Talking with a Ghost: Semi-Virtual Coupled Levitated Oscillators
Abstract
1. Introduction
2. Materials and Methods
3. Results
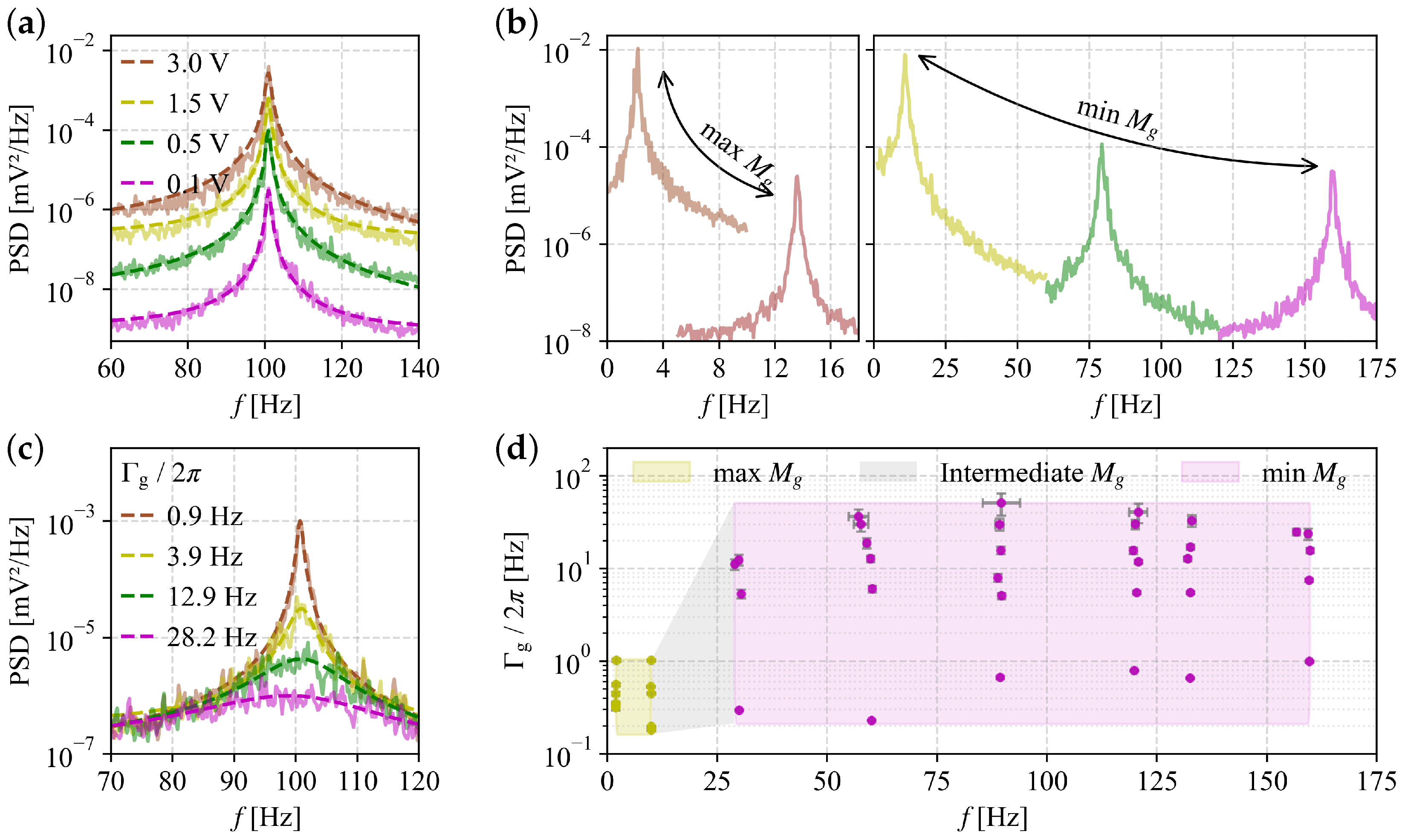
3.1. Characterisation of the Ghost Particle
3.2. Coupling the Real and Ghost Particles
3.3. Tunable Coupling with Different Frequency Oscillators
4. Discussion
Author Contributions
Funding
Data Availability Statement
Acknowledgments
Conflicts of Interest
Appendix A. Configuration of the Analogue Computer
symbols denote integrators that time-integrate the sum of their inputs with an implicit sign inversion. The symbol ▷ denotes an inverter (sign flip), and
denotes a summer that adds its inputs and implicitly inverts the output sign. Numbers in circles represent variable potentiometers that set parameters for the ghost particle and the forces acting on both real and ghost particles: ① sets the initial value ; ② sets ; ③ sets ; ④ sets ; and ⑤–⑥ set the force input to the real and ghost particles, respectively.
