Topological Protection and Control of Quantum Markovianity
Abstract
1. Introduction
2. Model and Decoherence Dynamics
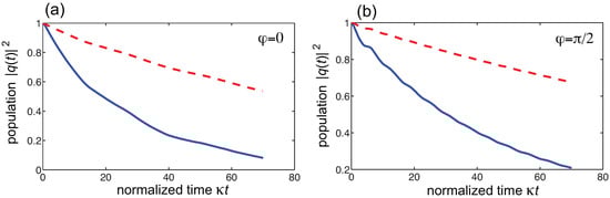
3. Control of Quantum Non-Markovianity by a Gauge Field
4. Conclusions
Author Contributions
Funding
Acknowledgments
Conflicts of Interest
References
- Zurek, W.H. Decoherence, einselection, and the quantum origins of the classical. Rev. Mod. Phys. 2003, 75, 715. [Google Scholar] [CrossRef]
- Breuer, H.-P.; Petruccione, F. The Theory of Open Quantum Systems; Oxford University Press: Oxford, UK, 2002. [Google Scholar]
- Rivas, A.; Huelga, S.F. Open Quantum Systems. An Introduction; Springer: Heidelberg, Germany, 2011. [Google Scholar]
- Rivas, A.; Huelga, S.F.; Plenio, M.B. Quantum non-Markovianity: Characterization, quantification and detection. Rep. Prog. Phys. 2014, 77, 094001. [Google Scholar] [CrossRef]
- Breuer, H.P.; Laine, E.M.; Piilo, J.; Vacchini, B. Non-Markovian dynamics in open quantum systems. Rev. Mod. Phys. 2016, 88, 021002. [Google Scholar] [CrossRef]
- De Vega, I.; Alonso, D. Dynamics of non-Markovian open quantum systems. Rev. Mod. Phys. 2017, 89, 015001. [Google Scholar] [CrossRef]
- Li, L.; Hall, M.J.W.; Wiseman, H.M. Concepts of quantum non-Markovianity: A hierarchy. Phys. Rep. 2018, 759, 1–51. [Google Scholar] [CrossRef]
- Sapienza, L.; Thyrrestrup, H.; Stobbe, S.; Garcia, P.D.; Smolka, S.; Lodahl, P. Cavity quantum electrodynamics with Anderson-localized modes. Science 2010, 327, 1352–1355. [Google Scholar] [CrossRef] [PubMed]
- Javadi, A.; Garcia, P.D.; Sapienza, L.; Thyrrestrup, H.; Lodahl, P. Statistical measurements of quantum emitters coupled to Anderson-localized modes in disordered photonic-crystal waveguides. Opt. Express 2014, 22, 30992. [Google Scholar] [CrossRef] [PubMed][Green Version]
- Lorenzo, S.; Lombardo, F.; Ciccarello, F.; Palma, G.M. Quantum non-Markovianity induced by Anderson localization. Sci. Rep. 2017, 7, 42729. [Google Scholar] [CrossRef] [PubMed]
- Lorenzo, S.; Ciccarello, F.; Palma, G.M. Non-Markovian dynamics from band edge effects and static disorder. Int. J. Quant. Inf. 2017, 15, 1740026. [Google Scholar] [CrossRef]
- Anderson, P.W. Absence of diffusion in certain random lattices. Phys. Rev. 1958, 109, 1492. [Google Scholar] [CrossRef]
- Cosco, F.; Maniscalco, S. Memory effects in a quasiperiodic Fermi lattice. Phys. Rev. A 2018, 98, 053608. [Google Scholar] [CrossRef]
- Almeida, G.M.A.; De Moura, F.A.B.F.; Apollaro, T.J.G.; Lyra, M.L. Disorder-assisted distribution of entanglement in XY spin chains. Phys. Rev. A 2017, 96, 032315. [Google Scholar] [CrossRef]
- Smirne, A.; Mazzola, L.; Paternostro, M.; Vacchini, B. Interaction-induced correlations and non-Markovianity of quantum dynamics. Phys. Rev. A 2013, 87, 052129. [Google Scholar] [CrossRef]
- Cosco, F.; Borrelli, M.; Mendoza-Arenas, J.J.; Plastina, F.; Jaksch, D.; Maniscalco, S. Bose-Hubbard lattice as a controllable environment for open quantum systems. Phys. Rev. A 2018, 97, 040101. [Google Scholar] [CrossRef]
- Nagy, D.; Domokos, P. Nonequilibrium quantum criticality and non-Markovian environment: Critical exponent of a quantum phase transition. Phys. Rev. Lett. 2016, 115, 043601. [Google Scholar] [CrossRef] [PubMed]
- Haikka, P.; Goold, J.; McEndoo, S.; Plastina, F.; Maniscalco, S. Non-Markovianity, Loschmidt echo, and criticality: A unified picture. Phys. Rev. A 2012, 85, 060101. [Google Scholar] [CrossRef]
