Abstract
In order to improve the imaging quality of the vehicle photoelectric servo system, image motion compensation under the vehicle platform is studied. Based on the principle of image motion compensation, combined with coordinate system transformation and velocity vector decomposition, the angular velocity compensation formula of a fast mirror in dynamic scanning imaging of a vehicle photoelectric servo system is obtained. A discrete sliding mode control algorithm based on the Kalman filter is proposed. The proposed algorithm and the discrete sliding mode control algorithm are simulated and compared to verify the system control performance. The simulation results show that the designed algorithm improves control accuracy by 76.3%, reduces overshoot by 75%, and improves response time by 31.25% compared with the discrete sliding mode control algorithm. The experimental platform is built to verify the experimental results. The experimental results show that the speed stability accuracy of the fast mirror is better than 19 μrad, which is 74.37% higher than that of the traditional control scheme. This study provides a reference for the follow-up study of image motion compensation in a vehicle photoelectric servo system.
1. Introduction
The vehicle photoelectric servo system equipped with an image motion compensation device realizes the detection of ecological targets by collecting image sequences. However, during the collection of image sequences, vehicle photoelectric servo system generates image motion due to image defocus, sensor noise, vehicle motion, and other factors. The existence of image motion severely limits the performance of the camera, making the captured image blurred or even unusable. Image motion will lead to a decrease in the imaging resolution of the vehicle photoelectric servo system, an enhancement of optical distortion, and a decrease in the signal-to-noise ratio of the image, among other issues [1]. The decrease in imaging resolution results in a reduction of the smallest size of detail that can be captured and displayed by the imaging system, difficulty in identifying image details, and distortion of image colors. Increased optical distortion results in distorted or warped image geometry, affects the visual appearance of the image, and adversely affects subsequent image processing and analysis. A decrease in the signal-to-noise ratio of the image leads to more noise in the image, interfering with the reception and resolution of the signal. In order to ensure clear imaging in the vehicle photoelectric servo system, it is necessary to compensate for image motion. The essence of image motion compensation is to maintain the relative stillness between the target’s image and the imaging medium throughout the camera’s exposure time. Based on the factors causing image motion, image motion in the vehicle photoelectric servo system can be categorized into three types: the image motion generated by the platform motion, the image motion generated by the turntable scanning imaging, and the image motion generated by the mechanical vibration. For the image motion generated by mechanical vibration, the shock absorber is generally added to reduce its influence on camera imaging [2], while other types of image motion need to be actively compensated by corresponding means. Currently, the most commonly used methods for image motion compensation primarily include image motion compensation for moving optical elements, image motion compensation for servo control, and electronic image motion compensation, among others [3,4,5,6].
In recent years, with the development of photoelectric detection devices, the requirements for image clarity in photoelectric servo systems have been continuously improved [7,8], and the traditional image motion compensation method is difficult to meet the requirements. The fast steering mirror has the advantages of fast response, high bandwidth, and high positioning accuracy, which is suitable for image motion compensation on a moving platform. At present, both domestic and international scholars have carried out research on image motion compensation technology based on fast steering mirrors. In 2008, Chi-Ying Lin of the University of California proposed a combination of repetitive control and adaptive control to improve the control accuracy and disturbance rejection ability of the fast steering mirror [9]. In 2014, J. M. Hilkert deduced the influencing factors of the pointing error of the fast steering mirror based on the plane mirror reflection law and gave the corresponding compensation equation for correction [10]. In 2016, Chongshang Sun proposed a fast steering mirror control strategy based on a disturbance observer and a zero-phase difference tracking controller. The control bandwidth of the fast steering mirror can reach 100 Hz [11]. In 2017, Kaidi Wang proposed a fast mirror control strategy based on ADRC. A fast mirror model for voice coil motors is established. The simulation shows that the stability time of the control system is 6 ms and the bandwidth is 102.2 Hz [12]. In 2019, Zhengxi Wang calculated the fast reflection image motion compensation formulas for aircraft flight image motion and scanning image motion, which were then verified by experiments [13]. In 2021, Jianjun Sun proposed a dual-frequency dynamic scanning and staring imaging system. Based on the principle of inner membrane control, a fast mirror control system was designed to compensate for image motion caused by the angular velocity of the aircraft and the balance frame, as well as wing speed [14]. In 2022, Xiongxiong Wu deduced the law of image motion compensation servo angle of fast steering mirrors located in parallel and convergent optical paths and analyzed the influence of defocus on optical system wave aberrations. The simulation results showed that MTF improved by 26.6% when the F-number was 8 and defocus was within 0.1 mm [15]. In 2024, Fangchao Zhai proposed a new steering mirror compensation technology for photoelectric stabilized platforms, which solved the nonlinear problem of the traditional reflection vector method [16]. However, existing studies mainly address image motion compensation for airborne platforms using the speed-to-height ratio. The problem of image motion compensation for vehicle-mounted platforms with unknown scene-to-platform distances remains unstudied.