Appendix B. PSDs for Coupled Harmonic Oscillators

Appendix C. Quadratic Mean of the Coupling Strength

References
- Millen, J.; Monteiro, T.S.; Pettit, R.; Vamivakas, A.N. Optomechanics with levitated particles. Rep. Prog. Phys. 2020, 83, 026401. [Google Scholar] [CrossRef] [PubMed]
- Pontin, A.; Bullier, N.P.; Toroš, M.; Barker, P.F. Ultranarrow-linewidth levitated nano-oscillator for testing dissipative wave-function collapse. Phys. Rev. Res. 2020, 2, 023349. [Google Scholar] [CrossRef]
- Dania, L.; Bykov, D.S.; Goschin, F.; Teller, M.; Kassid, A.; Northup, T.E. Ultrahigh Quality Factor of a Levitated Nanomechanical Oscillator. Phys. Rev. Lett. 2024, 132, 133602. [Google Scholar] [CrossRef]
- Ahn, J.; Xu, Z.; Bang, J.; Deng, Y.H.; Hoang, T.M.; Han, Q.; Ma, R.M.; Li, T. Optically Levitated Nanodumbbell Torsion Balance and GHz Nanomechanical Rotor. Phys. Rev. Lett. 2018, 121, 033603. [Google Scholar] [CrossRef]
- Ranjit, G.; Cunningham, M.; Casey, K.; Geraci, A.A. Zeptonewton force sensing with nanospheres in an optical lattice. Phys. Rev. A 2016, 93, 053801. [Google Scholar] [CrossRef]
- Ahn, J.; Xu, Z.; Bang, J.; Ju, P.; Gao, X.; Li, T. Ultrasensitive torque detection with an optically levitated nanorotor. Nat. Nanotechnol. 2020, 15, 89–93. [Google Scholar] [CrossRef]
- Liang, T.; Zhu, S.; He, P.; Chen, Z.; Wang, Y.; Li, C.; Fu, Z.; Gao, X.; Chen, X.; Li, N.; et al. Yoctonewton force detection based on optically levitated oscillator. Fundam. Res. 2022, 3, 57–62. [Google Scholar] [CrossRef]
- Yin, P.; Li, R.; Yin, C.; Xu, X.; Bian, X.; Xie, H.; Duan, C.K.; Huang, P.; He, J.h.; Du, J. Experiments with levitated force sensor challenge theories of dark energy. Nat. Phys. 2022, 18, 1181–1185. [Google Scholar] [CrossRef]
- Delić, U.; Reisenbauer, M.; Dare, K.; Grass, D.; Vuletić, V.; Kiesel, N.; Aspelmeyer, M. Cooling of a levitated nanoparticle to the motional quantum ground state. Science 2020, 367, 892–895. [Google Scholar] [CrossRef] [PubMed]
- Magrini, L.; Rosenzweig, P.; Bach, C.; Deutschmann-Olek, A.; Hofer, S.G.; Hong, S.; Kiesel, N.; Kugi, A.; Aspelmeyer, M. Real-time optimal quantum control of mechanical motion at room temperature. Nature 2021, 595, 373–377. [Google Scholar] [CrossRef]
- Tebbenjohanns, F.; Mattana, M.L.; Rossi, M.; Frimmer, M.; Novotny, L. Quantum control of a nanoparticle optically levitated in cryogenic free space. Nature 2021, 595, 378–382. [Google Scholar] [CrossRef]
- Piotrowski, J.; Windey, D.; Vijayan, J.; Gonzalez-Ballestero, C.; de los Ríos Sommer, A.; Meyer, N.; Quidant, R.; Romero-Isart, O.; Reimann, R.; Novotny, L. Simultaneous ground-state cooling of two mechanical modes of a levitated nanoparticle. Nat. Phys. 2023, 19, 1009–1013. [Google Scholar] [CrossRef]
