Femtosecond Laser-Written Small-Period Long-Period Fiber Grating for an L-Band Normal Dispersion Mode-Locked Fiber Laser
Abstract
1. Introduction
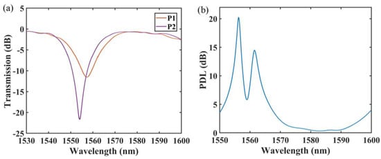
2. Fabrication and Characterization of the SP-LPFG
3. Experimental Setup of the Fiber Laser
4. Results and Discussion
5. Conclusions
Author Contributions
Funding
Data Availability Statement
Conflicts of Interest
References
- Marshall, J.; Stewart, G.; Whitenett, G. Design of a tunable L-band multi-wavelength laser system for application to gas spectroscopy. Meas. Sci. Technol. 2006, 17, 1023–1031. [Google Scholar] [CrossRef]
- Cadroas, P.; Abdeladim, L.; Kotov, L.; Likhachev, M.; Lipatov, D.; Gaponov, D.; Hideur, A.; Tang, M.; Livet, J.; Supatto, W.; et al. All-fiber femtosecond laser providing 9 nJ, 50 MHz pulses at 1650 nm for three-photon microscopy. J. Opt. 2017, 19, 065506. [Google Scholar] [CrossRef]
- Sun, Z.; Rozhin, A.G.; Wang, F.; Scardaci, V.; Milne, W.I.; White, I.H.; Hennrich, F.; Ferrari, A.C. L-band ultrafast fiber laser mode locked by carbon nanotubes. Appl. Phys. Lett. 2008, 93, 061114. [Google Scholar] [CrossRef]
- Agrawal, G.P. Lightwave Technology: Telecommunication Systems; John Wiley & Sons: Hoboken, NJ, USA, 2005. [Google Scholar]
- Huang, Z.; Huang, Q.; Theodosiou, A.; Cheng, X.; Zou, C.; Dai, L.; Kalli, K.; Mou, C. All-fiber passively mode-locked ultrafast laser based on a femtosecond-laser-inscribed in-fiber Brewster device. Opt. Lett. 2019, 44, 5177–5180. [Google Scholar] [CrossRef] [PubMed]
- Hu, P.; Mao, J.J.; Zhou, X.; Feng, T.L.; Nie, H.K.; Wang, R.H.; Zhang, B.T.; Li, T.; He, J.L.; Yang, K.J. Multiple soliton mode-locking operations of a Holmium-doped fiber laser based on nonlinear polarization rotation. Opt. Laser Technol. 2023, 161, 109218. [Google Scholar] [CrossRef]
- Matsas, V.; Newson, T.; Richardson, D.; Payne, D.N. Self-starting, passively mode-locked fibre ring soliton laser exploiting non-linear polarisation rotation. Electron. Lett. 1992, 28, 1391–1393. [Google Scholar] [CrossRef]
- Wu, X.; Tang, D.Y.; Zhang, H.; Zhao, L.M. Dissipative soliton resonance in an all-normal-dispersion erbium-doped fiber laser. Opt. Express 2009, 17, 5580–5584. [Google Scholar] [CrossRef] [PubMed]
- Li, Y.Y.; Jiang, M.; Hou, L.; Tao, J.N.; Song, P.Y.; Lu, B.L.; Bai, J.T. Wavelength-tunable dissipative soliton from Yb-doped fiber laser with nonlinear amplifying loop mirror. Chin. Opt. Lett. 2023, 21, 061402. [Google Scholar] [CrossRef]
- Li, H.J.; Li, X.L.; Zhang, S.M.; Liu, J.M.; Yan, D.; Wang, C.R.; Li, J.Y. Vector Staircase Noise-Like Pulses in an Er/Yb-Codoped Fiber Laser. J. Light. Technol. 2022, 40, 4391–4396. [Google Scholar] [CrossRef]
- Tao, J.N.; Song, P.Y.; Lv, C.Y.; Hou, L.; Lu, B.L.; Bai, J.T. Generation of widely tunable single- and dual-wavelength in a figure-eight mode-locked fiber laser. Opt. Laser Technol. 2023, 160, 109107. [Google Scholar] [CrossRef]
- Tao, J.N.; Song, Y.Q.; Li, Y.Y.; Jia, X.Z.; Hou, L.; Lu, B.L.; Bai, J.T. Pulse type switchable, spectral bandwidth dynamically adjustable all-fiber laser mode-locked by NALM. Opt. Laser Technol. 2023, 157, 108682. [Google Scholar] [CrossRef]