This paper mainly investigates the image motion compensation problem with an unknown distance between the scene and the platform on the vehicle platform. Firstly, a forward image motion compensation model is constructed for the vehicle platform. The distance between the platform and the scene and the image motion compensation angular velocity are obtained by coordinate system transformation and velocity vector decomposition. The discrete sliding mode control algorithm based on the Kalman filter (KF-DSMC) is designed. The control performance of KF-DSMC and the discrete sliding mode control algorithm (DSMC) is verified in simulation. Finally, the image motion compensation effect is verified by experiments.
2. Fast Steering Mirror and Forward Image Motion Compensation Model Derivation
The fast steering mirror control system comprises a fast steering mirror, a flexible supporting structure, an executive mechanism, and a pedestal. The moment-equilibrium equation for the fast steering mirror when it is fixed is as follows:
In the formula, is fast steering mirror control torque, is the equivalent inertia of the mirror and the flexible support structure, is the output attitude angle for the mirror, is axial torsional stiffness for flexible support, is the equivalent damping coefficient of flexible support and voice coil motor, and is the distance from the force action point of the voice coil motor to the rotating shaft of the mirror. Theoretically, the higher the order is, the better the effect of mathematical model fitting is, but the parameter design of the control system is more complicated. Considering that within the scope of our main concern, the fitting errors of second-order and third-order mathematical models are similar; therefore, a simpler second-order oscillation model is chosen as the fitting approach. The fitting frequency domain transfer function model of the fast steering mirror is as follows:
In the formula, is the motor torque coefficient, is the output attitude angle for the mirror, is the input voltage of the voice coil motor, and is the coil internal resistance. l is the coil inductance, is the motor electromotive force coefficient, is the equivalent inertia of the mirror and the flexible support structure, is axial torsional stiffness of the flexible support, is the equivalent damping coefficient of flexible support and voice coil motor, is the mass of the voice coil motor mover, and is the distance from the force action point of the voice coil motor to the rotating shaft of the mirror. The dynamic scanning imaging process of the vehicle photoelectric servo system is vehicle platform moves in a fixed direction, and the servo turntable installed on the vehicle platform scans at a constant speed. The fast steering mirror performs a reverse sweep-back motion to compensate for the image motion caused by the vehicle motion and the turntable scanning, so that the visual axis remains stationary during the camera exposure time. After the current frame image is imaged, the fast mirror returns to the initial position for the next frame image exposure. The basic principle of image motion compensation applied in this study is to compensate the image motion caused by the motion of the vehicle platform in the dynamic scanning process of the vehicle photoelectric servo system by controlling the reverse sweep of the fast reflector, so that the image of the target and the imaging medium remain relatively static during the exposure time of the camera. The imaging model of the vehicle photoelectric servo system is shown in Figure 1. h is the height difference between scene A and the vehicle platform in the vehicle coordinate system. P and Q are the initial position and the position after movement in the vehicle coordinate system, respectively. Scene A is a point in the imaging region. is the pointing angle of P point to A, is the pointing angle of point Q to point A. γ is the angle between the moving direction of the vehicle and the X-axis of the vehicle coordinate system, α is the angle between PA and PQ, β is the angle between QA and PQ, is the angle between PA and QA. V is the direction speed of vehicle motion in vehicle coordinate system. In order to calculate the forward image motion angular velocity of the Q point, V is decomposed as shown in Figure 2. denotes the velocity component perpendicular to QA, which is the moving line velocity of point A forward image. denotes the velocity component along the QA direction.
Figure 1.
Vehicle photoelectric servo system imaging model.
Figure 2.
Velocity vector decomposition diagram.
The velocity vector of the vehicle coordinate system can be decomposed into the vector along the QA direction and the vector perpendicular to the QA direction . The vehicle platform actually only moves in the xoy plane. The z-axis velocity can be assumed to be equal to 0, and does not produce image motion but only leads to a slight increase in the object distance. The image motion generated by the image motion of the vehicle platform is mainly determined by . The decomposition diagram of the velocity vector is shown in Figure 2 [17]. The velocity vector decomposition diagram is shown in Figure 2.
Ground coordinate system -axis, pointing to the geographic east, -axis pointing to the geographic north pole, -axis, upwards from the vertical ground plane. Vehicle coordinate system vehicle coordinate system is a coordinate system that is referenced to itself and can be obtained by transforming the ground coordinate system, point P in the vehicle coordinate system is (), point A in the vehicle coordinate system is (, and point Q in the vehicle coordinate system is (). The coordinate system transformation diagram is shown in Figure 3.