- Gonzalez-Ballestero, C.; Aspelmeyer, M.; Novotny, L.; Quidant, R.; Romero-Isart, O. Levitodynamics: Levitation and control of microscopic objects in vacuum. Science 2021, 374, eabg3027. [Google Scholar] [CrossRef]
- Millen, J.; Stickler, B.A. Quantum experiments with microscale particles. Contemp. Phys. 2020, 61, 155–168. [Google Scholar] [CrossRef]
- Carney, D.; Krnjaic, G.; Moore, D.C.; Regal, C.A.; Afek, G.; Bhave, S.; Brubaker, B.; Corbitt, T.; Cripe, J.; Crisosto, N.; et al. Mechanical quantum sensing in the search for dark matter. Quantum Sci. Technol. 2021, 6, 024002. [Google Scholar] [CrossRef]
- Rudolph, H.; Delić, U.c.v.; Aspelmeyer, M.; Hornberger, K.; Stickler, B.A. Force-Gradient Sensing and Entanglement via Feedback Cooling of Interacting Nanoparticles. Phys. Rev. Lett. 2022, 129, 193602. [Google Scholar] [CrossRef] [PubMed]
- Moore, D.C.; Geraci, A.A. Searching for new physics using optically levitated sensors. Quantum Sci. Technol. 2021, 6, 014008. [Google Scholar] [CrossRef]
- Vaccaro, R.J.; Zaki, A.S. Reduced-Drift Virtual Gyro from an Array of Low-Cost Gyros. Sensors 2017, 17, 352. [Google Scholar] [CrossRef]
- Xue, L.; Yang, B.; Wang, X.; Cai, G.; Shan, B.; Chang, H. MIMU Optimal Redundant Structure and Signal Fusion Algorithm Based on a Non-Orthogonal MEMS Inertial Sensor Array. Micromachines 2023, 14, 759. [Google Scholar] [CrossRef]
- Landig, R.; Hruby, L.; Dogra, N.; Landini, M.; Mottl, R.; Donner, T.; Esslinger, T. Quantum phases from competing short-and long-range interactions in an optical lattice. Nature 2016, 532, 476–479. [Google Scholar] [CrossRef]
- Bernien, H.; Schwartz, S.; Keesling, A.; Levine, H.; Omran, A.; Pichler, H.; Choi, S.; Zibrov, A.S.; Endres, M.; Greiner, M.; et al. Probing many-body dynamics on a 51-atom quantum simulator. Nature 2017, 551, 579–584. [Google Scholar] [CrossRef]
- Rudolph, H.; Hornberger, K.; Stickler, B.A. Entangling levitated nanoparticles by coherent scattering. Phys. Rev. A 2020, 101, 011804. [Google Scholar] [CrossRef]
- Chauhan, A.K.; Černotík, O.; Filip, R. Tuneable Gaussian entanglement in levitated nanoparticle arrays. npj Quantum Inf. 2022, 8, 151. [Google Scholar] [CrossRef]
- Marletto, C.; Vedral, V. Gravitationally induced entanglement between two massive particles is sufficient evidence of quantum effects in gravity. Phys. Rev. Lett. 2017, 119, 240402. [Google Scholar] [CrossRef] [PubMed]
- Bose, S.; Mazumdar, A.; Morley, G.W.; Ulbricht, H.; Toroš, M.; Paternostro, M.; Geraci, A.A.; Barker, P.F.; Kim, M.; Milburn, G. Spin entanglement witness for quantum gravity. Phys. Rev. Lett. 2017, 119, 240401. [Google Scholar] [CrossRef]
