Spectral and Cathodoluminescence Decay Characteristics of the Ba1−xCexF2+x (x = 0.3–0.4) Solid Solution Synthesized by Precipitation from Aqueous Solutions and Fusion
Abstract
:1. Introduction
2. Materials and Methods
3. Results
3.1. Ba1−xCexF2+x Single Crystals
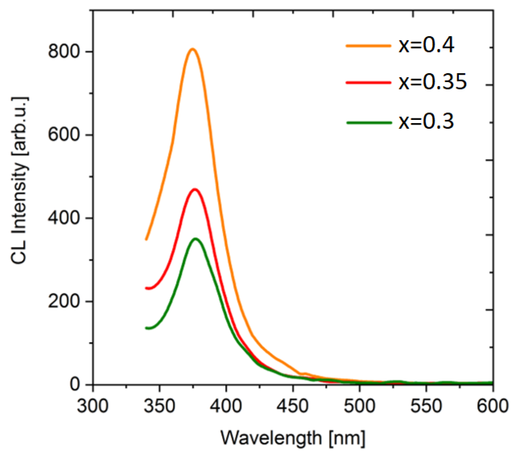
3.2. Ba1−xCexF2+x Pressed Powders
4. Discussion
5. Conclusions
Author Contributions
Funding
Institutional Review Board Statement
Informed Consent Statement
Data Availability Statement
Acknowledgments
Conflicts of Interest
References
- Zverev, V.A.; Krivopystova, E.V.; Tochilina, T.V. Optical Materials. Part 2; NIU ITMO: St. Petersburg, FL, USA, 2013. [Google Scholar]
- Blasse, G.; Grabmaier, B.C. Luminescent Materials; Springer: Berlin/Heidelberg, Germany, 1994; ISBN 978-3-540-58019-5. [Google Scholar]
- Woody, C.L.; Anderson, D.F. Calorimetry Using BaF2 with Photosensitive Wire Chamber Readout. Nucl. Instrum. Methods Phys. Res. Sect. A 1988, 265, 291–300. [Google Scholar] [CrossRef]
- Wisshak, K.; Käppeler, F.; Müller, H. Prototype Crystals for the Karlsruhe 4π Barium Fluoride Detector. Nucl. Instrum. Methods Phys. Res. Sect. A 1986, 251, 101–107. [Google Scholar] [CrossRef]
- Makhov, V.N.; Terekhin, M.A.; Kirm, M.; Molodtsov, S.L.; Vyalikh, D.V. A Comparative Study of Photoemission and Cross Luminescence from BaF2. Nucl. Instrum. Methods Phys. Res. Sect. A 2005, 537, 113–116. [Google Scholar] [CrossRef]
- Kamada, K.; Nawata, T.; Inui, Y.; Yanagi, H.; Sato, H.; Yoshikawa, A.; Nikl, M.; Fukuda, T. Czochralski Growth of 8 Inch Size BaF2 Single Crystal for a Fast Scintillator. Nucl. Instrum. Methods Phys. Res. Sect. A 2005, 537, 159–162. [Google Scholar] [CrossRef]
- Zhukovsky, K. Analysis of the Spectral Properties of Free Electron Lasers in X-RAY and Other Bands. Radiat. Phys. Chem. 2021, 189, 109698. [Google Scholar] [CrossRef]
- Jönsson, H.O.; Östlin, C.; Scott, H.A.; Chapman, H.N.; Aplin, S.J.; Tîmneanu, N.; Caleman, C. FreeDam—A Webtool for Free-Electron Laser-Induced Damage in Femtosecond X-ray Crystallography. High Energy Density Phys. 2018, 26, 93–98. [Google Scholar] [CrossRef]
- Borovykh, S.V.; Mityureva, A.A.; Smirnov, V.V. Diffraction Pattern Degradation Driven by Intense Ultrafast X-Ray Pulse for H2+. Phys. Lett. A 2021, 389, 127088. [Google Scholar] [CrossRef]
- Joo, Y.; Park, Y.; Heo, H.; Heo, J.; Park, S.-S.; Kim, S.-H.; Kim, K.-H.; Kang, H.-S.; Lee, H.-S.; Noh, S.; et al. Development of New S-Band SLED for PAL-XFEL Linac. Nucl. Instrum. Methods Phys. Res. Sect. A 2017, 843, 50–60. [Google Scholar] [CrossRef]
- Yang, H.; Kim, G.; Kang, H.-S. First Saturation of 14.5 KeV Free Electron Laser at PAL-XFEL. Nucl. Instrum. Methods Phys. Res. Sect. A 2018, 911, 51–54. [Google Scholar] [CrossRef]
