Characterizing Extreme Events in a Fabry–Perot Laser with Optical Feedback
Abstract
1. Introduction
2. Theoretical Model
3. Results and Discussion
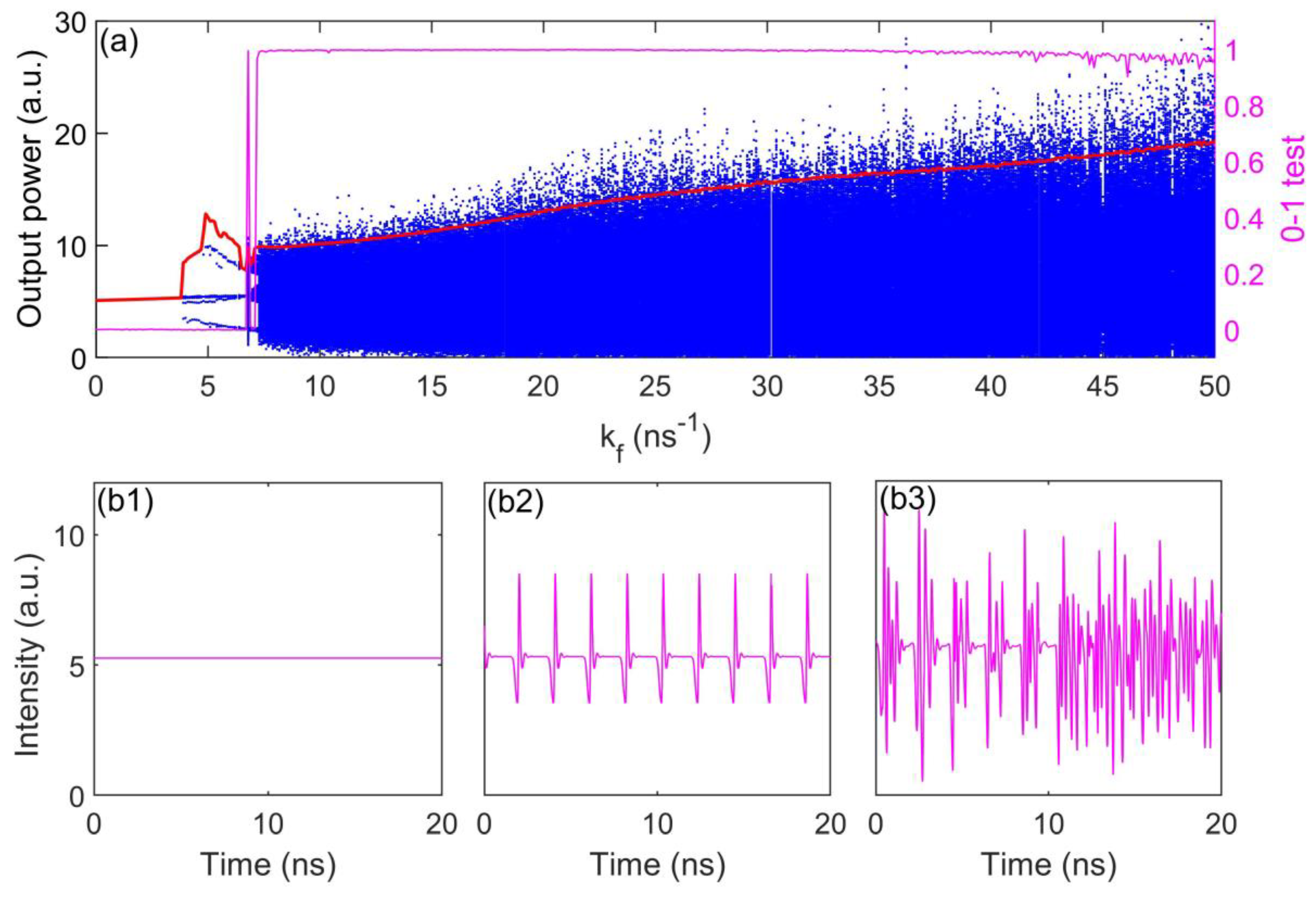
3.1. Threshold Defined by the Abnormality Index
3.2. Another Threshold Definition of EEs
4. Conclusions
Author Contributions
Funding
Institutional Review Board Statement
Informed Consent Statement
Data Availability Statement
Conflicts of Interest
References
- Broad, W.J. Rogue giants at sea. The New York Times, 11 July 2006; p. 11. [Google Scholar]
- Yan, Z.-Y. Financial rogue waves. Commun. Theor. Phys. 2010, 54, 947. [Google Scholar] [CrossRef]
- Efimov, V.; Ganshin, A.; Kolmakov, G.; McClintock, P.; Mezhov-Deglin, L. Rogue waves in superfluid helium. Eur. Phys. J. Spec. Top. 2010, 185, 181–193. [Google Scholar] [CrossRef]
- Ganshin, A.; Efimov, V.; Kolmakov, G.; Mezhov-Deglin, L.; McClintock, P.V. Observation of an inverse energy cascade in developed acoustic turbulence in superfluid helium. Phys. Rev. Lett. 2008, 101, 065303. [Google Scholar] [CrossRef] [PubMed]
- Wang, W.-X.; Yang, R.; Lai, Y.-C.; Kovanis, V.; Grebogi, C. Predicting catastrophes in nonlinear dynamical systems by compressive sensing. Phys. Rev. Lett. 2011, 106, 154101. [Google Scholar] [CrossRef] [PubMed]
- Tlidi, M.; Taki, M. Rogue waves in nonlinear optics. Adv. Opt. Photon. 2022, 14, 87–147. [Google Scholar] [CrossRef]
- Dudley, J.M.; Genty, G.; Mussot, A.; Chabchoub, A.; Dias, F. Rogue waves and analogies in optics and oceanography. Nat. Rev. Phys. 2019, 1, 675–689. [Google Scholar] [CrossRef]
- Solli, D.R.; Ropers, C.; Koonath, P.; Jalali, B. Optical rogue waves. Nature 2007, 450, 1054–1057. [Google Scholar] [CrossRef]
- Xu, J.M.; Wu, J.; Ye, J.; Song, J.X.; Yao, B.C.; Zhang, H.W.; Leng, J.Y.; Zhang, W.L.; Zhou, P.; Rao, Y.J. Optical rogue wave in random fiber laser. Photon. Res. 2020, 8, 1–7. [Google Scholar] [CrossRef]
- Pammi, V.A.; Clerc, M.G.; Coulibaly, S.; Barbay, S. Extreme events prediction from nonlocal partial information in a spatiotemporally chaotic microcavity laser. Phys. Rev. Lett. 2023, 130, 223801. [Google Scholar] [CrossRef]
- Teğin, U.; Wang, P.; Wang, L.V. Real-time observation of optical rogue waves in spatiotemporally mode-locked fiber lasers. Commun. Phys. 2023, 6, 60. [Google Scholar] [CrossRef]
- Wu, X.; Zhang, Y.; Peng, J.; Boscolo, S.; Finot, C.; Zeng, H. Control of spectral extreme events in ultrafast fiber lasers by a genetic algorithm. Laser Photonics Rev. 2023, 18, 2200470. [Google Scholar] [CrossRef]
- Wang, T.; Zhou, H.; Fang, Q.; Han, Y.; Guo, X.; Zhang, Y.; Qian, C.; Chen, H.; Barland, S.; Xiang, S.; et al. Reservoir computing-based advance warning of extreme events. Chaos Solitons Fract. 2024, 181, 114673. [Google Scholar] [CrossRef]