Figure 3.
Coordinate system transformation diagram.
The transformation from the ground coordinate system to the vehicle coordinate system can be regarded as a rotation of the coordinate system. At the initial moment, the angles between the vehicle coordinate system and the ground coordinate system are w along the z-axis, r along the y-axis, and q along the x-axis. The transformation process from the ground coordinate system to the vehicle coordinate system is as follows: The ground coordinate system is rotated by an angle w around the z-axis, then by an angle q around the x-axis, and finally by an angle r around the y-axis, resulting in the vehicle coordinate system.
The formula of the w angle of the ground coordinate system rotating around the z-axis is as follows:
In the formula, is the initial coordinate, and is the coordinate of the ground coordinate system after rotating around the z-axis.
The formula for rotating the q-angle of the ground coordinate system around the x-axis is as follows:
In the formula, is the initial coordinate, and is the coordinate of the ground coordinate system after rotating around the x-axis.
The formula for rotating the r-angle of the ground coordinate system around the y-axis is as follows:
In the formula, is the initial coordinate, and is the coordinate of the ground coordinate system after rotating around the y-axis.
From the rotation formula of the ground coordinate system around the x-axis, y-axis, and z-axis, the transformation matrix from the ground coordinate system to the vehicle coordinate system can be obtained as follows:
The vehicle speed vector is given by the inertial navigation system, which is a vector relative to the geodetic coordinate system. It needs to be converted into , which is a vector in the vehicle coordinate system.
The unit space pointing vectors of P point and Q point are calculated by the azimuth ϖ and pitch angle ζ given by the encoder. The azimuth angle of the encoder at P point is , and the pitch angle is .The azimuth angle of the encoder at the Q point is , and the pitch angle is .
The pointing angles of P and Q points are as follows:
The unit visual axis direction vector of P and Q points in the vehicle coordinate system is as follows:
The coordinates of A point in the vehicle coordinate system is as follows:
By solving the unit visual axis pointing vector of P and Q points in the vehicle coordinate system, the coordinates of point A in the vehicle coordinate system and other conditions are combined with the angular velocity calculation formula. The angular velocity compensation formula of the fast mirror is obtained as follows:
In the formula, is the compensation angular velocity of the fast steering mirror in the forward image motion model, is the velocity vector perpendicular to the QA direction, is the distance between the Q point and the scene A point, is the angle between the PQ and the QA, is the velocity vector in the vehicle coordinate system, and is the velocity vector in the ground coordinate system. is the angle between the motion direction of the vehicle platform and the x-axis direction. ( is the coordinate of point A in the vehicle coordinate system, ( is the coordinate of point Q in the vehicle coordinate system, ( is the coordinate of point P in the vehicle coordinate system, ϖp, ζp is the pointing angle of the encoder on the axis, T is the motion time, and is the angle between the ground coordinate system and the vehicle coordinate system.
3. Design of Discrete Sliding Mode Control Algorithm Based on the Kalman Filter
In order to compensate for forward image motion in vehicle photoelectric servo systems during dynamic scanning, we designed the KF-DSMC algorithm by combining the fast steering mirror model with modern control theory.
The control block diagram of the servo system is shown in Figure 4. The inertial guidance system outputs the vehicle’s velocity in the ground system in real time, which is then converted to the vehicle’s velocity in the vehicle coordinate system using the forward image shift model. Finally, the angular velocity of the fast mirror to be compensated in the vehicle coordinate system is solved. The input of the system is the angular velocity compensated by the fast-reflecting mirror, and the angular velocity of the fast-reflecting mirror corrected by the sliding mode controller is the output of the system and the feedback input, which completes the closed-loop design of the control system.
Figure 4.
Servo system control block diagram.
The control block diagram of KF-DSMC is shown in Figure 5. The control block diagram comprises six components: the Kalman filter module, the discrete sliding mode controller module, the input module, the output module, the disturbance module, and the controlled object module. Notably, the Kalman filter and the discrete sliding mode controller operate independently, allowing for separate design considerations [18]. The Kalman filter can compensate the external disturbance and noise, weaken the influence of external disturbance and noise on the angular velocity of the scanning mirror, and obtain the ‘real’ angular velocity of the scanning mirror. Then, the discrete sliding mode controller is used to design the speed tracking control law of the fast steering mirror, so that the mirror can track the desired compensation angular velocity quickly and accurately.
Figure 5.
KF-DSMC control block diagram.
