A Comprehensive Review of the Fundamentals, Progress, and Applications of the LIBS Method in Analysis of Plants: Quantitative and Qualitative Analysis
Abstract
1. Introduction
2. Experimental Set-Up
2.1. Sample Preparation
2.2. Lasers
2.3. Optics
2.4. Spectrometers
2.5. Hyphenated LIBS: Combining LIBS with Other Methods
3. Experimental Parameters Affecting LIBS Analysis of Plants
3.1. Influence of Laser Intensity
3.2. Effect of Pulse Duration
3.3. Effect of Laser Set-Up Configuration: Single Versus Double Pulse Laser
4. LIBS Applications in Plant Analysis
4.1. Spatial Distribution of Elements by LIBS Mapping
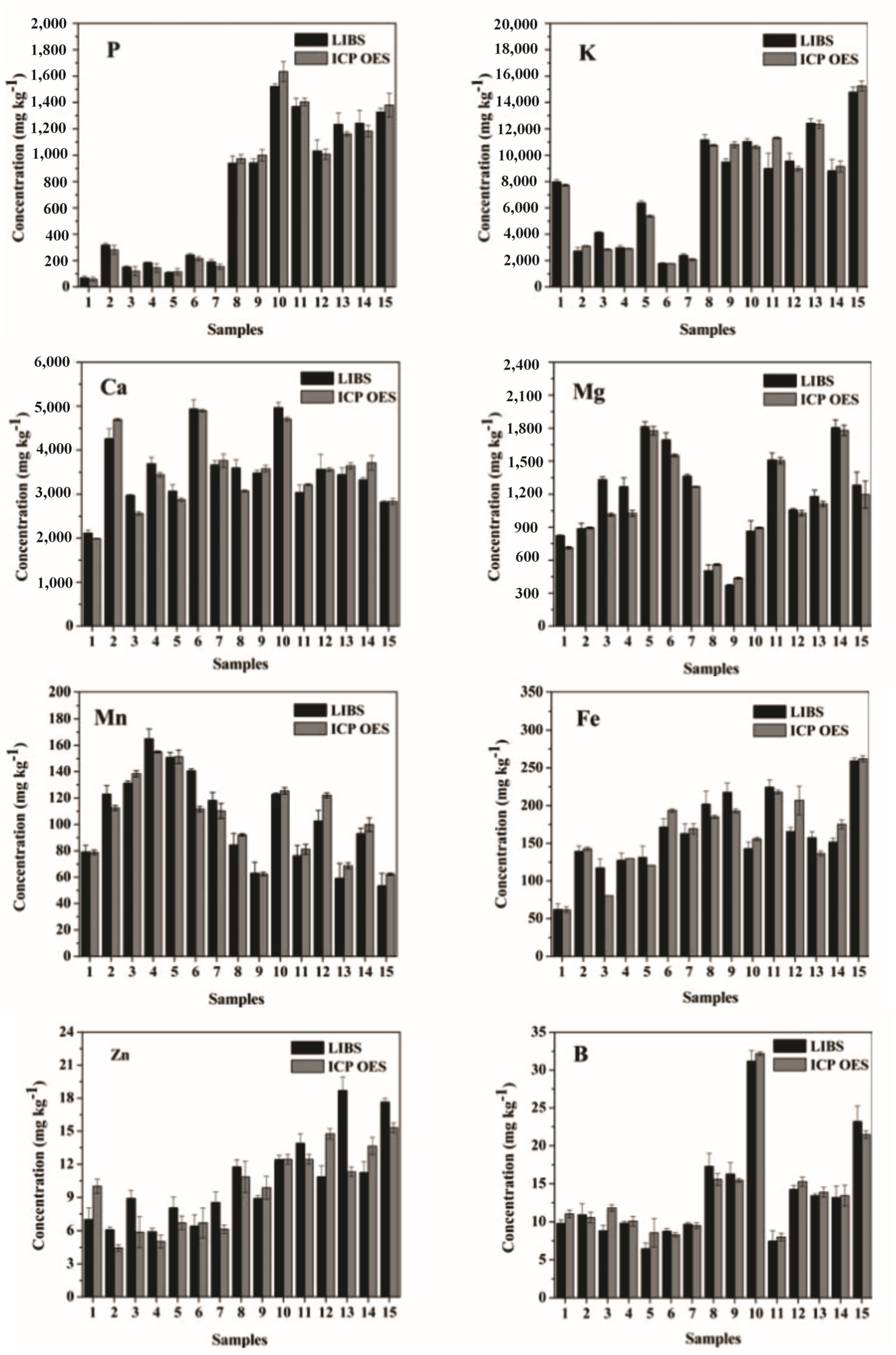
4.2. Beneficial Elements, Including Macro and Micronutrients
4.3. LIBS in Medical Plant Analysis
4.4. Toxic Elements Evaluation by LIBS
4.5. Plant Disease Diagnosis
5. New Approaches to LIBS Plant Analysis
5.1. Calibration-Free LIBS
5.2. Chemometrics
5.3. Nanoparticle Enhanced LIBS
6. Discussion
6.1. Comparison of LIBS with Other Techniques
6.2. Advantages and Disadvantages of LIBS for Plant Analysis
6.3. Future Prospective
Author Contributions
Funding
Acknowledgments
Conflicts of Interest
Abbreviations
| LIBS | Laser-induced breakdown spectroscopy |
| ns-LIBS | Nanosecond laser-induced breakdown spectroscopy |
| fs-LIBS | Femtosecond laser-induced breakdown spectroscopy |
| CF-LIBS | Calibration-free laser-induced breakdown spectroscopy |
| NELIBS | Nanoparticle-enhanced laser-induced breakdown spectroscopy |
| SAIS-LIBS | Standard addition method and internal standard method into LIBS |
| LIBS-LIF | Laser-induced breakdown spectroscopy–laser-induced fluorescence |
| DP-LIBS | Double-pulse LIBS |
| SP-LIBS | Single-pulse LIBS |
| Nd:YAG | Neodymium-doped yttrium aluminum garnet |
| ArF | Argon fluoride |
| CO2 | Carbon dioxide |
| Ti-sapphire | Titanium-sapphire |
| ChemCam | Chemistry and camera |
| NIST | National institute of standards and technology |
| NIR | Near-infrared |
| NIRS | Near-infrared spectroscopy |
| ICP-OES | Inductively coupled plasma optical emission spectrometry |
| ICP-MS | Inductively coupled plasma mass spectrometry |
| PLSR | Predictive regression method |
| DP | Dual pulse |
| LOD | Limit of detection |
| NPs | Nanoparticles |
| QDs | Quantum Dots |
| ns | Nanosecond |
| fs | Femtosecond |
| UV | Ultraviolet |
| IR | Infrared |
| MIR | Mid-infrared |
| SRXRF | Synchrotron radiation XRF |
| ANN | Artificial neural network |
| PCA | Principal component analysis |
| PLS | Partial least squares |
| PLSR | Partial least-squares regression |
| PLS-DA | Partial least squares discriminant analysis |
| SVM | Support vector machine |
| PSO-KELM | Particle swarm optimization-kernel extreme learning machine |
| GA | Genetic algorithm |
| SIMCA | Soft independent modeling of class analogy |
| Chl | Chlorophyll |
| CRM | Certified reference material |
| AAS | Atomic absorption spectrometry |
| OES | Optical emission spectrometry |
| XAS | X-ray absorption spectroscopy |
| XRF | X-ray fluorescence spectrometry |
| μXRF | Micro-X-ray fluorescence |
| LIF | Laser-induced fluorescence |
| LIP | Laser-induced plasma |
| AAS/OES | Atomic absorption spectroscopy/optical emission spectroscopy |
| MS | Mass spectrometry |
| SIMS | Secondary ion mass spectrometry |
| GSFR | Green stem and foliar retention |
| CCD | Charge-coupled device |
| ICCD | Intensified charge-coupled device |
| td | Time delay |
| tdelay | Delay time |
| tint | Integration time gate |
| LA-ICP-MS | Laser ablation inductively coupled plasma mass spectrometry |
| ns-LAICP-MS | Nanosecond-laser ablation inductively coupled plasma mass spectrometry |
| fs-LA-ICP-MS | Femtosecond-laser ablation inductively coupled plasma mass spectrometry |
| SPs | Surface plasmons |
| LSPs | Localized surface plasmons |
| SR | Sufficiency ranges |
| CTC | Critical threshold concentrations |
| TMV | Tobacco mosaic virus |
| LTE | Local thermal equilibrium |
| PI | Propidium iodide |
| RWMRI | Relaxation Weighted Magnetic Resonance Imaging |
| S. aureus | Staphylococcus aureus |
| P. guajava | Psidium guajava |
| OPC | One-point calibration |
| MOS | Moringa oleifera seed |
| RRs | Rhatany roots |
| P. notoginseng | Panax notoginseng |
| CLas | Candidatus Liberibacter asiaticus |
| CTV | Citrus tristeza virus |
| WDXRF | Wavelength dispersive X-ray fluorescence |
| Pb-EDTA | Pb-ethylenediaminetetraacetate sodium salt |
| EDX | Energy-dispersive X-ray spectroscopy |
| SEM-EDX | Scanning electron microscopy-energy dispersive X-ray spectroscopy |
| EDXRF | Energy-dispersive X-ray fluorescence spectrometry |
| TEM | Transmission electron microscopy |
| GSH | Glutathione |
| MPA | 3-mercaptopropionic acid |
| ppm | Parts per million |
| PIXE | Particle-induced X-ray emission |
| XANES | X-ray absorption spectroscopy near edge structure |
| EXAFS | Extended X-ray absorption fine structure |
| HLB | Huanglongbing disease |
| SSR | Sclerotinia stem rot |
| RKN | Root Knot Nematode |
| FAW | First Automobile Works |
References
- Kumar, R.; Alamelu, D.; Acharya, R.; Rai, A.K. Determination of Concentrations of Chromium and Other Elements in Soil and Plant Samples from Leather Tanning Area by Instrumental Neutron Activation Analysis. J. Radioanal. Nucl. Chem. 2014, 300, 213–218. [Google Scholar] [CrossRef]
- Busser, B.; Moncayo, S.; Coll, J.L.; Sancey, L.; Motto-Ros, V. Elemental Imaging Using Laser-Induced Breakdown Spectroscopy: A New and Promising Approach for Biological and Medical Applications. Coord. Chem. Rev. 2018, 358, 70–79. [Google Scholar] [CrossRef]
- DeLucia, F.C.; Samuels, A.C.; Harmon, R.S.; Walters, R.A.; McNesby, K.L.; LaPointe, A.; Winkel, R.J.; Miziolek, A.W. Laser-Induced Breakdown Spectroscopy (LIBS): A Promising Versatile Chemical Sensor Technology for Hazardous Material Detection. IEEE Sens. J. 2005, 5, 681–689. [Google Scholar] [CrossRef]
- Noll, R.; Sturm, V.; Aydin, Ü.; Eilers, D.; Gehlen, C.; Höhne, M.; Lamott, A.; Makowe, J.; Vrenegor, J. Laser-Induced Breakdown Spectroscopy—From Research to Industry, New Frontiers for Process Control. Spectrochim. Acta Part B At. Spectrosc. 2008, 63, 1159–1166. [Google Scholar] [CrossRef]
- Noll, R.; Cord Fricke-Begemann, A.; Connemann, S.; Meinhardt, C.; Sturm, V. LIBS Analyses for Industrial Applications–an Overview of Developments from 2014 to 2018. J. Anal. At. Spectrom. 2018, 33, 945–956. [Google Scholar] [CrossRef]
- Pedarnig, J.D.; Pedarnig, S.; Trautner, S.; Grünberger, N.; Giannakaris, S.; Eschlböck-Fuchs, J.H. Review of Element Analysis of Industrial Materials by In-Line Laser—Induced Breakdown Spectroscopy (LIBS). Appl. Sci. 2021, 11, 9274. [Google Scholar] [CrossRef]
- Markiewicz-Keszycka, M.; Cama-Moncunill, X.; Casado-Gavalda, M.P.; Dixit, Y.; Cama-Moncunill, R.; Cullen, P.J.; Sullivan, C. Laser-Induced Breakdown Spectroscopy (LIBS) for Food Analysis: A Review. Trends Food Sci. Technol. 2017, 65, 80–93. [Google Scholar] [CrossRef]
- Rezaei, F.; Tavassoli, S.H. Numerical and Experimental Investigation of Laser Induced Plasma Spectrum of Aluminum in the Presence of a Noble Gas. Spectrochim. Acta Part B At. Spectrosc. 2012, 78, 29–36. [Google Scholar] [CrossRef]
- D’Angelo, C.A.; Díaz Pace, D.M.; Bertuccelli, G. Semiempirical Model for Analysis of Inhomogeneous Optically Thick Laser-Induced Plasmas. Spectrochim. Acta Part B At. Spectrosc. 2009, 64, 999–1008. [Google Scholar] [CrossRef]
- Bohling, C.; Hohmann, K.; Scheel, D.; Bauer, C.; Schippers, W.; Burgmeier, J.; Willer, U.; Holl, G.; Schade, W. All-Fiber-Coupled Laser-Induced Breakdown Spectroscopy Sensor for Hazardous Materials Analysis. Spectrochim. Acta Part B At. Spectrosc. 2007, 62, 1519–1527. [Google Scholar] [CrossRef]
- Ralchenko, Y. NIST Atomic Spectra Database. Mem. Della Soc. Astron. Ital. Suppl. 2005, 8, 96. [Google Scholar]
- Guezenoc, J.; Gallet-Budynek, A.; Bousquet, B. Critical Review and Advices on Spectral-Based Normalization Methods for LIBS Quantitative Analysis. Spectrochim. Acta Part B At. Spectrosc. 2019, 160, 105688. [Google Scholar] [CrossRef]
- Hai, B.; Zhu, X.L.; Hu, Z.Q.; Ma, X.; Zhu, J.F.; Su, Y.B.; Zhang, D.C. Simple Method for Liquid Analysis by Laser-Induced Breakdown Spectroscopy (LIBS). Opt. Express 2018, 26, 18794–18802. [Google Scholar] [CrossRef]
- Lei, W.; Motto-Ros, V.; Boueri, M.; Ma, Q.; Zhang, D.; Zheng, L.; Zeng, H.; Yu, J. Time-Resolved Characterization of Laser-Induced Plasma from Fresh Potatoes. Spectrochim. Acta Part B At. Spectrosc. 2009, 64, 891–898. [Google Scholar] [CrossRef]
- Liu, P.; Cuerda-Gil, D.; Shahid, S.; Slotkin, R.K. The Epigenetic Control of the Transposable Element Life Cycle in Plant Genomes and Beyond. Annu. Rev. Genet. 2022, 56, 63–87. [Google Scholar] [CrossRef]
- Soetan, K.O.; Olaiya, C.O.; Oyewole, O.E. The Importance of Mineral Elements for Humans, Domestic Animals and Plants: A Review. Afr. J. Food Sci. 2010, 4, 200–222. [Google Scholar]
- Dalcorso, G.; Manara, A.; Piasentin, S.; Furini, A. Nutrient Metal Elements in Plants. Metallomics 2014, 6, 1770–1788. [Google Scholar] [CrossRef]
- Pilon-Smits, E.A.; Quinn, C.F.; Tapken, W.; Malagoli, M.; Schiavon, M. Physiological Functions of Beneficial Elements. Curr. Opin. Plant Biol. 2009, 12, 267–274. [Google Scholar] [CrossRef]
- 7 Most Abundant Metal Elements in Earth’s Crust|Refractory Metals and Alloys. Available online: https://www.refractorymetal.org/7-most-abundant-metal-elements-in-earths-crust/ (accessed on 2 September 2025).