- Ghaith, A.; Couprie, M.-E.; Oumbarek-Espinos, D.; Andriyash, I.A.; Massimo, F.; Clarke, J.A.; Courthold, M.; Bayliss, V.; Bernhard, A.; Trunk, M.; et al. Undulator Design for a Laser-Plasma-Based Free-Electron-Laser. Phys. Rep. 2021, 937, 1–73. [Google Scholar] [CrossRef]
- Jana, A.; Cho, S.; Patil, S.A.; Meena, A.; Jo, Y.; Sree, V.G.; Park, Y.; Kim, H.; Im, H.; Taylor, R.A. Perovskite: Scintillators, Direct Detectors, and X-Ray Imagers. Mater. Today 2022, 55, 110–136. [Google Scholar] [CrossRef]
- Ma, W.; Su, Y.; Zhang, Q.; Deng, C.; Pasquali, L.; Zhu, W.; Tian, Y.; Ran, P.; Chen, Z.; Yang, G.; et al. Thermally Activated Delayed Fluorescence (TADF) Organic Molecules for Efficient X-Ray Scintillation and Imaging. Nat. Mater. 2022, 21, 210–216. [Google Scholar] [CrossRef]
- Lu, L.; Sun, M.; Wu, T.; Lu, Q.; Chen, B.; Huang, B. All-Inorganic Perovskite Nanocrystals: Next-Generation Scintillation Materials for High-Resolution X-Ray Imaging. Nanoscale Adv. 2022, 4, 680–696. [Google Scholar] [CrossRef] [PubMed]
- Tono, K.; Togashi, T.; Inubushi, Y.; Sato, T.; Katayama, T.; Ogawa, K.; Ohashi, H.; Kimura, H.; Takahashi, S.; Takeshita, K.; et al. Beamline, Experimental Stations and Photon Beam Diagnostics for the Hard X-Ray Free Electron Laser of SACLA. New J. Phys. 2013, 15, 083035. [Google Scholar] [CrossRef]
- Sedov, V.; Kuznetsov, S.; Martyanov, A.; Ralchenko, V. Luminescent Diamond Composites. Funct. Diam. 2022, 2, 53–63. [Google Scholar] [CrossRef]
- Williams, R.T.; Kabler, M.N.; Hayes, W.; Stott, J.P. Time-Resolved Spectroscopy of Self-Trapped Excitons in Fluorite Crystals. Phys. Rev. B 1976, 14, 725–740. [Google Scholar] [CrossRef]
- Aleksandrov, Y.M.; Makhov, V.N.; Rodnyj, P.A.; Syrejshchikova, T.I.; Yakimenko, M.N. Intrinsic Luminescence of BaF2 at Pulsed Synchrotron Radiation Excitation. Fiz. Tverd. Tela 1984, 26, 2865–2867. [Google Scholar]
- Schotanus, P.; van Eijk, C.W.E.; Hollander, R.W.; Pijpelink, J. Temperature Dependence of BaF2 Scintillation Light Yield. Nucl. Instrum. Methods Phys. Res. Sect. A 1985, 238, 564–565. [Google Scholar] [CrossRef]
- Hamada, M.M. Auger-Free Luminescence of the BaF2:Sr, BaF2:MgF2 and CsBr:LiBr Crystals under Excitation of VUV Photons and High-Energy Electrons. Nucl. Instrum. Methods Phys. Res. Sect. A 1994, 340, 524–539. [Google Scholar] [CrossRef]
- Dorenbos, P.; Visser, R.; Dool, R.; Andriessen, J.; van Eijk, C.W.E. Suppression of Self-Trapped Exciton Luminescence in La3+- and Nd3+ -Doped BaF2. J. Phys. Condens. Matter 1992, 4, 5281. [Google Scholar] [CrossRef]
- Sobolev, B.P.; Krivandina, E.A.; Derenzo, S.E.; Moses, W.W.; West, A.C. Suppression of BaF2 Slow Component of X-Ray Luminescence in Non-Stoichiometric Ba0.9R0.1F2.1 Crystals (R = rare Earth Element). MRS Online Proc. Libr. (OPL) 1994, 348, 277. [Google Scholar] [CrossRef]
