. Artificial Receptor-Based Optical Sensors (AROS): Ultra-Sensitive Detection of Urea. Adv. Photonics Res. 2021, 2, 2100044. [Google Scholar] [CrossRef]
- Amoosoltani, N.; Mehrabi, K.; Zarifkar, A.; Farmani, A.; Yasrebi, N. Double-Ring Resonator Plasmonic Refractive Index Sensor Utilizing Dual-Band Unidirectional Reflectionless Propagation Effect. Plasmonics 2021, 16, 1277–1285. [Google Scholar] [CrossRef]
- Jha, R.; Villatoro, J.; Badenes, G. Ultrastable in reflection photonic crystal fiber modal interferometer for accurate refractive index sensing. Appl. Phys. Lett. 2008, 93, 82–85. [Google Scholar] [CrossRef]
- Jha, R.; Villatoro, J.; Badenes, G.; Pruneri, V. Refractometry based on a photonic crystal fiber interferometer. Opt. Lett. 2009, 34, 617–619. [Google Scholar] [CrossRef]
- Zito, G.; Romano, S.; Cabrini, S.; Calafiore, G.; De Luca, A.C.; Penzo, E.; Mocella, V. Observation of spin-polarized directive coupling of light at bound states in the continuum. Optica 2019, 6, 1305–1312. [Google Scholar] [CrossRef] [Green Version]
- Zhou, Y.; Moewe, M.; Kern, J.; Huang, M.C.; Chang-Hasnain, C.J. Surface-normal emission of a high-Q resonator using a subwavelength high-contrast grating. Opt. Express 2008, 16, 17282–17287. [Google Scholar] [CrossRef] [Green Version]
- Xie, S.; Li, Z.; Zhou, R.; Zhan, J.; Liu, Q.; Wu, L.; Zhou, B. Fano resonance of the symmetry-reduced metal bar grating structure. J. Nanomater. 2014, 2014, 341050. [Google Scholar] [CrossRef]
- Sang, T.; Dereshgi, S.A.; Hadibrata, W.; Tanriover, I.; Aydin, K. Highly efficient light absorption of monolayer graphene by quasi-bound state in the continuum. Nanomaterials 2021, 11, 484. [Google Scholar] [CrossRef] [PubMed]
- Karagodsky, V.; Chang-Hasnain, C.J. Physics of near-wavelength high contrast gratings. Opt. Express 2012, 20, 10888–10895. [Google Scholar] [CrossRef] [Green Version]
- Maksimov, D.N.; Gerasimov, V.S.; Romano, S.; Polyutov, S.P. Refractive index sensing with optical bound states in the continuum. Opt. Express 2020, 28, 38907–38916. [Google Scholar] [CrossRef] [PubMed]
- Maksimov, D.N.; Gerasimov, V.S.; Bogdanov, A.A.; Polyutov, S.P. Enhanced sensitivity of an all-dielectric refractive index sensor with an optical bound state in the continuum. Phys. Rev. A 2022, 105, 033518. [Google Scholar] [CrossRef]
- Menon, S.H.G.; Jyothsna, K.M.; Raghunathan, V. Silicon nitride based medium contrast gratings for generating longitudinally polarized resonant fields. Proc. SPIE 2021, 57. [Google Scholar] [CrossRef]
- Li, S.; Zhou, C.; Liu, T.; Xiao, S. Symmetry-protected bound states in the continuum supported by all-dielectric metasurfaces. Phys. Rev. A 2019, 100, 063803. [Google Scholar] [CrossRef]
- Sidorenko, M.S.; Sergaeva, O.N.; Sadrieva, Z.F.; Roques-Carmes, C.; Muraev, P.S.; Maksimov, D.N.; Bogdanov, A.A. Accidental bound state in the continuum in a chain of dielectric disks. In Proceedings of the 2021 European Quantum Electronics Conference, Munich, Germany, 21–25 June 2021. [Google Scholar] [CrossRef]
- Brown, D.K. Direct patterning of plasma enhanced chemical vapor deposition silicon dioxide by electron beam lithography. J. Vac. Sci. Technol. B Microelectron. Nanom. Struct. 2008, 26, 2451–2454. [Google Scholar] [CrossRef]
- Nair, B.; Naesby, A.; Jeppesen, B.R.; Dantan, A. Suspended silicon nitride thin films with enhanced and electrically tunable reflectivity. Phys. Scr. 2019, 94, 6. [Google Scholar] [CrossRef] [Green Version]
- Patorski, K.I. The Self-Imaging Phenomenon and Its Applications. Prog. Opt. 1989, 27, 1–108. [Google Scholar] [CrossRef]
- Mi, Q.; Sang, T.; Pei, Y.; Yang, C.; Li, S.; Wang, Y.; Ma, B. High-quality-factor dual-band Fano resonances induced by dual bound states in the continuum using a planar nanohole slab. Nanoscale Res. Lett. 2021, 16, 150. [Google Scholar] [CrossRef]