- Mercier, E.; Even, A.; Mirisola, E.; Wolfersberger, D.; Sciamanna, M. Numerical study of extreme events in a laser diode with phase-conjugate optical feedback. Phys. Rev. E 2015, 91, 042914. [Google Scholar] [CrossRef]
- Spitz, O.; Wu, J.; Herdt, A.; Maisons, G.; Carras, M.; Elsäßer, W.; Wong, C.-W.; Grillot, F. Extreme events in quantum cascade lasers. Adv. Photonics 2020, 2, 066001. [Google Scholar] [CrossRef]
- Coulibaly, S.; Clerc, M.G.; Selmi, F.; Barbay, S. Extreme events following bifurcation to spatiotemporal chaos in a spatially extended microcavity laser. Phys. Rev. A 2017, 95, 023816. [Google Scholar] [CrossRef]
- Bonatto, C.; Feyereisen, M.; Barland, S.; Giudici, M.; Masoller, C.; Leite, J.R.; Tredicce, J.R. Deterministic optical rogue waves. Phys. Rev. Lett. 2011, 107, 053901. [Google Scholar] [CrossRef] [PubMed]
- Uy, C.H.; Rontani, D.; Sciamanna, M. Vectorial extreme events in VCSEL polarization dynamics. Opt. Lett. 2017, 42, 2177–2180. [Google Scholar] [CrossRef] [PubMed]
- Zeng, Y.; Zhou, P.; Huang, Y.; Li, N. Extreme events in optically pumped spin-VCSELs. Opt. Lett. 2022, 47, 142–145. [Google Scholar] [CrossRef]
- Iwami, R.; Mihana, T.; Kanno, K.; Sunada, S.; Naruse, M.; Uchida, A. Controlling chaotic itinerancy in laser dynamics for reinforcement learning. Sci. Adv. 2022, 8, eabn8325. [Google Scholar] [CrossRef]
- Bogris, A.; Mesaritakis, C.; Deligiannidis, S.; Li, P. Fabry-Perot lasers as enablers for parallel reservoir computing. IEEE J. Sel. Top. Quantum Electron. 2021, 27, 7500307. [Google Scholar] [CrossRef]
- Gao, H.; Wang, A.; Wang, L.; Jia, Z.; Guo, Y.; Gao, Z.; Yan, L.; Qin, Y.; Wang, Y. 0.75 Gbit/s high-speed classical key distribution with mode-shift keying chaos synchronization of Fabry-Perot lasers. Light Sci. Appl. 2021, 10, 172. [Google Scholar] [CrossRef] [PubMed]
- Xiang, S.; Shi, Y.; Guo, X.; Zhang, Y.; Wang, H.; Zheng, D.; Song, Z.; Han, Y.; Gao, S.; Zhao, S.; et al. Hardware-algorithm collaborative computing with photonic spiking neuron chip based on an integrated Fabry–Perot laser with a saturable absorber. Optica 2023, 10, 162–171. [Google Scholar] [CrossRef]
- Lang, R.; Kobayashi, K. External optical feedback effects on semiconductor injection laser properties. IEEE J. Quantum Electron. 1980, 16, 347–355. [Google Scholar] [CrossRef]
- Han, H.; Zhang, M.J.; Shore, K.A. Chaos bandwidth enhancement of Fabry–Pérot laser diode with dual-mode continuous-wave optical injection. IEEE J. Quantum Electron. 2019, 55, 2000708. [Google Scholar] [CrossRef]
- Iwami, R.; Kanno, K.; Uchida, A. Chaotic mode-competition dynamics in a multimode semiconductor laser with optical feedback and injection. Opt. Express 2023, 31, 11274–11291. [Google Scholar] [CrossRef] [PubMed]
