Next Article in Journal
Decoding Anomalous Diffusion Using Higher-Order Spectral Analysis and Multiple Signal Classification
Next Article in Special Issue
Three-Dimensional Localization of Underwater Nodes Using Airborne Visible Light Beams
Previous Article in Journal
Theoretical Comparative Study on the Efficiency of High-Power Long-Distance Laser Power Transmission for Flight Systems
Previous Article in Special Issue
An Optical Differential Method for Underwater Wireless Communication in Turbid Environments
 
 
Font Type:
Arial Georgia Verdana
Font Size:
Aa Aa Aa
Line Spacing:
Column Width:
Background:
Article

Asymmetric Modulation Physical-Layer Network Coding Based on Power Allocation and Multiple Receive Antennas in an OFDM-UWOC Three-User Relay Network

1
Ministry of Education Key Laboratory of Cognitive Radio and Information Processing, School of Information and Communication, Guilin University of Electronic Technology, Guilin 541004, China
2
Guangxi Wireless Broadband Communication and Signal Processing Key Laboratory, Guilin University of Electronic Technology, Guilin 541004, China
*
Author to whom correspondence should be addressed.
Photonics 2025, 12(2), 144; https://doi.org/10.3390/photonics12020144
Submission received: 8 December 2024 / Revised: 27 January 2025 / Accepted: 7 February 2025 / Published: 10 February 2025

Abstract

In relay-assisted underwater wireless optical communication (UWOC) systems, the traditional time-division-multiplexed relay forwarding strategy faces high latency and low throughput with the increase of relay users. To address these issues, this paper proposes a multiple receiving antenna power allocation-based bit splicing physical layer network coding (MRA-PABS-PNC) method in a three-user asymmetric modulated relay-assisted UWOC scenario. MRA-PABS-PNC reduces the number of multiple access time slots by using multi-antenna reception techniques. At the same time, it employs a bit-splicing method to concatenate the data that would normally be transmitted over two-time slots into a longer data stream transmitted in a single time slot, thus reducing the number of broadcast time slots and ultimately improving throughput. Moreover, this paper models and determines the optimal position and angle of the relay node photodetector. Once the relay node is positioned at the optimal location and angle, the system can allocate power to each user node based on the channel state information to overcome the effect of asymmetric channels on PNC coding, thereby further improving system performance. Simulation results show that the method improves the throughput by 100% compared with the existing four-time slot PNC (FT-PNC) method.

1. Introduction

Underwater wireless optical communications (UWOCs), as high-rate and low-latency technology for underwater communication, have received significant attention [1,2,3]. However, the directionality of light presents a challenge: obstacles in the communication link may interrupt the communication, such as a school of fish or a seamount. The dependence on line-of-sight links can be mitigated by adding relay nodes to the communication link, as shown in Figure 1. In addition, the distance of UWOC can be further extended with the help of relay communication technology.
In 2015, D. E. Lucani et al. [4] showed that the throughput performance could be optimized by placing nodes near the midpoint between a source node and a destination node. However, for duplex relay communication systems, the throughput performance is not solely determined by the location of relay nodes. A poor information exchange strategy may lead to signal mixing, resulting in a degradation of the throughput performance. The time-division multiplexing method is often used to avoid signal mixing, but this method has high latency and low throughput. To address these issues, the physical layer network coding (PNC) technique was first proposed by S. Zhang [5], which can effectively reduce the latency and improve the throughput of the relay network. At present, PNC technology has been studied in radio frequency [6] and visible light communication (VLC) systems [7,8]. Recently, an adaptive PNC (APNC) scheme based on the amplify-and-forward method has been used in relay VLC systems to improve the throughput [9]. However, the amplify-and-forward method may lead to noise accumulation and negatively affect bit error rate (BER) performance. The authors of [10] studied the PNC method of multiple-user relay communication systems, classified the multi-user PNC into nine basic topologies, and gave the optimal PNC scheme for each topology. However, the inconsistency of modulation order among users was not discussed; therefore, in the asymmetric modulation scenario, the practicability of the proposed scheme needs to be verified. The relay topology is studied in [10]. If the other relay networks can be linearly composed of the topologies studied in this paper, the method of this paper can continue to be used to realize high-throughput communication. Otherwise, it will be necessary to combine the optimal PNC schemes of other basic topologies to achieve optimal system performance.
Asymmetric modulation situations also occur frequently in multi-user relay communication links. For example, a sensor node needs to send a large amount of data using high-order modulation, while an underwater robot only needs to reply with an acknowledgment signal. In order to solve this problem, the authors of [11] proposed an asymmetrically modulated PNC scheme in a scenario where one user uses binary phase shift keying (BPSK) modulation and the other user uses quadrature phase shift keying (QPSK) modulation. However, this scheme is limited to scenarios involving BPSK and QPSK modulation and does not encompass a comprehensive analysis of higher-order modulation schemes. The authors of [12] pointed out that for any PNC scheme with quadrature amplitude modulation (QAM) order greater than 4, there is a mapping ambiguity. The authors also proposed a PNC mapping method for high-order QAM. However, the method is only applicable to square QAM signals. In 2022, S. Zhang et al. [13] proposed an asymmetric modulation PNC scheme based on lattice code decoding, which allows relay nodes to use QAM signals of different orders. However, the scheme requires the combination of PNC with the corresponding channel coding to be used, and the PNC coding and decoding scheme are complex. The above references solve the problem of how to perform asymmetric modulation of PNC, but most of the scenarios are in a two-way relay channel (TWRC). When the PNC technique is applied in relay communication networks, it may concern multi-node information exchange, so the design of a multi-user PNC strategy considering asymmetric modulation remains to be studied.
In this paper, we propose a multiple receiving antenna power allocation-based bit splicing physical layer network coding (MRA-PABS-PNC) method to improve the throughput and reduce the latency of multi-user relay-assisted UWOC networks. Meanwhile, the method optimizes the best region and PD angle for the relay node based on PNC coding performance modeling. In this region, the MRA-PABS-PNC method can allocate the transmit power of each user node according to the location of the relay node to overcome the effect of asymmetric channels on PNC coding. Our main contributions are summarized as follows:
  • To improve the throughput of the three-user relay communication system, an MRA-PABS-PNC method is proposed. This method reduces the original four-time slots scheme to two time slots by using multiple receive antennas and bit splicing methods, thereby increasing the throughput of the relay system. Meanwhile, the power allocation method effectively combats the interference caused by asymmetric channels.
  • When the receiving antenna of the relay node inevitably receives interference optical signals due to angular reasons, it leads to PNC encoding failure. In this case, the PABS-PNC method, which has a slightly lower throughput performance compared to the MRA-PABS-PNC method, can be used. This method ensures that the relay node receives controllable superimposed signals by properly managing the optical signals transmitted by the users. At the same time, the method retains the power allocation strategy to counter the effects of asymmetric channels.
  • To further improve system performance, this paper models and solves the optimal relay node position and PD angle in the MRA-PABS-PNC and PABS-PNC methods, deriving the best relay position and PD angle for both methods.

