Quantum Theory of Multisubband Plasmon– Phonon Coupling
Abstract
1. Introduction
2. Theoretical Background
2.1. Free Electron and Electron-Electron Coupling Hamiltonian
2.1.1. From Intersubband Transitions to Intersubband Plasmons
2.1.2. From Intersubband Plasmons to Multisubband Plasmons
2.2. Interaction between Phonons and Intersubband Excitations
3. Exact Diagonalization of the Full Hamiltonian
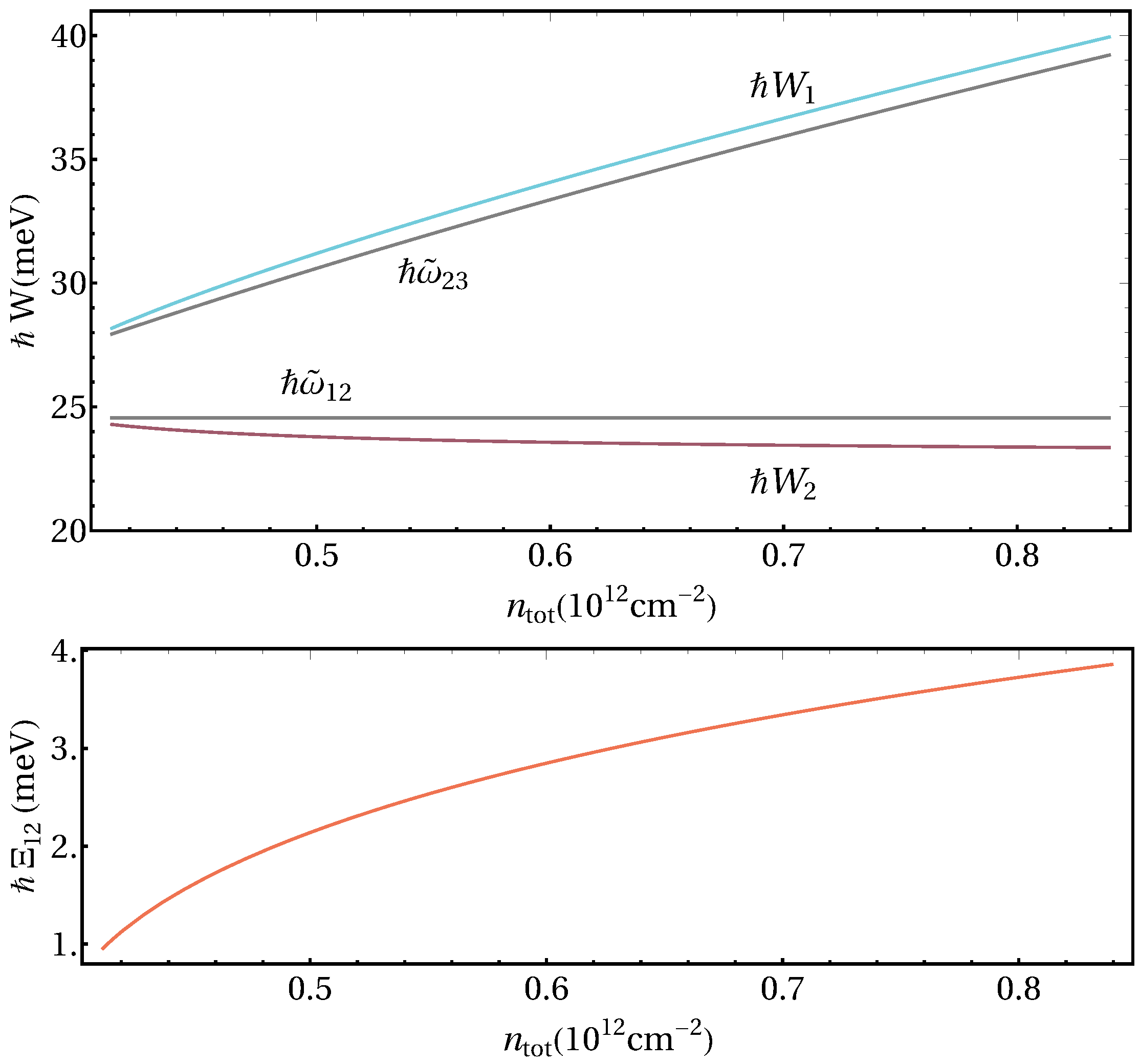
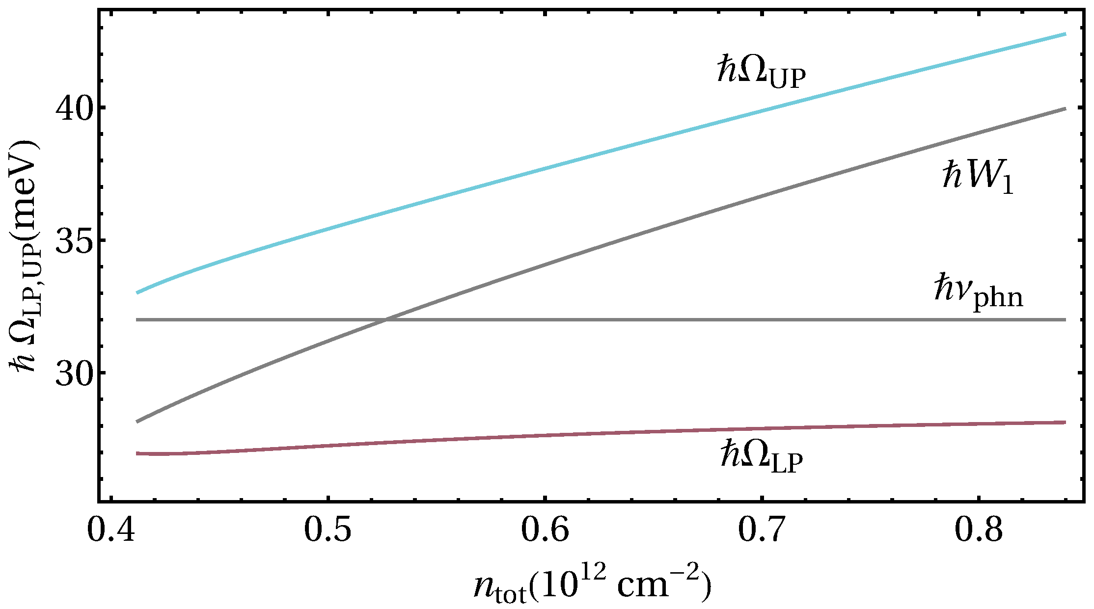
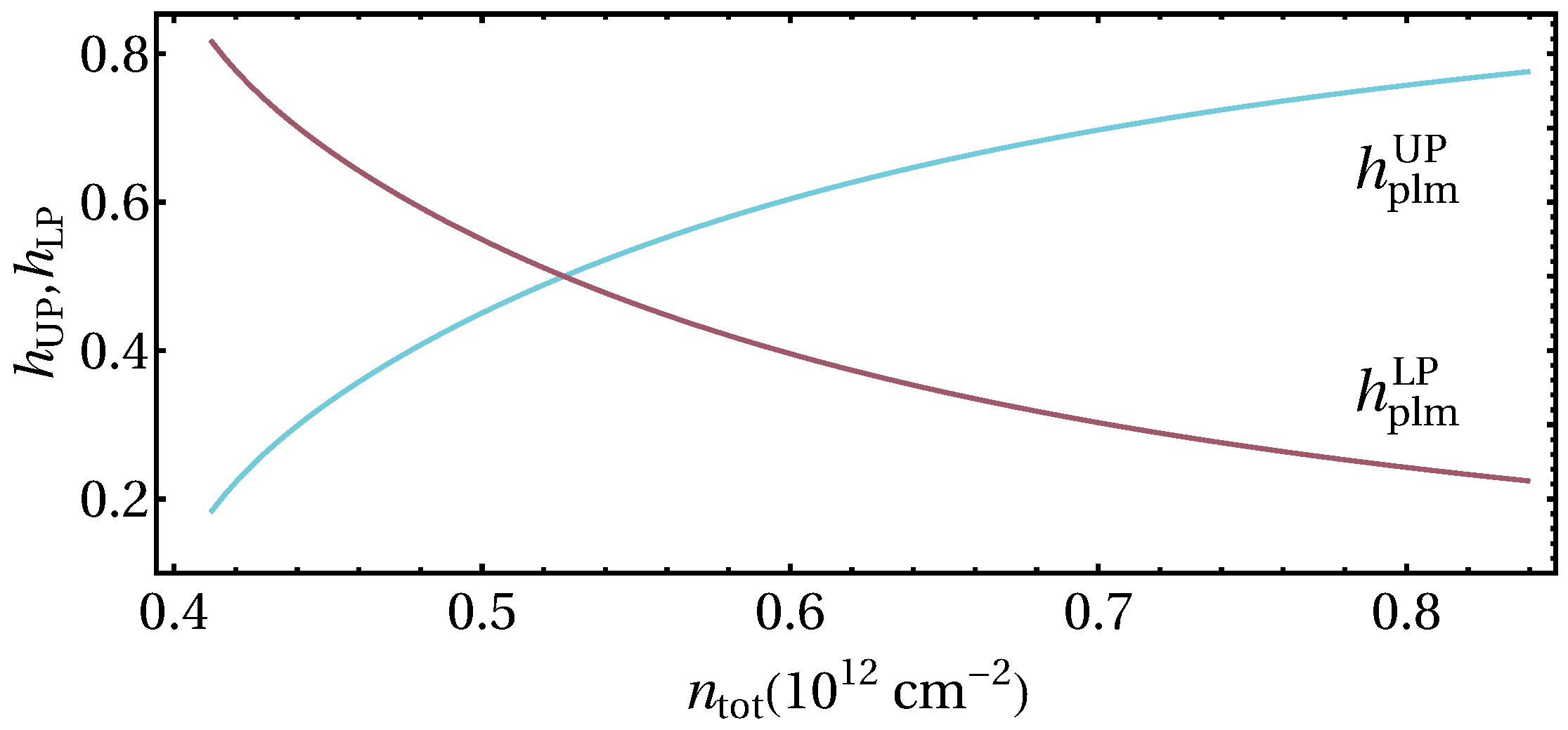
4. Discussion and Results
5. Conclusions
Author Contributions
Funding
Conflicts of Interest
Abbreviations
| LO | longitudinal optical |
| ISB | intersubband |
| MSB | multisubband |
References
- Faist, J.; Capasso, F.; Sivco, D.L.; Sirtori, C.; Hutchinson, A.L.; Cho, A.Y. Quantum cascade laser. Science 1994, 264, 553. [Google Scholar] [CrossRef]
- Gendron, L.; Carras, M.; Huynh, A.; Ortiz, V.; Koeniguer, C.; Berger, V. Quantum cascade photodetector. Appl. Phys. Lett. 2004, 85, 2824. [Google Scholar] [CrossRef]
- Ferreira, R.; Bastard, G. Evaluation of some scattering times for electrons in unbiased and biased single- and multiple-quantum-well structures. Phys. Rev. B 1989, 40, 1074. [Google Scholar] [CrossRef]
- Delteil, A.; Vasanelli, A.; Todorov, Y.; Feuillet Palma, C.; Renaudat St-Jean, M.; Beaudoin, G.; Sagnes, I.; Sirtori, C. Charge-induced coherence between intersubband plasmons in a quantum structure. Phys. Rev. Lett. 2012, 109, 246808. [Google Scholar] [CrossRef]
- Ando, T.; Alan, B.; Fowler, A.B.; Stern, F. Electronic properties of two-dimensional systems. Rev. Mod. Phys. 1982, 54, 437. [Google Scholar] [CrossRef]
