Next Article in Journal
Metasurfaces in Optical Biosensing: Revolutionizing Detection Techniques and Shaping the Future
Previous Article in Journal
Research on the Vortex States of Partially Coherent Vortex Beams
 
 
Font Type:
Arial Georgia Verdana
Font Size:
Aa Aa Aa
Line Spacing:
Column Width:
Background:
Article

Laser Annealing of Si Wafers Based on a Pulsed CO2 Laser

1
Laser Engineering Center, Aerospace Information Research Institute, Chinese Academy of Sciences, Beijing 100094, China
2
School of Electronic, Electrical and Communication Engineering, University of Chinese Academy of Sciences, Beijing 101408, China
3
National Key Laboratory of Electromagnetic Space Security, Tianjin 300308, China
*
Authors to whom correspondence should be addressed.
Photonics 2025, 12(4), 359; https://doi.org/10.3390/photonics12040359
Submission received: 10 March 2025 / Revised: 30 March 2025 / Accepted: 8 April 2025 / Published: 10 April 2025
(This article belongs to the Section Lasers, Light Sources and Sensors)

Abstract

Laser annealing plays a significant role in the fabrication of scaled-down semiconductor devices by activating dopant ions and rearranging silicon atoms in ion-implanted silicon wafers, thereby improving material properties. Precise temperature control is crucial in wafer annealing, particularly for repeated processes where repeatability affects uniformity. In this study, we employ a three-dimensional time-dependent thermal simulation model to numerically analyze the multiple static laser annealing processes based on a CO2 laser with a center wavelength of 9.3 μm and a pulse repetition rate of 10 kHz. The heat transfer equation is solved using a multiphysics coupling approach to accurately simulate the effects of different numbers of CO2 laser pulses on wafer temperature rise and repeatability. Additionally, a pyrometer is used to collect and convert the surface temperature of the wafer. Radiation intensity is converted to temperature via Planck’s law for real-time monitoring. Post-processing is performed to fit the measured temperature and the actual temperature into a linear relationship, aiding in obtaining the actual temperature under small beam spots. According to the simulation conditions, a wafer annealing device using a CO2 laser as the light source was independently built for verification, and a stable and uniform annealing effect was realized.

1. Introduction

In the continuous evolution of semiconductor manufacturing technology, annealing processes have consistently played an indispensable role as a critical back-end process step [1]. With the ongoing reduction in integrated circuit feature sizes, traditional thermal annealing techniques have gradually revealed their limitations, particularly in balancing dopant activation and diffusion suppression. Early furnace annealing [2] was primarily used for the batch processing of semiconductor devices, including high-temperature oxidation, diffusion processes, and stable heat treatments. Its simple structure and uniform temperature distribution (±5 °C) in steady-state conditions made it suitable for large wafers (200–300 mm). However, its high thermal budget and slow heating/cooling rates (5–50 °C/min) led to dopant redistribution and lateral diffusion (boron diffusion > 5 nm), limiting its applicability for advanced node scaling [3]. To address these limitations, rapid thermal processing (RTP), such as halogen lamp annealing, was developed. RTP significantly increased heating rates (>100 °C/s), reduced annealing time to 10–60 s, and lowered the thermal budget to ~102 J/cm2, enabling single-wafer processing [4]. However, temperature fluctuations (±50 °C) and deep thermal penetration posed challenges for ultra-shallow junction (USJ) formation, restricting its use in submicron processes (0.35 μm) [5,6]. This led to the development of millisecond annealing (MSA) [7], including flash lamp annealing (FLA) and laser thermal annealing (LTA). This technology optimizes the balance between dopant activation and diffusion suppression through extremely short heating times and localized thermal effects [8,9]. FLA enables transient heating (<100 nm surface depth) at >1200 °C with millisecond-scale pulses, effectively suppressing dopant diffusion. However, rapid full-surface heating risks wafer warpage, requiring precise support systems for mitigation.
Laser thermal annealing (LTA), as one of the methods, has played a significant role in enhancing device performance, because it can strictly confine the annealing area to the local and shallow regions of the wafer [10]. As advanced semiconductor processes progress to nodes below 14 nm [11], the trend toward chip miniaturization increasingly relies on laser annealing for lattice damage repair after ion implantation. The quality of this process directly impacts transistor mobility (improving by 30–50%) and junction leakage current (reducing to the order of 10−8 A/cm2) [7]. With Moore’s law extending to 3 nm and beyond, the challenge of controlling temperature gradients in traditional motion-based scanning laser annealing has become more pronounced [12]. Experimental data show that during conventional continuous-wave laser scanning, periodic temperature fluctuations of up to ±50 °C occur on the silicon wafer surface [13] (at scanning speeds of 0.5–2 m/s), leading to annealing uniformity degradation with a coefficient of variation (CV) of 8.7%. Moreover, localized overheating-induced thermal accumulation can cause the thermal budget to exceed the 1 × 10−3 J/cm2 threshold required by advanced processes [14].
To address these challenges, static laser annealing technology, which directly anneals the wafer surface using pulsed lasers, has demonstrated significant advantages. Theoretical studies indicate that, when a 355 nm [15] pulsed laser (50 ns pulse width, 1 MHz repetition rate) is used for static processing, the silicon wafer can achieve a transient temperature rise of 1200–1400 °C within 200 μs, with the thermal penetration depth precisely controlled within 50 nm [16], compressing temperature fluctuations to within ±10 °C. This “cold processing” characteristic is particularly suitable for localized annealing in ultra-thin body SOI (silicon-on-insulator) devices and 3D stacked chips, reducing substrate thermal stress by over 97%.
In this paper, we develop a novel static annealing thermodynamic simulation model based on the unique infrared absorption properties of a CO2 laser (wavelength of 9.3 μm). The longer wavelength (compared to as the wavelength of 355 nm) [15] greatly mitigates the pattern effects caused by diffraction during annealing, resulting in more uniform annealing effects on the wafer surface [17]. By regulating the pulse burst parameters (annealing time 5–10 ms, energy density 47.5–95.0 J/cm2), precise millisecond-level temperature control of 1250–1700 K on the silicon wafer is achieved by adopting only a long-wave infrared beam, while the reliability of using a pyrometer as a temperature monitoring tool is validated. The experimental system integrates a high-speed infrared temperature measurement module (sampling interval 120 μs) and a beam shaping system, successfully verifying the dynamic matching mechanism between pulse intervals (20–200 μs) and annealing time. By establishing an accurate thermal simulation model and optimizing the process parameters of CO2 pulsed laser annealing, this study aims to enhance the precise control of the annealing temperature, thereby achieving a more uniform and repeatable annealing effect, which provides critical technical support for developing sub-micron thermal budget control processes.