2. System Model

In this paper, we assume that each user equipment (UE) node is equipped with a light source and a detector. The light source follows the Lambertian radiation model, which is used to describe the radiated power distribution of light-emitting diode (LED) beam transmission. This study considers weak turbulent channels. The signal fading caused by turbulence can be viewed as the intensity of the received optical signal unaffected by turbulence multiplied by a fading coefficient [14]. Then, the turbulent channel direct current gain between nodes can be calculated by the following equation; the turbulence attenuation factor α is obtained by the acceptance/rejection method [15]:
h ^ k , m = α η t η r m + 1 2 π cos m ( ϕ k , m ) A e f f ( L , ψ ) exp ( c ( λ ) L ) , 0 ψ ψ c 0 , ψ > ψ c
where m = ln 2 / ln cos ϕ 1 / 2 is the Lambertian radiation order, η t and η r respectively represent the conversion efficiency of the transmitter and detector, ϕ 1 / 2 is the LED half power angle, ϕ k , m is the irradiance angle at which the k-th detector receives light from the m-th source. ψ denotes the angle of incidence of the LED beam to the detector surface, D t denotes LED spot lens diameter, D r indicates the diameter of the receiving surface, L is the beam propagation distance, exp ( c ( λ ) L ) is the optical channel attenuation, c λ is the total attenuation coefficient of seawater for optical signals, and A e f f ( L , ψ ) is the effective area of the detector, calculated by Equation (2):
A e f f ( L , ψ ) = π D r cos ψ / 4 π L tan ϕ 1 / 2 + D t / 2 2
To accurately simulate the underwater turbulence, this paper uses the Mixed-Exponential Generalized Gamma (EGG) distribution model. The probability density function of the turbulence attenuation factor α can be expressed as [16]:
f I ( I ) = ω f ( I ; λ ) + ( 1 ω ) g I ; [ a , b , c ]
with
f ( I ; λ ) = 1 λ exp ( I λ ) g ( I ; [ a , b , c ] ) = c I a c 1 b a c exp ( ( I b ) c ) Γ ( a )
f and g being respectively the Exponential and Generalized Gamma distributions where ω is the mixture weight or mixture coefficient of the distributions, satisfying 0 < ω < 1 , λ is the parameter associated with the Exponential distribution, and a , b , c are the parameters of the Generalized Gamma distribution and Γ ( ) denotes the Gamma function. The relevant parameters can be obtained in [16].
In this paper, an asymmetrically modulated relay-assisted UWOC system that includes three users is considered. As shown in Figure 2, the xy plane of the coordinate system is established on the plane defined by the three user nodes.
Three users use asymmetrically clipped optical orthogonal frequency division multiplexing (ACO-OFDM) modulation. Here, assuming that U E 1 needs to send the largest amount of data, and the 16QAM modulation is adopted for its subcarriers. U E 2 and U E 3 use 4QAM modulation. The possible constellation points for 4QAM and 16QAM are represented by Equations (5) and (6):
Q 4 Q A M = 1 + 1 i 1 + 1 i 1 1 i 1 1 i
Q 16 Q A M = 3 + 3 i 1 + 3 i 1 + 3 i 3 + 3 i 3 + 1 i 1 + 1 i 1 + 1 i 3 + 1 i 3 1 i 1 1 i 1 1 i 3 1 i 3 3 i 1 3 i 1 3 i 3 3 i
The QAM constellations described above are not power normalized. This adjustment is used to modify the Euclidean distance between the constellation points, allowing the higher-order PNC method from [12] to be applied to the asymmetric modulation case. Therefore, there is a power ratio between 16QAM and 4QAM signals, which can be calculated by Equation (7). λ m Q A M is the power normalization factor of the m-order QAM signal.
P 4 Q A M : P 16 Q A M = λ 4 Q A M 2 : λ 16 Q A M 2
From [9], it is known that λ 4 Q A M = 2 , λ 16 Q A M = 10 . Thus, Equation (7) can be rewritten as:
P 4 Q A M : P 16 Q A M = 2 : 10