- Todorov, Y.; Sirtori, C. Intersubband polaritons in the electrical dipole gauge. Phys. Rev. B 2012, 85, 045304. [Google Scholar] [CrossRef]
- Wendler, L.; Kändler, E. Intra- and intersubband plasmon-polaritons in semiconductor quantum wells. Phys. Status Solidi (B) 1993, 177, 9. [Google Scholar] [CrossRef]
- Warburton, R.J.; Weilhammer, K.; Kotthaus, J.P.; Thomas, M.; Kroemer, H. Influence of collective effects on the linewidth of intersubband resonance. Phys. Rev. Lett. 1998, 80, 2185. [Google Scholar] [CrossRef]
- Delteil, A.; Vasanelli, A.; Todorov, Y.; Paulillo, B.; Biasiol, G.; Sorba, L.; Sirtori, C. Gate controlled coupling of intersubband plasmons. Appl. Phys. Lett. 2013, 102, 031102. [Google Scholar] [CrossRef]
- Pegolotti, G.; Vasanelli, A.; Todorov, Y.; Sirtori, C. Quantum model of coupled intersubband plasmons. Phys. Rev. B 2014, 90, 035305. [Google Scholar] [CrossRef]
- Todorov, Y.; Tosetto, L.; Delteil, A.; Vasanelli, A.; Sirtori, C.; Andrews, A.M.; Strasser, G. Polaritonic spectroscopy of intersubband transitions. Phys. Rev. B 2012, 86, 125314. [Google Scholar] [CrossRef]
- Alpeggiani, F.; Andreani, L.C. Semiclassical theory of multisubband plasmons: Nonlocal electrodynamics and radiative effects. Phys. Rev. B 2014, 90, 115311. [Google Scholar] [CrossRef]
- Laurent, T.; Todorov, Y.; Vasanelli, A.; Delteil, A.; Sirtori, C.; Sagnes, I.; Beaudoin, G. Superradiant emission from a collective excitation in a semiconductor. Phys. Rev. Lett. 2015, 115, 187402. [Google Scholar] [CrossRef] [PubMed]
- Laurent, T.; Todorov, Y.; Vasanelli, A.; Sagnes, I.; Beaudoin, G.; Sirtori, C. Electrical excitation of superradiant intersubband plasmons. Appl. Phys. Lett. 2015, 107, 241112. [Google Scholar] [CrossRef]