2. Simulation Model and Methods

2.1. Numerical Model Establishment

The time-dependent heat transfer module in COMSOL Multiphysics (version 6.2) is utilized to conduct numerical analysis, simulating the temperature distribution during the annealing process of a silicon wafer subjected to a pulsed CO2 laser. Through post-processing, the numerical transformation of the pyrometer’s measurement region was achieved, converting infrared radiation intensity into temperature to validate the theoretical principles.

2.2. Mesh Generation

The computational domain used in the simulation is a circular region with a radius of 2.54 mm, as shown in Figure 1. Preliminary simulation results show that the temperature variation at the boundary is negligible, so the wafer size is reduced to this radius. The thickness of the computational region is set to 425 μm, based on the parameters of common commercial wafers.
To enhance computational accuracy, a rectangular region of (3 mm × 1 mm × 0.1 mm) was chosen for mesh refinement, corresponding to the linear heating spot size (2 mm × 0.1 mm) used in this annealing scheme. The mesh parameters were selected through a convergence analysis to balance computational efficiency and accuracy. A maximum element size of 10 μm was chosen, because finer meshing (<5 μm) did not cause a significant change in peak temperature but increased computation time by 300%. The rectangular refinement zone (3 × 1 × 0.1 mm3) covers the laser spot area (2 × 0.1 mm2). The neglect of wafer edge variations is justified, because as Figure 2 shows that when the annealing time reaches 8 ms, the thermal diffusion beyond 2.54 mm radius was <0.1% (1.5 K) of peak temperature in preliminary simulations. This approach can also ensure that sufficient data points are captured within the (0.6 × 0.6 mm2) measurement region, while satisfying the requirement for a shallow thermal influence depth in millisecond annealing.
Since the isolated region is a regular cuboid, a swept mesh was applied, resulting in high-quality mesh elements. The remaining irregular regions were treated with a free tetrahedral mesh, using a growth-distributed network to best match the geometry. Additionally, the boundary layers were refined to ensure uniform and continuous temperature transfer.
In Figure 1, the right side lists the mesh quality values corresponding to the color gradient. The closer this value is to 1, the higher the mesh quality, and the more accurate the simulation results will be. As observed, the mesh quality in the annealing region is uniformly 1, indicating optimal mesh quality. This ensures reliable simulation results, while significantly reducing computational time.

2.3. Boundary Conditions

To solve the heat transfer equation appropriately, reasonable boundary conditions must be defined based on practical considerations. These include convective heat transfer between the upper surface and the air medium, as well as energy loss due to radiation heat transfer to the air. The boundary condition is defined as follows:
n · q = h T x , y , z = 0 T a m b + ε σ T x , y , z = 0 4 T a m b 4
n is the surface normal vector, h is the convective heat transfer coefficient (9.5 W/(m2·K)), and Tx,y,z=0 is the annealing temperature of the wafer surface. Tamb is the ambient temperature (293.15 K), σ is the Stefan–Boltzmann constant (5.67 × 10−8 W/m2⋅K4), and ε is the surface emissivity (0.8). According to the assumptions, the sidewalls are not in contact with air, and temperature variations are negligible. Therefore, a thermal insulation condition is applied to the sidewalls as follows:
n · q = 0
n′ is the side normal vector. The simplified boundary condition omitting edge effects is validated by two factors; the 425 μm wafer thickness ensures that lateral heat transfer dominates over edge losses, and the simulated edge temperature change is less than 1%.

2.4. Heat Source Configuration

When the laser irradiates the silicon wafer, a portion of the energy is absorbed, and the intensity varies spatially and temporally within the material. The governing partial differential equation for temperature distribution is:
ρ C p T t k T = Q x , y , z = α T I 0
where I0 denotes the intensity of the applied light (W/m2), ρ is the density (kg/cm2), C p is the specific heat capacity (J/kg⋅K), Qx,y,z is the absorbed heat source term, α(T) is the temperature-dependent absorption coefficient (mm−1), and k is the thermal conductivity, which varies with temperatures. According to the Beer–Lambert law [18], the spatial distribution of light intensity is given by:
α T I 0 = I z
In this study, the light source is treated with a flat-top profile, meaning the power density is assumed to be uniformly distributed within the linear beam spot.