3. Power Allocation-Based Bit Splicing PNC Method

3.1. Multiple Receiving Antennas-Power Allocation-Based Bit Splicing Method

In this paper, a multiple receiving antenna power allocation-based bit splicing PNC (MRA-PABS-PNC) method is proposed to effectively improve the throughput of a relay network consisting of three users. In this method, the relay node is equipped with two receiving antennas and one transmitting antenna. The block diagram of the system using the MRA-PABS-PNC method is shown in Figure 3. It is assumed that the underwater channel state information of the relay-assisted UWOC system is known at each node.
At the user terminal of the multiple access period, the bit stream is modulated as a 16QAM signal for U E 1 or a 4QAM for U E 2 and U E 3 . After QAM modulation, the users will perform ACO-OFDM modulation on the QAM signals to form ACO-OFDM signals, which are then transmitted in time slot 1. The relay node will broadcast the PNC signal in time slot 2. The number of bits carried by each time slot on the effective subcarrier of ACO-OFDM is shown in Figure 4.
After subjecting the QAM signal to ACO-OFDM modulation, a power allocation is also required to improve the PNC BER performance of the system in asymmetric channels. Finally, the signal is sent to the relay node through the light source, and the broadcast stage is finished. The power allocated to U E n in time slot 1 can be calculated using Equations (9)–(11), where H n P D n denotes the channel direct current gain between U E n and the P D n , and the power P U E n allocated to U E n can be expressed as:
P U E 1 = H 3 P D 1 2 / H 1 P D 1 2 + H 3 P D 1 2
P U E 2 = H 1 P D 1 2 / H 1 P D 1 2 + H 3 P D 1 2 H 3 P D 2 2 / H 2 P D 2 2 + H 3 P D 2 2 H 2 P D 2 2 / H 2 P D 2 2 + H 3 P D 2 2
P U E 3 = H 1 P D 1 2 / H 1 P D 1 2 + H 3 P D 1 2
Obviously, P U E 1 + P U E 2 + P U E 3 = 1 + P U E 2 > 1 . To facilitate analysis, normalization is also needed, resulting in the normalized power P n actually allocated to the users. Therefore, we have:
P n = P U E n / i = 1 , 2 , 3 P U E i
By changing the angle of the two photodetector (PD) detectors, P D 1 ( P D 2 ) receives signals only from U E 1 ( U E 2 ) and U E 3 . The signal received by each PD is shown in Equation (13):
P D 1 : Y P D 1 = P 1 H 1 P D 1 X 1 + P 3 H 3 P D 1 X 3 + N P D 2 : Y P D 2 = P 2 H 2 P D 2 X 2 + P 3 H 3 P D 2 X 3 + N
where X n denotes the ACO-OFDM signal for U E n , N denotes the Gaussian white noise with average value 0 and variance σ n 2 .
The relay node first demodulates the ACO-OFDM signal to obtain a QAM signal S o , l , l . When the in-phase (quadrature) component of the QAM signal is the n-th value of all possible values (n = 1, 2, 3, …), then the value of l ( l ) can be determined by l ( l ) = n − 1. Due to the generating matrix, S o , l , l has two possible constellation diagrams. One is a square 25QAM constellation diagram formed by the superposition of 16QAM and 4QAM, and the other is a square 9QAM constellation diagram formed by the superposition of 4QAM and 4QAM. By using the higher-order QAM-PNC mapping method, the superimposed QAM signals can be mapped to the corresponding QAM signals without ambiguity, where 25QAM signals will be mapped to 16QAM signals, and 9QAM signals will be mapped to 4QAM signals, the higher-order PNC mapping function can be expressed by Equation (14) [12]. Where L = M and M is the highest modulation order of the QAM signals involved in the superposition. In this paper, the relay node processes the superimposed constellation diagram received by P D 1 with M = 16 and processes the superimposed constellation diagram received by P D 2 with M = 4 .
S c , l , l = S o , l mod L , l mod L
Subsequently, the relay node demodulates the QAM signal to bits, where the 16QAM signal is demodulated to get 4 bits B 16 Q A M , and the 4QAM signal is demodulated to obtain two bits B 4 Q A M . The relay node splices B 16 Q A M and B 4 Q A M into six bits B 64 Q A M , and then performs 64QAM modulation on B 64 Q A M to complete the PNC mapping of the relay node. The relay node performs ACO-OFDM modulation on the 64QAM signal to obtain X R ( t ) , which is sent to the user node.
U E n first performs ACO-OFDM demodulation and 64QAM demodulation on the received signal Y n ( t ) , and these steps will obtain six bits of data B ^ 64 Q A M . B ^ 64 Q A M can be split into B ^ 16 Q A M and B ^ 4 Q A M , and the signal S ^ c , l , l can be restored by performing 16QAM modulation and 4QAM modulation on them, respectively. U E 1 ( U E 2 ) can use the higher-order PNC demapping function for 16QAM signals to obtain the constellation of U E 2 ( U E 1 ). The higher-order QAM-PNC demapping function can be represented by Equation (15) [12]. S ^ o t h e r denotes the QAM signal decoded using the higher-order QAM-PNC demapping function. Similar to l ( l ), where the value of k ( k ) depends on the in-phase (quadrature) component of the QAM signal sent by the user in the multiple access stage. When the in-phase (quadrature) component of the QAM signal is the n-th value of all possible values (n = 1, 2, 3, …), then the value of k ( k ) can be determined by k ( k ) = n − 1. For example, the 16QAM signal sent by U E 1 is 3 + 1 i . Since −3 is the 1-th in-phase component point and + 1 i is the 3-th quadrature component point, therefore, k = 0 , k = 2 .
S ^ o t h e r = S c , ( l k ) mod L , ( l k ) mod L = S ^ o , ( l mod L k ) mod L , ( l mod L k ) mod L
U E 1 will use the obtained constellation of U E 2 to obtain the constellation of U E 3 from the received 4QAM signal by decoding it again using Equation (15). U E 2 can obtain the constellation of U E 1 ( U E 3 ) for the received 16QAM (4QAM) signal using Equation (15). The demodulation process for U E 3 is similar to that of U E 1 . Firstly, U E 3 needs to obtain the constellation of U E 2 from the received 4QAM signal and then U E 3 uses the constellation of U E 2 to obtain the constellation of U E 1 from the received 16QAM signal. At this time, each user has successfully acquired the QAM signals of the other two users. The user can obtain the bit information by using the corresponding order of QAM demodulation for the acquired QAM signal, thus accomplishing the three-user information exchange.

3.2. PABS-PNC Method

In the MRA-PABS-PNC method, there is a special case. When the polar and azimuth angles of the PD are not properly set (e.g., when the polar angle is 180 ), the PD may receive a combined signal from three users. This superposition can interfere with the higher-order QAM-PNC mapping, leading to mapping errors. To avoid this interference, an appropriate multiple-access strategy must be employed. In this case, the PABS-PNC method should be used, which activates only one of the two detectors at the relay node. Three users need two multiple-access time slots and one broadcast time slot to complete the information exchange, as shown in Figure 5.
Because of the unique nature of the signals received in time slot 1 and time slot 2, PABS-PNC can facilitate the information exchange among three users using three time slots. In time slot 1, U E 1 and U E 3 transmit optical signals to the relay node. In time slot 2, U E 3 and U E 2 transmit optical signals to the relay node. PD receives the combined signal from U E 1 ( U E 2 ) and U E 3 in time slot 1 (time slot 2). This characteristic leads to a new multiple-access strategy, as shown in Figure 6.
Due to the changes in the structure of the relay node and the multiple access strategy, the power allocation strategy of PABS-PNC will differ from that of MRA-PABS-PNC. The power allocated to U E n in time slot 1 can be calculated using Equation (16):
P 1 = H 2 R 2 / ( H 1 R 2 + H 2 R 2 ) P 2 = H 1 R 2 / ( H 1 R 2 + H 2 R 2 ) P 3 = 0
The power allocated to U E n in time slot 2 can be calculated using Equation (17):
P 1 = 0 P 2 = H 3 R 2 / ( H 2 R 2 + H 3 R 2 ) P 3 = H 2 R 2 / ( H 2 R 2 + H 3 R 2 )
The relay node will receive the superimposed signals Y R :
Y R = P 1 H 1 R X 1 + P 2 H 2 R X 2 + P 3 H 3 R X 3 + N
In the bit splicing process of PABS-PNC, it is similar to that of MRA-PABS-PNC. We only need to treat the data received by P D 1 in the MRA-PABS-PNC method as the data received by the relay node in the first multiple access time slot of the PABS-PNC method, and the data received by P D 2 as that received in the second time slot. This allows PABS-PNC to complete the broadcasting task within one time slot, just like MRA-PABS-PNC. Similarly, the user decoding process in PABS-PNC is consistent with that in MRA-PABS-PNC, enabling a communication method that requires three time slots to achieve information exchange among three users.