- Vijayan, J.; Zhang, Z.; Piotrowski, J.; Windey, D.; van der Laan, F.; Frimmer, M.; Novotny, L. Scalable all-optical cold damping of levitated nanoparticles. Nat. Nanotechnol. 2023, 18, 49–54. [Google Scholar] [CrossRef]
- Siegel, B.; Afek, G.; Lowe, C.; Wang, J.; Tseng, Y.H.; Penny, T.W.; Moore, D.C. Optical levitation of arrays of microspheres. Phys. Rev. A 2025, 111, 033514. [Google Scholar] [CrossRef]
- Ren, Y.; Siegel, B.; Yin, R.; Wu, Q.; Pritchett, J.; Rashid, M.; Millen, J. Neuromorphic detection and cooling of microparticles in arrays. Nat. Commun. 2025, 16, 10658. [Google Scholar] [CrossRef]
- Arita, Y.; Wright, E.M.; Dholakia, K. Optical binding of two cooled micro-gyroscopes levitated in vacuum. Optica 2018, 5, 910–917. [Google Scholar] [CrossRef]
- Rieser, J.; Ciampini, M.A.; Rudolph, H.; Kiesel, N.; Hornberger, K.; Stickler, B.A.; Aspelmeyer, M.; Delić, U. Tunable light-induced dipole-dipole interaction between optically levitated nanoparticles. Science 2022, 377, 987–990. [Google Scholar] [CrossRef]
- Reisenbauer, M.; Rudolph, H.; Egyed, L.; Hornberger, K.; Zasedatelev, A.V.; Abuzarli, M.; Stickler, B.A.; Delić, U. Non-Hermitian dynamics and non-reciprocity of optically coupled nanoparticles. Nat. Phys. 2024, 20, 1629–1635. [Google Scholar] [CrossRef]
- Vijayan, J.; Piotrowski, J.; Gonzalez-Ballestero, C.; Weber, K.; Romero-Isart, O.; Novotny, L. Cavity-mediated long-range interactions in levitated optomechanics. Nat. Phys. 2024, 20, 859–864. [Google Scholar] [CrossRef]
- Slezak, B.R.; D’Urso, B. A microsphere molecule: The interaction of two charged microspheres in a magneto-gravitational trap. Appl. Phys. Lett. 2019, 114, 244102. [Google Scholar] [CrossRef]
- Penny, T.; Pontin, A.; Barker, P. Sympathetic cooling and squeezing of two colevitated nanoparticles. Phys. Rev. Res. 2023, 5, 013070. [Google Scholar] [CrossRef]
- Bykov, D.S.; Dania, L.; Goschin, F.; Northup, T.E. 3D sympathetic cooling and detection of levitated nanoparticles. Optica 2023, 10, 438–442. [Google Scholar] [CrossRef]
- Arita, Y.; Bruce, G.D.; Wright, E.M.; Simpson, S.H.; Zemánek, P.; Dholakia, K. All-optical sub-Kelvin sympathetic cooling of a levitated microsphere in vacuum. Optica 2022, 9, 1000–1002. [Google Scholar] [CrossRef]
- Collin, D.; Ritort, F.; Jarzynski, C.; Smith, S.B.; Tinoco, I.; Bustamante, C. Verification of the Crooks fluctuation theorem and recovery of RNA folding free energies. Nature 2005, 437, 231–234. [Google Scholar] [CrossRef] [PubMed]
- Sevick, E.; Prabhakar, R.; Williams, S.R.; Searles, D.J. Fluctuation Theorems. Annu. Rev. Phys. Chem. 2008, 59, 603–633. [Google Scholar] [CrossRef] [PubMed]
- Rondin, L.; Gieseler, J.; Ricci, F.; Quidant, R.; Dellago, C.; Novotny, L. Direct measurement of Kramers turnover with a levitated nanoparticle. Nat. Nanotechnol. 2017, 12, 1130–1133. [Google Scholar] [CrossRef]