Due to the serious process noise and random noise in the actual application environment of the system, the state space equation in the discrete state of the fast steering mirror can be expressed as follows:
In the formula, and are the state vectors of the system at time k + 1 and time k, respectively. A, B, C, D are state space equation matrices of the fast steering mirror. is the control variable, is the output of the system at time k, is the process noise signal, is the measurement noise signal, and satisfy the normal distribution, and the probability density function is as follows:
Q and R are the covariance of and , respectively. The Kalman filter first predicts the initial state and predicts the system state estimate at time k through the system state estimate at time k − 1. Then, the covariance matrix is predicted by the state transition matrix and the covariance Q of the process noise signal . Calculate the Kalman filter gain based on the principle of minimizing the root-mean-square error to make the estimate closer to the true value. Finally, the system state estimate is obtained from the Kalman filter gain, the estimated system state at moment k, the observation matrix H, and other variables, while updating the covariance matrix .
The fast mirror speed command is , and the fast mirror acceleration command is , definition: . The fast mirror sweep-back process is affected by its own transfer function, external perturbations, and other factors, resulting in a difference between the output value and the commanded value . Definition:
. The linear extrapolation method is used to predict .
In the formula, , and are the velocity commands of the fast reflex mirror at moments k + 1, k, and k − 1, respectively.
The discrete variable speed convergence rate [19] is as follows:
In the formula, is system state paradigm, is the scale factor, T is the system sampling time, and is the sign function.
The error E-based design switching function is given by the following:
In the formula, = [f, 1] is the coefficient matrix, and f is the tracking coefficient. The switching function at moment k + 1 is as follows:
Combining the discrete variable speed convergence law (13) and the switching function (15) yields a discrete sliding mode control law based on the variable speed convergence rate:
Because the Kalman filter takes system noise and measurement noise into account in modeling, it has high estimation accuracy and anti-interference ability [20]. Optimizing the selection of the best Kalman filter gain makes the estimated state of the Kalman filter closer to the real state of the system and minimizes the root-mean-square error. According to the principle of minimum mean square error, the system can adaptively adjust the value of the Kalman gain in real time under the influence of external disturbances and noise and optimize control parameters, thereby bringing the fast steering mirror closer to the actual motion state and improving the control accuracy of the system.
4. Simulation Analysis
Due to the high frame rate of the dynamic scanning imaging of the vehicle photoelectric servo system, the fast mirror compensation mechanism is required to have high response speed and stable accuracy. The camera off-target volume frame rate is 100 Hz, and the simulation sampling time is set to 0.01 s. The controller parameters are designed as follows: A = [−2.118, 0;1, 0], B = [0.4706;0], C = [0, 1], D = [0], Q = 0.02, R = 0.001, = [100, 1], and = 5. Comparisons are made in the simulation software to verify the differences in the amount of overshooting, step response time, and stabilization accuracy of the fast-reflecting mirror under the two control algorithms of KF-DSMC and DSMC.
In order to verify the difference in the step response characteristics, specifically the response time and overshoot, of the fast steering mirror under the KF-DSMC and DSMC control algorithms, a step input signal with an amplitude of 1° is applied through the input module, as per the experimental setup. The two control algorithms select the same parameters in the discrete sliding mode control module. Step response experiments are performed on the system, and the two algorithms are compared and analyzed as shown in Figure 6.
Figure 6.
Step response signal diagram.
The results show that the DSMC algorithm reaches a steady state in 0.33 s with 0.5% overshooting. The KF-DSMC algorithm reaches a steady state in 0.48 s with 2% overshooting. According to the simulation experiments, the KF-DSMC algorithm reduces the response time by 31.25% and the overshoot by 75%, which is an obvious advantage.
The dynamic scanning imaging process of a vehicle photoelectric servo system, influenced by vibration, is typically analyzed using the vehicle platform’s vibration spectrum. The vibration spectrum measured when the vehicle platform travels at a speed of 10 m/s is depicted in Figure 7.
Figure 7.
Vibration spectrum of a car traveling at 10 m/s.
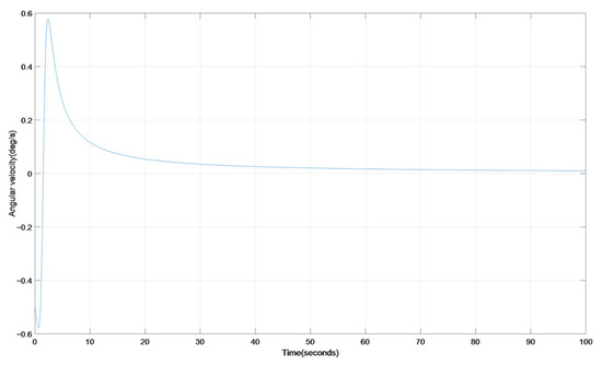
To verify the stabilization accuracy difference of the fast mirror under KF-DSMC and DSMC control algorithms, a sinusoidal signal with an amplitude of 3° and a frequency of 0.077 Hz is added to the input module. The vehicle platform’s vibration spectrum signal post-shock absorption is added to the disturbance module, with process noise and random noise set as Gaussian white noise and added to the noise module. The process noise signal diagram is shown in Figure 8a, and the random noise signal diagram is shown in Figure 8b.