3.3. Relay Node Position and PD Angle Optimization

Considering the half-power angle of the LED is ϕ 1 / 2 and the field of view of the PD is ψ c , the relay node can receive the optic signal in the following xy plane region with a vertical height of h meters.
C U E n : ρ 2 2 ρ n ρ cos θ θ n + ρ n 2 R n 2
where the relay node in region C U E n can receive the optical signal from U E n , the radius R n of region C U E n can be calculated from the geometric relation as R n = h tan ϕ 1 / 2 meters, as shown in Figure 5. ( ρ n , θ n ) is the polar coordinates of the center O U E n of the circle in region C U E n . The relationship between polar coordinates ( ρ n , θ n ) and Cartesian coordinates ( x n , y n ) can be expressed by Equation (20).
x n = ρ n cos θ n y n = ρ n sin θ n
Therefore, the relay node can receive optical signals throughout the region C S = C U E 1 C U E 2 C U E 3 , denotes the concatenation of regions. However, not all places within the concatenated region can realize PNC communication. The region C R in which the relay node is located must be able to receive optical signals from all three users otherwise Equation (16) is meaningless. That is, the value of H 1 R , H 2 R , H 3 R cannot be 0. Then, there are:
C R C U E 1 C U E 2 C U E 3 S u b j e c t   t o :   C R C s
From Equation (21), it can be determined that the area in which the relay node can be deployed is shown as the shaded region in Figure 7, and the region can receive optical signals from three user directions. The polar coordinates of the vertices of the shaded region are D 1 ( ρ D 1 , θ D 1 ) , D 2 ( ρ D 2 , θ D 2 ) , and D 3 ( ρ D 3 , θ D 3 ) . The boundary of the region can be expressed by the polar coordinate equations of the three lines enclosing the region as follows:
D 1 D 3 : ρ 2 2 ρ 2 ρ cos θ θ 2 + ρ 2 2 R 2 2 , θ θ D 1 , θ D 3
D 3 D 2 : ρ 2 2 ρ 1 ρ cos θ θ 1 + ρ 1 2 R 1 2 , θ θ D 3 , θ D 2
D 2 D 1 : ρ 2 2 ρ 3 ρ cos θ θ 3 + ρ 3 2 R 3 2 , θ θ D 2 , θ D 1
However, when the relay node is located in the shaded area, the polar angle φ and azimuthal angle θ parameters of the relay node’s PD detector also affect the quality of the received superimposed signals, as shown in Figure 8.
To simplify the analysis, we first analyze the PABS-PNC method with a single PD and study the effect of the PD’s angular parameters on system performance. In the first multiple-access timeslot, the PD detector at the relay node receives the signal:
Y R = P 1 H 1 R X 1 + P 2 H 2 R X 2 + N 0
Power allocation will ensure P 1 H 1 R = P 2 H 2 R , Therefore, the equalized signal can be expressed as:
Y R P 1 H 1 R = X 1 + X 2 + N 0 P 1 H 1 R
where X 1 + X 2 is the desired superimposed signal, N 0 P 1 H 1 R is the error term. To minimize the error term, P 1 H 1 R needs to be maximized. Based on the power allocation equation and the inequality relationship, the denominator of the error term can be rewritten as:
P 1 H 1 R = 1 1 H 2 R 2 + 1 H 1 R 2 1 2 1 H 2 R 2 H 1 R 2
The equality holds when H 1 R = H 2 R . Since H 1 R and H 2 R are determined by Equations (1) and (2); for H 1 R = H 2 R , Equation (28) must be satisfied:
α 1 cos ψ 1 e c L 1 / ( L 1 m L 1 tan ϕ 1 / 2 + D t / 2 2 ) = α 2 cos ψ 2 e c L 2 / ( L 2 m L 2 tan ϕ 1 / 2 + D t / 2 2 )
where L n is the beam propagation distance from U E n to the relay node, α n is the turbulence attenuation factor between U E n and the relay node, D t denotes the LED spot lens diameter, and ψ n denotes the incident angle of the transmitted beam from U E n on the surface of the relay node’s detector.
To simplify, Equation (28) can be rewritten as Equation (29) in the non-turbulent channel:
e c L 1 / ( L 1 m L 1 tan ϕ 1 / 2 + D t / 2 2 ) = e c L 2 / ( L 2 m L 2 tan ϕ 1 / 2 + D t / 2 2 ) cos ψ 1 = cos ψ 2
Using the property of the perpendicular bisector, it can be deduced that for the first equation in Equation (29) to hold, the relay node should be positioned h meters above the perpendicular bisector of the line connecting the two user nodes. For the second equation in Equation (29) to hold, the main optical axis of the PD should point towards the perpendicular bisector. Because the PABS-PNC method also requires receiving signals in time slot 2, the PD placement in the PABS-PNC method must consider the needs of both time slots. Therefore, in the PABS-PNC method, the PD should be positioned above the intersection of the two perpendicular bisectors, with its main optical axis pointing towards this intersection. When discussing a certain PD detector in the MRA-PABS-PNC method using Equations (25)–(29), the two users in the equations should be considered as the actual users involved in the optical signal superposition. For example, when discussing P D 2 in the MRA-PABS-PNC method, the two users in Equations (25)–(29) should be regarded as U E 2 and U E 3 . In the MRA-PABS-PNC method, which has two PD detectors, it is not necessary for the optical axis to point toward the intersection. Each PD is used to receive the superimposed signals from different users. Instead, the main optical axis of the PD detector should point to the midpoint of the line between the two users (The midpoint is a point on the perpendicular bisector), as shown in Figure 9. Here, the polar angle of the angle between P D 1 ’s main optical axis and the incident light is 0 ° , which allows ψ n to be minimized while satisfying the second equation of Equation (29). Minimizing ψ n ensures that the effective area of the detector is maximized, allowing H 2 R 2 H 1 R 2 to take its maximum value, thereby maximizing the right-hand side of Equation (27). The polar angle of P D 1 ’s main optical axis can be calculated using Equation (30), and the polar angle of P D 2 ’s main optical axis can be calculated using Equation (31). In Equations (30) and (31), the arctan ( ) part calculates the polar angle between the vector pointing from the PD detector to the midpoint of the user line and the negative direction of the z-axis. Finally, by subtracting this angle from π , the polar angle between the vector and the positive direction of the z-axis is obtained. The closer the main optical axis of the PD detector is to this direction, the better the system will perform in terms of BER.
φ 1 = π arctan ( z R z 1 + z 3 2 ( x R x 1 + x 3 2 ) 2 + ( y R y 1 + y 3 2 ) 2 )
φ 2 = π arctan ( z R z 2 + z 3 2 ( x R x 2 + x 3 2 ) 2 + ( y R y 2 + y 3 2 ) 2 )