- Sobolev, B.P. Multicomponent Crystals Based on Heavy Metal Fluorides for Radiation Detectors; Institut d’Estudis Catalans: Barcelona, Spain, 1994; ISBN 978-84-7283-261-9. [Google Scholar]
- Dorenbos, P.; Visser, R.; Hollander, R.; Eijk, C.W.E.; Hartog, H. The Effects of La3+ and Ce3+ Dopants on the Scintillation Properties of BaF2 Crystals. Radiat. Eff. Defects Solids 1991, 119–121, 87–92. [Google Scholar] [CrossRef]
- Van Eijk, C.W.E. Inorganic-Scintillator Development. Nucl. Instrum. Methods Phys. Res. Sect. A 2001, 460, 1–14. [Google Scholar] [CrossRef]
- Han, H.; Zhang, Z.; Weng, X.; Liu, J.; Guan, X.; Zhang, K.; Li, G. Development of a Fast Radiation Detector Based on Barium Fluoride Scintillation Crystal. Rev. Sci. Instrum. 2013, 84, 073503. [Google Scholar] [CrossRef] [PubMed]
- Biasini, M.; Cassidy, D.B.; Deng, S.H.M.; Tanaka, H.K.M.; Mills, A.P. Suppression of the Slow Component of Scintillation Light in BaF2. Nucl. Instrum. Methods Phys. Res. Sect. A 2005, 553, 550–558. [Google Scholar] [CrossRef]
- Visser, R.; Dorenbos, P.; van Eijk, C.W.E.; Meijerink, A.; Blasse, G.; den Hartog, H.W. Energy Transfer Processes Involving Different Luminescence Centres in BaF2:Ce. J. Phys. Condens. Matter 1993, 5, 1659. [Google Scholar] [CrossRef]
- Wojtowicz, A.J.; Szupryczynski, P.; Glodo, J.; Drozdowski, W.; Wisniewski, D. Radioluminescence and Recombination Processes in BaF2:Ce. J. Phys. Condens. Matter 2000, 12, 4097. [Google Scholar] [CrossRef]
- Janus, S.; Wojtowicz, A.J. Scintillation Light Yield of BaF2:Ce. Opt. Mater. 2009, 31, 523–526. [Google Scholar] [CrossRef]
- Batygov, S.K.; Fedorov, P.P.; Kuznetsov, S.V.; Osiko, V.V. Luminescence of Ba1–xLaxF2+x: Ce3+ Crystals. Dokl. Phys. 2016, 61, 50–54. [Google Scholar] [CrossRef]
- Rodnyĭ, P.A.; Gain, S.D.; Mironov, I.A.; Garibin, E.A.; Demidenko, A.A.; Seliverstov, D.M.; Gusev, Y.I.; Fedorov, P.P.; Kuznetsov, S.V. Spectral-Kinetic Characteristics of Crystals and Nanoceramics Based on BaF2 and BaF2:Ce. Phys. Solid State 2010, 52, 1910–1914. [Google Scholar] [CrossRef]
- Luo, J.; Ye, L.; Xu, J. Preparation and Properties of Ce3+:BaF2 Transparent Ceramics by Vacuum Sintering. J. Nanosci. Nanotechnol. 2016, 16, 3985–3989. [Google Scholar] [CrossRef] [PubMed]
- Murin, I.V.; Gunsser, W. Relaxation Methods for the Study of Ion Transport in Halide Systems. Solid State Ion. 1992, 53–56, 837–842. [Google Scholar] [CrossRef]
- Sobolev, B.P. The Rare Earth Trifluorides: The High Temperature Chemistry of the Rare Earth Trifluorides; Institut d’Estudis Catalans: Barcelona, Spain, 2000; ISBN 978-84-7283-518-4. [Google Scholar]
- Sobolev, B.P.; Tkachenko, N.L. Phase Diagrams of BaF2-(Y, Ln)F3 Systems. J. Less Common Met. 1982, 85, 155–170. [Google Scholar] [CrossRef]