- Kochian, L.V.; Hoekenga, O.A.; Piñeros, M.A. How Do Crop Plants Tolerate Acid Soils? Mechanisms of Aluminum Tolerance and Phosphorous Efficiency. Annu. Rev. Plant Biol. 2004, 55, 459–493. [Google Scholar] [CrossRef] [PubMed]
- Wei, Y.; Han, R.; Xie, Y.; Jiang, C.; Yu, Y. Recent Advances in Understanding Mechanisms of Plant Tolerance and Response to Aluminum Toxicity. Sustainability 2021, 13, 1782. [Google Scholar] [CrossRef]
- Zheng, S.J. Crop Production on Acidic Soils: Overcoming Aluminium Toxicity and Phosphorus Deficiency. Ann. Bot. 2010, 106, 183–184. [Google Scholar] [CrossRef]
- Khan, F.; Siddique, A.B.; Shabala, S.; Zhou, M.; Zhao, C. Phosphorus Plays Key Roles in Regulating Plants’ Physiological Responses to Abiotic Stresses. Plants 2023, 12, 2861. [Google Scholar] [CrossRef]
- Bechtaoui, N.; Rabiu, M.K.; Raklami, A.; Oufdou, K.; Hafidi, M.; Jemo, M. Phosphate-Dependent Regulation of Growth and Stresses Management in Plants. Front. Plant Sci. 2021, 12, 679916. [Google Scholar] [CrossRef] [PubMed]
- Vance, C.P.; Uhde-Stone, C.; Allan, D.L. Phosphorus Acquisition and Use: Critical Adaptations by Plants for Securing a Nonrenewable Resource. New Phytol. 2003, 157, 423–447. [Google Scholar] [CrossRef] [PubMed]
- Niu, Y.F.; Chai, R.S.; Jin, G.L.; Wang, H.; Tang, C.X.; Zhang, Y.S. Responses of Root Architecture Development to Low Phosphorus Availability: A Review. Ann. Bot. 2013, 112, 391. [Google Scholar] [CrossRef] [PubMed]
- Rahman, A.; Lee, S.; Ji, H.C.; Kabir, A.H.; Jones, C.S.; Lee, K. Importance of Mineral Nutrition for Mitigating Aluminum Toxicity in Plants on Acidic Soils: Current Status and Opportunities. Int. J. Mol. Sci. 2018, 19, 3073. [Google Scholar] [CrossRef]
- Santos, D.; Nunes, L.C.; De Carvalho, G.G.A.; Gomes, M.D.S.; De Souza, P.F.; Leme, F.D.O.; Dos Santos, L.G.C.; Krug, F.J. Laser-Induced Breakdown Spectroscopy for Analysis of Plant Materials: A Review. Spectrochim. Acta Part B At. Spectrosc. 2012, 71–72, 3–13. [Google Scholar] [CrossRef]
- Díaz Pace, D.; Molina, J.; Rodríguez, C.I. Rapid Assessment of Extractability of Macronutrients from Yerba Mate (Illex paraguariensis) Leaves Based on Laser-Induced Breakdown Spectroscopy. Chemosensors 2024, 12, 18. [Google Scholar] [CrossRef]
- Peng, J.; Liu, F.; Zhou, F.; Song, K.; Zhang, C.; Ye, L.; He, Y. Challenging Applications for Multi-Element Analysis by Laser-Induced Breakdown Spectroscopy in Agriculture: A Review. TrAC-Trends Anal. Chem. 2016, 85, 260–272. [Google Scholar] [CrossRef]
- Kamil, Z.J.; Zoory, M.J.; Mohamad, H.J. LIBS technique for plant mineral ratio analysis and environmental and agricultural importance: A comprehensive review. Eur. Phys. J. D 2024, 78, 27. [Google Scholar] [CrossRef]
- Rai, P.K.; Srivastava, A.K.; Sharma, B.; Dhar, P.; Mishra, A.K.; Watal, G. Use of Laser-Induced Breakdown Spectroscopy for the Detection of Glycemic Elements in Indian Medicinal Plants. Evid.-Based Complement. Altern. Med. 2013, 2013, 406365. [Google Scholar] [CrossRef] [PubMed]
- Singh, V.K.; Sharma, N.; Verma, O.N.; Singh, V.K.; Tripathi, D.K.; Lee, Y.; Kumar, S.; Rai, P.K.; Gondal, M.A. Review: Application of Libs to Elemental Analysis and Mapping of Plant Samples. At. Spectrosc. 2021, 42, 99–113. [Google Scholar] [CrossRef]
- de Carvalho, G.G.A.; Guerra, M.B.B.; Adame, A.; Nomura, C.S.; Oliveira, P.V.; de Carvalho, H.W.P.; Santos, D., Jr.; Nunes, L.C.; Krug, F.J. Recent Advances in LIBS and XRF for the Analysis of Plants. J. Anal. At. Spectrom. 2018, 33, 919–944. [Google Scholar] [CrossRef]
- Yu, K.; Ren, J.; Zhao, Y. Principles, Developments and Applications of Laser-Induced Breakdown Spectroscopy in Agriculture: A Review. Artif. Intell. Agric. 2020, 4, 127–139. [Google Scholar] [CrossRef]
- Yang, P.; Fu, G.; Wang, J.; Luo, Z.; Yao, M. A Tutorial Review on Methods of Agricultural Product Sample Pretreatment and Target Analysis by Laser-Induced Breakdown Spectroscopy. J. Anal. At. Spectrom. 2022, 37, 1948–1960. [Google Scholar] [CrossRef]
- Zhang, Y.; Zhang, T.; Li, H. Application of Laser-Induced Breakdown Spectroscopy (LIBS) in Environmental Monitoring. Spectrochim. Acta Part B At. Spectrosc. 2021, 181, 106218. [Google Scholar] [CrossRef]
- Ren, J.; Zhao, Y.; Yu, K. LIBS in Agriculture: A Review Focusing on Revealing Nutritional and Toxic Elements in Soil, Water, and Crops. Comput. Electron. Agric. 2022, 197, 106986. [Google Scholar] [CrossRef]
- Senesi, G.S.; Cabral, J.; Menegatti, C.R.; Marangoni, B.; Nicolodelli, G. Recent Advances and Future Trends in LIBS Applications to Agricultural Materials and Their Food Derivatives: An Overview of Developments in the Last Decade (2010–2019). Part II. Crop Plants and Their Food Derivatives. Trends Anal. Chem. 2019, 118, 453–469. [Google Scholar] [CrossRef]
- Zaman, M.H.; Rehman, F.; Tahir, M.S.; Faheem, M.; Jamil, Y. A Study on the Effect of Preprocessing and Normalization on Classification of Plant Samples in Machine Learning Assisted Laser-Induced Breakdown Spectroscopy. Arab. J. Sci. Eng. 2024, 49, 10003–10019. [Google Scholar] [CrossRef]
- Tavares, T.R. VNIR, XRF, and LIBS Spectroscopies for Soil Sensing on Precision Agriculture. Ph.D. Thesis, University of São Paulo “Luiz de Queiroz”, College of Agriculture VNIR, São Paulo, Brazil, 2021; pp. 1–164. [Google Scholar]
- Yang, N. Elemental Analysis of Soils Using Laser-Induced Breakdown Spectroscopy (LIBS). Master’s Thesis, University of Tennessee, Knoxville, TN, USA, 2009; pp. 1–61. [Google Scholar]
- Barra, I. Soil Spectroscopy: When Spectroscopy and Machine Learning Combine to Solve Agricultural Soil Diagnostic Problems; Springer: Cham, Switzerland, 2024; pp. 499–507. [Google Scholar] [CrossRef]
- Beć, K.B.; Grabska, J.; Huck, C.W. X-Ray, LIBS, NMR, and MS Applications in Food, Feed, and Agriculture. Portable. In Spectroscopy and Spectrometry; John Wiley & Sons, Ltd.: Hoboken, NJ, USA, 2021; pp. 299–323. [Google Scholar] [CrossRef]
- Singh, V.K.; Sharma, J.; Pathak, A.K.; Ghany, C.T.; Gondal, M.A. Laser-Induced Breakdown Spectroscopy (LIBS): A Novel Technology for Identifying Microbes Causing Infectious Diseases. Biophys. Rev. 2018, 10, 1221–1239. [Google Scholar] [CrossRef]
- Modlitbová, P.; Pořízka, P.; Kaiser, J. Laser-Induced Breakdown Spectroscopy as a Promising Tool in the Elemental Bioimaging of Plant Tissues. Trends Anal. Chem. 2020, 122, 115729. [Google Scholar] [CrossRef]
- Trevizan, L.C.; Santos, D.; Samad, R.E.; Vieira, N.D.; Nunes, L.C.; Rufini, I.A.; Krug, F.J. Evaluation of Laser Induced Breakdown Spectroscopy for the Determination of Micronutrients in Plant Materials. Spectrochim. Acta Part B At. Spectrosc. 2009, 64, 369–377. [Google Scholar] [CrossRef]
- Martelli, M.R.; Brygo, F.; Sadoudi, A.; Delaporte, P.; Barron, C. Laser-Induced Breakdown Spectroscopy and Chemometrics: A Novel Potential Method to Analyze Wheat Grains. J. Agric. Food Chem. 2010, 58, 7126–7134. [Google Scholar] [CrossRef]
- Bossu, M.; Hao, Z.Q.; Baudelet, M.; Yu, J.; Zhang, Z.; Zhang, J. Femtosecond Laser-Induced Breakdown Spectroscopy for Detection of Trace Elements in Sophora Leaves. Chin. Phys. Lett. 2007, 24, 3466–3468. [Google Scholar] [CrossRef]
- Fortes, F.J.; Moros, J.; Lucena, P.; Cabalín, L.M.; Laserna, J.J. Laser-Induced Breakdown Spectroscopy. Anal. Chem. 2013, 85, 640–669. [Google Scholar] [CrossRef]
- Assion, A.; Wollenhaupt, M.; Haag, L.; Mayorov, F.; Sarpe-Tudoran, C.; Winter, M.; Kutschera, U.; Baumert, T. Femtosecond Laser-Induced-Breakdown Spectrometry for Ca2+ Analysis of Biological Samples with High Spatial Resolution. Appl. Phys. B 2003, 77, 391–397. [Google Scholar] [CrossRef]
- Idris, N.; Ramli, M.; Kurihara, K. Detection of Salt in Soil by Employing the Unique Sub-Target Effect in a Pulsed Carbon Dioxide (CO2) Laser-Induced Breakdown Spectroscopy. In Proceedings of the 2016 International Seminar on Sensors, Instrumentation, Measurement and Metrology (ISSIMM), Malang, Indonesia, 10–11 August 2016. [Google Scholar] [CrossRef]
- Khumaeni, A.; Ramli, M.; Deguchi, Y.; Lee, Y.; Idris, N.; Kurniawan, K.H.; Lie, T.J.J.; Kagawa, K. New Technique for the Direct Analysis of Food Powders Confined in a Small Hole Using Transversely Excited Atmospheric CO2 Laser-Induced Gas Plasma. Appl. Spectrosc. 2008, 62, 1344–1348. [Google Scholar] [CrossRef]
- Tamboli, M.M.; Unnikrishnan, V.K.; Nayak, R.; Devangad, P.; Muhammed Shameem, K.M.; Kartha, V.B.; Santhosh, C. Development of a Stand-off Laser Induced Breakdown Spectroscopy (ST-LIBS) System for the Analysis of Complex Matrices. J. Instrum. 2016, 11, P08021. [Google Scholar] [CrossRef]
- Braga Bueno Guerra, M.; Adame, A.; de Almeida, E.; Gustinelli Arantes de Carvalho, G.; Augusto Stolf Brasil, M.; Santos, D., Jr.; José Krug, F. Direct Analysis of Plant Leaves by EDXRF and LIBS: Microsampling Strategies and Cross-Validation. J. Anal. At. Spectrom. 2015, 7, 1646–1654. [Google Scholar] [CrossRef]
- Harmon, R.S.; De Lucia, F.C.; Miziolek, A.W.; Mcnesby, K.L.; Walters, R.A.; French, P.D. Laser-Induced Breakdown Spectroscopy (LIBS)–an Emerging Field-Portable Sensor Technology for Real-Time, in-Situ Geochemical and Environmental Analysis. Geochem. Explor. Environ. Anal. 2005, 5, 21–28. [Google Scholar] [CrossRef]
- Noharet, B.; Sterner, C.; Irebo, T.; Gurell, J.; Bengtson, A.; Vanik, R.; Karlsson, H.; Illy, E. A Compact LIBS System for Industrial Applications. Photonic Instrum. Eng. II 2015, 9369, 936904. [Google Scholar]
- Whitehouse, A.I. Laser-Induced Breakdown Spectroscopy and Its Applications to the Remote Characterization of Hazardous Materials. Spectrosc. Eur./World 2006, 18, 14–21. [Google Scholar] [CrossRef]
- Gondal, M.; Talanta, T.H. Determination of Poisonous Metals in Wastewater Collected from Paint Manufacturing Plant Using Laser-Induced Breakdown Spectroscopy. Talanta 2007, 71, 73–80. [Google Scholar] [CrossRef]
- Galiová, M.; Kaiser, J.; Novotný, K.; Hartl, M.; Kizek, R.; Babula, P. Utilization of Laser-Assisted Analytical Methods for Monitoring of Lead and Nutrition Elements Distribution in Fresh and Dried Capsicum annuum l. Leaves. Microsc. Res. Tech. 2011, 74, 845–852. [Google Scholar] [CrossRef]
- Pořízka, P.; Prochazka, D.; Pilát, Z.; Krajcarová, L.; Kaiser, J.; Malina, R.; Novotný, J.; Zemánek, P.; Ježek, J.; Šerý, M.; et al. Application of Laser-Induced Breakdown Spectroscopy to the Analysis of Algal Biomass for Industrial Biotechnology. Spectrochim. Acta Part B At. Spectrosc. 2012, 74–75, 169–176. [Google Scholar] [CrossRef]
- Kaiser, J.; Novotný, K.; Hrdlička, A.; Malina, R.; Novotný, J.; Prochazka, D.; Petrilak, M.; Krajcarová, L.; Vítková, G.; Kučerová, P. Utilization of Selected Laser-Ablation-Based Diagnostic Methods for Study of Elemental Distribution in Various Solid Samples. In Proceedings of the 17th Slovak-Czech-Polish Optical Conference on Wave and Quantum Aspects of Contemporary Optics, Liptovský Ján, Slovakia, 6–10 September 2010; Volume 7746, p. 774604. [Google Scholar] [CrossRef]
- Trevizan, L.C.; Santos, D.; Samad, R.E.; Vieira, N.D.; Nomura, C.S.; Nunes, L.C.; Rufini, I.A.; Krug, F.J. Evaluation of Laser Induced Breakdown Spectroscopy for the Determination of Macronutrients in Plant Materials. Spectrochim. Acta Part B At. Spectrosc. 2008, 63, 1151–1158. [Google Scholar] [CrossRef]
- Sun, D.; Su, M.; Dong, C.; Zhang, D.; Ma, X. A Semi-Quantitative Analysis of Essential Micronutrient in Folium Lycii Using Laser-Induced Breakdown Spectroscopy Technique. Plasma Sci. Technol. 2010, 12, 478. [Google Scholar] [CrossRef]
- El-Deftar, M.M.; Robertson, J.; Foster, S.; Lennard, C. Evaluation of Elemental Profiling Methods, Including Laser-Induced Breakdown Spectroscopy (LIBS), for the Differentiation of Cannabis Plant Material Grown in Different Nutrient Solutions. Forensic Sci. Int. 2015, 251, 95–106. [Google Scholar] [CrossRef]
- Zhang, D.C.; Ma, X.; Wen, W.Q.; Liu, H.P.; Zhang, P.J. Studies of Laser Induced-Breakdown Spectroscopy of Holly Leaves. J. Phys. Conf. Ser. 2009, 185, 8–11. [Google Scholar] [CrossRef]
- Kaiser, J.; Galiová, M.; Novotný, K.; Reale, L.; Stejskal, K.; Samek, O.; Malina, R.; Páleníková, K.; Adam, V.; Kizek, R. Utilization of the Laser Induced Plasma Spectroscopy for monitoring of the metal accumulation in plant tissues with high spatial resolution. Mod. Res. Educ. Top. Microsc. 2007, 1, 434–441. [Google Scholar]
- Chauhan, D.K.; Tripathi, D.K.; Rai, N.K.; Rai, A.K. Detection of Biogenic Silica in Leaf Blade, Leaf Sheath, and Stem of Bermuda Grass (Cynodon dactylon) Using LIBS and Phytolith Analysis. Food Biophys. 2011, 6, 416–423. [Google Scholar] [CrossRef]
- Samek, O.; Lambert, J.; Hergenröder, R.; Liška, M.; Kaiser, J.; Novotný, K.; Kukhlevsky, S. Femtosecond Laser Spectrochemical Analysis of Plant Samples. Laser Phys. Lett. 2006, 3, 21–25. [Google Scholar] [CrossRef]