- Ren, Y.; Benedetto, E.; Borrill, H.; Savchuk, Y.; O’Flynn, K.; Rashid, M.; Millen, J. Event-based imaging of levitated microparticles. Appl. Phys. Lett. 2022, 121, 113506. [Google Scholar] [CrossRef]
- Debiossac, M.; Grass, D.; Alonso, J.J.; Lutz, E.; Kiesel, N. Thermodynamics of continuous non-Markovian feedback control. Nat. Commun. 2020, 11, 1360. [Google Scholar] [CrossRef]
- Bertram, R.; Rubin, J.E. Multi-timescale systems and fast-slow analysis. Math. Biosci. 2017, 287, 105–121. [Google Scholar] [CrossRef]
- Message, M.; Cerisola, F.; Pritchett, J.D.; O’Flynn, K.; Ren, Y.; Rashid, M.; Anders, J.; Millen, J. Extreme-Temperature Single-Particle Heat Engine. Phys. Rev. Lett. 2025, 135, 217101. [Google Scholar] [CrossRef] [PubMed]
- Švančara, P.; Smaniotto, P.; Solidoro, L.; MacDonald, J.F.; Patrick, S.; Gregory, R.; Barenghi, C.F.; Weinfurtner, S. Rotating curved spacetime signatures from a giant quantum vortex. Nature 2024, 628, 66–70. [Google Scholar] [CrossRef] [PubMed]
- Wright, L.G.; Onodera, T.; Stein, M.M.; Wang, T.; Schachter, D.T.; Hu, Z.; McMahon, P.L. Deep physical neural networks trained with backpropagation. Nature 2022, 601, 549–555. [Google Scholar] [CrossRef] [PubMed]




Disclaimer/Publisher’s Note: The statements, opinions and data contained in all publications are solely those of the individual author(s) and contributor(s) and not of MDPI and/or the editor(s). MDPI and/or the editor(s) disclaim responsibility for any injury to people or property resulting from any ideas, methods, instructions or products referred to in the content. |
© 2026 by the authors. Licensee MDPI, Basel, Switzerland. This article is an open access article distributed under the terms and conditions of the Creative Commons Attribution (CC BY) license.
Share and Cite
Yin, R.; Ren, Y.; Seo, D.Y.; Sinha, A.; Pritchett, J.D.; Wu, Q.; Millen, J. Talking with a Ghost: Semi-Virtual Coupled Levitated Oscillators. Photonics 2026, 13, 117. https://doi.org/10.3390/photonics13020117
Yin R, Ren Y, Seo DY, Sinha A, Pritchett JD, Wu Q, Millen J. Talking with a Ghost: Semi-Virtual Coupled Levitated Oscillators. Photonics. 2026; 13(2):117. https://doi.org/10.3390/photonics13020117
Chicago/Turabian StyleYin, Ronghao, Yugang Ren, Deok Young Seo, Anoushka Sinha, Jonathan D. Pritchett, Qiongyuan Wu, and James Millen. 2026. "Talking with a Ghost: Semi-Virtual Coupled Levitated Oscillators" Photonics 13, no. 2: 117. https://doi.org/10.3390/photonics13020117
APA StyleYin, R., Ren, Y., Seo, D. Y., Sinha, A., Pritchett, J. D., Wu, Q., & Millen, J. (2026). Talking with a Ghost: Semi-Virtual Coupled Levitated Oscillators. Photonics, 13(2), 117. https://doi.org/10.3390/photonics13020117