Figure 8.
Noise signal diagrams. (a) Process noise signal diagram. (b) Random noise signal diagram.
The forward image motion model and the state space equation are used to complete the parameter tuning, and the process noise and random noise are introduced to assess and compare the control effects of the two control methods. The sinusoidal signal tracking diagram is shown in Figure 9, and the sinusoidal signal stability accuracy error diagram is shown in Figure 10.
Figure 9.
Sinusoidal signal tracking diagram.
Figure 10.
Stabilization accuracy error plot for sinusoidal signals.
The results show that the DSMC algorithm has a peak tracking error of 370.8 μrad, and the RMS of the DSMC algorithm is 61.86 μrad; the KF-DSMC algorithm has a peak tracking error of 49.54 μrad, and the RMS of the KF-DSMC algorithm is 14.6 μrad. According to the simulation experiments, the KF-DSMC algorithm improves 76.3% in stabilization accuracy, which is a significant improvement.
5. Experimental Verification
In order to verify the image motion compensation effect of the vehicle photoelectric servo system after using the above algorithm. The experimental platform is built to install the image motion compensation device on the vehicle platform. The laser is installed in a fixed position. After the point light source emitted by the laser enters the field of view of the image motion compensation mechanism, the image motion compensation experiment of the point light source by the vehicle photoelectric servo system is carried out. During the entire experiment, the laser is always static to avoid the interference caused by the movement of the equipment. The vehicle photoelectric servo system moves in a fixed direction. The inertial navigation system outputs the vehicle speed vector in the ground coordinate system in real time and converts it into the vehicle speed vector in the vehicle coordinate system. The angular velocity compensation formula of the fast steering mirror is solved by the forward image motion compensation model. The DSMC algorithm and the KF-DSMC algorithm are used for image motion compensation, respectively. The vehicle photoelectric servo system is shown in Figure 11a, and the image motion compensation device is shown in Figure 11b.
Figure 11.
Field experiment diagram. (a) Image motion compensation device diagram and vehicle photoelectric servo system diagram. (b) Image motion compensation device diagram.
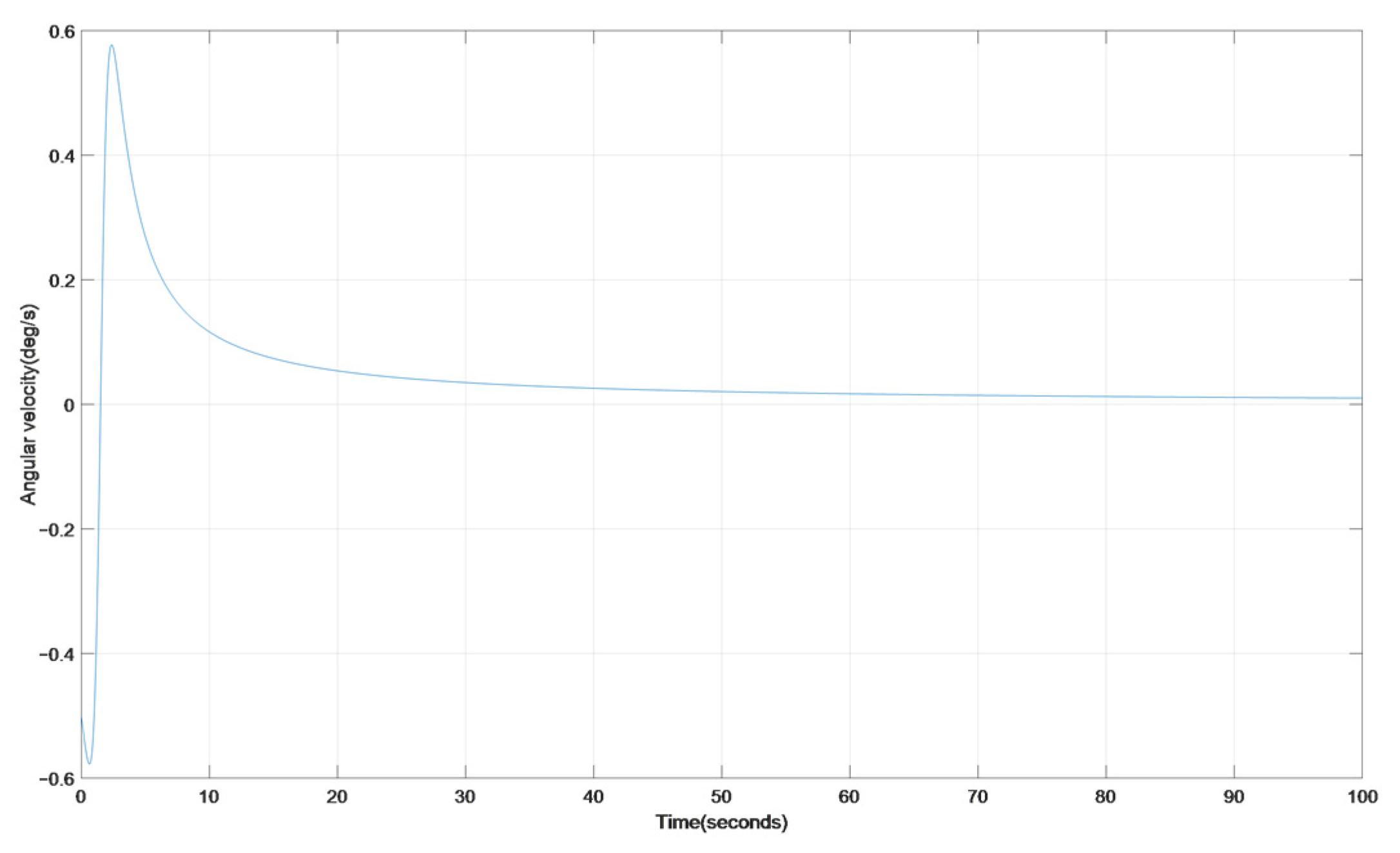
The image motion compensation device is installed on the vehicle platform, and the image motion compensation device and the vehicle platform together constitute the vehicle photoelectric servo system. The dynamic scanning imaging process of the vehicle-mounted photoelectric servo system is as follows: the vehicle moves in a fixed direction, the servo turntable installed on the vehicle platform scans at a constant speed, and the fast mirror performs a reverse back-scanning motion to compensate for the image motion caused by the vehicle movement and the turntable scanning, so that the visual axis remains stationary during the camera exposure