- Khumaeni, A.; Lie, Z.S.; Niki, H.; Kurniawan, K.H.; Tjoeng, E.; Lee, Y.I.; Kurihara, K.; Deguchi, Y.; Kagawa, K. Direct Analysis of Powder Samples Using Transversely Excited Atmospheric CO2 Laser-Induced Gas Plasma at 1 Atm. Anal. Bioanal. Chem. 2011, 400, 3279–3287. [Google Scholar] [CrossRef] [PubMed]
- Khumaeni, A.; Niki, H.; Fukumoto, K.I.; Deguchi, Y.; Kurihara, K.; Kagawa, K.; Lee, Y.I. A Unique Technique of Laser-Induced Breakdown Spectroscopy Using Transversely Excited Atmospheric CO2 Laser for the Sensitive Analysis of Powder Samples. Curr. Appl. Phys. 2011, 11, 423–427. [Google Scholar] [CrossRef]
- Soniya, V.P.; Bhindhu, P.S.; Sujaina, M. Laser Induced Breakdown Spectroscopy: A Rapid Analytical Technique for Soil and Plant. Int. J. Environ. Clim. Change 2023, 13, 1813–1820. [Google Scholar] [CrossRef]
- Schenk, E.R.; Almirall, J.R. Elemental Analysis of Cotton by Laser-Induced Breakdown Spectroscopy. Appl. Opt. 2010, 49, C153–C160. [Google Scholar] [CrossRef]
- Braga, J.W.B.; Trevizan, L.C.; Nunes, L.C.; Rufini, I.A.; Santos, D.; Krug, F.J. Comparison of Univariate and Multivariate Calibration for the Determination of Micronutrients in Pellets of Plant Materials by Laser Induced Breakdown Spectrometry. Spectrochim. Acta Part B At. Spectrosc. 2010, 65, 66–74. [Google Scholar] [CrossRef]
- Martin, M.Z.; Labbé, N.; André, N.; Harris, R.; Ebinger, M.; Wullschleger, S.D.; Vass, A.A. High Resolution Applications of Laser-Induced Breakdown Spectroscopy for Environmental and Forensic Applications. Spectrochim. Acta Part B At. Spectrosc. 2007, 62, 1426–1432. [Google Scholar] [CrossRef]
- Gomes, M.D.S.; Santos, D.; Nunes, L.C.; De Carvalho, G.G.A.; De Oliveira Leme, F.; Krug, F.J. Evaluation of Grinding Methods for Pellets Preparation Aiming at the Analysis of Plant Materials by Laser Induced Breakdown Spectrometry. Talanta 2011, 85, 1744–1750. [Google Scholar] [CrossRef]
- De Carvalho, G.G.A.; Santos, D.; Nunes, L.C.; Gomes, M.D.S.; Leme, F.D.O.; Krug, F.J. Effects of Laser Focusing and Fluence on the Analysis of Pellets of Plant Materials by Laser-Induced Breakdown Spectroscopy. Spectrochim. Acta Part B At. Spectrosc. 2012, 74–75, 162–168. [Google Scholar] [CrossRef]
- Jabbar, A.; Akhtar, M.; Mehmmod, S.; Iqbal, M.; Ahmed, R.; Baig, M.A. Quantification of Copper Remediation in the Allium cepa, L. Leaves Using Electric Field Assisted Laser Induced Breakdown Spectroscopy. Spectrochim. Acta Part B At. Spectrosc. 2019, 162, 105719. [Google Scholar] [CrossRef]
- Hassan, M.; Sighicelli, M.; Lai, A.; Colao, F.; Ahmed, A.H.H.; Fantoni, R.; Harith, M.A. Studying the Enhanced Phytoremediation of Lead Contaminated Soils via Laser Induced Breakdown Spectroscopy. Spectrochim. Acta Part B At. Spectrosc. 2008, 63, 1225–1229. [Google Scholar] [CrossRef]
- Ma, S.; Gao, X.; Kaimin, G.; Medhanie, K.; JingQuan, L. Analysis of the Element Content in Poplar Tree Leaves by Femtosecond Laser-Induced Breakdown Spectroscopy. Sci. China Phys. Mech. Astron. 2011, 54, 1953–1957. [Google Scholar] [CrossRef]
- Martin, M.Z.; Stewart, A.J.; Gwinn, K.D.; Waller, J.C. Laser-Induced Breakdown Spectroscopy Used to Detect Endophyte-Mediated Accumulation of Metals by Tall Fescue. Appl. Opt. 2010, 49, C161–C167. [Google Scholar] [CrossRef]
- Nunes, L.C.; Batista Braga, J.W.; Trevizan, L.C.; Florêncio De Souza, P.; Arantes De Carvalho, G.G.; Júnior, D.S.; Poppi, R.J.; Krug, F.J. Optimization and Validation of a LIBS Method for the Determination of Macro and Micronutrients in Sugar Cane Leaves. J. Anal. At. Spectrom. 2010, 25, 1453–1460. [Google Scholar] [CrossRef]
- Pouzar, M.; Ernohorský, T.; Průová, M.; Prokopáková, P.; Krejová, A. LIBS Analysis of Crop Plants. J. Anal. At. Spectrom. 2009, 24, 953–957. [Google Scholar] [CrossRef]
- Han, J.; Sun, D.; Su, M.; Peng, L.; Dong, C. Quantitative Analysis of Metallic Elements in Tobacco and Tobacco Ash by Calibration Free Laser-Induced Breakdown Spectroscopy. Anal. Lett. 2012, 45, 1936–1945. [Google Scholar] [CrossRef]
- Zhang, D.C.; Ma, X.W.; Zhu, X.L.; Li, B.; Zu, K.L. Application of Laser-Induced Breakdown Spectroscopy in Analyzing Microelements in Three Kinds of Fruit Samples. Acta Phys. Sin. 2008, 57, 6348–6353. [Google Scholar] [CrossRef]
- Pereira, F.M.V.; Milori, D.M.B.P.; Venâncio, A.L.; Russo, M.D.S.T.; Martins, P.K.; Freitas-Astúa, J. Evaluation of the Effects of Candidatus Liberibacter Asiaticus on Inoculated Citrus Plants Using Laser-Induced Breakdown Spectroscopy (LIBS) and Chemometrics Tools. Talanta 2010, 83, 351–356. [Google Scholar] [CrossRef] [PubMed]
- Beldjilali, S.; Borivent, D.; Mercadier, L.; Mothe, E.; Clair, G.; Hermann, J. Evaluation of Minor Element Concentrations in Potatoes Using Laser-Induced Breakdown Spectroscopy. Spectrochim. Acta Part B At. Spectrosc. 2010, 65, 727–733. [Google Scholar] [CrossRef]
- Uhl, A.; Loebe, K.; Kreuchwig, L. Fast Analysis of Wood Preservers Using Laser Induced Breakdown Spectroscopy. Spectrochim. Acta Part B At. Spectrosc. 2001, 56, 795–806. [Google Scholar] [CrossRef]
- Boyain-Goitia, A.R.; Beddows, D.C.S.; Griffiths, B.C.; Telle, H.H. Single-Pollen Analysis by Laser-Induced Breakdown Spectroscopy and Raman Microscopy. Appl. Opt. 2003, 42, 6119. [Google Scholar] [CrossRef]
- Aragón, C.; Aguilera, J.A. Characterization of Laser Induced Plasmas by Optical Emission Spectroscopy: A Review of Experiments and Methods. Spectrochim. Acta Part B At. Spectrosc. 2008, 63, 893–916. [Google Scholar] [CrossRef]
- Arantes de Carvalho, G.G.; Moros, J.; Santos, D.; Krug, F.J.; Laserna, J.J. Direct Determination of the Nutrient Profile in Plant Materials by Femtosecond Laser-Induced Breakdown Spectroscopy. Anal. Chim. Acta 2015, 876, 26–38. [Google Scholar] [CrossRef] [PubMed]
- Juvé, V.; Portelli, R.; Boueri, M.; Baudelet, M.; Yu, J. Space-Resolved Analysis of Trace Elements in Fresh Vegetables Using Ultraviolet Nanosecond Laser-Induced Breakdown Spectroscopy. Spectrochim. Acta Part B At. Spectrosc. 2008, 63, 1047–1053. [Google Scholar] [CrossRef]
- Kim, G.; Kwak, J.; Choi, J.; Park, K. Detection of Nutrient Elements and Contamination by Pesticides in Spinach and Rice Samples Using Laser-Induced Breakdown Spectroscopy (LIBS). J. Agric. Food Chem. 2012, 60, 718–724. [Google Scholar] [CrossRef] [PubMed]
- Krajcarova, L.; Novotny, K.; Babula, P.; Provaznik, I.; Kucerova, P.; Adam, V.; Martin, M.Z.; Kizek, R.; Kaiser, J. Copper Transport and Accumulation in Spruce Stems (Picea abies (L.) Karsten) Revealed by Laser-Induced Breakdown Spectroscopy. Int. J. Electrochem. Sci. 2013, 8, 4485–4504. [Google Scholar] [CrossRef]
- Krystofova, O.; Shestivska, V.; Galiova, M.; Novotny, K.; Kaiser, J.; Zehnalek, J.; Babula, P.; Opatrilova, R.; Adam, V.; Kizek, R. Sunflower Plants as Bioindicators of Environmental Pollution with Lead (II) Ions. Sensors 2009, 9, 5040–5058. [Google Scholar] [CrossRef]
- Diopan, V.; Shestivska, V.; Zitka, O.; Galiova, M.; Adam, V.; Kaiser, J.; Horna, A.; Novotny, K.; Liska, M.; Havel, L.; et al. Determination of Plant Thiols by Liquid Chromatography Coupled with Coulometric and Amperometric Detection in Lettuce Treated by Lead (II) Ions. Electroanalysis 2010, 22, 1248–1259. [Google Scholar] [CrossRef]
- Kaiser, J.; Galiová, M.; Novotný, K.; Červenka, R.; Reale, L.; Novotný, J.; Liška, M.; Samek, O.; Kanický, V.; Hrdlička, A.; et al. Mapping of Lead, Magnesium and Copper Accumulation in Plant Tissues by Laser-Induced Breakdown Spectroscopy and Laser-Ablation Inductively Coupled Plasma Mass Spectrometry. Spectrochim. Acta Part B At. Spectrosc. 2009, 64, 67–73. [Google Scholar] [CrossRef]
- Krizkova, S.; Ryant, P.; Krystofova, O.; Adam, V.; Galiova, M.; Beklova, M.; Babula, P.; Kaiser, J.; Novotny, K.; Novotny, J.; et al. Multi-Instrumental Analysis of Tissues of Sunflower Plants Treated with Silver(I) Ions—Plants as Bioindicators of Environmental Pollution. Sensors 2008, 8, 445–463. [Google Scholar] [CrossRef] [PubMed]
- Galiová, M.; Kaiser, J.; Novotný, K.; Novotný, J.; Vaculovič, T.; Liška, M.; Malina, R.; Stejskal, K.; Adam, V.; Kizek, R. Investigation of Heavy-Metal Accumulation in Selected Plant Samples Using Laser Induced Breakdown Spectroscopy and Laser Ablation Inductively Coupled Plasma Mass Spectrometry. Appl. Phys. A Mater. Sci. Process 2008, 93, 917–922. [Google Scholar] [CrossRef]
- Peng, J.; He, Y.; Ye, L.; Shen, T.; Liu, F.; Kong, W.; Liu, X.; Zhao, Y. Moisture Influence Reducing Method for Heavy Metals Detection in Plant Materials Using Laser-Induced Breakdown Spectroscopy: A Case Study for Chromium Content Detection in Rice Leaves. Anal. Chem. 2017, 89, 7593–7600. [Google Scholar] [CrossRef]
- Rai, D.; Agrawal, R.; Kumar, R.; Rai, A.K.; Rai, G.K. Effect of Processing on Magnesium Content of Green Leafy Vegetables. J. Appl. Spectrosc. 2014, 80, 878–883. [Google Scholar] [CrossRef]
- Dhar, P.; Gembitsky, I.; Rai, P.K.; Rai, N.K.; Rai, A.K.; Watal, G. A Possible Connection Between Antidiabetic & Antilipemic Properties of Psoralea Corylifolia Seeds and the Trace Elements Present: A LIBS Based Study. Food Biophys. 2013, 8, 95–103. [Google Scholar] [CrossRef]
- Tripathi, D.K.; Kumar, R.; Chauhan, D.K.; Rai, A.K.; Bicanic, D. Laser-Induced Breakdown Spectroscopy for the Study of the Pattern of Silicon Deposition in Leaves Of Saccharum Species. Instrum. Sci. Technol. 2011, 39, 510–521. [Google Scholar] [CrossRef]
- Jabbar, A.; Akhtar, M.; Mehmood, S.; Ahmed, N.; Umar, Z.A.; Ahmed, R.; Baig, M.A. On the Detection of Heavy Elements in the: Euphorbia Indica Plant Using Laser-Induced Breakdown Spectroscopy and Laser Ablation Time of Flight Mass Spectrometry. J. Anal. At. Spectrom. 2019, 34, 954–962. [Google Scholar] [CrossRef]
- Rai, P.K.; Chatterji, S.; Rai, N.K.; Rai, A.K.; Bicanic, D.; Watal, G. The Glycemic Elemental Profile of Trichosanthes Dioica: A LIBS-Based Study. Food Biophys. 2010, 5, 17–23. [Google Scholar] [CrossRef]
- Jaiswal, D.; Rai, P.K.; Watal, G. Hypoglycemic and Antidiabetic Effects of Withania Coagulans Fruit Ethanolic Extract in Normal and Streptozotocin-Induced Diabetic Rats. J. Food Biochem. 2010, 34, 764–778. [Google Scholar] [CrossRef]
- Rai, N.K.; Rai, P.K.; Pandhija, S.; Watal, G.; Rai, A.K.; Bicanic, D. Application of LIBS in Detection of Antihyperglycemic Trace Elements in Momordica Charantia. Food Biophys. 2009, 4, 167–171. [Google Scholar] [CrossRef]
- Rai, P.K.; Rai, N.K.; Rai, A.K.; Watal, G. Role of LIBS in Elemental Analysis of Psidium Guajava Responsible for Glycemic Potential. Instrum. Sci. Technol. 2007, 35, 507–522. [Google Scholar] [CrossRef]
- Tiwari, M.; Agrawal, R.; Pathak, A.K.; Rai, A.K.; Rai, G.K. Laser-Induced Breakdown Spectroscopy: An Approach to Detect Adulteration in Turmeric. Spectrosc. Lett. 2013, 46, 155–159. [Google Scholar] [CrossRef]
- Mbesse Kongbonga, Y.G.; Ghalila, H.; Onana, M.B.; Ben Lakhdar, Z. Classification of Vegetable Oils Based on Their Concentration of Saturated Fatty Acids Using Laser Induced Breakdown Spectroscopy (LIBS). Food Chem. 2014, 147, 327–331. [Google Scholar] [CrossRef]
- Nunes, L.C.; da Silva, G.A.; Trevizan, L.C.; Santos Júnior, D.; Poppi, R.J.; Krug, F.J. Simultaneous Optimization by Neuro-Genetic Approach for Analysis of Plant Materials by Laser Induced Breakdown Spectroscopy. Spectrochim. Acta Part B At. Spectrosc. 2009, 64, 565–572. [Google Scholar] [CrossRef]
- Dhanada, V.S.; George, S.D.; Kartha, V.B.; Chidangil, S.; Unnikrishnan, V.K. Hybrid LIBS-Raman-LIF Systems for Multi-Modal Spectroscopic Applications: A Topical Review. Appl. Spectrosc. Rev. 2021, 56, 463–491. [Google Scholar] [CrossRef]
- Badday, M.A.; Bidin, N.; Rizvi, Z.H.; Hosseinian, R. Determination of Environmental Safety Level with Laser-Induced Breakdown Spectroscopy Technique. Chem. Ecol. 2015, 31, 379–387. [Google Scholar] [CrossRef]
- Aldakheel, R.K.; Gondal, M.A.; Nasr, M.M.; Almessiere, M.A.; Idris, N. Spectral Analysis of Miracle Moringa Tree Leaves Using X-Ray Photoelectron, Laser Induced Breakdown and Inductively Coupled Plasma -Optical Emission Spectroscopic Techniques. Talanta 2020, 217, 121062. [Google Scholar] [CrossRef] [PubMed]
- Ercioglu, E.; Velioglu, H.M.; Boyaci, I.H. Chemometric Evaluation of Discrimination of Aromatic Plants by Using NIRS, LIBS. Food Anal. Methods 2018, 11, 1656–1667. [Google Scholar] [CrossRef]
- Zhao, S.; Song, W.; Hou, Z.; Wang, Z. Classification of Ginseng According to Plant Species, Geographical Origin, and Age Using Laser-Induced Breakdown Spectroscopy and Hyperspectral Imaging. J. Anal. At. Spectrom. 2021, 36, 1704–1711. [Google Scholar] [CrossRef]