- Sun, S.; Ye, Z.; Guo, L.; Sun, N. Wide-incident-angle chromatic polarized transmission on trilayer silver/dielectric nanowire gratings. J. Opt. Soc. Am. B 2014, 31, 1211–1216. [Google Scholar] [CrossRef]
- Chang-Hasnain, C.J.; Yang, W. High-contrast gratings for integrated optoelectronics. Adv. Opt. Photonics 2012, 4, 379–440. [Google Scholar] [CrossRef] [Green Version]
- Van Hoof, N.J.J.; Abujetas, D.R.; Ter Huurne, S.E.T.; Verdelli, F.; Timmermans, G.C.A.; Sánchez-Gil, J.A.; Rivas, J.G. Unveiling the Symmetry Protection of Bound States in the Continuum with Terahertz Near-Field Imaging. ACS Photonics 2021, 8, 3010–3016. [Google Scholar] [CrossRef] [PubMed]
- Joseph, S.; Sarkar, S.; Khan, S.; Joseph, J. Exploring the Optical Bound State in the Continuum in a Dielectric Grating Coupled Plasmonic Hybrid System. Adv. Opt. Mater. 2021, 9, 2001895. [Google Scholar] [CrossRef]
- Yang, H.; Chen, Y.; Liu, M.; Xiao, G.; Luo, Y.; Liu, H.; Li, J.; Yuan, L. High q-factor hybrid metamaterial waveguide multi-fano resonance sensor in the visible wavelength range. Nanomaterials 2021, 11, 1583. [Google Scholar] [CrossRef]
- Salgado-Remacha, F.J.; Sanchez-Brea, L.M.; Bernabeu, E. Effect of fill-factor on the Talbot effect of diffraction gratings. J. Eur. Opt. Soc. 2011, 6, 11055. [Google Scholar] [CrossRef] [Green Version]
- Li, W.; Du, J.; Truong, V.G.; Nic Chormaic, S. Optical nanofiber-based cavity induced by periodic air-nanohole arrays. Appl. Phys. Lett. 2017, 110, 253102. [Google Scholar] [CrossRef] [Green Version]
- Takashima, H.; Fujiwara, M.; Schell, A.W.; Takeuchi, S. Detailed numerical analysis of photon emission from a single light emitter coupled with a nanofiber Bragg cavity. Opt. Express 2016, 24, 15050–15058. [Google Scholar] [CrossRef]
- Bulgakov, E.N.; Maksimov, D.N. Optical response induced by bound states in the continuum in arrays of dielectric spheres. J. Opt. Soc. Am. B 2018, 35, 2443–2452. [Google Scholar] [CrossRef] [Green Version]
- Sadrieva, Z.F.; Sinev, I.S.; Samusev, A.K.; Iorsh, I.V.; Bogdanov, A.A.; Koshelev, K.L.; Takayama, O.; Malureanu, R.; Lavrinenko, A.V. Optical bound state in the continuum in the one-dimensional photonic structures: Transition into a resonant state. In Proceedings of the 2017 Progress in Electromagnetics Research Symposium—Spring (PIERS), St. Petersburg, Russia, 22–25 May 2017. [Google Scholar] [CrossRef]







| h (nm) | ꓥ (nm) | a (nm) | b (nm) | Incident Angle θ (Degree) |
|---|---|---|---|---|
| 400 | 400 | 200 | 200 | 0 |
Publisher’s Note: MDPI stays neutral with regard to jurisdictional claims in published maps and institutional affiliations. |
© 2022 by the authors. Licensee MDPI, Basel, Switzerland. This article is an open access article distributed under the terms and conditions of the Creative Commons Attribution (CC BY) license (https://creativecommons.org/licenses/by/4.0/).
Share and Cite
Yadav, G.; Sahu, S.; Kumar, R.; Jha, R. Bound States in the Continuum Empower Subwavelength Gratings for Refractometers in Visible. Photonics 2022, 9, 292. https://doi.org/10.3390/photonics9050292
Yadav G, Sahu S, Kumar R, Jha R. Bound States in the Continuum Empower Subwavelength Gratings for Refractometers in Visible. Photonics. 2022; 9(5):292. https://doi.org/10.3390/photonics9050292
Chicago/Turabian StyleYadav, Gunjan, Subrat Sahu, Ritesh Kumar, and Rajan Jha. 2022. "Bound States in the Continuum Empower Subwavelength Gratings for Refractometers in Visible" Photonics 9, no. 5: 292. https://doi.org/10.3390/photonics9050292
APA StyleYadav, G., Sahu, S., Kumar, R., & Jha, R. (2022). Bound States in the Continuum Empower Subwavelength Gratings for Refractometers in Visible. Photonics, 9(5), 292. https://doi.org/10.3390/photonics9050292