- Perczel, J.; Borregaard, J.; Chang, D.E.; Pichler, H.; Yelin, S.F.; Zoller, P.; Lukin, M.D. Topological quantum optics in two-dimensional atomic arrays. Phys. Rev. Lett. 2017, 119, 023603. [Google Scholar] [CrossRef]
- Bettles, R.J.; Minar, J.; Lesanovsky, I.; Adams, C.S.; Olmos, B. Topological properties of a dense atomic lattice gas. Phys. Rev. A 2017, 96, 041603. [Google Scholar] [CrossRef]
- Barik, S.; Karasahin, A.; Flower, C.; Cai, T.; Miyake, H.; DeGottardi, W.; Hafezi, M.; Waks, E. A topological quantum optics interface. Science 2018, 359, 666–668. [Google Scholar] [CrossRef]
- Longhi, S. Quantum decay in a topological continuum. Phys. Rev. A 2019, 100, 022123. [Google Scholar] [CrossRef]
- Bello, M.; Platero, G.; Cirac, J.I.; Gonzalez-Tudela, A. Unconventional quantum optics in topological waveguide QED. Sci. Adv. 2019, 5, eaaw0297. [Google Scholar] [CrossRef] [PubMed]
- Giorgi, G.L.; Longhi, S.; Cabot, A.; Zambrini, R. Quantum probing topological phase transitions by non-Markovianity. Ann. Phys. 2019, 531, 1900307. [Google Scholar] [CrossRef]
- Thouless, D.J.; Kohmoto, M.; Nightingale, V.; Den Nijs, M. Quantized Hall conductance in a two-dimensional periodic potential. Phys. Rev. Lett. 1982, 49, 405. [Google Scholar] [CrossRef]
- Haldane, F. Model for a quantum Hall effect without Landau levels: Condensed-matter realization of the parity anomaly. Phys. Rev. Lett. 1988, 61. [Google Scholar] [CrossRef] [PubMed]
- Kane, C.; Mele, E. Z2 topological order and the quantum spin Hall effect. Phys. Rev. Lett. 2005, 95, 226801. [Google Scholar] [CrossRef] [PubMed]
- Bernevig, B.A.; Hughes, T.L.; Zhang, S.-C. Quantum spin Hall effect and topological phase transition in HgTe quantum wells. Science 2006, 314, 1757. [Google Scholar] [CrossRef]
- Hasan, M.Z.; Kane, C.L. Colloquium: Topological insulators. Rev. Mod. Phys. 2010, 82, 3045. [Google Scholar] [CrossRef]
- Bernevig, B.A.; Hughes, T.L. Topological Insulators and Topological Superconductors; Princeton University Press: Princeton, NJ, USA, 2013. [Google Scholar]
- Chiu, C.K.; Teo, J.C.Y.; Schnyder, A.P.; Ryu, S. Classification of topological quantum matter with symmetries. Rev. Mod. Phys. 2016, 88, 035005. [Google Scholar] [CrossRef]
- Asboth, J.K.; Oroszlany, L.; Palyi, A.P. A Short Course on Topological Insulators: Band Structure and Edge States in One and Two Dimensions; Lecture Notes in Physics; Springer: New York, NY, USA, 2016. [Google Scholar]
- Bansil, A.; Lin, H.; Das, T. Colloquium: Topological band theory. Rev. Mod. Phys. 2016, 88, 021004. [Google Scholar] [CrossRef]
- Wen, X.G. Colloquium: Zoo of quantum-topological phases of matter. Rev. Mod. Phys. 2017, 89, 041004. [Google Scholar] [CrossRef]
- Khanikaev, A.B.; Hossein Mousavi, S.; Tse, W.-K.; Kargarian, M.; MacDonald, A.H.; Shvets, G. Photonic topological insulators. Nat. Mater. 2013, 12, 233–239. [Google Scholar] [CrossRef] [PubMed]
- Lu, L.; Joannopoulos, J.D.; Soljačic, M. Topological photonics. Nat. Photonics 2014, 8, 821–829. [Google Scholar] [CrossRef]
- Ozawa, T.; Price, H.M.; Amo, A.; Goldman, N.; Hafezi, M.; Lu, L.; Rechtsman, M.C.; Schuster, D.; Simon, J.; Zilberberg, O.; et al. Topological photonics. Rev. Mod. Phys. 2019, 91, 015006. [Google Scholar] [CrossRef]