- Gamela, R.R.; Speranca, M.A.; Andrade, D.F.; Pereira-Filho, E.R. Hyperspectral Images: A Qualitative Approach to Evaluate the Chemical Profile Distribution of Ca, K, Mg, Na and P in Edible Seeds Employing Laser-Induced Breakdown Spectroscopy. Anal. Methods 2019, 11, 5543–5552. [Google Scholar] [CrossRef]
- Jiang, Y.; Kang, J.; Wang, Y.; Chen, Y.; Li, R. Rapid and Sensitive Analysis of Trace Leads in Medicinal Herbs Using Laser-Induced Breakdown Spectroscopy–Laser-Induced Fluorescence (LIBS-LIF). Appl. Spectrosc. 2019, 73, 1284–1291. [Google Scholar] [CrossRef] [PubMed]
- Zhu, C.; Tang, Z.; Li, Q.; Zhou, R.; Lv, J.; Zhang, W.; Zhan, K.; Li, X.; Zeng, X. Lead of Detection in Rhododendron Leaves Using Laser-Induced Breakdown Spectroscopy Assisted by Laser-Induced Fluorescence. Sci. Total Environ. 2020, 738, 139402. [Google Scholar] [CrossRef]
- Whatley, C.R.; Wijewardane, N.K.; Bheemanahalli, R.; Reddy, K.R.; Lu, Y. Effects of Fine Grinding on Mid-Infrared Spectroscopic Analysis of Plant Leaf Nutrient Content. Sci. Rep. 2023, 13, 6314. [Google Scholar] [CrossRef]
- Marie-Christine, M. Comparison of the Performance of Laser-Induced Breakdown Spectroscopy and Color, Visible, Near-Infrared and Mid-Infrared Spectroscopy in the Prediction of Various Soil Properties. Master’s Thesis, McGill University, Montreal, QC, Canada, 2020. [Google Scholar]
- Singh, J.P.; Thakur, S.N. Laser-Induced Breakdown Spectroscopy, 2nd ed.; Elsevier: Amsterdam, The Netherlands, 2020; ISBN 9780128188293. [Google Scholar]
- Andrade, D.F.; Pereira-Filho, E.R.; Konieczynski, P. Comparison of ICP OES and LIBS Analysis of Medicinal Herbs Rich in Flavonoids from Eastern Europe. J. Braz. Chem. Soc. 2017, 28, 838–847. [Google Scholar] [CrossRef]
- Tripathi, D.K.; Kumar, R.; Pathak, A.K.; Chauhan, D.K.; Rai, A.K. Laser-Induced Breakdown Spectroscopy and Phytolith Analysis: An Approach to Study the Deposition and Distribution Pattern of Silicon in Different Parts of Wheat (Triticum aestivum L.) Plant. Agric. Res. 2012, 1, 352–361. [Google Scholar] [CrossRef]
- Modlitbová, P.; Hlaváček, A.; Švestková, T.; Pořízka, P.; Šimoníková, L.; Novotný, K.; Kaiser, J. The Effects of Photon-Upconversion Nanoparticles on the Growth of Radish and Duckweed: Bioaccumulation, Imaging, and Spectroscopic Studies. Chemosphere 2019, 225, 723–734. [Google Scholar] [CrossRef] [PubMed]
- Kaiser, J.; Samek, O.; Reale, L.; Liška, M.; Malina, R.; Ritucci, A.; Poma, A.; Tucci, A.; Flora, F.; Lai, A.; et al. Monitoring of the Heavy-Metal Hyperaccumulation in Vegetal Tissues by X-Ray Radiography and by Femto-Second Laser Induced Breakdown Spectroscopy. Microsc. Res. Tech. 2007, 70, 147–153. [Google Scholar] [CrossRef]
- Da Silva Gomes, M.; De Carvalho, G.G.A.; Santos, D.; Krug, F.J. A Novel Strategy for Preparing Calibration Standards for the Analysis of Plant Materials by Laser-Induced Breakdown Spectroscopy: A Case Study with Pellets of Sugar Cane Leaves. Spectrochim. Acta Part B At. Spectrosc. 2013, 86, 137–141. [Google Scholar] [CrossRef]
- Zhao, X.; Zhao, C.; Du, X.; Dong, D. Detecting and Mapping Harmful Chemicals in Fruit and Vegetables Using Nanoparticle-Enhanced Laser-Induced Breakdown Spectroscopy. Sci. Rep. 2019, 9, 906. [Google Scholar] [CrossRef]
- Zhao, C.; Dong, D.; Du, X.; Zheng, W. In-Field, In Situ, and In Vivo 3-Dimensional Elemental Mapping for Plant Tissue and Soil Analysis Using Laser-Induced Breakdown Spectroscopy. Sensors 2016, 16, 1764. [Google Scholar] [CrossRef]
- Barbafieri, M.; Pini, R.; Ciucci, A.; Tassi, E. Field Assessment of Pb in Contaminated Soils and in Leaf Mustard (Brassica juncea): The LIBS Technique. Chem. Ecol. 2011, 27, 161–169. [Google Scholar] [CrossRef]
- Krajcarová, L.; Novotný, K.; Kummerová, M.; Dubová, J.; Gloser, V.; Kaiser, J. Mapping of the Spatial Distribution of Silver Nanoparticles in Root Tissues of Vicia Faba by Laser-Induced Breakdown Spectroscopy (LIBS). Talanta 2017, 173, 28–35. [Google Scholar] [CrossRef]
- Modlitbová, P.; Novotný, K.; Pořízka, P.; Klus, J.; Lubal, P.; Zlámalová-Gargošová, H.; Kaiser, J. Comparative Investigation of Toxicity and Bioaccumulation of Cd-Based Quantum Dots and Cd Salt in Freshwater Plant Lemna minor L. Ecotoxicol. Environ. Saf. 2018, 147, 334–341. [Google Scholar] [CrossRef]
- Singh, V.K.; Tripathi, D.K.; Mao, X.; Russo, R.E.; Zorba, V. Elemental Mapping of Lithium Diffusion in Doped Plant Leaves Using Laser-Induced Breakdown Spectroscopy (LIBS). Appl. Spectrosc. 2019, 73, 387–394. [Google Scholar] [CrossRef]
- Peng, J.; He, Y.; Zhao, Z.; Jiang, J.; Zhou, F.; Liu, F.; Shen, T. Fast Visualization of Distribution of Chromium in Rice Leaves by Re-Heating Dual-Pulse Laser-Induced Breakdown Spectroscopy and Chemometric Methods. Environ. Pollut. 2019, 252, 1125–1132. [Google Scholar] [CrossRef]
- Hahn, D.W.; Omenetto, N. Laser-Induced Breakdown Spectroscopy (LIBS), Part I: Review of Basic Diagnostics and Plasma-Particle Interactions: Still-Challenging Issues within the Analytical Plasma Community. Appl. Spectrosc. 2010, 64, 335–366. [Google Scholar] [CrossRef]
- Tognoni, E.; Cristoforetti, G. Basic Mechanisms of Signal Enhancement in Ns Double-Pulse Laser-Induced Breakdown Spectroscopy in a Gas Environment. J. Anal. At. Spectrom. 2014, 29, 1318–1338. [Google Scholar] [CrossRef]
- Cremers, D.A.; Radziemski, L.J. Handbook of Laser-Induced Breakdown Spectroscopy, 2nd ed.; Wiley: Hoboken, NJ, USA, 2013. [Google Scholar] [CrossRef]
- Nicolodelli, G.; Senesi, G.S.; Ranulfi, A.C.; Marangoni, B.S.; Watanabe, A.; de Melo Benites, V.; de Oliveira, P.P.A.; Villas-Boas, P.; Milori, D.M.B.P. Double-Pulse Laser Induced Breakdown Spectroscopy in Orthogonal Beam Geometry to Enhance Line Emission Intensity from Agricultural Samples. Microchem. J. 2017, 133, 272–278. [Google Scholar] [CrossRef]
- Rakovský, J.; Čermák, P.; Musset, O.; Veis, P. A Review of the Development of Portable Laser Induced Breakdown Spectroscopy and Its Applications. Spectrochim. Acta Part B At. Spectrosc. 2014, 101, 269–287. [Google Scholar] [CrossRef]
- Peng, J.; He, Y.; Jiang, J.; Zhao, Z.; Zhou, F.; Liu, F. High-Accuracy and Fast Determination of Chromium Content in Rice Leaves Based on Collinear Dual-Pulse Laser-Induced Breakdown Spectroscopy and Chemometric Methods. Food Chem. 2019, 295, 327–333. [Google Scholar] [CrossRef]
- Alrebdi, T.A.; Fayyaz, A.; Asghar, H.; Kamal, A.; Iqbal, J.; Piracha, N.K. Chemometrics and Spectroscopic Analyses of Peganum Harmala Plant’s Seeds by Laser-Induced Breakdown Spectroscopy. Appl. Sci. 2023, 13, 2780. [Google Scholar] [CrossRef]
- Jabbar, A.; Akhtar, M.; Ali, A.; Mehmood, S.; Iftikhar, S.; Baig, M.A. Elemental Composition of Rice Using Calibration Free Laser Induced Breakdown Spectroscopy. Optoelectron. Lett. 2019, 15, 57–63. [Google Scholar] [CrossRef]
- Cho, H.H.; Kim, Y.J.; Jo, Y.S.; Kitagawa, K.; Arai, N.; Lee, Y.I. Application of Laser-Induced Breakdown Spectrometry for Direct Determination of Trace Elements in Starch-Based Flours. J. Anal. At. Spectrom. 2001, 16, 622–627. [Google Scholar] [CrossRef]
- De Lucia, F.C., Jr.; Harmon, R.S.; McNesby, K.L.; Winkel, R.J., Jr.; Miziolek, A.W. Laser-Induced Breakdown Spectroscopy Analysis of Energetic Materials. Appl. Opt. 2003, 42, 6148–6152. [Google Scholar] [CrossRef]
- Kunz, J.N.; Voronine, D.V.; Ko, B.A.; Lee, H.W.H.; Rana, A.; Bagavathiannan, M.V.; Sokolov, A.V.; Scully, M.O. Interaction of Femtosecond Laser Pulses with Plants: Towards Distinguishing Weeds and Crops Using Plasma Temperature. J. Mod. Opt. 2017, 64, 942–947. [Google Scholar] [CrossRef]
- De Giacomo, A.; Gaudiuso, R.; Koral, C.; Dell’Aglio, M.; De Pascale, O. Nanoparticle-Enhanced Laser-Induced Breakdown Spectroscopy of Metallic Samples. Anal. Chem. 2013, 85, 10180–10187. [Google Scholar] [CrossRef]
- Kumar, S.; Sharma, N.; Bali, V.; Singh, V.K.; Nam, S.H.; Lee, Y.; Singh, V.K. Classification of Healthy and Nematode-Infested Pea Root Using Laser-Induced Breakdown Spectroscopy and k-Nearest Neighbors Modeling. Anal. Lett. 2025, 1–12. [Google Scholar] [CrossRef]
- Andrews, H.B.; Martin, M.Z.; Wymore, A.M.; Kalluri, U.C. Rapid in Situ Nutrient Element Distribution in Plants and Soils Using Laser-Induced Breakdown Spectroscopy (LIBS). Plant Soil. 2024, 495, 3–12. [Google Scholar] [CrossRef]
- Jabbar, A.; Rehman, B.; Iqbal, M.; Ahmed, R.; Mahmood, S.; Baig, M.A. Elemental Analysis of Plants Cultivated in Saline Soil by Laser-Induced Breakdown Spectroscopy (LIBS). Anal. Lett. 2021, 54, 1351–1365. [Google Scholar] [CrossRef]
- Silvestre, D.M.; Barbosa, F.M.; Aguiar, B.T.; Leme, F.O.; Nomura, C.S. Feasibility Study of Calibration Strategy for Direct Quantitative Measurement of K and Mg in Plant Material by Laser-Induced Breakdown Spectrometry. Anal. Chem. Res. 2015, 5, 28–33. [Google Scholar] [CrossRef]
- Borduchi, L.C.L.; Milori, D.M.B.P.; Meyer, M.C.; Villas-Boas, P.R. Reducing Matrix Effects on the Quantification of Ca, Mg, and Fe in Soybean Leaf Samples Using Calibration-Free LIBS and One-Point Calibration. Spectrochim. Acta Part B At. Spectrosc. 2022, 198, 106561. [Google Scholar] [CrossRef]
- Rehan, I.; Rehan, K.; Sultana, S.; Khan, M.Z.; Muhammad, R. LIBS Coupled with ICP/OES for the Spectral Analysis of Betel Leaves. Appl. Phys. B 2018, 124, 76. [Google Scholar] [CrossRef]
- Aldakheel, R.K.; Gondal, M.A.; Almessiere, M.A.; Rehman, S.; Nasr, M.M.; Alsalem, Z.; Khan, F.A. Spectrochemical Analysis Using LIBS and ICP-OES Techniques of Herbal Medicine (Tinnevelly senna Leaves) and Its Anti-Cancerous/Antibacterial Applications. Arab. J. Chem. 2021, 14, 202112. [Google Scholar] [CrossRef]
- Umar, Z.A.; Liaqat, U.; Ahmed, R.; Hedwig, R.; Ramli, M.; Marpaung, M.A.; Kurniawan, K.H.; Pardede, M.; Baig, M.A. Determination of Micronutrients and Toxic Elements in Moringa oleifera Leaves by Calibration Free Laser-Induced Breakdown Spectroscopy (LIBS). Anal. Lett. 2022, 55, 755–769. [Google Scholar] [CrossRef]
- Martelli, M.R.; Barron, C.; Delaporte, P.; Viennois, G.; Rouau, X.; Sadoudi, A. Pulsed Laser Ablation: A New Approach to Reveal Wheat Outer Layer Properties. J. Cereal Sci. 2009, 49, 354–362. [Google Scholar] [CrossRef]
- Iqbal, J.; Iqbal, J.; Asghar, H.; Asghar, H.; Asghar, H.; Shah, S.K.H.; Naeem, M.; Abbasi, S.A.; Ali, R. Elemental Analysis of Sage (Herb) Using Calibration-Free Laser-Induced Breakdown Spectroscopy. Appl. Opt. 2020, 59, 4927–4932. [Google Scholar] [CrossRef]
- Shukla, P.; Kumar, R.; Raib, A.K. Detection of Minerals in Green Leafy Vegetables Using Laser Induced Breakdown Spectroscopy. J. Appl. Spectrosc. 2016, 83, 872–877. [Google Scholar] [CrossRef]
- Devipriya, S.; Ramesh, N.V.; Vineeth, P.K.; Mohanan, A. A Review on the Inextricable Relation of Ayurveda and Analytical Chemistry. Mater. Today Proc. 2020, 46, 3089–3095. [Google Scholar] [CrossRef]
- Assis, J.V.B.; Ferreira, D.d.S.; Bócoli, D.d.A.; Brait, C.H.H.; Pereira-Filho, E.R. Direct Determination of Ca, K, and Mg in Soy Leaf Samples Using Laser-Induced Breakdown Spectroscopy. Appl. Spectrosc. 2024, 78, 243–250. [Google Scholar] [CrossRef]
- Tripathi, D.K.; Pathak, A.K.; Chauhan, D.K.; Dubey, N.K.; Rai, A.K.; Prasad, R. An Efficient Approach of Laser Induced Breakdown Spectroscopy (LIBS) and ICAP-AES to Detect the Elemental Profile of Ocimum L. Species. Biocatal. Agric. Biotechnol. 2015, 4, 471–479. [Google Scholar] [CrossRef]
- Liang, J.; Yan, C.; Zhang, Y.; Zhang, T.; Zheng, X.; Li, H. Rapid Discrimination of Salvia Miltiorrhiza According to Their Geographical Regions by Laser Induced Breakdown Spectroscopy (LIBS) and Particle Swarm Optimization-Kernel Extreme Learning Machine (PSO-KELM). Chemom. Intell. Lab. Syst. 2020, 197, 103930. [Google Scholar] [CrossRef]
- Jabir Mahmood, E.; Muter Mehdy Al-Sultani, M. Detection of Pollutants in Soil Using Laser-Induced Breakdown Spectroscopy (LIBS). Al-Bahir J. Eng. Pure Sci. 2024, 5, 9. [Google Scholar] [CrossRef]
- Rush, T.A.; Wymore, A.M.; Rodríguez, M., Jr.; Jawdy, S.; Vilgalys, R.J.; Martin, M.Z.; Andrews, H.B. Fungal Elemental Profiling Unleashed through Rapid Laser-Induced Breakdown Spectroscopy (LIBS). mSystems 2024, 9, e0091924. [Google Scholar] [CrossRef]
- Limbeck, A.; Brunnbauer, L.; Lohninger, H.; Pořízka, P.; Modlitbová, P.; Kaiser, J.; Janovszky, P.; Kéri, A.; Galbács, G. Methodology and Applications of Elemental Mapping by Laser Induced Breakdown Spectroscopy. Anal. Chim. Acta 2021, 1147, 72–98. [Google Scholar] [CrossRef]
- Piñon, V.; Mateo, M.P.; Nicolas, G. Laser-Induced Breakdown Spectroscopy for Chemical Mapping of Materials. Appl. Spectrosc. Rev. 2013, 48, 357–383. [Google Scholar] [CrossRef]
- Bette, H.; Noll, R. High Speed Laser-Induced Breakdown Spectrometry for Scanning Microanalysis. J. Phys. D Appl. Phys. 2004, 37, 1281–1288. [Google Scholar] [CrossRef]