2.5. Material Properties and Settings

The CO2 laser, compared to shorter-wavelength lasers, has a longer wavelength and lower photon energy. The resulting absorption mechanism in silicon can mitigate the pattern effects that occur during the annealing process. This is primarily due to the reduced diffraction effects and deeper penetration of the longer wavelength. Additionally, it enables a relatively uniform temperature distribution (≤10 K) in the shallow surface region of the wafer during annealing, which helps control temperature variations and ensures consistent annealing outcomes across the wafer surface [19,20]. Therefore, the CO2 laser is regarded as an ideal light source for wafer annealing. In this study, the laser wavelength used for annealing is 9.3 μm [20,21].
CO2 laser–silicon interaction mainly involves free carrier absorption, transferring photon energy to conduction band electrons. This absorption depends heavily on free carrier concentration, adjustable via doping and thermal pre-treatment [22]. The temperature-dependent absorption characteristics α of silicon under CO2 laser irradiation can be quantitatively described by the following empirical relationship [23]:
α ( N , T x , y , z ) = 1.9 × 10 20 ( T x , y , z ) 3 2 × [ N + n i ( T x , y , z ) ] + 2
The N is the dopant concentration (cm−3), Tx,y,z is the temperature in the annealed area of the wafer in K (Kelvin), and ni(T) is the temperature-dependent intrinsic carrier concentration (cm−3). The temperature dependence of intrinsic carrier concentration in silicon follows the relationship:
n i T x , y , z = 3.87 × 10 16 T x , y , z 300 3 2 exp 7020 T x , y , z
This equation accounts for the thermal excitation of charge carriers across the semiconductor bandgap.
In the simulation, the thermophysical and optical properties listed in the table were used, fully considering the influence of temperature. The main thermophysical parameters include thermal conductivity and specific heat, as shown in Table 1. A linear beam spot was employed, and the most suitable values were selected based on multiple simulations under actual process conditions.

2.6. Pyrometer Temperature Acquisition and Processing

Since the pyrometer can measure temperatures within a minimum area of a circular region with a radius of 0.3 mm, post-processing of the simulated wafer surface temperature data is required to align with the pyrometer’s measurement principles. According to Planck’s law of blackbody radiation, the spectral radiant exitance Mλ(Tx,y,z=0) at a specific wavelength λ is given by:
M λ T x , y , z = 0 = 2 π h c 2 λ 5 1 e h c λ k B T x , y , z = 0 1
where Tx,y,z=0 represents the temperature value at the point on the wafer surface where the radiance is measured, with the unit in K (Kelvin). h ≈ 6.626 × 10−34 J⋅s is the Planck constant, and kB ≈ 1.381 × 10−23 J/K is the Boltzmann constant. A monochromatic pyrometer infers the temperature by measuring the radiation intensity at a specific wavelength λ. Assuming the pyrometer measures a wavelength range from λ1 to λ2, the radiation intensity I can be obtained by integrating the spectral radiant exitance Mλ(Tx,y,z=0) over this range:
I T x , y , z = 0 = λ 1 λ 2   M λ T x , y , z = 0 d λ
The circular region to be measured is divided into M smaller area units, each with a temperature Ti and an area Ai. The total radiation intensity Itotal of the entire circular region can then be expressed as:
I t o t a l = i = 1 M   I T i A i
where I(Ti) is the radiation intensity of the i unit within the wavelength range λ1 to λ2, obtained by Mλ(Ti). An equivalent average temperature T1 is determined such that its radiation intensity I(T1) equals the total radiation intensity of the entire circular region divided by the number of measurement points M:
I T 1 = I t o t a l M
By solving the following equation, the average temperature T1 can be determined, as follows:
λ 1 λ 2   M λ T 1 d λ = i = 1 M   λ 1 λ 2   M λ T i d λ A i M
In this study, the wavelength response range of the pyrometer was selected as 0.7–1.1 μm. An appropriate emissivity was chosen to align with the actual data. A time data series was incorporated, and the linear relationship between the peak temperature and the regional average temperature over time was fitted. By adjusting the emissivity, the linear relationship was optimized.