- Colombelli, R.; Manceau, J.-M. Perspectives for intersubband polariton lasers. Phys. Rev. X 2015, 5, 011031. [Google Scholar]
- Manceau, J.-M.; Tran, N.-L.; Biasiol, G.; Laurent, T.; Sagnes, I.; Beaudoin, G.; Liberato, S.; Carusotto, I.; Colombelli, R. Resonant intersubband polariton-LO phonon scattering in an optically pumped polaritonic device. Appl. Phys. Lett. 2018, 112, 191106. [Google Scholar] [CrossRef]
- Franckié, M.; Ndebeka-Bandou, C.; Ohtani, K.; Faist, J. Quantum model of gain in phonon-polariton lasers. Phys. Rev. B 2018, 97, 075402. [Google Scholar]
- Delteil, A.; Vasanelli, A.; Jouy, P.; Barate, D.; Moreno, J.C.; Teissier, R.; Baranov, A.N.; Sirtori, C. Optical phonon scattering of cavity polaritons in an electroluminescent device. Phys. Rev. B 2011, 83, 081404. [Google Scholar] [CrossRef]
- De Liberato, S.; Ciuti, C. Stimulated scattering and lasing of intersubband cavity polaritons. Phys. Rev. Lett. 2009, 102, 136403. [Google Scholar] [CrossRef]
- De Liberato, S.; Ciuti, C. Quantum theory of intersubband polarons. Phys. Rev. B 2012, 85, 125302. [Google Scholar] [CrossRef]
- Nikonov, D.E.; Imamoglu, A.; Butov, L.V.; Schmidt, H. Collective intersubband excitations in quantum wells: Coulomb interaction versus subband dispersion. Phys. Rev. Lett. 1997, 79, 4633. [Google Scholar] [CrossRef]
- Lee, S.-C.; Galbraith, I. Intersubband and intrasubband electronic scattering rates in semiconductor quantum wells. Phys. Rev. B 1999, 59, 15796. [Google Scholar] [CrossRef]
- Lee, S.-C.; Galbraith, I. Influence of exchange scattering and dynamic screening on electron–electron scattering rates in semiconductor quantum wells. Phys. Rev. B 2000, 62, 15327. [Google Scholar] [CrossRef]