- Goldman, N.; Budich, J.C.; Zoller, P. Topological quantum matter with ultracold gases in optical lattices. Nat. Phys. 2016, 12, 639–645. [Google Scholar] [CrossRef]
- Zhang, D.-W.; Zhu, Y.-Q.; Zhao, Y.X.; Yan, H.; Zhu, S.-L. Topological quantum matter with cold atoms. Adv. Phys. 2018, 67, 253–402. [Google Scholar] [CrossRef]
- Yang, Z.; Gao, F.; Shi, X.; Lin, X.; Gao, Z.; Chong, Y.; Zhang, B. Topological acoustics. Phys. Rev. Lett. 2015, 114, 114301. [Google Scholar] [CrossRef]
- Huber, S.D. Topological mechanics. Nat. Phys. 2016, 12, 621–623. [Google Scholar] [CrossRef]
- Qi, X.-L.; Zhang, S.-C. Topological insulators and superconductors. Rev. Mod. Phys. 2011, 83, 1057–1110. [Google Scholar] [CrossRef]
- Morita, Y.; Ishibashi, K.; Hatsugai, Y. Transitions from the quantum Hall state to the Anderson insulator: Fate of delocalized states. Phys. Rev. B 2000, 61, 15952. [Google Scholar] [CrossRef]
- Sheng, D.N.; Weng, Z.Y. New universality of the metal-insulator transition in an integer quantum Hall effect system. Phys. Rev. Lett. 1998, 80, 580–583. [Google Scholar] [CrossRef]
- Xue, Y.; Prodan, E. Quantum criticality at the Chern-to-normal insulator transition. Phys. Rev. B 2013, 87, 115141. [Google Scholar] [CrossRef]
- Werner, M.A.; Brataas, A.; Von Oppen, F.; Zar, G. Anderson localization and quantum Hall effect: Numerical observation of two-parameter scaling. Phys. Rev. B 2015, 91, 125418. [Google Scholar] [CrossRef]
- Li, J.; Chu, R.-L.; Jain, J.K.; Shen, S.-Q. Topological Anderson insulator. Phys. Rev. Lett. 2009, 102, 136806. [Google Scholar] [CrossRef] [PubMed]
- Groth, C.W.; Wimmer, M.; Akhmerov, A.R.; Tworzydo, J.; Beenakker, C.W.J. Theory of the topological Anderson insulator. Phys. Rev. Lett. 2009, 103, 196805. [Google Scholar] [CrossRef]
- Meier, E.J.; An, F.A.; Dauphin, A.; Maffei, M.; Massignan, P.; Hughes, T.L.; Gadway, B. Observation of the topological Anderson insulator in disordered atomic wires. Science 2018, 362, 929–933. [Google Scholar] [CrossRef]
- Stutzer, S.; Plotnik, Y.; Lumer, Y.; Titum, P.; Lindner, N.H.; Segev, M.; Rechtsman, M.C.; Szameit, A. Photonic topological Anderson insulators. Nature 2018, 560, 461–465. [Google Scholar] [CrossRef]
- Umucalilar, R.O.; Carusotto, I. Artificial gauge field for photons in coupled cavity arrays. Phys. Rev. A 2011, 84, 043804. [Google Scholar] [CrossRef]
- Hafezi, M.; Demler, E.A.; Lukin, M.D.; Taylor, J.M. Robust optical delay lines with topological protection. Nat. Phys. 2011, 7, 907–912. [Google Scholar] [CrossRef]
- Fang, K.; Yu, Z.; Fan, S. Realizing effective magnetic field for photons by controlling the phase of dynamic modulation. Nat. Photonics 2012, 6, 782–787. [Google Scholar] [CrossRef]
- Hafezi, M.; Mittal, S.; Fan, J.; Migdall, A.; Taylor, J.M. Imaging topological edge states in silicon photonics. Nat. Photonics 2013, 7, 1001–1005. [Google Scholar] [CrossRef]
- Longhi, S. Effective magnetic fields for photons in waveguide and coupled resonator lattices. Opt. Lett. 2013, 38, 3570–3573. [Google Scholar] [CrossRef] [PubMed]
- Liang, G.Q.; Chong, Y.D. Optical resonator analog of a two-dimensional topological insulator. Phys. Rev. Lett. 2013, 110, 203904. [Google Scholar] [CrossRef] [PubMed]
- Mittal, S.; Fan, J.; Faez, S.; Migdall, A.; Taylor, J.M.; Hafezi, M. Topologically robust transport of photons in a synthetic gauge field. Phys. Rev. Lett. 2014, 113, 087403. [Google Scholar] [CrossRef] [PubMed]