3. Simulation Results and Analysis

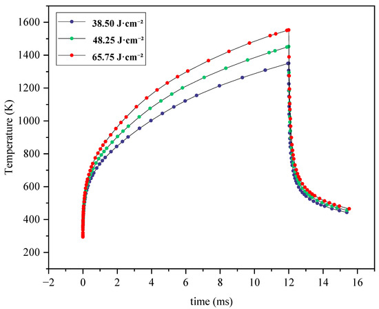
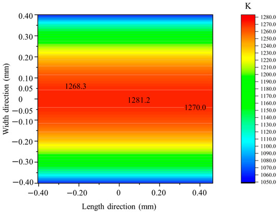
Figure 3 illustrates the simulated thermal landscape of the temperature gradients on the wafer’s upper surface and within the longitudinal annealing region at the 8 ms mark of the annealing process. As depicted in panel Figure 3a, the linear spot annealing zone exhibits a highly uniform temperature distribution. The locally magnified view of the annealing region on the upper surface is illustrated in Figure 4. Along the length of the linear annealing spot (2 mm), the maximum temperature exhibits exceptional uniformity with negligible fluctuations. In the width direction (0.1 mm), the peak temperature at the center of the annealing zone reaches 1281.2 K, while the temperature at the boundary ranges between 1268.3 K and 1700 K. Figure 3b demonstrates the two-dimensional temperature distribution within the silicon wafer during the heating process. The shape of the isotherms reflects the beam flattening treatment applied to the annealing zone, with the upper surface temperature reaching its peak at this stage. This observation highlights the effectiveness of the beam shaping technique in achieving a controlled and uniform thermal profile across the wafer. As the thermal energy propagates outward toward the periphery, the temperature gradient transitions smoothly due to the temperature-dependent variation in the absorption coefficient [25]. Quantitative analysis of the temperature distribution within the laser spot (2 mm × 0.1 mm) reveals remarkable stability, with thermal fluctuations confined to less than 3.5 K @ (1250 K to 1700 K). Temperature measurements collected from the linear region, as shown in Figure 5, were performed under three distinct energy density (38.50 J·cm−2, 48.25 J·cm−2, 65.75 J·cm−2) settings. The maximum temperatures in the annealing region reached 1350 K, 1450 K, and 1550 K within a span of 12 milliseconds, respectively. The temperature evolution within the 12 ms timeframe demonstrates the precise controllability of the maximum annealing temperature. This thermal uniformity demonstrates the simulation’s stable temperature control capability.
A circular region with a radius of 0.3 mm centered at the wafer origin (0, 0) was selected to simulate the measurement range of the pyrometer. Based on the equivalent temperature conversion method described above, the temperatures within this region were converted into radiation intensities according to blackbody radiation laws. Each temperature point was assigned a proportional coefficient based on its contribution to the overall radiation intensity. The total radiation intensity was then converted into an equivalent temperature, and a linear fitting analysis was performed between the two, as shown in Figure 6. Since the measurement range of the pyrometer exceeds the target annealing region, the collected infrared radiation values do not directly represent the actual radiation emitted from the annealing zone. This necessitates post-processing of the data, as discussed in this section. For instance, when the annealing temperature reaches 1365.0 K, the theoretical reading from the pyrometer is 968.7 K. Through rigorous training and fitting of our model, we have achieved the capability to accurately reflect the actual temperature of the annealing region based on the pyrometer’s readings. The calibration process for converting radiation intensity to temperature involves the following three key steps: (1) a linear fitting model was established between the simulated temperature and the pyrometer-measured equivalent temperature using 100 data points across the range of 800–1700 K; (2) the fitting uncertainty was quantified through the coefficient of determination (R2) and residual analysis, showing a maximum deviation of ±3.2 K (95% confidence interval); and (3) the model validity was confirmed by comparing the predicted temperatures with independent experimental measurements, yielding a mean absolute error (MAE) of 2.8 K and a root mean square error (RMSE) of 3.5 K.
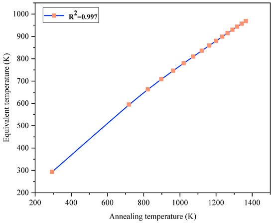
In this model, the independent variable is the actual temperature, and the dependent variable is the equivalent temperature. The R2 (the coefficient of determination) value was calculated, and the results were plotted and outputted. R2 is a critical metric used to evaluate the goodness of fit of a model to the data. It represents the explanatory power of the independent variable over the variation in the dependent variable. The value of R2 typically ranges between 0 and 1, with values closer to 1 indicating a better fit. The calculated R2 value of 0.997 in Figure 7 demonstrates that the equivalent temperature accurately reflects the actual annealing temperature and its variation trends. This result confirms that the pyrometer can be reliably used as a monitoring tool for the annealing temperature in experiments.

4. Device Design

The schematic of the optical path in this study is illustrated in Figure 8, which consists of a CO2 laser source, a beam shaping module, an annealing process sampling module, and a silicon wafer placed on a two-dimensional translation stage along with its clamping tool.
In this study, the light source employed is a sealed-off radio frequency-excited CO2 laser (wavelength of 9.3 μm); the laser operates at a repetition frequency of 10 kHz. The pulse width is determined by the duty ratio of the PWM (pulse width modulation) signal, with a maximum pulse width of 37 μs. At this pulse width, the measured average output power is 100.0 W. As illustrated in Figure 9, the output power and annealing time are controlled by adjusting the duty cycle and the number of pulses. This configuration allows for precise control of the laser’s energy delivery, enabling the effective optimization of the annealing process.
The polarization direction of the CO2 laser is parallel with the P-polarization direction of the wafer annealing surface. The laser is incident on the wafer to be annealed at the Brewster angle (74.3°) through the beam shaping system, providing the laser beam and energy for the annealing process. The wavelength of the CO2 laser is 9.3 μm. The 9.3 μm wavelength of the CO2 laser, compared to the traditional CO2 laser wavelength of 10.6 μm, possesses higher photon energy, thereby providing enhanced heating efficiency.
The beam shaping system comprises a beam expander, a beam shaper, an aperture, and two cylindrical focusing mirrors. The beam expander has a magnification of five times. After passing through the beam expander, the laser beam is incident on the beam shaper (πshaper, Edmund) at a position with a beam diameter of 10 mm for energy homogenization. Unlike traditional beam clipping methods, the beam expander achieves the flattening of the CO2 laser beam through optical transmission transformation, significantly improving the utilization efficiency of laser energy. The homogenized beam was focused by a cylindrical lens (focal length of 50 mm) and a cylindrical mirror (focal length of 750 mm) in the perpendicular direction. The spot size on the Si wafer was 0.075 mm × 2.0 mm with uniform energy distributions. The measured distributions along the length direction are shown in Figure 10. It can be observed that, within the 1.2 mm length range, the energy distribution exhibits a relatively uniform fluctuation. To ensure the annealing quality, the redundant portions at both ends of the laser spot were precisely masked using a beam shutter. Consequently, the linear laser spot employed for annealing was shaped into a rectangular profile with a length of 1.2 mm and a width of 0.075 mm.
The monitoring process of the annealing procedure is divided into the following two parts: one involves real-time monitoring of the annealing temperature using a pyrometer (IS 6 Advanced, IMPAC), and the other involves analyzing the transmittance changes of long-wave laser energy before and after annealing. After passing through the beam shaper, the beam is reflected by a sampling mirror with 90% reflectivity, allowing 10% of the energy to transmit through to the energy meter1 (PMP USB 150 HD, Coherent) for the real-time monitoring of beam energy stability. After the laser is focused on the wafer to be annealed, a portion of the energy is transmitted through the silicon wafer. This transmitted energy is then focused by a focusing lens and received by the energy meter2 (919E-0.1-12-25K1918-C, Newport) at an appropriate position for secondary monitoring of the transmitted energy. As the annealing temperature increases, the concentration of free carriers in the silicon wafer rises, leading to an increase in the absorption rate of the long-wave laser. By measuring the changes in the transmittance of the laser through the silicon wafer at this stage, the annealing effect can be clearly validated.
The response time of the pyrometer is 120 μs with a repeatability accuracy of 0.1% @ 1200 °C. The responding wavelength range is from 0.7 μm to 1.1 μm, while the sampling spot size is 0.6 mm in diameter, which is the same as the value in the theoretical model in Section 2. According to Wien’s law of displacement, when the annealing temperature of the silicon wafer reaches 1200 °C, the radiation intensity peaks around 1.0 μm, which can be detected and rapidly responded to by the pyrometer. The temperature data are then used for annealing process control and closed-loop feedback.
The energy data measured by the energy meter1 are used for the stability control of the laser, ensuring the repeatability of the annealing process. The power data received by the energy meter2 are used to monitor whether the annealing has reached the target temperature and is fed back to the laser for closed-loop control of the output power. This forms a secondary verification alongside the feedback from the pyrometer, thereby enhancing the reliability of the system.