- Pontes, M.J.C.; Cortez, J.; Galvão, R.K.H.; Pasquini, C.; Araújo, M.C.U.; Coelho, R.M.; Chiba, M.K.; de Abreu, M.F.; Madari, B.E. Classification of Brazilian Soils by Using LIBS and Variable Selection in the Wavelet Domain. Anal. Chim. Acta 2009, 642, 12–18. [Google Scholar] [CrossRef]
- Jolivet, L.; Leprince, M.; Moncayo, S.; Sorbier, L.; Lienemann, C.P.; Motto-Ros, V. Review of the Recent Advances and Applications of LIBS-Based Imaging. Spectrochim. Acta Part B At. Spectrosc. 2019, 151, 41–53. [Google Scholar] [CrossRef]
- Lu, Y.; Tao, Z.; Nie, L.; Guo, X.; Pan, T.; Chen, R.; Li, T.; Kong, W.; Liu, F. Quantitative Elemental Mapping of Heavy Metals Translocation and Accumulation in Hyperaccumulator Plant Using Laser-Induced Breakdown Spectroscopy with Interpretable Deep Learning. Comput. Electron. Agric. 2025, 230, 109907. [Google Scholar] [CrossRef]
- Babos, D.V.; Tadini, A.M.; De Morais, C.P.; Barreto, B.B.; Carvalho, M.A.R.; Bernardi, A.C.C.; Oliveira, P.P.A.; Pezzopane, J.R.M.; Milori, D.M.B.P.; Martin-Neto, L. Laser-Induced Breakdown Spectroscopy (LIBS) as an Analytical Tool in Precision Agriculture: Evaluation of Spatial Variability of Soil Fertility in Integrated Agricultural Production Systems. Catena 2024, 239, 107914. [Google Scholar] [CrossRef]
- Mikkelsen, F.N.; Rieckmann, M.M.; Laursen, K.H. Advances in Assessing Nutrient Availability in Soils; Taylor & Francis: Abingdon, UK, 2020. [Google Scholar]
- Watchareeruetai, U.; Noinongyao, P.; Wattanapaiboonsuk, C.; Khantiviriya, P.; Duangsrisai, S. Identification of Plant Nutrient Deficiencies Using Convolutional Neural Networks. In Proceedings of the 2018 International Electrical Engineering Congress (iEECON), Krabi, Thailand, 7–9 March 2018. [Google Scholar] [CrossRef]
- Hansen, T.H.; De Bang, T.C.; Laursen, K.H.; Pedas, P.; Husted, S.; Schjoerring, J.K. Multielement Plant Tissue Analysis Using ICP Spectrometry. Methods Mol. Biol. 2013, 953, 121–141. [Google Scholar] [CrossRef]
- Van Maarschalkerweerd, M.; Husted, S. Recent Developments in Fast Spectroscopy for Plant Mineral Analysis. Front. Plant Sci. 2015, 6, 169. [Google Scholar] [CrossRef]
- Schmidt, S.B.; Pedas, P.; Laursen, K.H.; Schjoerring, J.K.; Husted, S. Latent Manganese Deficiency in Barley Can Be Diagnosed and Remediated on the Basis of Chlorophyll a Fluorescence Measurements. Plant Soil. 2013, 372, 417–429. [Google Scholar] [CrossRef]
- Le Tougaard, S.; Szameitat, A.; Møs, P.; Husted, S. Leaf Age and Light Stress Affect the Ability to Diagnose P Status in Field Grown Potatoes. Front. Plant Sci. 2023, 14, 1100318. [Google Scholar] [CrossRef]
- Prananto, J.A.; Minasny, B.; Weaver, T. Near Infrared (NIR) Spectroscopy as a Rapid and Cost-Effective Method for Nutrient Analysis of Plant Leaf Tissues. Adv. Agron. 2020, 164, 1–49. [Google Scholar] [CrossRef]
- De Carvalho, G.G.A.; Santos, D.; Da Silva Gomes, M.; Nunes, L.C.; Guerra, M.B.B.; Krug, F.J. Influence of Particle Size Distribution on the Analysis of Pellets of Plant Materials by Laser-Induced Breakdown Spectroscopy. Spectrochim. Acta Part B At. Spectrosc. 2015, 105, 130–135. [Google Scholar] [CrossRef]
- Kunz, J.N.; Voronine, D.V.; Lee, H.W.H.; Sokolov, A.V.; Scully, M.O. Rapid Detection of Drought Stress in Plants Using Femtosecond Laser-Induced Breakdown Spectroscopy. Opt. Express 2017, 25, 7251–7262. [Google Scholar] [CrossRef]
- Bhatt, C.R.; Alfarraj, B.; Ghany, C.T.; Yueh, F.Y.; Singh, J.P. Comparative Study of Elemental Nutrients in Organic and Conventional Vegetables Using Laser-Induced Breakdown Spectroscopy (LIBS). Appl. Spectrosc. 2017, 71, 686–698. [Google Scholar] [CrossRef]
- Jull, H.; Künnemeyer, R.; Schaare, P. Nutrient Quantification in Fresh and Dried Mixtures of Ryegrass and Clover Leaves Using Laser-Induced Breakdown Spectroscopy. Precis. Agric. 2018, 19, 823–839. [Google Scholar] [CrossRef]
- Mukherjee, P.K.; Wahile, A. Integrated Approaches towards Drug Development from Ayurveda and Other Indian System of Medicines. J. Ethnopharmacol. 2006, 103, 25–35. [Google Scholar] [CrossRef]
- Farnsworth, N.R. Ethnopharmacology and Drug Development. Ciba Found. Symp. 1994, 185, 42–51. [Google Scholar] [CrossRef]
- Mahida, Y.; Mohan, J.S.S. Screening of Indian Plant Extracts for Antibacterial Activity. Pharm. Biol. 2006, 44, 627–631. [Google Scholar] [CrossRef]
- Perumal Samy, R.; Ignacimuthu, S. Antibacterial Activity of Some Folklore Medicinal Plants Used by Tribals in Western Ghats of India. J. Ethnopharmacol. 2000, 69, 63–71. [Google Scholar] [CrossRef]
- Pushpangadan, P.; Atal, C.K. Ethno-Medico-Botanical Investigations in Kerala I. Some Primitive Tribals of Western Ghats and Their Herbal Medicine. J. Ethnopharmacol. 1984, 11, 59–77. [Google Scholar] [CrossRef]
- Pushpangadan, P.; Rajasekharan, S.; Ratheshkumar, P.K.; Jawahar, C.R.; Nair, V.V.; Lakshmi, N.; Amma, L.S. ‘Arogyappacha’ (Trichopus zeylanicus Gaerin), the ‘Ginseng’ of Kani Tribes of Agashyar Hills (Kerala) for Ever Green Healh and Vitality. Anc. Sci. Life. 1988, 8, 13–16. [Google Scholar]
- Sharma, N.; Singh, V.K.; Lee, Y.; Kumar, S.; Rai, P.K.; Pathak, A.K.; Singh, V.K. Analysis of Mineral Elements in Medicinal Plant Samples Using Libs and ICP-OES. At. Spectrosc. 2020, 41, 234–241. [Google Scholar] [CrossRef]
- Nouman Khan, M.; Wang, Q.; Idrees, B.S.; Waheed, R.; Haq, A.U.; Abrar, M.; Jamil, Y. Evaluation of Medicinal Plants Using Laser-Induced Breakdown Spectroscopy (LIBS) Combined with Chemometric Techniques. Lasers Med. Sci. 2023, 38, 149. [Google Scholar] [CrossRef] [PubMed]
- Rai, P.K.; Pathak, A.K.; Ghatak, S.; Watal, G.; Rai, A.K.; Jayasundar, R. LIBS Based Spectroscopic Analysis and Antidiabetic Evaluation of a Polyherbal Formulation. J. Food Meas. Charact. 2013, 7, 114–121. [Google Scholar] [CrossRef]
- Shahbaz, A.; Abbasi, B.A.; Iqbal, J.; Fatima, I.; Anber Zahra, S.; Kanwal, S.; Devkota, H.P.; Capasso, R.; Ahmad, A.; Mahmood, T. Chemical Composition of Gastrocotyle hispida (Forssk.) Bunge and Heliotropium Crispum Desf. and Evaluation of Their Multiple In Vitro Biological Potentials. Saudi J. Biol. Sci. 2021, 28, 6086–6096. [Google Scholar] [CrossRef] [PubMed]
- Liang, J.; Li, M.; Du, Y.; Yan, C.; Zhang, Y.; Zhang, T.; Zheng, X.; Li, H. Data Fusion of Laser Induced Breakdown Spectroscopy (LIBS) and Infrared Spectroscopy (IR) Coupled with Random Forest (RF) for the Classification and Discrimination of Compound Salvia Miltiorrhiza. Chemom. Intell. Lab. Syst. 2020, 207, 104179. [Google Scholar] [CrossRef]
- Watal, G.; Dhar, P.; Srivastava, S.K.; Sharma, B. Herbal Medicine as an Alternative Medicine for Treating Diabetes: The Global Burden. Evid.-Based Complement. Altern. Med. 2014, 2014, 596071. [Google Scholar] [CrossRef]
- Zhou, F.; Xie, W.; Lin, M.; Ye, L.; Zhang, C.; Zhao, Z.; Liu, F.; Peng, J.; Kong, W. Rapid Authentication of Geographical Origins of Baishao (Radix paeoniae alba) Slices with Laser-Induced Breakdown Spectroscopy Based on Conventional Machine Learning and Deep Learning. Spectrochim. Acta Part B At. Spectrosc. 2024, 212, 106852. [Google Scholar] [CrossRef]
- Fayyaz, A.; Ali, N.; Umar, Z.A.; Asghar, H.; Waqas, M.; Ahmed, R.; Ali, R.; Baig, M.A. CF-LIBS Based Elemental Analysis of Saussurea Simpsoniana Medicinal Plant: A Study on Roots, Seeds, and Leaves. Anal. Sci. 2024, 40, 413–427. [Google Scholar] [CrossRef] [PubMed]
- Aldakheel, R.K.; Gondal, M.A.; Nasr, M.M.; Dastageer, M.A.; Almessiere, M.A. Quantitative Elemental Analysis of Nutritional, Hazardous and Pharmacologically Active Elements in Medicinal Rhatany Root Using Laser Induced Breakdown Spectroscopy. Arab. J. Chem. 2021, 14, 102919. [Google Scholar] [CrossRef]
- Alresawum, Y.; Ghalila, H.; Lahmar, S.; Gholap, A.V.; Mbesse Kongbonga, Y.G.; Feudjio, W.M. Laser Induced Breakdown Spectroscopy (LIBS) for Minerals Analysis and for Monitoring the Change in Elemental Compositions of the Mixtures of Herbal Medicines. Laser 2017, 9, 68–76. [Google Scholar]
- Jabbar, A.; Akhtar, M.; Mehmood, S.; Kurniawan, K.H.; Hedwig, R.; Baig, M.A. Analytical Approach of Laser-Induced Breakdown Spectroscopy to Detect Elemental Profile of Medicinal Plants Leaves. Indones. J. Chem. 2019, 19, 430–440. [Google Scholar] [CrossRef]
- Shukla, S.; Rai, P.K.; Chatterji, S.; Rai, N.K.; Rai, A.K.; Watal, G. LIBS Based Screening of Glycemic Elements of Ficus Religiosa. Food Biophys. 2012, 7, 43–49. [Google Scholar] [CrossRef]
- Aldakheel, R.K.; Rehman, S.; Almessiere, M.A.; Khan, F.A.; Gondal, M.A.; Mostafa, A.; Baykal, A. Bactericidal and In Vitro Cytotoxicity of Moringa Oleifera Seed Extract and Its Elemental Analysis Using Laser-Induced Breakdown Spectroscopy. Pharmaceuticals 2020, 13, 193. [Google Scholar] [CrossRef]
- Watal, G.; Sharma, B.; Rai, P.K.; Jaiswal, D.; Rai, D.K.; Rai, N.K.; Rai, A.K. LIBS-Based Detection of Antioxidant Elements: A New Strategy. Methods Mol. Biol. 2010, 594, 275–285. [Google Scholar] [CrossRef]
- Chen, R.; Li, X.; Li, W.; Yang, R.; Lu, Y.; You, Z.; Liu, F. Crater—Spectrum Feature Fusion Method for Panax Notoginseng Spectroscopy. Foods 2024, 14, 1083. [Google Scholar] [CrossRef]
- Wang, C.; Li, H.; Sun, J.; Lü, H.; Wang, F.; Zhang, R. Study on Enrichment Characteristics of Chinese Herbal Medicine Based on LIBS Technology. Optoelectron. Lett. 2023, 19, 88–94. [Google Scholar] [CrossRef]
- Han, W.; Su, M.; Sun, D.; Yin, Y.; Wang, Y.; Gao, C.; Yang, F.; Fu, Y. Analysis of Metallic Elements Dissolution in the Astragalus at Different Decocting Time by Using LIBS Technique. Plasma Sci. Technol. 2020, 22, 085501. [Google Scholar] [CrossRef]
- Andrews, H.B.; Wymore, A.M.; Wetter, E.E.; Herndon, E.M.; Li, H.; Martin, S.A.; Griffiths, N.A.; Yang, X.; Muchero, W.; Weston, D.J.; et al. Rapid Screening of Wood and Leaf Tissues: Investigating Silicon-Based Phytoliths in Populus Trichocarpa for Carbon Storage Applications Using Laser-Induced Breakdown Spectroscopy and Scanning Electron Microscopy-Energy Dispersive X-Ray Spectroscopy. J. Anal. At. Spectrom. 2023, 38, 2353–2364. [Google Scholar] [CrossRef]
- Zhu, C.; Lv, J.; Liu, K.; Li, Q.; Tang, Z.; Zhou, R.; Zhang, W.; Chen, J.; Liu, K.; Li, X.; et al. Fast Detection of Harmful Trace Elements in Glycyrrhiza Using Standard Addition and Internal Standard Method—Laser-Induced Breakdown Spectroscopy (SAIS-LIBS). Microchem. J. 2021, 168, 106408. [Google Scholar] [CrossRef]
- Wang, Y.; Bu, Y.; Cai, Y.; Wang, X. High-Sensitivity Analysis of Mercury in Medicinal Herbs Using Nanoparticle-Enhanced Laser-Induced Breakdown Spectroscopy Combined with Argon Purging. J. Anal. At. Spectrom. 2023, 38, 121–130. [Google Scholar] [CrossRef]
- Yang, L.; Meng, L.; Gao, H.; Wang, J.; Zhao, C.; Guo, M.; He, Y.; Huang, L. Building a Stable and Accurate Model for Heavy Metal Detection in Mulberry Leaves Based on a Proposed Analysis Framework and Laser-Induced Breakdown Spectroscopy. Food Chem. 2021, 338, 127886. [Google Scholar] [CrossRef]
- Lim, S.H.; Choi, C.I. Pharmacological Properties of Morus nigra L. (Black mulberry) as a Promising Nutraceutical Resource. Nutrients 2019, 11, 437. [Google Scholar] [CrossRef] [PubMed]
- Mahboubi, M. Morus alba (Mulberry), a Natural Potent Compound in Management of Obesity. Pharmacol. Res. 2019, 146, 104341. [Google Scholar] [CrossRef]
- Wan, X.; Lei, M.; Chen, T.; Tan, Y.; Yang, J. Safe Utilization of Heavy-Metal-Contaminated Farmland by Mulberry Tree Cultivation and Silk Production. Sci. Total Environ. 2017, 599–600, 1867–1873. [Google Scholar] [CrossRef] [PubMed]
- Zheng, P.C.; Li, X.J.; Wang, J.M.; Zheng, S.; Zhao, H.D. Quantitative Analysis of Cu and Pb in Coptidis by Reheated Double Pulse Laser Induced Breakdown Spectroscopy. Acta Phys. Sin. 2019, 68, 125202. [Google Scholar] [CrossRef]
- Fatima, I.; Hussain, T.; Rafay, M.; Kanwal, S.; Rauf, N.; Malik, T.S.S.; Mahmood, T. Untargeted Elemental and Metabolomic Profiling of Some Poaceae Species Using LIBS and GC-MS Methods. Commun. Soil. Sci. Plant Anal. 2021, 52, 1037–1050. [Google Scholar] [CrossRef]
- Fang, Y.; Ramasamy, R.P. Current and Prospective Methods for Plant Disease Detection. Biosensors 2015, 5, 537–561. [Google Scholar] [CrossRef]
- Picon, A.; Alvarez-Gila, A.; Seitz, M.; Ortiz-Barredo, A.; Echazarra, J.; Johannes, A. Deep Convolutional Neural Networks for Mobile Capture Device-Based Crop Disease Classification in the Wild. Comput. Electron. Agric. 2019, 161, 280–290. [Google Scholar] [CrossRef]
- Sankaran, S.; Ehsani, R.; Morgan, K.T. Detection of Anomalies in Citrus Leaves Using Laser-Induced Breakdown Spectroscopy (LIBS). Appl. Spectrosc. 2015, 69, 913–919. [Google Scholar] [CrossRef]