4. Simulation Results and Analysis

In this section, the performance of PABS-PNC proposed in this paper is simulated and analyzed. The BER performance and throughput performance of MRA-PABS-PNC are analyzed by changing different parameters, such as changing the signal-to-noise ratio (SNR) of the system, location of relay nodes, and power allocation methods. The key parameters of the simulation are shown in Table 1. Each node has a detector and a light source. The total system throughput can be calculated by Equation (32):
F s y s t e m = n = 1 , 2 , 3 N n T
where N n denotes the sum of the amount of U E n data successfully received by the other two users and T denotes the total time required to complete the relay communication.
In this paper, the relay node is located 10 m above the xy plane. The Cartesian coordinates of each UE can be expressed as U E 1 ( 2 , 0 , 0 ) , U E 2 ( 2 , 0 , 0 ) , and U E 3 ( 0 , 2 , 0 ) . N 0 is the noise power, and its value can be determined from the noise power received by P D 1 in the MRA-PABS-PNC method under conditions of no turbulence, SNR = 20.55 dB, with a polar angle of 155 and a supporting angle of 45 . This paper first uses the PABS-PNC method to find the optimal placement of the PD, with the noise power being set to 2 N 0 . As shown in Figure 10, the system’s BER is lowest when the relay node is located above the intersection of the two perpendicular bisectors (at ( 0 , 0 , 10 ) ), regardless of whether the environment is turbulent or not. It can also be seen that turbulence significantly degrades the system’s BER performance. When the relay node is located at ( 0 , 0 , 10 ) , the system’s BER is 3.16 × 10 4 under the non-turbulence channel. Under the turbulence channel, the BER increases to 2.23 × 10 3 , representing a one-order-of-magnitude degradation in performance.
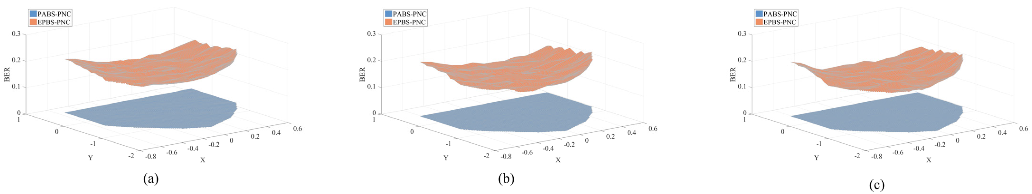
As shown in Figure 11, this paper also simulates and analyzes the BER performance of relay nodes located in region C R under different SNR conditions. When the SNR is 20, 25, and 30, the average BER over the entire region decreases sequentially from 1.8 × 10 1 to 1.39 × 10 2 , from 1.63 × 10 1 to 5.65 × 10 5 , and from 1.58 × 10 1 to 0, respectively. The equal power allocation-based bit splicing-PNC (EPBS-PNC) method is the control experiment set in this paper, and its only difference from the PABS-PNC method lies in the power allocation part. In the EPBS-PNC method, each user is allocated the same amount of power ( P 1 = P 2 = P 3 = 1 / 3 ). Although this power allocation method is simple, the EPBS-PNC method still has poor BER performance even at high SNR. This means that the equal power allocation method will be severely challenged in underwater turbulent channels. The PABS-PNC method can adjust the transmit power according to the channel state information. This makes the relay node receive a more desirable superimposed signal and improves the anti-interference capability.
Once the relay node is located above the intersection of the two perpendicular bisectors at ( 0 , 0 , 10 ) , the impact of the PD detector’s angles on the BER performance of the PABS-PNC system is studied by changing the PD’s polar and azimuth angles. Since receiving superimposed signals is a necessary condition for PNC mapping, simulations were only conducted when the PD could receive superimposed signals. This explains why there are only 15 points when the polar angle is 160 . As shown in Figure 12, the closer the PD’s polar angle is to 180 (where 180 is the polar angle when the PD points to the intersection of the perpendicular bisector), the lower the system’s BER. It can also be seen that the system’s BER increases in a turbulent water channel. Although the performance improves as the angle approaches the optimal angle, the improvement is less significant than in a non-turbulent channel.
After determining the optimal relay node position, the next step is to find the optimal polar angle of the PD in the MRA-PABS-PNC scheme. This paper introduces the supporting angle β to adjust the azimuth angles of the two PDs in the MRA-PABS-PNC system. The azimuth angle of P D 1 is 270 + β , and the azimuth angle of P D 2 is 270 β . Similar to the previous discussion, since receiving superimposed signals is a necessary condition for PNC processing, simulations were conducted only when P D 1 ( P D 2 ) could receive superimposed signals from U E 1 ( U E 2 ) and U E 3 . This explains why there are only four points when the polar angle is 145 . When the system’s noise power is N 0 , as shown in Figure 13, the closer the polar angle of the PD detector is to φ (where φ = φ 1 = φ 2 = 171.95 ), the lower the system’s BER. It can also be observed that the polar angle of the PD cannot approach φ indefinitely. When the polar angle reaches 165 , the system cannot support PNC communication. This is because, when the polar angle is 165 , P D 1 ( P D 2 ) not only receives the superimposed signals from U E 1 ( U E 2 ) and U E 3 , but also suffers interference from the signal of U E 2 ( U E 1 ). This is also the reason why the communication system shows poor BER performance at some supporting angles when the polar angle is 155 and 160 . Therefore, as analyzed earlier, when the polar angle of the PD detector becomes too large, it causes the PD detector to receive signals from all three users. To avoid this issue, the PABS-PNC method should be used instead of the MRA-PABS-PNC method.
The optimal relay node deployment position has been determined previously. The relay node is placed at the optimal position ( 0 , 0 , 10 ) , with SNR = 23, to compare the performance of different PNC methods. To ensure proper bidirectional communication for all methods, the polar angle of the PD in the MRA-PABS-PNC method is set to 155 , the supporting angle to 45 , and the polar angle for all other schemes is set to 180 . As shown in Figure 14, due to the multiple access strategy, the relay node using PABS-PNC will receive a 25QAM stacked constellation diagram in the first time slot and will receive a 9QAM stacked constellation diagram in the second time slot. Higher order QAM-PNC mapping function will map 25QAM to 16QAM signals and 9QAM to 4QAM signals. The mapped QAM signals are demodulated and bit-spliced. The 64QAM was modulated to obtain higher-order relay forward signals for transmission over a broadcast time slot. It’s worth mentioning that the constellation diagrams of MRA-PABS-PNC are similar to those of PABS-PNC. MRA-PABS-PNC uses additional spatial resources to trade for the time resources of PABS-PNC. Specifically, the optical signals received by P D 1 ( P D 2 ) in MRA-PABS-PNC resemble the optical signals received in time slot 1 (time slot 2) in PABS-PNC, with both being 25QAM (9QAM) signals.
Poor multiple access strategy for power allocation bit splicing PNC (MPBS-PNC) differs from PABS-PNC only in the multiple access strategy. MPBS-PNC method is the control experiment set in this paper. In the MPBS-PNC method, U E 1 the higher order sends optical signals in the first time slot and the second time slot, and U E 2 the lower order sends optical signals in the second time slot. MPBS-PNC’s multiple access strategy is shown in Figure 15.
As shown in Figure 16, in the MPBS-PNC method, since the U E 1 sends signals in both the first time slot and the second time slot, the relay node receives the 25QAM superimposed constellation diagram with higher order in both time slots. In this case, the rise in the order of the signal received in the second time slot leads to a rise in the order of the relay forwarding signal. The relay forwarding signal of the MPBS-PNC method changes from 64QAM to 256QAM as compared to the PABS-PNC method.
As shown in Figure 17, the four time slots PNC method (FT-PNC) proposed in [10] requires the use of four time slots to accomplish the information exchange. However, since the FT-PNC method does not perform bit-splicing processing, this results in a lower-order relay forwarding signal using the FT-PNC method. In both broadcast time slots of the FT-PNC method, the order of the relay forwarding signal is lower than the order of the relay forwarding signal of the previous two methods.
As shown in Figure 18, this paper analyzes the BER performance and throughput performance of the above four methods at different SNRs. The throughput performance of the MRA-PABS-PNC method proposed in this paper is better than that of the other methods and converges quickly. The MRA-PABS-PNC method has a similar BER performance to the PABS-PNC method. This is because the core idea of the MRA-PABS-PNC method is to utilize its spatial resources to exchange for the time resources of the PABS-PNC method without changing the order of the signals. Therefore, the lower BER performance of the MRA-PABS-PNC method compared to the FT-PNC method is due to bit splicing, which increases the modulation order of the signal. However, because bit splicing saves time slots, the throughput performance of MRA-PABS-PNC remains better than FT-PNC. The traditional FT-PNC method has the worst throughput performance, but the method does not perform bit splicing processing, which results in a lower modulation order of the relay forwarding signals; it has the best BER performance. The MRA-PABS-PNC method reduces the BER of the system below the forward error correction threshold (FEC) at SNR = 22, where the system throughput is close to the maximum throughput of 20 Mbps. The FT-PNC method can reduce the BER below the FEC threshold when the SNR is 18, which is the scheme with the best BER performance. However, the throughput of the FT-PNC method is only 10 Mbps under high SNR conditions, and the throughput performance is lower than the other methods. The MPBS-PNC method has a BER below the FEC threshold when the SNR is 28, which is about a 5 dB decrease compared to the PABS-PNC method. Meanwhile, the throughput performance of the MPBS-PNC method decreases significantly compared to that of the PABS-PNC method when the SNR is below 25 dB. However, as the SNR increases, the throughput performance of the MPBS-PNC method gradually approaches the PABS-PNC method. Therefore, selecting users with lower order as repeat transmitters is more beneficial to improving the BER performance and throughput performance of the system.