- Jiang, H.; Li, H.; Hu, F.; Ren, X.; Li, C.; Xu, S. Mode-locked Tm fiber laser with a tapered GIMF SA based on nonlinear multimode interference effect. IEEE Photonics Technol. Lett. 2020, 32, 503–506. [Google Scholar] [CrossRef]
- Zhang, B.; Ma, S.; Lu, S.; He, Q.; Guo, J.; Jiao, Z.; Wang, B. All-fiber mode-locked ytterbium-doped fiber laser with a saturable absorber based on the nonlinear Kerr beam cleanup effect. Opt. Lett. 2020, 45, 6050–6053. [Google Scholar] [CrossRef] [PubMed]
- Dong, Z.; Lin, J.; Li, H.; Zhang, Y.; Gu, C.; Yao, P.; Xu, L. Er-doped mode-locked fiber lasers based on nonlinear polarization rotation and nonlinear multimode interference. Opt. Laser Technol. 2020, 130, 106337. [Google Scholar] [CrossRef]
- Fermann, M.; Sugden, K.; Bennion, I. Generation of 10 nJ picosecond pulses from a modelocked fibre laser. Electron. Lett. 1995, 31, 194–195. [Google Scholar] [CrossRef]
- Ilday, F.; Buckley, J.; Kuznetsova, L.; Wise, F. Generation of 36-femtosecond pulses from a ytterbium fiber laser. Opt. Express 2003, 11, 3550–3554. [Google Scholar] [CrossRef]
- Ahmad, H.; Azmy, N.F.; Norisham, N.F.; Reduan, S.A.; Zulkifli, M.Z. Thulium-doped fluoride mode-locked fiber laser based on nonlinear polarization rotation. Opt. Quant. Electron. 2022, 54, 80. [Google Scholar] [CrossRef]
- Mou, C.B.; Wang, H.; Bale, B.G.; Zhou, K.M.; Zhang, L.; Bennion, I. All-fiber passively mode-locked femtosecond laser using a 45°-tilted fiber grating polarization element. Opt. Express 2010, 18, 18906–18911. [Google Scholar] [CrossRef]
- Du, Y.Q.; Shu, X.W.; Xu, Z.W. All-fiber passively mode-locked laser based on a chiral fiber grating. Opt. Lett. 2016, 41, 360–363. [Google Scholar] [CrossRef]
- Alamgir, I.; Rochette, M. Thulium-doped fiber laser mode-locked by nonlinear polarization rotation in a chalcogenide tapered fiber. Opt. Express 2022, 30, 14300–14310. [Google Scholar] [CrossRef]
- Erdogan, T. Fiber grating spectra. J. Light. Technol. 1997, 15, 1277–1294. [Google Scholar] [CrossRef]
- Hill, K.O.; Meltz, G. Fiber Bragg grating technology fundamentals and overview. J. Light. Technol. 1997, 15, 1263–1276. [Google Scholar] [CrossRef]
- Bhatia, V.; Campbell, D.K.; Sherr, D.; D’Alberto, T.; Zabaronick, N.; Ten Eyck, G.A.; Murphy, K.A.; Claus, R.O. Temperature-insensitive and strain-insensitive long-period grating sensors for smart structures. Opt. Eng. 1997, 36, 1872–1876. [Google Scholar] [CrossRef]
- Costantini, D.; Limberger, H.; Salathe, R.; Muller, C.; Vasiliev, S. Tunable loss filter based on metal coated long period grating. In Proceedings of the 24th European Conference on Optical Communication, ECOC’98 (IEEE Cat. No. 98TH8398), Madrid, Spain, 20–24 September 1998; pp. 391–392. [Google Scholar]
- Liu, Y.; Zhang, L.; Williams, J.; Bennion, I. Bend sensing by measuring the resonance splitting of long-period fiber gratings. Opt. Commun. 2001, 193, 69–72. [Google Scholar] [CrossRef]