5. Results and Discussion

The energy uniformity of the linear laser spot directly affects the temperature errors during annealing. Therefore, it is essential to measure the energy distribution uniformity of the spot. We focus primarily on the energy distribution along the length (2 mm). As shown in Figure 10, the measured energy data were normalized to analyze its distribution. Within a 1.2 mm length range, the energy variation is within 1.5%, ensuring uniform annealing effects across the target area.
The adjusted laser beam was incident on the target wafer at the Brewster angle (74.3°). Simultaneously, a pyrometer was aligned with the geometric center of the annealing region, covering a circular measurement area with a radius of 0.3 mm. The principles and reliability of the temperature measurement were discussed in the preceding theoretical section. To achieve optimal annealing results, multiple irradiation experiments were conducted by varying the laser output power and pulse duration (adjusted by modifying the number of pulses). In the final irradiation set, the average power density of the laser reached 11.0 kW·cm−2, with pulse train durations ranging from 4.25 to 8.50 ms (corresponding to energy densities of 46.75 to 93.5 J·cm−2). The reliable actual annealing temperatures, measured over three repeated cycles under these conditions, are depicted in Figure 11. Depending on the pulse duration, the peak surface temperature of the wafer reached a range of 1250 K to 1700 K.
The simulation utilized pulse count to regulate the annealing duration. The figure depicts the peak surface temperatures under constant power but different annealing time. Multiple experiments were conducted for each condition, demonstrating excellent reproducibility. The results were normalized to a dataset, as shown in Figure 11. It can be observed that the transmitted energy gradually decreases as the annealing temperature increases, indicating an improvement in the wafer’s absorption rate of laser energy. This phenomenon is attributed to the thermal absorption process, where a significant number of intrinsic carriers within the wafer are photoexcited into free carriers. These free carriers can readily interact with and absorb long-wavelength photons, leading to an enhanced absorption rate of laser energy by the wafer.
Through multiple repeated experiments, the data exhibited a well-controlled root mean square (RMS) value, replicate the experiments, with a standard deviation of less than 3.2 K for each group, indicating a stable and consistent performance within the expected range. This demonstrates the reliability of the annealing process and the precision of the experimental setup.
This study achieved localized temperature uniformity of ±3.5 K on wafer surfaces through optimized laser annealing control. Vandervorst et al. [26] demonstrated the nonlinear relationship between sheet resistance (Rs) and temperature during laser annealing. Their work showed that a ±10 K temperature variation caused about 10% sheet resistance change (corresponding to 15% activation efficiency deviation) in boron-doped wafers, while a ±2.5 K temperature variation induced only 1% Rs variation. Accordingly, our temperature variation (±3.5 K) is expected to reduce Rs non-uniformity to <2.5% @ 2.0 mm × 0.1 mm. Additionally, by reducing the annealing area to a range of 1.6 mm × 0.08 mm, the temperature variation can be further minimized to ±2.5 K. The scanning annealing method [26] results in local temperature inhomogeneity due to the overlapping of scanning areas. The temperature fluctuations vary with the annealing areas. In contrast, the method in this paper can ensure the uniformity of the annealing temperature throughout the entire wafer, since the annealing region is moved by static steps, which will be a useful perspective in realizing more uniform Rs across the doped Si wafers.
Furthermore, maintaining surface morphological integrity is a critical metric for ensuring semiconductor performance. Previous works have demonstrated that the precise control of laser annealing temperature can effectively reduce the formation of nano defects [10,26,27]. In this research, we achieve temperature variations across an annealing area of less than 3.5 K (millisecond annealing), so it is expected to suppress nano defects to the 2 nm level [26], which has been realized by laser annealing based on a 532 nm laser. In the future, we will employ microscopic observation methods to validate the advantages of CO2 laser annealing in mitigating wafer surface deformation and lattice distortion.