5. Conclusions and Discussion

In this paper, we proposed a multiple receiving antenna power allocation-based bit splicing PNC method for enhancing system throughput in the context of three-user asymmetric modulation relay-assisted UWOC scenarios. MRA-PABS-PNC uses multi-antenna reception and bit-splicing methods to reduce the number of time slots and improve system throughput. Additionally, this paper determines the optimal position and angle of the relay node photodetector to further optimize system performance. Compared to the existing FT-PNC method, the MRA-PABS-PNC method reduces latency by 50% and increases throughput by 100%. The method is developed for a three-user relay scenario, making it applicable to more complex networks that can be linearly composed of three-user relay topologies. If a more complex relay network involves other topology types, further research will be needed. The optimization of the PD angle is currently being considered during the multiple access time slot. In the broadcast time slot of relay-assisted underwater wireless optical communication (UWOC) systems, this paper considers using directional beams to transmit optical signals directly to the user nodes. In the next step, we will jointly consider the optimization of the PD angle in both the multiple access time slot and the broadcast time slot. In the future, the method can be applied to underwater non-line-of-sight relay communication and underwater cross-medium relay data transmission scenarios to reduce relay latency and improve system throughput. We will continue to study PNC technology in complex relay topologies to improve system performance in intricate relay scenarios.

Author Contributions

Conceptualization, Y.L. and P.J.; methodology, Y.L. and P.J.; software, Y.L. and P.J.; validation, Y.L. and P.J.; formal analysis, Y.L., P.J., S.L. and T.W.; investigation, Y.L., P.J. and Q.H.; resources, Y.L. and X.C.; data curation, Y.L., P.J., T.W. and S.L.; writing—original draft preparation, Y.L. and P.J.; writing—review and editing, Y.L., P.J. and T.W.; visualization, Y.L. and P.J.; supervision, T.W.; project administration, Y.L.; funding acquisition, Y.L. All authors have read and agreed to the published version of the manuscript.

Funding

This work is supported by the Key Laboratory of Cognitive Radio and Information Processing, Ministry of Education (CRKL230102), National Natural Science Foundation of China under grant (62261009).

Institutional Review Board Statement

Not applicable.

Informed Consent Statement

Not applicable.

Data Availability Statement

Data underlying the results presented in this paper are not publicly available at this time but may be obtained from the authors upon reasonable request.

Conflicts of Interest

The authors declare no conflicts of interest. The funders had no role in the design of the study; in the collection, analyses, or interpretation of data; in the writing of the manuscript; or in the decision to publish the results.