- Bilodeau, F.; Johnson, D.; Theriault, S.; Malo, B.; Albert, J.; Hill, K. An all-fiber dense wavelength-division multiplexer/demultiplexer using photoimprinted Bragg gratings. IEEE Photonic Technol. Lett. 1995, 7, 388–390. [Google Scholar] [CrossRef] [PubMed]
- Shen, F.; Wang, C.; Sun, Z.; Zhou, K.; Zhang, L.; Shu, X. Small-period long-period fiber grating with improved refractive index sensitivity and dual-parameter sensing ability. Opt. Lett. 2017, 42, 199–202. [Google Scholar] [CrossRef]
- Kanagaraj, N.; Theodosiou, A.; Aubrecht, J.; Peterka, P.; Kamradek, M.; Kalli, K.; Kasik, I.; Honzatko, P. All fiber mode-locked thulium-doped fiber laser using a novel femtosecond-laser-inscribed 45°-plane-by-plane-tilted fiber grating. Laser Phys. Lett. 2019, 16, 095104. [Google Scholar] [CrossRef]
- Wang, T.; Yan, Z.; Mou, C.; Liu, Z.; Liu, Y.; Zhou, K.; Zhang, L. Narrow bandwidth passively mode locked picosecond Erbium doped fiber laser using a 45 degrees tilted fiber grating device. Opt. Express 2017, 25, 16708–16714. [Google Scholar] [CrossRef] [PubMed]
- Shen, F.; Shu, X.; Zhou, K.; Jiang, H.; Xia, H.; Xie, K.; Zhang, L. Compact vector twist sensor using a small period long period fiber grating inscribed with femtosecond laser. Chin. Opt. Lett. 2021, 19, 090601. [Google Scholar] [CrossRef]
- Zhao, R.; Liu, H.; Shu, X. Femtosecond laser-inscribed off-axis high-order mode long-period grating for independent sensing of curvature and temperature. Opt. Express 2022, 30, 37697–37710. [Google Scholar] [CrossRef] [PubMed]





Disclaimer/Publisher’s Note: The statements, opinions and data contained in all publications are solely those of the individual author(s) and contributor(s) and not of MDPI and/or the editor(s). MDPI and/or the editor(s) disclaim responsibility for any injury to people or property resulting from any ideas, methods, instructions or products referred to in the content. |
© 2024 by the authors. Licensee MDPI, Basel, Switzerland. This article is an open access article distributed under the terms and conditions of the Creative Commons Attribution (CC BY) license (https://creativecommons.org/licenses/by/4.0/).
Share and Cite
Li, Q.; Cheng, P.; Zhao, R.; Shu, X. Femtosecond Laser-Written Small-Period Long-Period Fiber Grating for an L-Band Normal Dispersion Mode-Locked Fiber Laser. Photonics 2024, 11, 693. https://doi.org/10.3390/photonics11080693
Li Q, Cheng P, Zhao R, Shu X. Femtosecond Laser-Written Small-Period Long-Period Fiber Grating for an L-Band Normal Dispersion Mode-Locked Fiber Laser. Photonics. 2024; 11(8):693. https://doi.org/10.3390/photonics11080693
Chicago/Turabian StyleLi, Qianying, Peiyun Cheng, Rong Zhao, and Xuewen Shu. 2024. "Femtosecond Laser-Written Small-Period Long-Period Fiber Grating for an L-Band Normal Dispersion Mode-Locked Fiber Laser" Photonics 11, no. 8: 693. https://doi.org/10.3390/photonics11080693
APA StyleLi, Q., Cheng, P., Zhao, R., & Shu, X. (2024). Femtosecond Laser-Written Small-Period Long-Period Fiber Grating for an L-Band Normal Dispersion Mode-Locked Fiber Laser. Photonics, 11(8), 693. https://doi.org/10.3390/photonics11080693