- Chen, X.; Wu, Y. High Concentration Ce3+ Doped BaF2 Transparent Ceramics. J. Alloys Compd. 2020, 817, 153075. [Google Scholar] [CrossRef]
- Kieser, M.; Greis, O. Preparation and Properties of Fluorite-Related Superstructure Phases Ba4RE3F17 with RE = Ce-Nd, Sm-Lu, and Y. Z. Fuer Anorg. Und Allg. Chem. 1980, 469, 164–171. [Google Scholar] [CrossRef]
- Yasyrkina, D.S.; Kuznetsov, S.V.; Alexandrov, A.A.; Batygov, S.K.; Voronov, V.V.; Fedorov, P.P. Preparation and X-Ray Luminescence of Ba4±xCe3±xF17±x Solid Solutions. Nanosyst. Phys. Chem. Math. 2021, 12, 505–511. [Google Scholar] [CrossRef]
- Mayakova, M.N.; Voronov, V.V.; Iskhakova, L.D.; Kuznetsov, S.V.; Fedorov, P.P. Low-Temperature Phase Formation in the BaF2-CeF3 System. J. Fluorine Chem. 2016, 187, 33–39. [Google Scholar] [CrossRef]
- Kuznetsov, S.V.; Fedorov, P.P.; Voronov, V.V.; Samarina, K.S.; Ermakov, R.P.; Osiko, V.V. Synthesis of Ba4R3F17 (R Stands for Rare-Earth Elements) Powders and Transparent Compacts on Their Base. Russ. J. Inorg. Chem. 2010, 55, 484–493. [Google Scholar] [CrossRef]
- Karbowiak, M.; Cichos, J. Does BaYF5 Nanocrystals Exist?—The BaF2-YF3 Solid Solution Revisited Using Photoluminescence Spectroscopy. J. Alloys Compd. 2016, 673, 258–264. [Google Scholar] [CrossRef]
- Alexandrov, V.B.; Otroshchenko, L.P.; Fykin, L.E.; Bydanov, N.N.; Sobolev, B.P. Defect Structure of Saturated Solid Solution Ba0.5Ce0.5F2.5 by Single Crystal Neutron Diffraction Study. Sov. Phys. Crystallogr. 1989, 34, 896–899. [Google Scholar]
- Otroshchenko, L.P.; Muradyan, L.A.; Sobolev, B.P.; Sarin, B.A.; Alexandrov, V.B. Neutron Diffraction Study of the Features of Fluorine Ions Incorporation into Ba1−xRxF2+x Solid Solutions. Butlletí Soc. Catalanes Física Química Matemàtiques Tecnol. 1991, 12, 383–391. [Google Scholar]
- Sobolev, B.P.; Golubev, A.M.; Otroshchenko, L.P.; Molchanov, V.N.; Zakalyukin, R.M.; Ryzhova, E.A.; Herrero, P. Ba1−xRxF2+x Phases (R = Gd-Lu) with Distorted Fluorite-Type Structures—Products of Crystallization of Incongruent Melts in the BaF2-RF3 Systems (R = Gd-Lu). III. Defect Ba0.75Lu0.25F2.25 Structure. A New {Lu8[Ba6F71]} Supercluster of Defects. Crystallogr. Rep. 2003, 48, 944–952. [Google Scholar] [CrossRef]
- Sulyanova, E.A.; Karimov, D.N.; Sobolev, B.P. Displacements in the Cationic Motif of Nonstoichiometric Fluorite Phases Ba1−xRxF2+x as a Result of the Formation of {Ba8[R6F68–69]} Clusters: III. Defect Cluster Structure of the Nonstoichiometric Phase Ba0.69La0.31F2.31 and Its Dependence on Heat Treatment. Crystals 2021, 11, 447. [Google Scholar] [CrossRef]
- Bevan, D.J.M.; Greis, O.; Strähle, J. A New Structural Principle in Anion-Excess Fluorite-Related Superlattices. Acta Crystallogr. Sect. A 1980, 36, 889–890. [Google Scholar] [CrossRef]