References

  1. Salman, M.; Bolboli, J.; Naik, R.P.; Chung, W.Y. Aqua-Sense: Relay-Based Underwater Optical Wireless Communication for IoUT Monitoring. IEEE Open J. Commun. Soc. 2024, 5, 1358–1375. [Google Scholar] [CrossRef]
  2. Xu, J.; Zhang, Y.; Cai, C. Underwater Wireless Optical Communications: From the Lab Tank to the Real Sea. In Proceedings of the 2024 Optical Fiber Communications Conference and Exhibition (OFC), San Diego, CA, USA, 24–28 March 2024; pp. 1–3. [Google Scholar]
  3. Li, Y.; Li, S.; Jiang, P.; Gu, C.; Chen, X.; Zhang, Z. Controlled alignment imaging optical MIMO communication system based on light spot detection of arrayed light sources. Opt. Express 2024, 32, 30393–30406. [Google Scholar] [CrossRef] [PubMed]
  4. Lucani, D.E.; Fitzek, F.H. Asymmetric Modulation Gains in Network Coded Relay Networks. In Proceedings of the European Wireless 2015; 21th European Wireless Conference, Budapest, Hungary, 20–22 May 2015; pp. 1–5. [Google Scholar]
  5. Zhang, S.; Liew, S.C.; Lam, P.P. Hot topic: Physical-layer network coding. In Proceedings of the 12th Annual International Conference on Mobile Computing and Networking, Los Angeles CA, USA, 23–29 September 2006; pp. 358–365. [Google Scholar]
  6. Tsugita, H.; Denno, S.; Hou, Y. Multi-Input Physical Layer Network Coding in Wireless Two-Way Relay Networks. In Proceedings of the 2021 IEEE VTS 17th Asia Pacific Wireless Communications Symposium (APWCS), Osaka, Japan, 30–31 August 2021; pp. 1–5. [Google Scholar]
  7. Zhong, M.; Zhang, Y.; Li, C. A joint design of polar codes and physical-layer network coding in visible light communication system. In Proceedings of the 2022 IEEE 8th International Conference on Computer and Communications (ICCC), Chengdu, China, 9–12 December 2022; pp. 247–252. [Google Scholar]
  8. Long, Z.; Zhao, J. Physical-Layer Network Coding Based on Residual Field of Algebraic Integers in OFDM-VLC Two-Way Relay Networks. J. Light. Technol. 2024, 42, 5552–5563. [Google Scholar] [CrossRef]
  9. Hong, Y.; Chen, L.K.; Zhao, J. Channel-aware adaptive physical-layer network coding over relay-assisted OFDM-VLC networks. J. Light. Technol. 2019, 38, 1168–1177. [Google Scholar] [CrossRef]
  10. He, J.; Liew, S.C. Building blocks of physical-layer network coding. IEEE Trans. Wirel. Commun. 2015, 14, 2711–2728. [Google Scholar] [CrossRef]
  11. Zhang, H.; Cai, L. Design of Channel Coded Heterogeneous Modulation Physical Layer Network Coding. IEEE Trans. Veh. Technol. 2018, 67, 2219–2230. [Google Scholar] [CrossRef]
  12. Wang, S.; Song, Q.; Guo, L.; Jamalipour, A. Constellation mapping for physical-layer network coding with M-QAM modulation. In Proceedings of the 2012 IEEE Global Communications Conference (GLOBECOM), Anaheim, CA, USA, 3–7 December 2012; pp. 4429–4434. [Google Scholar]
  13. Wang, Z.; Liu, L.; Zhang, S.; Dong, P.; Yang, Q.; Wang, T. PNC enabled IIoT: A general framework for channel-coded asymmetric physical-layer network coding. IEEE Trans. Wirel. Commun. 2022, 21, 10335–10350. [Google Scholar] [CrossRef]
  14. Jamali, M.V.; Nabavi, P.; Salehi, J.A. MIMO Underwater Visible Light Communications: Comprehensive Channel Study, Performance Analysis, and Multiple-Symbol Detection. IEEE Trans. Veh. Technol. 2018, 67, 8223–8237. [Google Scholar] [CrossRef]
  15. Chen, W.W.; Wang, P.; Wang, W.; Pang, W.N.; Li, A.; Guo, L.X. Impact of temperature gradients on average bit error rate performance of low-density parity-check-coded multihop underwater wireless optical communication systems over the generalized gamma distribution. Opt. Eng. 2020, 59, 016114. [Google Scholar] [CrossRef]
  16. Zedini, E.; Oubei, H.M.; Kammoun, A.; Hamdi, M.; Ooi, B.-S.; Alouini, M.S. Unified Statistical Channel Model for Turbulence-Induced Fading in Underwater Wireless Optical Communication Systems. IEEE Trans. Commun. 2019, 67, 2893–2907. [Google Scholar] [CrossRef]
Figure 1. Relay-assisted UWOC scenario.
Figure 1. Relay-assisted UWOC scenario.
Photonics 12 00144 g001
Figure 2. Model of three-user relay UWOC system.
Figure 2. Model of three-user relay UWOC system.
Photonics 12 00144 g002
Figure 3. Block diagram of the relay-assisted UWOC system using the MRA-PABS-PNC method.
Figure 3. Block diagram of the relay-assisted UWOC system using the MRA-PABS-PNC method.
Photonics 12 00144 g003
Figure 4. Number of bits carried in each time slot on the ACO-OFDM subcarrier in MRA-PABS-PNC.
Figure 4. Number of bits carried in each time slot on the ACO-OFDM subcarrier in MRA-PABS-PNC.
Photonics 12 00144 g004
Figure 5. Model of PABS-PNC system.
Figure 5. Model of PABS-PNC system.
Photonics 12 00144 g005
Figure 6. Number of bits carried in each time slot on the ACO-OFDM subcarrier in PABS-PNC.
Figure 6. Number of bits carried in each time slot on the ACO-OFDM subcarrier in PABS-PNC.
Photonics 12 00144 g006
Figure 7. Relay node placeable region.
Figure 7. Relay node placeable region.
Photonics 12 00144 g007
Figure 8. Polar and azimuth angles of PD detectors.
Figure 8. Polar and azimuth angles of PD detectors.
Photonics 12 00144 g008
Figure 9. The optimal angle of the PD.
Figure 9. The optimal angle of the PD.
Photonics 12 00144 g009
Figure 10. BER performance of PABS-PNC in shaded areas.
Figure 10. BER performance of PABS-PNC in shaded areas.
Photonics 12 00144 g010
Figure 11. The BER performance of PABS-PNC and EPBS−PNC in the placeable region at different SNR. (a) SNR = 20; (b) SNR = 25; (c) SNR = 30.
Figure 11. The BER performance of PABS-PNC and EPBS−PNC in the placeable region at different SNR. (a) SNR = 20; (b) SNR = 25; (c) SNR = 30.
Photonics 12 00144 g011
Figure 12. BER performance of PABS-PNC system with different polar and azimuth angles. (a) Non−turbulent channel. (b) Turbulent channel.
Figure 12. BER performance of PABS-PNC system with different polar and azimuth angles. (a) Non−turbulent channel. (b) Turbulent channel.
Photonics 12 00144 g012
Figure 13. BER performance of MRA-PABS-PNC system with different polar and supporting angles. (a) Non-turbulent channel. (b) Turbulent channel.
Figure 13. BER performance of MRA-PABS-PNC system with different polar and supporting angles. (a) Non-turbulent channel. (b) Turbulent channel.
Photonics 12 00144 g013
Figure 14. Relay node constellation diagram for each step using the PABS-PNC method. (a) The constellation diagram received by the relay node at the first time slot, (b) the constellation diagram received at the second time slot, (c) the constellation diagram of (a) after higher−order PNC mapping, (d) the constellation diagram of (b) after higher−order PNC mapping, and (e) the constellation diagram of (a) sent by the relay node to the subscriber node after bit splicing.
Figure 14. Relay node constellation diagram for each step using the PABS-PNC method. (a) The constellation diagram received by the relay node at the first time slot, (b) the constellation diagram received at the second time slot, (c) the constellation diagram of (a) after higher−order PNC mapping, (d) the constellation diagram of (b) after higher−order PNC mapping, and (e) the constellation diagram of (a) sent by the relay node to the subscriber node after bit splicing.
Photonics 12 00144 g014
Figure 15. Number of bits carried in each time slot on the ACO-OFDM subcarrier in MPBS-PNC.
Figure 15. Number of bits carried in each time slot on the ACO-OFDM subcarrier in MPBS-PNC.
Photonics 12 00144 g015
Figure 16. Relay node constellation diagram for each step using the MPBS-PNC method. (a) The constellation diagram received by the relay node at the first time slot, (b) the constellation diagram received at the second time slot, (c) the constellation diagram of (a) after higher−order PNC mapping, (d) the constellation diagram of (b) after higher−order PNC mapping, and (e) the constellation diagram of (a) sent by the relay node to the subscriber node after bit splicing.
Figure 16. Relay node constellation diagram for each step using the MPBS-PNC method. (a) The constellation diagram received by the relay node at the first time slot, (b) the constellation diagram received at the second time slot, (c) the constellation diagram of (a) after higher−order PNC mapping, (d) the constellation diagram of (b) after higher−order PNC mapping, and (e) the constellation diagram of (a) sent by the relay node to the subscriber node after bit splicing.
Photonics 12 00144 g016
Figure 17. Relay node constellation diagram for each step using the FT-PNC method. (a) The constellation diagram received by the relay node in a first time slot, (b) the constellation diagram received in a second time slot, (c) the constellation diagram sent by the relay node to the user node in a third time slot after higher−order PNC mapping of (a), and (d) the constellation diagram sent by the relay node to the user node in a fourth time slot after higher−order PNC mapping of (b).
Figure 17. Relay node constellation diagram for each step using the FT-PNC method. (a) The constellation diagram received by the relay node in a first time slot, (b) the constellation diagram received in a second time slot, (c) the constellation diagram sent by the relay node to the user node in a third time slot after higher−order PNC mapping of (a), and (d) the constellation diagram sent by the relay node to the user node in a fourth time slot after higher−order PNC mapping of (b).
Photonics 12 00144 g017
Figure 18. The BER performance and throughput performance comparison of MPBS-PNC, FT-PNC, PABS-PNC, and MRA-PABS-PNC methods. (a) BER performance comparison; (b) Throughput Performance Comparison.
Figure 18. The BER performance and throughput performance comparison of MPBS-PNC, FT-PNC, PABS-PNC, and MRA-PABS-PNC methods. (a) BER performance comparison; (b) Throughput Performance Comparison.
Photonics 12 00144 g018
Table 1. Main simulation parameters of relay-assisted optical communication.
Table 1. Main simulation parameters of relay-assisted optical communication.
ParametersValues
Total bandwidth of OFDM subcarriers10 MHz
Number of OFDM subcarriers256
Number of OFDM symbols4000
Imaging Lens Diameter50 mm
Total attenuation factor for seawater0.15
Emission LED conversion efficiency0.1289
Detector conversion efficiency0.95
Half power angle of LED15°
Field of view of PD60°
Parameters related to the EGG model
( ω , λ , a , b , c )
(0.2130, 0.3291, 1.4299, 1.1817, 17.1984)
Disclaimer/Publisher’s Note: The statements, opinions and data contained in all publications are solely those of the individual author(s) and contributor(s) and not of MDPI and/or the editor(s). MDPI and/or the editor(s) disclaim responsibility for any injury to people or property resulting from any ideas, methods, instructions or products referred to in the content.