- Ranulfi, A.C.; Romano, R.A.; Bebeachibuli Magalhães, A.; Ferreira, E.J.; Ribeiro Villas-Boas, P.; Marcondes Bastos Pereira Milori, D. Evaluation of the Nutritional Changes Caused by Huanglongbing (HLB) to Citrus Plants Using Laser-Induced Breakdown Spectroscopy. Appl. Spectrosc. 2017, 71, 1471–1480. [Google Scholar] [CrossRef]
- Sharma, N.; Khajuria, Y.; Singh, V.K.; Kumar, S.; Lee, Y.; Rai, P.K.; Singh, V.K. Study of Molecular and Elemental Changes in Nematode-Infested Roots in Papaya Plant Using FTIR, LIBS and WDXRF Spectroscopy. At. Spectrosc. 2020, 41, 110–118. [Google Scholar] [CrossRef]
- Peng, J.; Song, K.; Zhu, H.; Kong, W.; Liu, F.; Shen, T.; He, Y. Fast Detection of Tobacco Mosaic Virus Infected Tobacco Using Laser-Induced Breakdown Spectroscopy. Sci. Rep. 2017, 7, 44551. [Google Scholar] [CrossRef] [PubMed]
- Liu, F.; Shen, T.; Wang, J.; He, Y.; Zhang, C.; Zhou, W. Detection of Sclerotinia Stem Rot on Oilseed Rape (Brassica napus L.) Based on Laser- Induced Breakdown Spectroscopy. Trans. ASABE 2019, 62, 123–130. [Google Scholar] [CrossRef]
- Senesi, G.S.; De Pascale, O.; Marangoni, B.S.; Rodrigues, A.; Caires, L.; Nicolodelli, G.; Pantaleo, V. Chlorophyll Fluorescence Imaging (CFI) and Laser-Induced Breakdown Spectroscopy (LIBS) Applied to Investigate Tomato Plants Infected by the Root Knot Nematode (RKN) Meloidogyne Incognita and Tobacco Plants Infected by Cymbidium Ringspot Virus. Photonics 2022, 9, 627. [Google Scholar] [CrossRef]
- Rehan, I.; Gondal, M.A.; Aldakheel, R.K.; Almessiere, M.A.; Rehan, K.; Khan, S.; Sultana, S.; Khan, M.Z. Determination of Nutritional and Toxic Metals in Black Tea Leaves Using Calibration Free LIBS and ICP: AES Technique. Arab. J. Sci. Eng. 2022, 47, 7531–7539. [Google Scholar] [CrossRef]
- Ranulfi, A.C.; Senesi, G.S.; Caetano, J.B.; Meyer, M.C.; Magalhães, A.B.; Villas-Boas, P.R.; Milori, D.M.B.P. Nutritional Characterization of Healthy and Aphelenchoides Besseyi Infected Soybean Leaves by Laser-Induced Breakdown Spectroscopy (LIBS). Microchem. J. 2018, 141, 118–126. [Google Scholar] [CrossRef]
- Bin, L.; Qiu, W.; Chao-hui, Z.; Zhao-yang, H.; Hai, Y.; Jun, L.; Yan-de, L. Research on Anthracnose Grade of Camellia Oleifera Based on the Combined LIBS and THz Technology. Plant Methods 2022, 18, 52. [Google Scholar] [CrossRef]
- Sharma, N.; Kamni; Singh, V.K.; Kumar, S.; Lee, Y.; Rai, P.K.; Singh, V.K. Investigation of Molecular and Elemental Changes in Rice Grains Infected by False Smut Disease Using FTIR, LIBS and WDXRF Spectroscopic Techniques. Appl. Phys. B 2020, 126, 122. [Google Scholar] [CrossRef]
- Sharma, N.; Kumar, S.; Lee, Y.; Singh, V.K.; Singh, V.K. Spectroscopic Investigations of Healthy and Diseased Ber (Ziziphus mauritiana) Fruits Using Laser-Induced Breakdown Spectroscopy in Combination with Partial Least Squares-Discriminant Analysis. Arab. J. Sci. Eng. 2022, 47, 7519–7529. [Google Scholar] [CrossRef]
- Xu, F.; Hao, Z.; Huang, L.; Liu, M.; Chen, T.; Chen, J.; Zhang, L.; Zhou, H.; Yao, M. Comparative Identification of Citrus Huanglongbing by Analyzing Leaves Using Laser-Induced Breakdown Spectroscopy and near-Infrared Spectroscopy. Appl. Phys. B 2020, 126, 43. [Google Scholar] [CrossRef]
- Yang, P.; Nie, Z.; Yao, M. Diagnosis of HLB-Asymptomatic Citrus Fruits by Element Migration and Transformation Using Laser-Induced Breakdown Spectroscopy. Opt. Express 2022, 30, 18108–18118. [Google Scholar] [CrossRef] [PubMed]
- Yao, M.; Fu, G.; Xu, J.; Li, T.; Zhang, L.; Liu, M.; Yang, P. In Situ Diagnosis of Mature HLB-Asymptomatic Citrus Fruits by Laser-Induced Breakdown Spectroscopy. Appl. Opt. 2021, 60, 5846–5853. [Google Scholar] [CrossRef]
- Huang, L.; Chen, J.; Xu, F.; Xu, X.; Liu, M.; Luo, Z.; Chen, T.; Yao, M.; Rao, G. Identification of Huanglongbing-Infected Navel Oranges Based on Laser-Induced Breakdown Spectroscopy Combined with Different Chemometric Methods. Appl. Opt. 2018, 57, 8738–8742. [Google Scholar] [CrossRef]
- Di, W.; Meng, L.; Yang, L.; Wang, J.; Fu, X.; Du, X.; Li, S.; He, Y.; Huang, L. Feasibility of Laser-Induced Breakdown Spectroscopy and Hyperspectral Imaging for Rapid Detection of Thiophanate-Methyl Residue on Mulberry Fruit. Int. J. Mol. Sci. 2019, 20, 2017. [Google Scholar] [CrossRef]
- Gonzalez, P.; Ponce, L.; Flores, T.; Etxeberria, E.; Ponce, A. Rapid Identification of Huanlongbing-Infected Citrus Plants Using Laser-Induced Breakdown Spectroscopy of Phloem Samples. Appl. Opt. 2018, 57, 8841–8844. [Google Scholar] [CrossRef]
- Safi, A.; Tavassoli, S.H.; Cristoforetti, G.; Legnaioli, S.; Palleschi, V.; Rezaei, F.; Tognoni, E. Determination of Excitation Temperature in Laser-Induced Plasmas Using Columnar Density Saha-Boltzmann Plot. J. Adv. Res. 2019, 18, 1–7. [Google Scholar] [CrossRef]
- Tognoni, E.; Cristoforetti, G.; Legnaioli, S.; Palleschi, V.; Salvetti, A.; Mueller, M.; Panne, U.; Gornushkin, I. A Numerical Study of Expected Accuracy and Precision in Calibration-Free Laser-Induced Breakdown Spectroscopy in the Assumption of Ideal Analytical Plasma. Spectrochim. Acta Part B At. Spectrosc. 2007, 62, 1287–1302. [Google Scholar] [CrossRef]
- Cristoforetti, G.; Legnaioli, S.; Palleschi, V.; Tognoni, E.; Cristoforetti, G.; Legnaioli, S.; Palleschi, V. Calibration-Free Laser-Induced Breakdown Spectroscopy: State of the Art. Spectrochim. Acta Part B At. Spectrosc. 2010, 65, 1–14. [Google Scholar] [CrossRef]
- Fayek, N.; Tawfik, W.; KhalafAllah, A.; Fikry, M. Advancing Environmental Monitoring: Unveiling Heavy Metals Contamination with Calibration-Free Picosecond Laser-Induced Breakdown Spectroscopy (CF-PS-LIBS). J. Opt. 2025. [Google Scholar] [CrossRef]
- Hu, Z.; Zhang, D.; Wang, W.; Chen, F.; Xu, Y.; Nie, J.; Chu, Y.; Guo, L. A Review of Calibration-Free Laser-Induced Breakdown Spectroscopy. Trends Anal. Chem. 2022, 152, 116618. [Google Scholar] [CrossRef]
- Zhang, N.; Ou, T.; Wang, M.; Lin, Z.; Lv, C.; Qin, Y.; Li, J.; Yang, H.; Zhao, N.; Zhang, Q. A Brief Review of Calibration-Free Laser-Induced Breakdown Spectroscopy. Front. Phys. 2022, 10, 887171. [Google Scholar] [CrossRef]
- Miziolek, A.W.; Palleschi, V.; Schechter, I. Laser Induced Breakdown Spectroscopy (LIBS), 1st ed.; Cambridge University Press: Cambridge, UK, 2008; ISBN 9780521852746. [Google Scholar]
- Khoso, M.A.; Shaikh, N.M.; Kalhoro, M.S.; Jamali, S.; Ujan, Z.A.; Ali, R. Comparative Elemental Analysis of Soil of Wheat, Corn, Rice, and Okra Cropped Field Using CF-LIBS. Optik 2022, 261, 169247. [Google Scholar] [CrossRef]
- Borduchi, L.C.L.; Milori, D.M.B.P.; Villas-Boas, P.R. One-Point Calibration of Saha-Boltzmann Plot to Improve Accuracy and Precision of Quantitative Analysis Using Laser-Induced Breakdown Spectroscopy. Spectrochim. Acta Part B At. Spectrosc. 2019, 160, 105692. [Google Scholar] [CrossRef]
- Cavalcanti, G.H.; Teixeira, D.V.; Legnaioli, S.; Lorenzetti, G.; Pardini, L.; Palleschi, V. One-Point Calibration for Calibration-Free Laser-Induced Breakdown Spectroscopy Quantitative Analysis. Spectrochim. Acta Part B At. Spectrosc. 2013, 87, 51–56. [Google Scholar] [CrossRef]
- Khoso, M.A.; Nizamani, A.H.; Saleem, H.; Soomro, A.M.; Bhutto, W.A.; Jamali, S.; Kalhoro, M.S.; Shaikh, N.M. Elemental Composition of the Soils Using Laser Induced Breakdown Spectroscopy. Int. J. Adv. Res. Eng. Technol. (IJARET) 2021, 12, 389–400. [Google Scholar]
- El Sherbini, A.M.; Hegazy, H.; El Sherbini, T.M. Measurement of Electron Density Utilizing the Hα-Line from Laser Produced Plasma in Air. Spectrochim. Acta Part B At. Spectrosc. 2006, 61, 532–539. [Google Scholar] [CrossRef]
- Qasim, M.; Anwar-Ul-haq, M.; Shah, A.; Sher Afgan, M.; Haq, S.U.; Khan, R.A.; Baig, M.A. Compositional Analysis of Silybum Marianum Plant at Reduced Pressure Using Calibration-Free LIBS. Rom. Rep. Phys. 2024, 76, 605. [Google Scholar] [CrossRef]
- Bulajic, D.; Corsi, M.; Cristoforetti, G.; Legnaioli, S.; Palleschi, V.; Salvetti, A.; Tognoni, E. A Procedure for Correcting Self-Absorption in Calibration Free-Laser Induced Breakdown Spectroscopy. Spectrochim. Acta Part B At. Spectrosc. 2002, 57, 339–353. [Google Scholar] [CrossRef]
- Rezaei, F.; Karimi, P.; Tavassoli, S.H. Estimation of Self-Absorption Effect on Aluminum Emission in the Presence of Different Noble Gases: Comparison between Thin and Thick Plasma Emission. Appl. Opt. 2013, 52, 5088–5096. [Google Scholar] [CrossRef] [PubMed]
- Rezaei, F.; Tavassoli, S.H. A New Method for Calculation of Thick Plasma Parameters by Combination of Laser Spectroscopy and Shadowgraphy Techniques. J. Anal. At. Spectrom. 2014, 29, 2371–2378. [Google Scholar] [CrossRef]
- Rezaei, F. Two-Lines Method for Estimation of Plasma Temperature and Characterization of Plasma Parameters in Optically Thick Plasma Conditions. Appl. Opt. 2020, 59, 3002. [Google Scholar] [CrossRef]
- Rezaei, F.; Tavassoli, S.H. Utilizing the Ratio and the Summation of Two Spectral Lines for Estimation of Optical Depth: Focus on Thick Plasmas. Spectrochim. Acta Part B At. Spectrosc. 2016, 125, 25–30. [Google Scholar] [CrossRef]
- Yang, N.; Eash, N.S.; Lee, J.; Martin, M.Z.; Zhang, Y.; Walker, F.R.; Yang, J.E. Multivariate Analysis of Laser-Induced Breakdown Spectroscopy Spectra of Soil Samples. Soil Sci. 2010, 175, 447–452. [Google Scholar] [CrossRef]
- Yang, P.; Li, X.; Nie, Z. Determination of the Nutrient Profile in Plant Materials Using Laser-Induced Breakdown Spectroscopy with Partial Least Squares-Artificial Neural Network Hybrid Models. Opt. Express 2021, 29, 20687. [Google Scholar] [CrossRef]
- Rezaei, F.; Karimi, P.; Tavassoli, S.H. Effect of Self-Absorption Correction on LIBS Measurements by Calibration Curve and Artificial Neural Network. Appl. Phys. B 2014, 114, 591–600. [Google Scholar] [CrossRef]
- Pořízka, P.; Klus, J.; Képeš, E.; Prochazka, D.; Hahn, D.W.; Kaiser, J. On the Utilization of Principal Component Analysis in Laser-Induced Breakdown Spectroscopy Data Analysis, a Review. Spectrochim. Acta Part B At. Spectrosc. 2018, 148, 65–82. [Google Scholar] [CrossRef]
- Dai, B.; Liang, F. Flower Classification Using LIBS Combined with PCA Chemometrics. Spectroscopy 2025. [Google Scholar] [CrossRef]
- Rezaei, M.; Rezaei, F.; Karimi, P. Different Hybrid Prediction’s Machine Learning Algorithms for Quantitative Analysis in Laser-Induced Breakdown Spectroscopy. J. Appl. Spectrosc. 2023, 90, 705–716. [Google Scholar] [CrossRef]
- Khalilian, P.; Rezaei, F.; Darkhal, N.; Karimi, P.; Safi, A.; Palleschi, V.; Melikechi, N.; Tavassoli, S.H. Jewelry Rock Discrimination as Interpretable Data Using Laser-Induced Breakdown Spectroscopy and a Convolutional LSTM Deep Learning Algorithm. Sci. Rep. 2024, 14, 5169. [Google Scholar] [CrossRef]
- Aiswarya, J.; Mariammal, K.; Sathiesh Kumar, V.; Veerappan, K. Investigation of Nitrogen/Potassium Deficiency in Alternanthera Sessilis Plant Using Deep Learning Model Combined with CF-LIBS Approach. Optik 2025, 321, 172183. [Google Scholar]
- Ji, H.; Ye, Y.; Gao, W.; Liu, Y. Online Detection of Tobacco Combustion Components Based on Laser-Induced Breakdown Spectroscopy. Spectrosc. Lett. 2025, 58, 453–464. [Google Scholar] [CrossRef]
- Palleschi, V. Chemometrics and Numerical Methods in LIBS; Wiley Pulishing: Hoboken, NJ, USA, 2023; pp. 1–384. [Google Scholar]
- Wang, W.; Kong, W.; Shen, T.; Man, Z.; Zhu, W.; He, Y.; Liu, F.; Liu, Y. Application of Laser-Induced Breakdown Spectroscopy in Detection of Cadmium Content in Rice Stems. Front. Plant Sci. 2020, 11, 599616. [Google Scholar] [CrossRef]
- Rai, D.; Rai, A.K.; Rai, A.K.; Singh, D.B.; Yadav, A.K. Libs—A Promising Technique for Control of Food Quality. J. Opt. 2025. [Google Scholar] [CrossRef]
- Cisewski, J.; Snyder, E.; Hannig, J.; Oudejans, L. Support Vector Machine Classification of Suspect Powders Using Laser-Induced Breakdown Spectroscopy (LIBS) Spectral Data. J. Chemom. 2012, 26, 143–149. [Google Scholar] [CrossRef]
- Zhu, S.; Song, G.; Zhang, W.; Zhang, Y.; Wei, Y.; Zhang, Q.; Chen, D.; Li, J.; Sun, T. LIBS Analysis of Elemental Carbon and Fixed Carbon in Coal by Dual-Cycle Regression Based on Matrix-Matched Calibration. J. Anal. At. Spectrom. 2024, 39, 841–853. [Google Scholar] [CrossRef]
- Cai, Y.; Yu, W.; Gao, W.; Zhai, R.; Zhang, X.; Yu, W.; Wang, L.; Liu, Y. Polluted Soil–Plant Interaction Analysis and Soil Classification Based on Laser-Induced Breakdown Spectroscopy and Machine Learning. Anal. Methods 2024, 16, 6964–6973. [Google Scholar] [CrossRef]
- De Giacomo, A.; Gaudiuso, R.; Koral, C.; Dell’Aglio, M.; De Pascale, O. Nanoparticle Enhanced Laser Induced Breakdown Spectroscopy: Effect of Nanoparticles Deposited on Sample Surface on Laser Ablation and Plasma Emission. Spectrochim. Acta Part B At. Spectrosc. 2014, 98, 19–27. [Google Scholar] [CrossRef]