6. Conclusions

This paper employs a time-varying transient thermal simulation model to conduct modeling and numerical analysis of static annealing on wafers. The analysis focuses on the maximum temperature and temperature distribution on the wafer surface under different power densities and annealing durations. Additionally, the feasibility of using a pyrometer as a temperature monitoring tool is evaluated based on the blackbody radiation law and Wien’s displacement law. Subsequently, an integrated annealing apparatus is designed for experimental validation. The experimental setup is constructed according to the simulation conditions, utilizing a pyrometer and a power meter to monitor the annealing temperature and effectiveness, thereby verifying the feasibility and reliability of the technique routine. The main findings of this research can be summarized as follows:
(1)
Based on the simulation results, a theoretical model is established for the subsequent construction of the experimental environment and validation of the annealing effects.
(2)
The feasibility of using a pyrometer to monitor the annealing temperature is derived based on the blackbody radiation law and Wien’s displacement law. Based on the true temperature of the annealing region obtained from the simulation, different weights are assigned to each temperature data point. The converted equivalent temperature is then temporally fitted with the true temperature to accurately reflect the trend and numerical values of the true annealing temperature at each moment. After algorithm training, the R2 value of the fitting between the actual temperature and equivalent temperature reaches 0.997, indicating that the data measured by the pyrometer can accurately reflect the annealing temperature.
(3)
A CO2 long-wave laser (center wavelength of 9.3 μm) annealing apparatus is constructed based on the simulation conditions. A linear annealing spot is achieved through beam shaping and homogenization systems, with a power distribution non-uniformity of less than 2% in the length direction (1.2 mm). The pyrometer is used as the temperature monitoring tool, and the power meter is employed to receive the transmitted power as feedback for regulating the laser output power during experimental validation. By controlling the laser power density and annealing duration, the maximum temperature within the annealing region can be controlled between 1250 K and 1700 K.
This work focuses on resolving the following two fundamental limitations in laser annealing applications: developing a physics-based predictive thermal model to compensate for temperature fluctuations during repetitive annealing cycles and optimizing CO2 lasers (λ = 9.3 μm) for sub-micron thermal budget control. The proposed approach combines 3D transient thermal simulations (validated with <5% error) with experimental characterization, achieving temperature stability that enhances dopant activation uniformity and process repeatability. Since this study employs CO2 laser as the annealing light source, its long-wavelength characteristic avoids the diffraction limitations encountered by conventional ultraviolet lasers in submicron structures, effectively suppressing pattern-dependent annealing non-uniformity. The millisecond-level precise temperature control capability and shallow thermal penetration depth shows that this technology has great potential in the field of rapid thermal annealing and will have a good application prospect.

Author Contributions

Conceptualization, Z.W. and Z.L.; methodology, Z.W.; software, Z.W. and G.W.; validation, Z.X., S.L. and M.L.; formal analysis, L.H.; investigation, H.L.; resources, F.N.; writing—original draft preparation, Z.W.; writing—review and editing, Z.W., W.Z., Z.L. and R.T.; supervision, Z.L.; funding acquisition, C.K. All authors have read and agreed to the published version of the manuscript.

Funding

Strategic Priority Research Program of the Chinese Academy of Sciences (XDA0380204); the Opening Funding of National Key Laboratory of Electromagnetic Space Security.

Data Availability Statement

The data that support the findings of this study are available from the corresponding author upon reasonable request.

Conflicts of Interest

The authors declare no conflicts of interest.