Share and Cite

MDPI and ACS Style

Li, Y.; Jiang, P.; Li, S.; Chen, X.; He, Q.; Wang, T. Asymmetric Modulation Physical-Layer Network Coding Based on Power Allocation and Multiple Receive Antennas in an OFDM-UWOC Three-User Relay Network. Photonics 2025, 12, 144. https://doi.org/10.3390/photonics12020144

AMA Style

Li Y, Jiang P, Li S, Chen X, He Q, Wang T. Asymmetric Modulation Physical-Layer Network Coding Based on Power Allocation and Multiple Receive Antennas in an OFDM-UWOC Three-User Relay Network. Photonics. 2025; 12(2):144. https://doi.org/10.3390/photonics12020144

Chicago/Turabian Style

Li, Yanlong, Pengcheng Jiang, Shuaixing Li, Xiao Chen, Qihao He, and Tuyang Wang. 2025. "Asymmetric Modulation Physical-Layer Network Coding Based on Power Allocation and Multiple Receive Antennas in an OFDM-UWOC Three-User Relay Network" Photonics 12, no. 2: 144. https://doi.org/10.3390/photonics12020144

APA Style

Li, Y., Jiang, P., Li, S., Chen, X., He, Q., & Wang, T. (2025). Asymmetric Modulation Physical-Layer Network Coding Based on Power Allocation and Multiple Receive Antennas in an OFDM-UWOC Three-User Relay Network. Photonics, 12(2), 144. https://doi.org/10.3390/photonics12020144

Note that from the first issue of 2016, this journal uses article numbers instead of page numbers. See further details here.

Article Metrics

Back to TopTop