time. After the current frame image is captured, the fast mirror returns to the initial position for the next frame image exposure. Through the fast steering mirror forward image motion compensation model, the fast steering mirror angular velocity compensation formula is obtained, and the formula is used to compensate the image motion of the vehicle photoelectric servo system caused by the motion of the vehicle platform. The angular velocity compensation value of the fast steering mirror in the experiment can be obtained by the forward image motion compensation model. Forward image motion compensation model parameters are as follows: The γ angle is 37°, the velocity vector measured by the inertial navigation is , the velocity vector after the coordinate system transformation is , the coordinates of the P point are (0, 0, 0), the sampling time is 0.01 s, the travel distance is 1 km, the travel speed is 10 m/s, and the encoder pointing angle is given by the host computer. The angular velocity curve of the image motion compensation based on the above parameters is shown in Figure 12, and the accuracy error of the fast steering mirror speed stabilization is shown in Figure 13.
Figure 12.
Angular velocity curve of image motion compensation.
Figure 13.
Stabilization accuracy error of fast steering mirror.
The angular velocity data of 1000 fast steering mirrors in 0–10 s are recorded by the upper computer to calculate the RMS value of the speed stability accuracy of the fast steering mirror. The experimental results show that the RMS value of the speed stability error of the fast steering mirror after the KF-DSMC algorithm is 18.72 μrad, and the speed stability error of the fast steering mirror after the DSMC algorithm is 73.04 μrad, which is 74.37% higher than that of the traditional algorithm. At the same time, the simulation results are verified. The image motion compensation effect of the vehicle-mounted photoelectric servo system on the point light source is shown as follows. The picture without image motion compensation is shown in Figure 14a, and the picture with image motion compensation is shown in Figure 14b.
Figure 14.
Image motion compensation comparison diagrams. (a) Image without image motion compensation. (b) Image after image motion compensation.
6. Discussion and Conclusions
In the research of image motion compensation for moving platforms, the main research direction of most researchers is the image motion compensation under the airborne platform, which compensates the image motion of the system caused by the motion of the airborne platform through the speed–height ratio of the aircraft.There are few related research articles on image motion compensation under the vehicle platform, and most of them compensate for the image motion caused by the motion of the vehicle platform through the method of electronic image stabilization. However, the image motion compensation method of electronic image stabilization has poor anti-disturbance ability. When the vibration of the vehicle platform is large, the image motion compensation accuracy is low, and the effect is poor.