References

  1. Hsu, W.; Wen, F.; Wang, X.; Wang, Y.; Dolocan, A.; Roy, A.; Kim, T.; Tutuc, E.; Banerjee, S.K. Laser Spike Annealing for Shallow Junctions in Ge CMOS. IEEE Trans. Electron Devices 2017, 64, 346–352. [Google Scholar] [CrossRef]
  2. SSundaresan, S.G.; Rao, M.V.; Tian, Y.; Schreifels, J.A.; Wood, M.C.; Jones, K.A.; Davydov, A.V. Comparison of Solid-State Microwave Annealing with Conventional Furnace Annealing of Ion-Implanted SiC. J. Electron. Mater. 2007, 36, 324–331. [Google Scholar] [CrossRef]
  3. Kingi, R.; Wang, Y.; Fonash, S.J.; Awadelkarim, O.; Mehlhaff, J. Comparison Between Rapid Thermal and Furnace Annealing for A-Si Solid Phase Crystallization. MRS Proc. 1996, 424, 237. [Google Scholar] [CrossRef]
  4. Aziz, M.; Felix, J.F.; Jameel, D.; Al Saqri, N.; Al Mashary, F.S.; Alghamdi, H.M.; Albalawi, H.M.; Taylor, D.; Henini, M. Rapid thermal annealing: An efficient method to improve the electrical properties of tellurium compensated Interfacial Misfit GaSb/GaAs heterostructures. Superlattices Microstruct. 2015, 88, 80–89. [Google Scholar] [CrossRef][Green Version]
  5. Wang, Y.; Chen, S.; Shen, M.; Wang, X.; Zhou, S.; Hebb, J.; Owen, D. Laser Spike Annealing for Advanced CMOS Devices. In Proceedings of the Extended Abstracts—2008 8th International Workshop on Junction Technology (IWJT ’08), Shanghai, China, 15–16 May 2008; IEEE: Piscataway, NJ, USA, 2008; pp. 126–130. [Google Scholar]
  6. Mileham, J.; Willis, J.; Owen, D.M.; Shetty, S.; Hebb, J.; Wang, Y. Impact of Pattern and LSA Stitching Effects and Processing Pa-rameters on Reflectance and Stress Distribution for Thermal Annealing Technologies. In Proceedings of the 2009 17th International Conference on Advanced Thermal Processing of Semiconductors, Albany, NY, USA, 30 September–3 October 2009; IEEE: Piscataway, NJ, USA, 2009; pp. 1–6. [Google Scholar]
  7. Timans, P.J.; Xing, G.; Cibere, J.; Hamm, S.; McCoy, S. Millisecond Annealing for Semiconductor Device Applications. In Subsecond Annealing of Advanced Materials: Annealing by Lasers, Flash Lamps and Swift Heavy Ions; Springer: Cham, Switzerland, 2014; pp. 229–270. [Google Scholar]
  8. Wang, C.; Li, C.; Lin, G.; Lu, W.; Wei, J.; Huang, W.; Lai, H.; Chen, S.; Di, Z.; Zhang, M. Germanium N+/p Shallow Junction with Record Rectification Ratio Formed by Low-Temperature Preannealing and Excimer Laser Annealing. IEEE Trans. Electron Devices 2014, 61, 3060–3065. [Google Scholar] [CrossRef]
  9. Tanimura, H.; Kawarazaki, H.; Fuse, K.; Abe, M.; Yamada, T.; Ono, Y.; Furukawa, M.; Ueda, A.; Ito, Y.; Aoyama, T.; et al. 10 Nm-Deep N+/p and P+/n Ge Junctions with High Activation Formed by Ion Implantation and Flash Lamp Annealing (FLA). In Proceedings of the 2016 16th International Workshop on Junction Technology (IWJT), Shanghai, China, 9–10 May 2016; IEEE: Piscataway, NJ, USA, 2016; pp. 77–80. [Google Scholar]
  10. Huet, K.; Mazzamuto, F.; Tabata, T.; Toqué-Tresonne, I.; Mori, Y. Doping of Semiconductor Devices by Laser Thermal Annealing. Mater. Sci. Semicond. Process. 2017, 62, 92–102. [Google Scholar] [CrossRef]
  11. He, Z. Analysis on the Development of Semiconductor Manufacturing Process. J. Phys. Conf. Ser. 2022, 2295, 012009. [Google Scholar] [CrossRef]
  12. Huet, K.; Toqué-Tresonne, I.; Mazzamuto, F.; Emeraud, T.; Besaucèle, H. Laser Thermal Annealing: A Low Thermal Budget Solution for Advanced Structures and New Materials. In Proceedings of the 2014 International Workshop on Junction Technology (IWJT), Shanghai, China, 18–20 May 2014; IEEE: Piscataway, NJ, USA, 2014; pp. 1–6. [Google Scholar]
  13. Huet, K.; Aubin, J.; Raynal, P.E.; Curvers, B.; Verstraete, A.; Lespinasse, B.; Kerdilès, S. Pulsed laser annealing for advanced technology nodes: Modeling and calibration. Appl. Surf. Sci. 2020, 505, 144470. [Google Scholar] [CrossRef]
  14. Venturini, J. Laser Thermal Annealing: Enabling Ultra-Low Thermal Budget Processes for 3D Junctions Formation and Devices. In Proceedings of the 2012 12th International Workshop on Junction Technology, Shanghai, China, 14–15 May 2012; IEEE: Piscataway, NJ, USA, 2012; pp. 57–62. [Google Scholar]
  15. Pey, K.L.; Lee, P.S. Pulsed Laser Annealing Technology for Nano-Scale Fabrication of Silicon-Based Devices in Semiconductors. In Advances in Laser Materials Processing; Elsevier: Amsterdam, The Netherlands, 2018; pp. 299–337. [Google Scholar]
  16. Jung, S.M.; Park, C.J.; Jeong, H.; Shin, M.W. Effect of Number of Laser Pulses on P+/n Silicon Ultra-Shallow Junction Formation during Non-Melt Ultra-Violet Laser Thermal Annealing. Mater. Sci. Semicond. Process. 2017, 60, 34–39. [Google Scholar] [CrossRef]
  17. Kubo, T.; Sukegawa, T.; Kase, M. Total Temperature Fluctuation of a Patternned Wafer in the Millisecond Annealing. In Proceedings of the 2008 16th IEEE International Conference on Advanced Thermal Processing of Semiconductors, Las Vegas, NV, USA, 30 September–3 October 2008; IEEE: Piscataway, NJ, USA, 2008; pp. 195–199. [Google Scholar]
  18. Caninenberg, M.; Verheyen, E.; Kiesler, D.; Stoib, B.; Brandt, M.S.; Benson, N.; Schmechel, R. Sample Temperature Profile during the Excimer Laser Annealing of Silicon Nanoparticles. Opt. Laser Technol. 2015, 74, 132–137. [Google Scholar] [CrossRef]
  19. Feng, L.M.; Wang, Y.; Markle, D.A. Minimizing Pattern Dependency in Millisecond Annealing. In Proceedings of the 2006 Interna-tional Workshop on Junction Technology, Shanghai, China, 15–16 May 2006; IEEE: Piscataway, NJ, USA, 2006; pp. 25–30. [Google Scholar]
  20. Bhattacharyya, A.; Streetman, B.G. Theoretical Considerations Regarding Pulsed CO2 Laser Annealing of Silicon. Solid State Commun. 1980, 36, 671–675. [Google Scholar] [CrossRef]
  21. Narayan, J.; James, R.B.; Holland, O.W.; Aziz, M.J. Pulsed Excimer and CO2 Laser Annealing of Ion-implanted Silicon. J. Vac. Sci. Technol. A Vac. Surf. Film. 1985, 3, 1836–1838. [Google Scholar] [CrossRef]
  22. Florakis, A.; Verrelli, E.; Giubertoni, D.; Tzortzis, G.; Tsoukalas, D. Non-Melting Annealing of Silicon by CO2 Laser. Thin Solid Film. 2010, 518, 2551–2554. [Google Scholar] [CrossRef]
  23. Blomberg, M.; Naukkarinen, K.; Tuomi, T.; Airaksinen, V.-M.; Luomajärvi, M.; Rauhala, E. Substrate Heating Effects in CO2 Laser Annealing of Ion-implanted Silicon. J. Appl. Phys. 1983, 54, 2327–2328. [Google Scholar] [CrossRef]
  24. de Unamuno, S.; Fogarassy, E. A Thermal Description of the Melting of C- and a-Silicon under Pulsed Excimer Lasers. Appl. Surf. Sci. 1989, 36, 1–11. [Google Scholar] [CrossRef]
  25. Weakliem, H.A.; Redfield, D. Temperature Dependence of the Optical Properties of Silicon. J. Appl. Phys. 1979, 50, 1491–1493. [Google Scholar] [CrossRef]
  26. Vandervorst, W.; Rosseel, E.; Lin, R.; Petersen, D.H.; Clarysse, T.; Goossens, J.; Nielsen, P.F.; Churton, K. Micro-uniformity during laser anneal:me trology and physics. MRS Online Proc. Libr. 2008, 1070, 1070-E01. [Google Scholar] [CrossRef]
  27. Lee, F.Y.; Wu, Y.S.; Joshi, A.; Basol, B.M.; Chang, C.H.; Lin, K.L. Annealing effects on electrical property depth profiles of BF2 and P implanted polycrystalline Si determined by differential hall effect metrology. J. Mater. Sci. Mater. Electron. 2022, 33, 16272–16285. [Google Scholar] [CrossRef]
Figure 1. D models and meshing. (a) Simulation model and (b) mesh quality(the upper surface of the wafer is defined as the z = 0 plane).
Figure 1. D models and meshing. (a) Simulation model and (b) mesh quality(the upper surface of the wafer is defined as the z = 0 plane).
Photonics 12 00359 g001
Figure 2. Schematic diagram of thermal diffusion at the edge (only the edges below 470 K are expressed, t = 8 ms).
Figure 2. Schematic diagram of thermal diffusion at the edge (only the edges below 470 K are expressed, t = 8 ms).
Photonics 12 00359 g002
Figure 3. Wafer temperature distribution (simulation of the temperature field distribution on the wafer surface at 8 ms of annealing). (a) Upper surface temperature distribution and (b) longitudinal temperature distribution.
Figure 3. Wafer temperature distribution (simulation of the temperature field distribution on the wafer surface at 8 ms of annealing). (a) Upper surface temperature distribution and (b) longitudinal temperature distribution.
Photonics 12 00359 g003
Figure 4. Partial enlarged view of the annealed area (the gray line marks the temperature interval of 10 K).
Figure 4. Partial enlarged view of the annealed area (the gray line marks the temperature interval of 10 K).
Photonics 12 00359 g004
Figure 5. Annealing temperature rise curves at different powers.
Figure 5. Annealing temperature rise curves at different powers.
Photonics 12 00359 g005
Figure 6. Comparison of the change trend of the actual annealing temperature and the equivalent temperature.
Figure 6. Comparison of the change trend of the actual annealing temperature and the equivalent temperature.
Photonics 12 00359 g006
Figure 7. Fitting of the linear relationship between the maximum temperature and the pyrometer data.
Figure 7. Fitting of the linear relationship between the maximum temperature and the pyrometer data.
Photonics 12 00359 g007
Figure 8. Diagram of the experimental setup.
Figure 8. Diagram of the experimental setup.
Photonics 12 00359 g008
Figure 9. Laser pulse waveform at duty cycle of 30%.
Figure 9. Laser pulse waveform at duty cycle of 30%.
Photonics 12 00359 g009
Figure 10. Spot intensity distribution along the long edge.
Figure 10. Spot intensity distribution along the long edge.
Photonics 12 00359 g010
Figure 11. Changes in annealing temperature and transmission power over time.
Figure 11. Changes in annealing temperature and transmission power over time.
Photonics 12 00359 g011
Table 1. Optical and thermo-physical properties of silicon.
Table 1. Optical and thermo-physical properties of silicon.
ParametersValueReference
K (W/cm·K)4.19 × 364 (Tx,y,z=0−1.226) for Tx,y,z=0 ≤ 1200 K
9 × T−0.502 for Tx,y,z=0∈(1200 K, 1600 K)
0.221 for Tx,y,z=0 ≥ 1600 K
[24]
Cp (J/g·K)0.695 × exp (2.375 × 10−4 Tx,y,z)[25]
P (g/cm2)2.3[25]
R0.28 for λ = 9.3 μm[25]
Disclaimer/Publisher’s Note: The statements, opinions and data contained in all publications are solely those of the individual author(s) and contributor(s) and not of MDPI and/or the editor(s). MDPI and/or the editor(s) disclaim responsibility for any injury to people or property resulting from any ideas, methods, instructions or products referred to in the content.