- Jantzi, S.C.; Motto-Ros, V.; Trichard, F.; Markushin, Y.; Melikechi, N.; De Giacomo, A. Sample Treatment and Preparation for Laser-Induced Breakdown Spectroscopy. Spectrochim. Acta Part B At. Spectrosc. 2016, 115, 52–63. [Google Scholar] [CrossRef]
- Ohta, T.; Ito, M.; Kotani, T.; Hattori, T. Emission Enhancement of Laser-Induced Breakdown Spectroscopy by Localized Surface Plasmon Resonance for Analyzing Plant Nutrients. Appl. Spectrosc. 2009, 63, 555–558. [Google Scholar] [CrossRef]
- Cai, J.; Wu, T.; Chen, Y.; Yang, S.; Zhang, Z.; Liu, Y. Rapid Detection and Discrimination of Plant Leaves Using Laser-Induced Breakdown Spectroscopy. J. Laser Appl. 2024, 36, 032027. [Google Scholar] [CrossRef]
- Navarro, D.A.; Bisson, M.A.; Aga, D.S. Investigating Uptake of Water-Dispersible CdSe/ZnS Quantum Dot Nanoparticles by Arabidopsis Thaliana Plants. J. Hazard. Mater. 2012, 211–212, 427–435. [Google Scholar] [CrossRef] [PubMed]
- Kaiser, J.; Novotný, K.; Martin, M.Z.; Hrdlička, A.; Malina, R.; Hartl, M.; Adam, V.; Kizek, R. Trace Elemental Analysis by Laser-Induced Breakdown Spectroscopy—Biological Applications. Surf. Sci. Rep. 2012, 67, 233–243. [Google Scholar] [CrossRef]
- Kadhim, L.A.; Abdel Hussein, A.K.; Zoory, M.J.; Nader, R. Comparison of LIBS and XRF for Accurate Micronutrient Analysis in Dried White Lemon. J. Opt. 2025. [Google Scholar] [CrossRef]
- De Oliveira, D.M.; Fontes, L.M.; Pasquini, C. Comparing Laser Induced Breakdown Spectroscopy, near Infrared Spectroscopy, and Their Integration for Simultaneous Multi-Elemental Determination of Micro- and Macronutrients in Vegetable Samples. Anal. Chim. Acta 2019, 1062, 28–36. [Google Scholar] [CrossRef] [PubMed]
- Sapkota, A.; Krachler, M.; Scholz, C.; Cheburkin, A.K.; Shotyk, W. Analytical Procedures for the Determination of Selected Major (Al, Ca, Fe, K, Mg, Na, and Ti) and Trace (Li, Mn, Sr, and Zn) Elements in Peat and Plant Samples Using Inductively Coupled Plasma-Optical Emission Spectrometry. Anal. Chim. Acta 2005, 540, 247–256. [Google Scholar] [CrossRef]
- Clemens, S. Toxic Metal Accumulation, Responses to Exposure and Mechanisms of Tolerance in Plants. Biochimie 2006, 88, 1707–1719. [Google Scholar] [CrossRef]
- Uchida, R. Essential Nutrients for Plant Growth Nutrient Functions and Deficiency Symptoms. Plant Nutr. Manag. Hawaii’s Soils 2000, 4, 31–55. [Google Scholar]
- Wu, B.; Becker, J.S. Imaging Techniques for Elements and Element Species in Plant Science. Metallomics 2012, 4, 403–416. [Google Scholar] [CrossRef] [PubMed]
- Zhao, F.J.; Moore, K.L.; Lombi, E.; Zhu, Y.G. Imaging Element Distribution and Speciation in Plant Cells. Trends Plant Sci. 2014, 19, 183–192. [Google Scholar] [CrossRef]
- Van der Ent, A.; Przybyłowicz, W.J.; de Jonge, M.D.; Harris, H.H.; Ryan, C.G.; Tylko, G.; Paterson, D.J.; Barnabas, A.D.; Kopittke, P.M.; Mesjasz-Przybyłowicz, J. X-Ray Elemental Mapping Techniques for Elucidating the Ecophysiology of Hyperaccumulator Plants. New Phytol. 2018, 218, 432–452. [Google Scholar] [CrossRef] [PubMed]
- Peng, J.; Ye, L.; Shen, T.; Liu, F.; Song, K.; He, Y. Fast Determination of Copper Content in Tobacco (Nicotina tabacum L.) Leaves Using Laser-Induced Breakdown Spectroscopy with Univariate and Multivariate Analysis. Trans. ASABE 2018, 61, 821–829. [Google Scholar] [CrossRef]
- Castillo-Michel, H.A.; Larue, C.; Pradas del Real, A.E.; Cotte, M.; Sarret, G. Practical Review on the Use of Synchrotron Based Micro- and Nano- X-Ray Fluorescence Mapping and X-Ray Absorption Spectroscopy to Investigate the Interactions between Plants and Engineered Nanomaterials. Plant Physiol. Biochem. 2017, 110, 13–32. [Google Scholar] [CrossRef]
- Jaswal, B.B.S.; Singh, V.K. Analytical Assessments of Gallstones and Urinary Stones: A Comprehensive Review of the Development from Laser to LIBS. Appl. Spectrosc. Rev. 2015, 50, 473–498. [Google Scholar] [CrossRef]
- Fernandes Andrade, D.; Pereira-Filho, E.R.; Amarasiriwardena, D. Current Trends in Laser-Induced Breakdown Spectroscopy: A Tutorial Review. Appl. Spectrosc. Rev. 2021, 56, 98–114. [Google Scholar] [CrossRef]
- Larios, G.S.; Nicolodelli, G.; Senesi, G.S.; Ribeiro, M.C.S.; Xavier, A.A.P.; Milori, D.M.B.P.; Alves, C.Z.; Marangoni, B.S.; Cena, C. Laser-Induced Breakdown Spectroscopy as a Powerful Tool for Distinguishing High- and Low-Vigor Soybean Seed Lots. Food Anal. Methods 2020, 13, 1691–1698. [Google Scholar] [CrossRef]
- Brennecke, T.; Čechová, L.; Horáková, K.; Šimoníková, L.; Buday, J.; Prochazka, D.; Modlitbová, P.; Novotný, K.; Miziolek, A.W.; Pořízka, P.; et al. Imaging the Distribution of Nutrient Elements and the Uptake of Toxic Metals in Industrial Hemp and White Mustard with Laser-Induced Breakdown Spectroscopy. Spectrochim. Acta Part B At. Spectrosc. 2023, 205, 106684. [Google Scholar] [CrossRef]






























| Samples Name | Test Sample | Analytes | Laser(s) | tdelay (μs) | tint (μs) | Ref. |
|---|---|---|---|---|---|---|
| Capsicum annuum L., Sophora (Styphnolobium japonicum) | Fresh leaves | Mn, Pb, K, Ca | Nd:YAG, 532 nm | 1.0 | 10 | [60] |
| Algal (Trachydiscus minutus) | K, Ca, Cu, Mg, Na | Nd:YAG, 1064 nm | - | - | [61] | |
| Sunflower, Zea mays | Pb, Mg | Nd:YAG, 532 nm | 1.0 | 10 | [62] | |
| Leaves of soya, lettuce, endive, boldo, grass, jack, brachiaria coffee, mango, maize, and pepper | Mn, Fe, B, Cu, Zn | Nd:YAG, 1064 nm | - | - | [63] | |
| Folium lycii | Cl, Ti, Al, Ca, K, Si, Li, Mg, Na, Sr | Nd:YAG, 1064 nm | 0.8 | 2000 | [64] | |
| Leaves and flowers of cannabis | Ca, Br, Al, Ba, Cu, Fe, K, Rb, Sr, Mg, Mn, Na, P | Nd:YAG, 1064 nm | - | [65] | ||
| Holly | Fe, K, Al, C, CN, Co, Cr, Cu, Mg, Mn, C2, V, Zn, Ca, Mo, Na, Ni, O, Pb, Si, Ti, | Nd:YAG, 1064 and 266 nm | 0.5 | 2000 | [66] | |
| Lettuce, endive, boldo, brachiaria, coffee, grass, jack, mango, maize, pepper, soya | Fe, B, Zn Cu, Mn, | Nd:YAG, 1064 nm | - | - | [47] | |
| Helianthus annuus | Dried leaves | Pb, K, Mn | Nd:YAG, 532 nm | 1.0 | 10 | [67] |
| Bermuda Grass (Cynodon dactylon) | Ca, Al, Mg, Si, C, Sr, Zn | Nd:YAG, 532 nm | - | - | [68] | |
| Capsicum annuum L. | K, Pb, Mn | Nd:YAG, 532 nm | 1.0 | 10 | [60] | |
| Dried maize and fresh Cornus stolonifera, Red osier dogwood (Cornus stolonifera) | Fe | fs-laser, 795 nm | - | - | [69] | |
| Powdered rice, starch, seaweed (agar) | Powder leaves | Cr, Fe, Al, B, C, Ca, Cu | TEA CO2, 10.6 μm | 10 | 100 | [70] |
| Cr, Mg, Ca, CH, Zn | TEA CO2, 10.6 μm | 10 | 100 | [71] | ||
| Citrus | Ca, CH | Nd:YAG, 355 nm, Nd:YAG, 1064 nm | 1.0 | 50 | ||
| Brassica juncea | Pellets from leaves | Mg, Al, K, Ca, Si, Fe, O | Nd:YAG, 1064 nm | - | - | [72] |
| Cotton | - | Mg, Sr, Al, Ba, Cu, Cr, Ca, Fe | - | - | [73] | |
| Cabbage, soya flour, rice flour, wheat flour, spinach, brachiaria, banana, coffee, maize, mango, pepper, soya leaves, olive, apple, guava, grass jackfruit leaves | Leaves | Mn, Zn, B, Cu, Fe | Nd:YAG, 532 nm | 1.1 | 9.0 | [74] |
| Longleaf pine tree (Pinus palustris) | Fe, Na, Ca, S | Nd:YAG, 532 nm | - | - | [75] | |
| Orange tree, soy, sugarcane | P, K, Ca, Mn, Zn, Mg, B, Fe, Cu | Nd:YAG, 1064 nm | 2.0 | 4.5 | [76] | |
| Sugar cane | Hz Ca, Mg, K, P, B, Cu, Fe, Mn, Zn, Al, | Nd:YAG, 1064 nm, | - | - | [77] | |
| Allium cepa L. leaves | Cu | Nd:YAG, 532 nm | - | - | [78] | |
| Scented geranium, Pelargonium zonale | Mn, Pb, Al, Ca, Sr | Nd:YAG, 1064 nm | 5.0 | 15 | [79] | |
| Poplar tree | K, Ca, N, P, Mn, Na, Fe, Ti, | femtosecond laser, 800 nm | - | - | [80] | |
| Tall fescue seed | Ca, Cu, Ni, Mg, Fe, Mn, Cd, Zn | Nd:YAG, 532 nm | 0.5 | 10 | [81] | |
| Sugar cane | B, Ca, P, Mg, Mn, Zn, Cu, Fe, K | Nd:YAG, 1064 nm | 2.0 | 4.5 | [82] | |
| Endive (Cichorium endivia), Grass (Axonopus obtusifolius), Jack (Artocarpus integrifolia), Boldo (Peumus boldus), Coffee (Coffea arabica) | Zn, Fe, Cu, B, Mn | Nd:YAG, 1064 nm | - | - | [47] | |
| Barley, poppy, wheat, rape | Mg, P, Ca, K | Nd:YAG, 1064 nm | 7.0 | 1.0 | [83] | |
| Spanish moss, pine needles | K, Mg, Ca, P | Nd:YAG, 1064 nm | 2.0 | 5.0 | [63] | |
| Tobacco | Fe, Ca, Mg, Mn, Al, Cu, Ti, K, Li, Na, Sr, Zn | - | - | [84] | ||
| Bean (Phaseolus vulgaris) | B, Fe, Cu, Mn, Zn | Nd:YAG, 1064 nm | 2.0 | 5.0 | [47] | |
| Lactuca sativa L. var. capitata | Pb, Mg | Nd:YAG, 532 nm | 1.0 | 10 | [85] | |
| Potato | Vegetables | K, Mg, Mn, Al, C, Ca, Cu, O, Si, Ti, Fe, H, Na, Li, Sr, Ba | Nd:YAG, 1064 nm | 1.0:5.01, 0:1.0 | [83,85] | |
| Potato | Mg, Mn, Al, Ba, Ca, Cu, Fe, K, Ti, Sr, Li, Na, Si, Zn | Nd:YAG, 266 nm | 0.07–3 | 0.7–1.2 | [14] | |
| Three fruits | Fruits | K, Fe, Ca, Na, Al, Mg | Nd:YAG, 1064 nm | 1.2 | 2000 | [86] |
| Mango (Mangifera indica) | Fe, Mn, B, Cu, Zn | Nd:YAG,1064 nm | - | - | [47] | |
| Oranges (Citrus sinensis) | Ca, C, Mn, Ni, Cl, H, Fe, Mg, Na, Zn, N, O, K, S | Nd:YAG,1064 nm | - | - | [67] | |
| Rice flour-unpolished powder, Ibaraki Japan), starch, powdered rice, powdered zinc, powdered calcium and mineral health supplements, herb medicine (Tsumura kackontou), powdered agar Bludru Ungu, powdered agar Gracilaria Karawang | Powder of grains | C, Ca, Al, B, Cr, Cu, Fe | TEA CO2, 10.6 μm | 10 | 100 | [70] |
| Wood of tree | Wood pieces | Al, C, N, Na, Ca, Mg, Mn, S, Si, Fe, Ti | Nd:YAG, 532 nm | - | - | [75] |
| Wood | Cr, Cu, As, Ca | Nd:YAG, 1064 nm | - | - | [67,87] | |
| Wood | Hg, K, Mg, Al, As, B, Cd, Cr, Si, Sn, Cu, Na, Pb, Zn | Nd:YAG, 1064 nm | - | - | [88] | |
| Rice flour-unpolished, starch, rice, zinc, calcium and mineral health supplements, herb medicine | Flour powder | C, Ca, Al, B, Fe, Cu, Cr | TEA CO2, 10.6 μm, | - | - | [70] |
| Lily pollen | Pollen paste | Na, Si, Al, C2, Ca, Cr, Fe, CN, Mg | Nd:YAG, 1064 nm | - | - | [89] |
| Laser | Pulse Duration Range | Spectrometer | Detector | Plant Type | Test Sample | Analytes | References |
|---|---|---|---|---|---|---|---|
| Ti:Sapphire, 800 nm Nd:YAG, 1064, 532, 266 nm | fs | Czerny–Turner | ICCD | 31 Plant samples | Leaves of sugar cane, soya, Citrus, coffee, maize, bean, eucalyptus, mango, banana, grape, millet, rubber tree, tomato | Fe, Mn, Ca, P, Cu, Zn, Mg | [91] |
| Nd:YAG, 266, 355 nm | ns | Echelle | ICCD | Vegetable | typical root, stem, and fruit vegetables | Cr, Mn, Na, Mg, Li, Be, Al, K, S, Cl, Ca, Ti, V, Cu, Rb, Sr, Fe, Co, Ni, Mo, Ba, H, C, N, OF, Si | [92] |
| Nd:YAG 1064 nm (ns) | ns | - | - | Vegetable | Spinach leaves and unpolished rice | Ca, Na, Mg, K | [93] |
| Nd:YAG 532 nm (ns) | ns | - | - | Leaves | Leaves of brachiaria, soya, banana, coffee, maize, mango, pepper | Fe, B, Cu, Mn, Zn | [74] |
| Nd:YAG 266, 532 nm (ns) | ns | Czerny–Turner | ICCD | Plant | annual terminal spruce stems, leaves, sunflower | Ca, Cu | [94] |
| Nd:YAG 266, 532 nm (ns) | ns | Czerny–Turner | ICCD | Plant | Sunflower | lead (II) ion | [95] |
| Nd:YAG, 266, 532 nm | ns | Czerny–Turner | ICCD | Plant | lettuce tissues | lead (II) ion | [96] |
| Nd:YAG, 266, 532 nm | ns | Czerny–Turner | ICCD | Plant | sunflower (Helianthus annuus L.) | Mg, Pb, Cu | [97] |
| Nd:YAG, 266, 532 nm | ns | Czerny–Turner | ICCD | Plant | Sunflower | silver (I) ions | [98] |
| Nd:YAG, 266, 532 nm | ns | Czerny–Turner | ICCD | Plant | leaf samples | lead (II) ion | [67] |
| Nd:YAG, 266, 532 nm | ns | Czerny–Turner | ICCD | Plant | Helianthus Annuus L. | Ag, Cu | [99] |
| Nd:YAG, 532 nm | ns | Multi-Channel, Czerny–Turner | ICCD | Plant | wheat seedlings | Cr, Ca, Mg, K, Na | [98,99] |
| Nd:YAG, 532 nm | ns | - | ICCD | Plant | rice leaves | Cr | [100] |
| Nd:YAG, 532 nm | ns | Multi-Channel, Czerny–Turner | ICCD | Plant | leaves of Trigonella foenum (spinach) | Mg | [101] |
| Nd:YAG, 532 nm | ns | Multi-Channel, Czerny–Turner | ICCD | Plant | Psoralea corylifolia (PC) | Na, K, Ca, Mg, Zn, Si, Cl | [102] |
| Nd:YAG, 532 nm | ns | Multi-Channel, Czerny–Turner | ICCD | Plant | Saccharum | Mg, Ca, Na, Fe, K | [103] |
| Nd:YAG, 1064 nm | ns | - | ICCD | Plant | Roots, stem, and leaves of Euphorbia indica | Cr | [104] |
| Nd:YAG, 532 nm | ns | Multi-Channel, Czerny–Turner | ICCD | Plant | Bermuda grass (Cynodon dactylon) | Ca, C, Al, Si, Zn, N, Mg, Sr | [68] |
| Nd:YAG, 532 nm | ns | Multi-Channel, Czerny–Turner | ICCD | Fruit | Trichosanthes dioica fruits | Mg, Ca, Fe | [105] |
| Nd:YAG, 532 nm | ns | Multi-Channel, Czerny–Turner | ICCD | Fruit | Withania coagulans | glucose | [106] |
| Nd:YAG, 532 nm | ns | Multi-Channel, Czerny–Turner | ICCD | Fruit | Momordica charantia (family: Cucurbitaceae) | Mg, Ca, Na, K, Fe, Al | [107] |
| Nd:YAG, 532 nm | ns | Multi-Channel, Czerny–Turner | ICCD | Fruit | Psidium guajava (P. guajava) | Na, N, Mg, K, O, C | [108] |
| Nd:YAG, 532 nm | ns | Multi-Channel, Czerny–Turner | ICCD | Plant | four turmeric samples | K, Mg, Ca, C, Na, Fe, and molecular bands of CN | [109] |