- Todorov, Y.; Andrews, A.M.; Colombelli, R.; Liberato, S.; Ciuti, C.; Klang, P.; Strasser, G.; Sirtori, C. Ultrastrong light-matter coupling regime with polariton dots. Phys. Rev. Lett. 2010, 105, 196402. [Google Scholar] [CrossRef] [PubMed]
- Frucci, G.; Huppert, S.; Vasanelli, A.; Dailly, B.; Todorov, Y.; Beaudoin, G.; Sagnes, I.; Sirtori, C. Cooperative Lamb shift and superradiance in an optoelectronic device. New J. Phys. 2017, 9, 043006. [Google Scholar] [CrossRef]
- Griffiths, D.J. Introduction to Quantum Mechanics; Prentice Hall: Upper Saddle River, NJ, USA, 1995. [Google Scholar]
- Arora, A.K.; Suh, E.-K.; Ramdas, A.K.; Chambers, F.A.; Moretti, A.L. Confined optical phonons in a GaAs single quantum well in a GaAs/AlxGa1−xAs heterostructure. Phys. Rev. B 1987, 36, 6142. [Google Scholar] [CrossRef]
- Mori, N.; Ando, T. Electron-optical-phonon interaction in single and double heterostructures. Phys. Rev. B 1989, 40, 6175. [Google Scholar] [CrossRef]
- Pokatilov, E.P.; Fomin, V.M.; Semenovskaya, N.N.; Beril, S.I. Interactioin Hamiltonian between an electron and polar surface vibrations in a symmetrical three-layer structure. Phys. Rev. B 1993, 47, 16597. [Google Scholar] [CrossRef]
- Fröhlich, H. Electrons in lattice fields. Adv. Phys. 1954, 3, 325–361. [Google Scholar] [CrossRef]
- Ciuti, C.; Bastard, G.; Carusotto, I. Quantum vacuum properties of the intersubband cavity polariton field. Phys. Rev. B 2005, 72, 115303. [Google Scholar] [CrossRef]
- Hopfield, J.J. Theory of the contribution of excitons to the complex dielectric constant of crystals. Phys. Rev. 1958, 112, 1555. [Google Scholar] [CrossRef]
- Vurgaftman, I.; Meyer, J.R.; Ram-Mohan, L.R. Parameters for AlSb, InAs, GaInAs, GaAs, InP and GaN taken from data found. J. Appl. Phys. 2001, 89, 5815–5875. [Google Scholar] [CrossRef]