- Kazanskii, S.A.; Ryskin, A.I.; Nikiforov, A.E.; Zaharov, A.Y.; Ougrumov, M.Y.; Shakurov, G.S. EPR Spectra and Crystal Field of Hexamer Rare-Earth Clusters in Fluorites. Phys. Rev. B 2005, 72, 014127. [Google Scholar] [CrossRef]
- Maksimov, B.A.; Solans, K.; Dudka, A.P.; Genkina, E.A.; Font-Badria, M.; Buchinskaya, I.I.; Loshmanov, A.A.; Golubev, A.M.; Simonov, V.I.; Font-Altaba, M. The Fluorite-Matrix-Based Ba4R3F17 (R = Y, Yb) Crystal Structure. Ordering of Cations and Specific Features of the Anionic Motif. Crystallogr. Rep. 1996, 41, 50–57. [Google Scholar]
- Kuznetsov, S.V.; Fedorov, P.P. Morphological Stability of Solid-Liquid Interface during Melt Crystallization of M1−xRxF2+x Solid Solutions. Inorg. Mater. 2008, 44, 1434–1458. [Google Scholar] [CrossRef]
- Zhang, K.; Liu, H.-Z.; Wu, Y.-T.; Hu, W.-B. Co-Precipitation Synthesis and Luminescence Behavior of Ce-Doped Yttrium Aluminum Garnet (YAG:Ce) Phosphor: The Effect of Precipitant. J. Alloys Compd. 2008, 453, 265–270. [Google Scholar] [CrossRef]
- Pan, Y.; Wu, M.; Su, Q. Comparative Investigation on Synthesis and Photoluminescence of YAG:Ce Phosphor. J. Mater. Sci. Eng. B 2004, 106, 251–256. [Google Scholar] [CrossRef]
- Garcia-Guinea, J.; Correcher, V.; Can, N.; Garrido, F.; Townsend, P.D. Cathodoluminescence Spectra Recorded from Surfaces of Solids with Hydrous Molecules. J. Electron Spectrosc. Relat. Phenom. 2018, 227, 1–8. [Google Scholar] [CrossRef]
- Demidenko, A.A.; Garibin, E.A.; Gain, S.D.; Gusev, Y.I.; Fedorov, P.P.; Mironov, I.A.; Michrin, S.B.; Osiko, V.V.; Rodnyi, P.A.; Seliverstov, D.M.; et al. Scintillation Parameters of BaF2 and BaF2:Ce3+ Ceramics. Opt. Mater. 2010, 32, 1291–1293. [Google Scholar] [CrossRef]










| Number of Sample | Nominal Composition | Real Composition by EDX | Lattice Parameter a, Å | D, nm | X-ray Density (d), g/cm3 |
|---|---|---|---|---|---|
| Single crystals | |||||
| 1 | Ba0.75Ce0.25F2.25 | Ba0.762Ce0.238F2.238 (x = 0.238 ± 0.004) Thickness—14 mm | 6.1024 (1) | - | 5.28 |
| 2 | Ba0.70Ce0.30F2.30 | Ba0.716Ce0.284F2.284 (x = 0.284 ± 0.002) Thickness—13 mm | 6.0865 (1) | - | 5.36 |
| 3 | Ba0.675Ce0.325F2.325 | Ba0.689Ce0.311F2.311 (x = 0.311 ± 0.006) Thickness—11 mm | 6.0785 (1) | - | 5.40 |
| 4 | Ba0.65Ce0.35F2.35 | Ba0.662Ce0.338F2.338 (x = 0.338 ± 0.005) Thickness—10 mm | 6.0704 (1) | - | 5.48 |
| 5 | Ba0.60Ce0.40F2.40 | Ba0.616Ce0.384F2.384 (x = 0.384 ± 0.002) Thickness—11 mm | 6.0572 (1) | - | 5.50 |
| Powders | |||||
| 6 | Ba0.70Ce0.30F2.30 | Ba0.645Ce0.355F2.355 | 6.0711 (4) | 11.6 (2) | 5.43 |
| 7 | Ba0.65Ce0.35F2.35 | Ba0.594Ce0.398K0.008F2.390 | 6.0596 (4) | 11.9 (1) | 5.46 |
| 8 | Ba0.60Ce0.40F2.40 | Ba0.564Ce0.430K0.007F2.425 | 6.0506 (4) | 11.9 (1) | 5.52 |
| Number of Sample | Characteristics | A1 | A2 | A3 |
|---|---|---|---|---|