In this paper, we propose an image shift compensation method for the distance between an unknown platform and a scene under vehicle-mounted platforms. The forward image motion model of the fast steering mirror and the vehicle platform is constructed to solve the compensation angular velocity of the fast steering mirror image motion. Aiming at the nonlinear perturbations existing in the process of practical application, a discrete sliding mode controller based on the Kalman filter is designed, and the efficacy of this proposed algorithm is validated through both simulation and field experiments. The simulation results show that the response time of the fast steering mirror is shortened by 31.25%, the overshooting is reduced by 75%, and the stability accuracy is improved by 76.3% after using the KF-DSMC algorithm. The experimental results demonstrate that the velocity control accuracy of the fast reflector using the KF-DSMC algorithm reaches 18.72 μrad, marking a 74.37% improvement over conventional methods. According to the simulation and experimental results, the image motion compensation method proposed in this paper has high engineering application value, which plays a certain role in promoting the application of image motion compensation in mobile monitoring, remote sensing mapping, regional supervision, emergency monitoring, panoramic imaging system, and so on.
In the current work of this study, due to the limitation of experimental conditions, we only carried out the image motion compensation experiment of the vehicle photoelectric servo system on the point light source. Through this experiment, we successfully verified the effect of the designed fast mirror angular velocity compensation formula and the discrete sliding mode control algorithm based on the Kalman filter on image motion compensation. In future work, we plan to deploy the vehicle-mounted photoelectric servo system in the field environment, carry out verification experiments on the image motion compensation effect for natural biological targets, and verify the image motion compensation effect of the vehicle-mounted photoelectric servo system on biological targets. At the same time, there are many parameters to be adjusted in the control algorithm designed at this stage, which we plan to simplify in the future.
Author Contributions
Conceptualization, M.Z. and Y.T.; methodology, M.Z. and J.F.; software, M.Z.; validation, M.Z. and Y.T.; formal analysis, M.Z.; investigation, T.L.; resources, M.Z.; data curation, T.L.; writing—original draft preparation, M.Z.; writing—review and editing, T.L.; visualization, J.F.; supervision, Y.T.; project administration, Y.T. and J.F.; funding acquisition, T.L., J.F. and Y.T. All authors have read and agreed to the published version of the manuscript.
Funding
This work was supported by the Opening Funding of the National Key Laboratory of Electromagnetic Space Security, China (2023JCJQLB044010). This work was also supported by the Eighth Batch of the Jilin Province Youth Science and Technology Talent Support Project (QT202429).
Institutional Review Board Statement
Not applicable.
Informed Consent Statement
Not applicable.
Data Availability Statement
Data underlying the results presented in this paper are not publicly available at this time but may be obtained from the authors upon reasonable request.
Conflicts of Interest
The authors declare no conflicts of interest.
References
- Lihua, Y. Research on Key Technologies of Panoramic Image Stabilization Based on Vehicle Motion Platform. Ph.D. Thesis, University of Chinese Academy of Sciences (Shanghai Institute of Technical Physics, Chinese Academy of Sciences), Shanghai, China, 2018. [Google Scholar]
- Yixian, Q.; Xiaowei, C.; Xiaodong, G.; Liang, W.; Li, X.Y. Analysis of the influence of vibration on the imaging quality of aerial CCD camera. Electro Opt. Control 2008, 15, 55–58+66. [Google Scholar] [CrossRef]
- Yang, Y.; Yu, C.; Wang, Y.; Hua, N.; Kuang, H. Imaging attitude control and image motion compensation residual analysis based on a three-axis inertially stabilized platform. Appl. Sci. 2021, 11, 5856. [Google Scholar] [CrossRef]
- Li, Y.; Liu, F.; Sun, J.; Li, X.; Li, J. Compensation method for image motion of airborne camera based on fast-steering mirror. In Proceedings of the Third International Conference on Mechanical Design and Simulation (MDS 2023), Xi’an, China, 3–5 March 2023; SPIE: St Bellingham, WA, USA, 2023; Volume 12639. [Google Scholar]