Share and Cite

MDPI and ACS Style

Wang, Z.; Wang, G.; Liu, M.; Li, S.; Xie, Z.; Hu, L.; Li, H.; Ning, F.; Zhao, W.; Ke, C.; et al. Laser Annealing of Si Wafers Based on a Pulsed CO2 Laser. Photonics 2025, 12, 359. https://doi.org/10.3390/photonics12040359

AMA Style

Wang Z, Wang G, Liu M, Li S, Xie Z, Hu L, Li H, Ning F, Zhao W, Ke C, et al. Laser Annealing of Si Wafers Based on a Pulsed CO2 Laser. Photonics. 2025; 12(4):359. https://doi.org/10.3390/photonics12040359

Chicago/Turabian Style

Wang, Ziming, Guochang Wang, Mingkun Liu, Sicheng Li, Zhenzhen Xie, Liemao Hu, Hui Li, Fangjin Ning, Wanli Zhao, Changjun Ke, and et al. 2025. "Laser Annealing of Si Wafers Based on a Pulsed CO2 Laser" Photonics 12, no. 4: 359. https://doi.org/10.3390/photonics12040359

APA Style

Wang, Z., Wang, G., Liu, M., Li, S., Xie, Z., Hu, L., Li, H., Ning, F., Zhao, W., Ke, C., Li, Z., & Tan, R. (2025). Laser Annealing of Si Wafers Based on a Pulsed CO2 Laser. Photonics, 12(4), 359. https://doi.org/10.3390/photonics12040359

Note that from the first issue of 2016, this journal uses article numbers instead of page numbers. See further details here.

Article Metrics

Back to TopTop