- Huang, Y.; Zhou, P.; Zeng, Y.; Zhang, R.; Li, N. Evolution of extreme events in a semiconductor laser subject to chaotic optical injection. Phys. Rev. A 2022, 105, 043521. [Google Scholar] [CrossRef]
- Dal Bosco, A.K.; Wolfersberger, D.; Sciamanna, M. Extreme events in time-delayed nonlinear optics. Opt. Lett. 2013, 38, 703–705. [Google Scholar] [CrossRef] [PubMed]
- Reinoso, J.A.; Zamora-Munt, J.; Masoller, C. Extreme intensity pulses in a semiconductor laser with a short external cavity. Phys. Rev. E 2013, 87, 062913. [Google Scholar] [CrossRef] [PubMed]
- Zeng, Y.; Huang, Y.; Zhou, P.; Mu, P.; Li, N. Controlling the likelihood of extreme events in an optically pumped spin-VCSEL via chaotic optical injection. Opt. Express 2023, 31, 16178–16191. [Google Scholar] [CrossRef]
- Li, X.-Z.; Zhou, X.; Gu, Y.; Zhao, M. Numerical study of statistical properties for semiconductor laser chaos by exploring the injection parameter space. IEEE J. Sel. Top. Quantum Electron. 2022, 28, 0600108. [Google Scholar] [CrossRef]









| Output | Threshold AI = 2 | |
|---|---|---|
| 1.90% | 0.00% | |
| 3.83% | 0.11% | |
| 3.43% | 0.07% | |
| 3.27% | 0.05% | |
| 3.45% | 0.07% | |
| 3.81% | 0.17% |
Disclaimer/Publisher’s Note: The statements, opinions and data contained in all publications are solely those of the individual author(s) and contributor(s) and not of MDPI and/or the editor(s). MDPI and/or the editor(s) disclaim responsibility for any injury to people or property resulting from any ideas, methods, instructions or products referred to in the content. |
© 2024 by the authors. Licensee MDPI, Basel, Switzerland. This article is an open access article distributed under the terms and conditions of the Creative Commons Attribution (CC BY) license (https://creativecommons.org/licenses/by/4.0/).
Share and Cite
Ge, S.; Huang, Y.; Li, K.; Zhou, P.; Mu, P.; Zhu, X.; Li, N. Characterizing Extreme Events in a Fabry–Perot Laser with Optical Feedback. Photonics 2024, 11, 462. https://doi.org/10.3390/photonics11050462
Ge S, Huang Y, Li K, Zhou P, Mu P, Zhu X, Li N. Characterizing Extreme Events in a Fabry–Perot Laser with Optical Feedback. Photonics. 2024; 11(5):462. https://doi.org/10.3390/photonics11050462
Chicago/Turabian StyleGe, Shanshan, Yu Huang, Kun Li, Pei Zhou, Penghua Mu, Xin Zhu, and Nianqiang Li. 2024. "Characterizing Extreme Events in a Fabry–Perot Laser with Optical Feedback" Photonics 11, no. 5: 462. https://doi.org/10.3390/photonics11050462
APA StyleGe, S., Huang, Y., Li, K., Zhou, P., Mu, P., Zhu, X., & Li, N. (2024). Characterizing Extreme Events in a Fabry–Perot Laser with Optical Feedback. Photonics, 11(5), 462. https://doi.org/10.3390/photonics11050462