- Chang, S.; Chen, W.; Cao, J.; Mei, C.; Li, X.; Zhang, H. Research on 2D Image Motion Compensation for a Wide-Field Scanning Imaging System with Moving Base. Photonics 2023, 10, 1305. [Google Scholar] [CrossRef]
- Dohr, S.; Muick, M.; Schachinger, B.; Gruber, M. Image Motion Compensation—The Vexcel Approach. Int. Arch. Photogramm. Remote Sens. Spat. Inf. Sci. 2022, 43, 333–338. [Google Scholar] [CrossRef]
- Deng, J.; Bao, Q.; Wang, Y.; Mao, Y. Special Issue on Advances in Photoelectric Tracking Systems: An Overview. Photonics 2024, 11, 314. [Google Scholar] [CrossRef]
- Wu, D.; Mo, Z.; Li, X.; Ren, X.; Shi, Z.; Li, X.; Zhang, L.; Yu, X.; Peng, H.; Zeng, L.; et al. Integrated mid-infrared sensing and ultrashort lasers based on wafer-level Td-WTe2 Weyl semimetal. Appl. Phys. Rev. 2024, 11, 041401. [Google Scholar] [CrossRef]
- Lin, C.-Y.; Chen, Y.-C.; Tsao, T.-C.; Gibson, S. Laser beam tracking by repetitive and variable-order adaptive control. In Proceedings of the 2008 American Control Conference, Seattle, WA, USA, 1–13 June 2008; pp. 2371–2376. [Google Scholar]
- Hilkert, J.M.; Kanga, G.; Kinnear, K. Line-of-sight kinematics and corrections for fast-steering mirrors used in precision pointing and tracking systems. In Proceedings of the Airborne Intelligence, Surveillance, Reconnaissance (ISR) Systems and Applications XI, Baltimore, MD, USA, 7–8 May 2014; SPIE: St Bellingham, WA, USA; Volume 9076. [Google Scholar]
- Sun, C. Research on High-Precision and Broadband Scanning Image Motion Compensation Technology Based on Fast Steering Mirror. Ph.D. Thesis, Graduate Institute of Chinese Academy of Sciences (Changchun Institute of Optics, Fine Mechanics and Physics), Changchun, China, 2016. [Google Scholar]
- Wang, K.; Su, X.; Li, Z.; Wu, S. ADRC system of FSM for image motion compensation. In Proceedings of the Second International Conference on Photonics and Optical Engineering, Xi’an, China, 14–17 October 2016; SPIE: St Bellingham, WA, USA, 2017; Volume 10256. [Google Scholar]
- Wang, Z. Research on High-Precision Visual Axis Stability and Image Motion Compensation Control Technology of Airborne Photoelectric Reconnaissance Platform. Ph.D. Thesis, University of Chinese Academy of Sciences (Changchun Institute of Optics, Fine Mechanics and Physics, Chinese Academy of Sciences), Changchun, China, 2019. [Google Scholar]
- Sun, J.; Ding, Y.; Zhang, H.; Yuan, G.; Zheng, Y. Conceptual Design and Image Motion Compensation Rate Analysis of Two-Axis Fast Steering Mirror for Dynamic Scan and Stare Imaging System. Sensors 2021, 21, 6441. [Google Scholar] [CrossRef] [PubMed]
- Wu, X.; Luan, Y.; Wang, H.; Zheng, F.; Wang, M.; Ma, L.; Wu, Y. Research on image shift compensation technology for aviation optoelectronic imaging system. Appl. Opt. 2022, 43, 424–429. [Google Scholar]
- Zhai, F.; Zeng, Q.; Mao, F.; Wang, H.; Li, J. Optical stabilization platform mirror compensation technique based on false image motion analysis. J. Opt. 2024, 44, 111–117. [Google Scholar]
- Yang, Y.; Li, X.; Kuang, H.; Zheng, L.; Wang, D. Analysis and compensation of image shift in turn imaging of an aerial pendulum swept camera. Opt. Precis. Eng. 2016, 24, 635–642. [Google Scholar] [CrossRef]
- Li, C.; Wang, Z. Study on the velocity tracking of galvanometer by combining Kalman filter and discrete sliding mode. J. Jiangxi Norm. Univ. Nat. Sci. Ed. 2022, 46, 322–330. [Google Scholar]
- Song, L.; Wen, H.; Yao, Q. Variable speed convergence law for discrete variable structure control systems. J. Nav. Eng. Coll. 1999, 3, 16–21. [Google Scholar]
- Gao, F. Speed Sensorless Control of Synchronous Reluctance Motor Based on Kalman Filter. Ph.D. Thesis, Xi’an University of Technology, Xi’an, China, 2023. [Google Scholar]
Disclaimer/Publisher’s Note: The statements, opinions and data contained in all publications are solely those of the individual author(s) and contributor(s) and not of MDPI and/or the editor(s). MDPI and/or the editor(s) disclaim responsibility for any injury to people or property resulting from any ideas, methods, instructions or products referred to in the content. |
© 2025 by the authors. Licensee MDPI, Basel, Switzerland. This article is an open access article distributed under the terms and conditions of the Creative Commons Attribution (CC BY) license (https://creativecommons.org/licenses/by/4.0/).