- Aidelsburger, M.; Nascimbene, S.; Goldman, N. Artificial gauge fields in materials and engineered systems. C. R. Phys. 2018, 19, 394–432. [Google Scholar] [CrossRef]
- Hey, D.; Li, E. Advances in synthetic gauge fields for light through dynamic modulation. R. Soc. Open Sci. 2018, 5, 172447. [Google Scholar] [CrossRef]
- Owens, C.; LaChapelle, A.; Saxberg, B.; Anderson, B.; Ma, R.; Simon, J.; Schuster, D.I. Quarter-flux Hofstadter lattice in qubit-compatible microwave cavity array. Phys. Rev. A 2018, 97, 013818. [Google Scholar] [CrossRef]
- Minkov, M.; Savona, V. Haldane quantum Hall effect for light in a dynamically modulated array of resonators. Optica 2016, 3, 200–206. [Google Scholar] [CrossRef]
- Goryachev, M.; Tobar, M.E. Reconfigurable microwave photonic topological insulator. Phys. Rev. Appl. 2016, 6, 064006. [Google Scholar] [CrossRef]
- Cheng, X.; Jouvaud, C.; Ni, X.; Mousavi, S.H.; Genack, A.Z.; Khanikaev, A.B. Robust reconfigurable electromagnetic pathways within a photonic topological insulator. Nat. Mater. 2016, 15, 542–548. [Google Scholar] [CrossRef]
- Shalaev, M.I.; Desnavi, S.; Walasik, W.; Litchinitser, N.M. Reconfigurable topological photonic crystal. New J. Phys. 2018, 20, 023040. [Google Scholar] [CrossRef]
- Leykam, D.; Mittal, S.; Hafezi, M.; Chong, Y.D. Reconfigurable topological phases in next-nearest-neighbor coupled resonator lattices. Phys. Rev. Lett. 2018, 121, 023901. [Google Scholar] [CrossRef] [PubMed]
- Mittal, S.; Orre, V.V.; Leykam, D.; Chong, Y.D.; Hafezi, M. Photonic anomalous quantum Hall effect. Phys. Rev. Lett. 2019, 123, 043201. [Google Scholar] [CrossRef] [PubMed]
- Breuer, H.P.; Laine, E.M.; Piilo, J. Measure for the degree of non-Markovian behavior of quantum processes in open systems. Phys. Rev. Lett. 2009, 103, 210401. [Google Scholar] [CrossRef] [PubMed]
- He, Z.; Zou, J.; Li, L.; Shao, B. Effective method of calculating the non-Markovianity N for single-channel open systems. Phys. Rev. A 2011, 83, 012108. [Google Scholar] [CrossRef]
- Harper, P.G. Single band motion of conduction electrons in a uniform magnetic field. Proc. Phys. Soc. Lond. A 1955, 68, 874. [Google Scholar] [CrossRef]
- Hofstadter, D. Energy levels and wave functions of Bloch electrons in rational and irrational magnetic fields. Phys. Rev. B 1976, 14, 2239. [Google Scholar] [CrossRef]






© 2020 by the authors. Licensee MDPI, Basel, Switzerland. This article is an open access article distributed under the terms and conditions of the Creative Commons Attribution (CC BY) license (http://creativecommons.org/licenses/by/4.0/).
Share and Cite
Giorgi, G.L.; Lorenzo, S.; Longhi, S. Topological Protection and Control of Quantum Markovianity. Photonics 2020, 7, 18. https://doi.org/10.3390/photonics7010018
Giorgi GL, Lorenzo S, Longhi S. Topological Protection and Control of Quantum Markovianity. Photonics. 2020; 7(1):18. https://doi.org/10.3390/photonics7010018
Chicago/Turabian StyleGiorgi, Gian Luca, Salvatore Lorenzo, and Stefano Longhi. 2020. "Topological Protection and Control of Quantum Markovianity" Photonics 7, no. 1: 18. https://doi.org/10.3390/photonics7010018
APA StyleGiorgi, G. L., Lorenzo, S., & Longhi, S. (2020). Topological Protection and Control of Quantum Markovianity. Photonics, 7(1), 18. https://doi.org/10.3390/photonics7010018