| Nd:YAG, 532 nm | ns | Czerny–Turner | ICCD | Vegetable | Vegetable oils | C2 | [110] |
| Nd:YAG, 532 nm | ns | Czerny–Turner | ICCD | Plant | spinach leaves | P, Fe, B, Ca, Mg, Al, Si, Cu, Mn, Zn | [111] |
| Nutrient | S | P | Ca | Mg | ||||
|---|---|---|---|---|---|---|---|---|
| CTC | SR | CTC | SR | CTC | SR | CTC | SR | |
| Rice | ||||||||
| Maize | ||||||||
| Soybean | ||||||||
| Wheat |
| Year of Publication | Plant’s Section | Identified Element | Experimental Condition | Combined Technique | Sample Preparation | Ref. |
|---|---|---|---|---|---|---|
| 2019 | Lemna minor Raphanus sativus leaves, whole plant | Y, Yb, Er | SP-LIBS & NELIBS: Nd:YAG (532 nm), 10 mJ per pulse (L. minor), 20 mJ per pulse (R. sativus) | Nanoparticles | molded dried leaves glued with epoxide | [125] |
| 2006 | Helianthus annuus leaves | Pb, Cd, Ca | SP-LIBS; Ti:sapphire (795 nm), 100 µJ per pulse | X-ray Radiography | dried leaves | [126] |
| 2008 | CRMs, and leaves of Brachiaria, soya, banana, coffee, jack, maize, pepper, guayava | Ca, K, Mg, P | SP-LIBS: Nd:YAG (1064 nm), 10 Hz, 200 mJ/pulse, 23 J·cm−2, 4.6 W·cm−2, 8 pulses, 2 µs td, 5 µs tint | ICP-OES | drying, cryogenic grinding and pelletizing | [63] |
| 2007 | Helianthus annuus, part of leaves | Pb, Mn, K | SP-LIBS: Nd:YAG (532 nm), 10 mJ per pulse | Atomic absorption spectrometry (AAS) or atomic emission spectrometry (AES) | molded dried leaves | [67] |
| 2013 | Sugar cane leaves | Cu, Mn, P, K, Zn, Ca, Mg | SP-LIBS: Nd:YAG (1064 nm), 10 Hz, 110 mJ/pulse, 25 J·cm−2, 25 pulses, 2 µs td, 5 µs ti | ICP-OES | drying, cryogenic grinding (95% of particles < 75 µm) and pelletizing | [127] |
| 2008 | Helianthus annuus, part of leaves | Ag, Cu | SP-LIBS: Nd:YAG (532 nm), 10 mJ per pulse | Laser-Ablation Inductively Coupled Plasma Mass-Spectrometry (LA-ICP-MS) | molded frozen leaves | [99] |
| 2009 | Helianthus annuus, part of leaves | Pb, Mg, Cu | SP-LIBS: Nd:YAG (532 nm), 10 mJ per pulse | Laser-Ablation Inductively Coupled Plasma Mass Spectrometry (LA-ICP-MS) | dried and partially dried leaves | [97] |
| 2024 | CRMs, and leaves of Brachiaria, soya, banana, coffee, maize, mango, pepper | Mn, Zn, B, Cu, Fe | SP-LIBS: Nd:YAG (532 nm), 10 Hz, 70 mJ/pulse, 25 J·cm−2, 2.0 GW·cm−2, 30 pulses, 1.1 µs td, 10 µs ti | chemometric method (PLSR) | drying, cryogenic grinding, mixing with cellulose binder and pelletizing | [7] |
| 2009 | Zea mays, Helianthus annuus, Lactuca sativa, part of leaves | Pb, Mg | SP-LIBS: Nd:YAG (532 nm), 10 mJ per pulse | High performance liquid chromatography with electrochemical (HPLC-ED) | dried and partially dried leaves | [95] |
| 2011 | Capsicum annuum L., part of leaves | Pb, K, Mn | SP-LIBS: Nd:YAG (532 nm), 10 mJ per pulse | Laser ablation inductively coupled plasma mass spectrometry (LA-ICP-MS) | molded frozen, and dried leaves | [60] |
| 2012 | Spinach leaves | Mg, Ca, Na, K | SP-LIBS: Nd:YAG (1064 nm), 10 Hz, 80 and 140 mJ/pulse, 50 laser pulses | Chemometric methods (PLS-DA) | drying, grinding, sieving (50 and 200 mesh) and pelletizing | [93] |
| 2013 | Picea abies needles | Cu, Ca | DP-LIBS; Nd:YAG (266 nm), 10 mJ per pulse, Nd:YAG (1064 nm), 100 mJ per pulse | Inductively coupled plasma mass spectrometry (ICP-MS) | cross-sections of needles, 1–2 mm in thickness | [94] |
| 2019 | Lactuca sativa part of leaves and stem Allium schoenoprasum part of leaves | P, Cl, Cd | NELIBS: Nd:YAG (1064 nm), 160 mJ per pulse, Ag nanoparticle diameter 80 nm | Ag nanoparticle | dried leaves, fixed to a glass slide with double-sided adhesive tape | [128] |
| 2015 | Saccharum spp. Leaves | Fe, Mn, B, P, Si, Ca, Mg | SP-LIBS: Nd:YAG (1064 nm), 50 J·cm−2 | Energy-dispersive X-ray fluorescence spectrometry (EDXRF) | fragments from dried middle-third leaves | [55] |
| 2016 | Maize, holly (Ilex chinensis Sims), part of leaves | P, Cl, Mg, K | SP-LIBS: Nd:YAG (1064 nm), 90 mJ per pulse | -- | Zea mays: stretched fresh plants fixed by adhesive tape onto a platform Ilex chinensis: cut fresh leaves fixed to a platform | [129] |
| 2011 | Mustard (Brassica juncea) leaves | Pb | SP-LIBS: Nd:YAG (1064 nm), 10 Hz, 300 mJ | atomic absorption spectroscopy (AAS) | drying, grinding and Pelletizing | [130] |
| 2017 | Vicia faba root | Cu, Ag | DP-LIBS & NELIBS: Nd:YAG (266 nm), 5 mJ per pulse, Nd:YAG (1064 nm), 100 mJ per pulse | Ag nanoparticles | cryo-cross-sections of roots, 40 µm in thickness | [131] |
| 2018 | Lemna minor leaves | Cd, CdCl2 | DP-LIBS & NELIBS; Nd:YAG (266 nm), 10 mJ per pulse, Nd:YAG (1064 nm), 100 mJ per pulse | Quantum Dots Nanoparticles | molded dried leaves glued with epoxide | [132] |
| 2009 | CRMs and leaves of barley, poppy, wheat and rape | Ca, K, Mg, P | DP-LIBS: Nd:YAG(1064 nm), 20 Hz, double pulse, 65, 68 and 78 mJ/pulse, 30 pulses, 7 µs td, 1 µs ti | ICP-OES | drying, cryogenic grinding and pelletizing | [83] |
| 2018 | Podocarpus macorophyllus leaves | Li, Ca | SP-LIBS; Nd:YAG (266 nm), 15 mJ per pulse | -- | fresh leaves | [133] |
| 2019 | Rice (Oryza sativa L.) leaves | Mg, Ca, Si, Na, K, CN, N | SP- & DP-LIBS; Nd:YAG (532 nm), 60 mJ per pulse, Nd:YAG (1064 nm), 50 mJ per pulse | chemometric thechniques (PLS, SVM) | dried leaves | [134] |
| 0.01556456 | 0.018851377 | 0.020282802 | 0.03194 | |
| 0.07650221 | 0.086808511 | 0.115235948 | 0.1271288 | |
| 0.03882128 | 0.036399361 | 0.024551016 | 0.0274323 | |
| 0.03984836 | 0.038226791 | 0.035729464 | 0.0345009 |
| Agricultural Plant Products | Elements Analyzed | Ref. |
|---|---|---|
| Bean (Pulses) | [47] | |
| Pepper (Capsicum annum .) | Pb, Mn, K | [60] |
| Chickpea | Si, Mg, Ti, Fe, Ca, C, Al | [157] |
| Fenugreek seeds | Si, Mg, Ti, Fe, Ca, C, Al | [157] |
| Folium Lycil | Al, Ca, K, Li, Mg, Na, Si, Sr, Ti | [64] |
| Leaf mustard | Si, Mg, Ti, Fe, Ca, C, Al | [157] |
| Lettuce (Lactuca sativa) | Fe, Mn, B, Cu, Zn | [47] |
| Maize (Zea mays) | B, Fe, Cu, Zn, Mn | [47] |
| Pepper (Piper nigrum) | B, Cu, Fe, Mn, Zn | [47] |
| Potato (Solanum tuberosum) | Al, Ba, Be, Ca, C, Cl, Cr, Co, Cu, Fe, H, K, Li, Mn, Mg, Mo, N, Na, Ni, V, O, Rb, Si, Sr, S, Ti | [14] |
| [47] | ||
| Soya (Glycine max) | Fe, Cu, Mn, Zn, B | [111] |
| Spinach (Spinacia oleracea) | Ca, Mg, P, B, Cu, Fe, Mn, Zn, Al, Si | [111] |
| Sugarcane | Mg, B, Cu, Ca, K, Mn, Fe, P, Zn | [84] |
| Sunflower | Ag, Ca, Cu, K, Mn, Mg, Pb | [51] |
| (Helianthus annuus) | ||
| Wheat seedling | C, Ca, Fe, H, K, Mg, N, Na, O, Si | [124] |
| Investigated Plant | Diseased Type | Elements Studied | References |
|---|---|---|---|
| Oilseed rape (L.) | Sclerotinia stem rot (SSR) | C, Ca, Na, K | [220] |
| Tomato | Root Knot Nematode (RKN) | C, Mg | [221] |
| Tobacco | Cymbidium Ringspot Virus | C, Mg | [221] |
| Citrus leaves | Huanglongbing, Citrus canker | Fe, Mn, Mg, Zn | [222] |
| Black tea (Camellia sinensis) leaves | - | Fe, Mn, Na, P, Ca, Al, Zn, Cr, Cu, Mn, Ni, Pb | [223] |
| Citrus | Candidatus Liberibacter asiaticus (CLas) and Citrus tristeza virus (CTV) | C, H, O, Ca, K, N, Cl, Mg, S, Fe, Mn, Ma, Na, Ni, Zn | [86] |
| Soybean | Green stem and foliar retention (GSFR) | Ca, K, Mg | [223] |
| Camellia oleifera leaves | Anthracnose | Mn, Ca, Al, Fe | [224] |
| Citrus leaves | Huanglongbing (HLB) | Ca, Mg, K | [217] |
| Papaya | Nematode-infested | Mg, Si, Al, Ca, Na, K, N, O, C, Na, Zn, Fe, Ti, Cr, Mn, Cu, Cl | [218] |
| rice plant | The infection caused by false smut | Ca, Mg, Si, Cu, Fe | [225] |
| Tobacco leaves | Tobacco mosaic virus (TMV) | C, Mg, Ca, N, H, K, O | [219] |
| Camellia oleifera industry | Anthracnose of Camellia oleifera | Mn, Ca, Ca II, Fe | [224] |
| Ber fruits | Agrobacterium tumefaciens (Ziziphus mauritiana) | Ca, K, Si, Mn, Na, increasing trends of Mg | [226] |
| Citrus | Huanglongbing (HLB) | Ca, Zn, K | [227] |
| wheat (Triticum aestivum) | fungal infection | Ca, Mg, Si, Fe, Na, K, C, H, O, N | [124] |
| navel orange | Huanglongbing (HLB) | K, Ca, Mg, Fe, Mn, Cu, P | [228] |
| Fresh fruit (Citrus) | Huanglongbing (HLB) | Ca, Zn, K | [229] |
| Gannan navel oranges | Huanglongbing (HLB) | Ca, Na, Mg, K, C, H, O | [230] |
| Mulberry fruit | thiophanate-methyl | Fe, Cs, Th, Sr | [231] |
| R. officinale | toxic metals | Ca, K, Mg | [118] |
| Citrus | Huanlongbing (HLB) | Ca, Na, N, H, Fe | [232] |
| Nutrient | Fe | K | Cr | Mg | ||||
|---|---|---|---|---|---|---|---|---|
| 3 in. | 6 in. | 3 in. | 6 in. | 3 in. | 6 in. | 3 in. | 6 in. | |
| Wheat (%) | ||||||||
| Corn (%) | 1.01 | |||||||
| Okra (%) | ||||||||
| Rice (%) |
| Plant Name | Plant Part | Detected Elements | Method for Comparison with LIBS | Reasons for LIBS Superiority | References |
|---|---|---|---|---|---|
| Phylanthus niruri | Roots and leaves | Na, Ni, Al, Mg, Fe, Si, Mn, Ca, Zr, Cr, K, Ba, P, Cu, Ti, Zn, C, H, N, O, Li | ICP-OES | Rapid analysis, multi-elemental detection, high spatial resolution, minimal or no sample preparation, non-destructive technique, all-phase (solid, liquid, and gases) detection | [188] |
| Barringtonia racemosa | Roots and leaves | ||||
| Tinospora cordifolia | Roots and leaves | ||||
| Hygrophila angustifolia | Roots and leaves | ||||
| Flower sample of Hygrophila angustifolia | Flower part | ||||
| Apple | leaves | Zn, Mn, P, Al, Ca, Cu, Mg, Fe | AAS | Multi-elemental analysis, minimal sample preparation | [83] |
| Peach | leaves | ||||
| Spinach | leaves | ||||
| Tomato | leaves | ||||
| Sunflower | leaves | Pb, Cu, Mg | LA-ICP-MS | Instantaneous emission, LA-ICP-MS does not directly offer information related to a particular location within the sample | [97] |
| Sugar cane | dried leaves, | Cu, Mn, P, K, Ca, Mg, Fe, Zn, B, Si | EDXRF | Multi-element analysis, both macro- and micronutrient detection, real-time measurement, fresh samples analysis | [55] |
| Soil | collected around the Sultan Iskandar power station | Fe, Ni, Pb, Cu | FAAS | Rapid analysis, real-time analysis, multi-elemental analysis | [113] |
| Miracle Moringa | leaves | Ca, Na, K, Fe, Mg, Mn, Cu, P, S, Zn | ICP-OES | Minimal sample preparation, rapid analysis, portable and field-deployable | [114] |
| Black tea | leaves | Fe, Mg, Na, P, Ca, Al, Zn | ICP/AES | Minimal sample preparation, field analysis, high-throughput screening, analyzing delicate samples, portability | [222] |
| Tinnevelly senna | leaves | Na, Sr, Al, Ba, Ca, Cu, Fe, Mg, Mn, Zn, As, V | ICP-OES | Rapid, eco-friendly, multi-elemental analysis | [153] |
| Festuca arundinacea | leaves | Ca, Mg, Fe, Mn, Cu, Ni, Zn | ICP-MS | Minimal sample preparation, portability, multi-element analysis | [81] |
| Sugar cane | leaves | P, K, Fe, Mn, Ca, S, Si | EDXRF | Fast, in situ analysis with minimal sample preparation | [55] |
| Papaya | Root | N, O, C, Na, Zn, Mg, Si, Al, Ca, Na, K, Ti, Fe, Cr, Mn, Cu, Cl | WDXRF | Minimal sample preparation, portability, depth profiling | [218] |
Disclaimer/Publisher’s Note: The statements, opinions and data contained in all publications are solely those of the individual author(s) and contributor(s) and not of MDPI and/or the editor(s). MDPI and/or the editor(s) disclaim responsibility for any injury to people or property resulting from any ideas, methods, instructions or products referred to in the content. |
© 2025 by the authors. Licensee MDPI, Basel, Switzerland. This article is an open access article distributed under the terms and conditions of the Creative Commons Attribution (CC BY) license (https://creativecommons.org/licenses/by/4.0/).
Share and Cite
Rezaei, F.; Eskandary, A.; Zahedi, M.; Beheshtipour, S.; Palleschi, V. A Comprehensive Review of the Fundamentals, Progress, and Applications of the LIBS Method in Analysis of Plants: Quantitative and Qualitative Analysis. Photonics 2025, 12, 1061. https://doi.org/10.3390/photonics12111061
Rezaei F, Eskandary A, Zahedi M, Beheshtipour S, Palleschi V. A Comprehensive Review of the Fundamentals, Progress, and Applications of the LIBS Method in Analysis of Plants: Quantitative and Qualitative Analysis. Photonics. 2025; 12(11):1061. https://doi.org/10.3390/photonics12111061
Chicago/Turabian StyleRezaei, Fatemeh, Alireza Eskandary, Mobina Zahedi, Saleheh Beheshtipour, and Vincenzo Palleschi. 2025. "A Comprehensive Review of the Fundamentals, Progress, and Applications of the LIBS Method in Analysis of Plants: Quantitative and Qualitative Analysis" Photonics 12, no. 11: 1061. https://doi.org/10.3390/photonics12111061
APA StyleRezaei, F., Eskandary, A., Zahedi, M., Beheshtipour, S., & Palleschi, V. (2025). A Comprehensive Review of the Fundamentals, Progress, and Applications of the LIBS Method in Analysis of Plants: Quantitative and Qualitative Analysis. Photonics, 12(11), 1061. https://doi.org/10.3390/photonics12111061