| 1 | Position (eV) | 4.15 | 3.69 | 3.41 |
| Relative Area Weight | 0.006 | 0.225 | 0.300 | |
| 2 | Position (eV) | 4.15 | 3.71 | 3.42 |
| Relative Area Weight | 0.007 | 0.200 | 0.225 | |
| 3 | Position (eV) | 4.15 | 3.72 | 3.42 |
| Relative Area Weight | 0.003 | 0.250 | 0.250 | |
| 4 | Position (eV) | 4.15 | 3.73 | 3.45 |
| Relative Area Weight | 0.008 | 0.225 | 0.250 | |
| 5 | Position (eV) | 4.15 | 3.76 | 3.49 |
| Relative Area Weight | 0.002 | 0.225 | 0.225 |
Disclaimer/Publisher’s Note: The statements, opinions and data contained in all publications are solely those of the individual author(s) and contributor(s) and not of MDPI and/or the editor(s). MDPI and/or the editor(s) disclaim responsibility for any injury to people or property resulting from any ideas, methods, instructions or products referred to in the content. |
© 2023 by the authors. Licensee MDPI, Basel, Switzerland. This article is an open access article distributed under the terms and conditions of the Creative Commons Attribution (CC BY) license (https://creativecommons.org/licenses/by/4.0/).
Share and Cite
Kuznetsov, S.V.; Yasyrkina, D.S.; Valiev, D.T.; Stepanov, S.A.; Alexandrov, A.A.; Batygov, S.K.; Voronov, V.V.; Konyushkin, V.A.; Nakladov, A.N.; Ermakova, J.A.; et al. Spectral and Cathodoluminescence Decay Characteristics of the Ba1−xCexF2+x (x = 0.3–0.4) Solid Solution Synthesized by Precipitation from Aqueous Solutions and Fusion. Photonics 2023, 10, 1057. https://doi.org/10.3390/photonics10091057
Kuznetsov SV, Yasyrkina DS, Valiev DT, Stepanov SA, Alexandrov AA, Batygov SK, Voronov VV, Konyushkin VA, Nakladov AN, Ermakova JA, et al. Spectral and Cathodoluminescence Decay Characteristics of the Ba1−xCexF2+x (x = 0.3–0.4) Solid Solution Synthesized by Precipitation from Aqueous Solutions and Fusion. Photonics. 2023; 10(9):1057. https://doi.org/10.3390/photonics10091057
Chicago/Turabian StyleKuznetsov, Sergey V., Darya S. Yasyrkina, Damir T. Valiev, Sergey A. Stepanov, Alexander A. Alexandrov, Sergey Kh. Batygov, Valeriy V. Voronov, Vasilii A. Konyushkin, Andrey N. Nakladov, Julia A. Ermakova, and et al. 2023. "Spectral and Cathodoluminescence Decay Characteristics of the Ba1−xCexF2+x (x = 0.3–0.4) Solid Solution Synthesized by Precipitation from Aqueous Solutions and Fusion" Photonics 10, no. 9: 1057. https://doi.org/10.3390/photonics10091057
APA StyleKuznetsov, S. V., Yasyrkina, D. S., Valiev, D. T., Stepanov, S. A., Alexandrov, A. A., Batygov, S. K., Voronov, V. V., Konyushkin, V. A., Nakladov, A. N., Ermakova, J. A., & Fedorov, P. P. (2023). Spectral and Cathodoluminescence Decay Characteristics of the Ba1−xCexF2+x (x = 0.3–0.4) Solid Solution Synthesized by Precipitation from Aqueous Solutions and Fusion. Photonics, 10(9), 1057. https://doi.org/10.3390/photonics10091057