- Xu, Q.; Zhou, J.; Liu, T.-H.; Chen, G. Effect of electron-phonon interaction on lattice thermal conductivity of SiGe alloys. Appl. Phys. Lett. 2019, 115, 023903. [Google Scholar] [CrossRef]
- Poujade, A.M.; Albany, H.J. Carrier-concentration dependence of electron-phonon scattering in Te-doped GaSb at low temperature. Phys. Rev. 1969, 182, 802. [Google Scholar] [CrossRef]




| (meV) | |||
|---|---|---|---|
| InAs | 30.0 | 0.161 | |
| GaInAs | 32.0 | 0.175 | |
| GaAs | 35.0 | 0.171 | |
| InP | 43.0 | 0.218 | |
| CdTe | 21.0 | 0.282 | |
| ZnSe | 31.0 | 0.304 | |
| GaN | 87.3 | 0.332 | |
| ZnO | 72.0 | 0.395 |
© 2020 by the authors. Licensee MDPI, Basel, Switzerland. This article is an open access article distributed under the terms and conditions of the Creative Commons Attribution (CC BY) license (http://creativecommons.org/licenses/by/4.0/).
Share and Cite
Ribeiro, S.; Vasanelli, A.; Todorov, Y.; Sirtori, C. Quantum Theory of Multisubband Plasmon– Phonon Coupling. Photonics 2020, 7, 19. https://doi.org/10.3390/photonics7010019
Ribeiro S, Vasanelli A, Todorov Y, Sirtori C. Quantum Theory of Multisubband Plasmon– Phonon Coupling. Photonics. 2020; 7(1):19. https://doi.org/10.3390/photonics7010019
Chicago/Turabian StyleRibeiro, Sofia, Angela Vasanelli, Yanko Todorov, and Carlo Sirtori. 2020. "Quantum Theory of Multisubband Plasmon– Phonon Coupling" Photonics 7, no. 1: 19. https://doi.org/10.3390/photonics7010019
APA StyleRibeiro, S., Vasanelli, A., Todorov, Y., & Sirtori, C. (2020). Quantum Theory of Multisubband Plasmon– Phonon Coupling. Photonics, 7(1), 19. https://doi.org/10.3390/photonics7010019

