A 1083 nm Narrow-Linewidth DFB Semiconductor Laser for Quantum Magnetometry
Abstract
1. Introduction
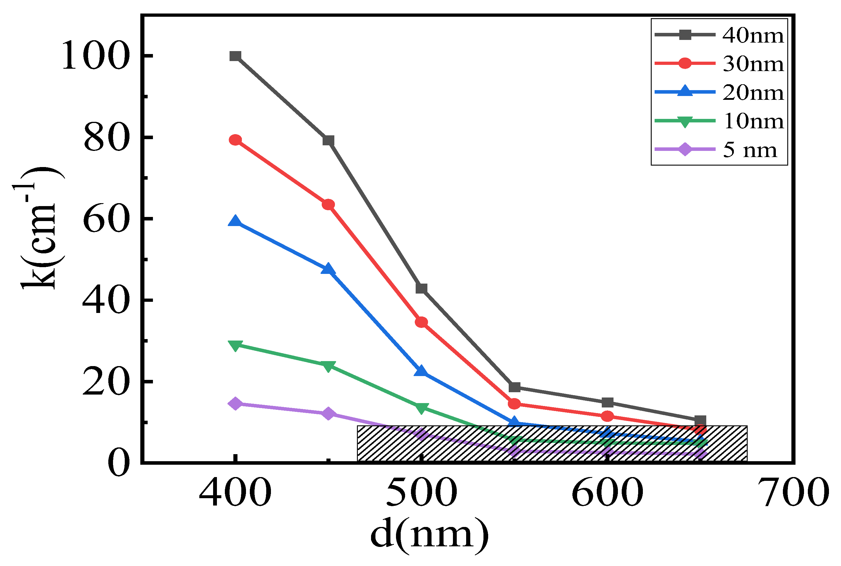
2. Laser Design Simulation and Fabrication
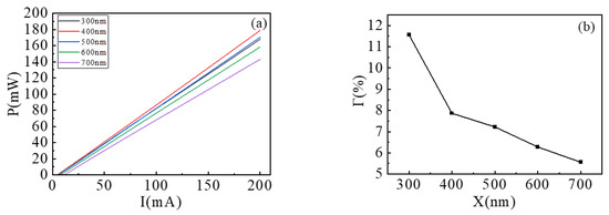
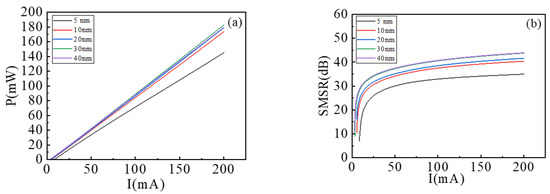
3. Results
4. Discussion
Author Contributions
Funding
Acknowledgments
Conflicts of Interest
Correction Statement
References
- Minh, D.; Wang, H.X.; Li, Y.F.; Nguyen, T.N. Explainable artificial intelligence: A comprehensive review. Artif. Intell. Rev. 2021, 55, 3503–3568. [Google Scholar] [CrossRef]
- Handler, A.; Ginty, D.D. The mechanosensory neurons of touch and their mechanisms of activation. Nat. Rev. Neurosci. 2021, 22, 521–537. [Google Scholar] [CrossRef] [PubMed]
- Buzsáki, G. The brain–cognitive behavior problem: A retrospective. eNeuro 2020, 7. [Google Scholar] [CrossRef] [PubMed]
- Ioannides, A.A.; Liu, L.; Theofilou, D.; Dammers, J.; Burne, T.; Ambler, T.A.; Rose, S. Real time processing of affective and cognitive stimuli in the human brain extracted from meg signals. Brain Topogr. 2000, 13, 11–19. [Google Scholar] [CrossRef] [PubMed]
- Mellinger, J.; Schalk, G.; Braun, C.; Preissl, H.; Rosenstiel, W.; Birbaumer, N.; Kübler, A. An MEG-based brain—Computer interface (BCI). NeuroImage 2007, 36, 581–593. [Google Scholar] [CrossRef]
- Krittanawong, C.; Zhang, H.J.; Wang, Z.; Aydar, M.; Kitai, T. Artificial intelligence in precision cardiovascular medicine. J. Am. Coll. Cardiol. 2017, 69, 2657–2664. [Google Scholar] [CrossRef] [PubMed]
- Lin, A.; Witvliet, D.; Hernandez-Nunez, L.; Linderman, S.W.; Samuel, A.D.T.; Venkatachalam, V. Imaging whole-brain activity to understand behaviour. Nat. Rev. Phys. 2020, 4, 292–305. [Google Scholar] [CrossRef] [PubMed]
- Chan, J.; Kim, D.W.; Jun, H.H.; Chang, W.S.; Ki, C.H.; Kim, S.J.; Chang, J.W. Evaluation of changes in neural oscillation after bilateral capsulotomy in treatment refractory obsessive-compulsive disorder using magnetoencephalogram. Asian J. Psychiatr. 2023, 82, 103473. [Google Scholar] [CrossRef]
- Khan, S.; Cohen, D. Using the magnetoencephalogram to noninvasively measure magnetite in the living human brain. Hum. Brain Mapp. 2018, 40, 1654–1665. [Google Scholar] [CrossRef]
- Gawne, T.J.; Killen, J.F.; Tracy, J.M.; Lahti, A.C. The effect of saccadic eye movements on the sensor-level magnetoencephalogram. Clin. Neurophysiol. 2017, 128, 397–407. [Google Scholar] [CrossRef]
- Li, M.; Huang, Z.; Zhang, X.; Duan, Y.; Jia, Y.; Ye, J.; Wang, Y. Magnetoencephalogram-assisted diagnosis of familial focal epilepsy with variable foci in a Chinese family with a novel DEPDC5 mutation. Epileptic Disord. 2019, 21, 289–294. [Google Scholar] [PubMed]
- Hill, R.M.; Boto, E.; Rea, M.; Holmes, N.; Leggett, J.; Coles, L.A.; Papastavrou, M.; Everton, S.K.; Hunt, B.A.E.; Sims, D.; et al. Multi-channel whole-head OPM-MEG: Helmet design and a comparison with a conventional system. Neuroimage 2020, 219, 116995. [Google Scholar] [CrossRef] [PubMed]
- Göksu, C.; Hanso, L.G.; Siebner, H.R.; Ehse, P.; Scheffle, K.; Thielscher, A. Human in-vivo brain magnetic resonance current density imaging (MRCDI). Neuroimage 2018, 171, 26–39. [Google Scholar] [CrossRef]
- Zetter, R.; Iivanainen, J.; Stenroos, M.; Parkkonen, L. Requirements for coregistration accuracy in on-scalp MEG. Brain Topogr. 2018, 31, 931–948. [Google Scholar] [CrossRef]
- Dang, H.B.; Maloof, A.C.; Romalis, M.V. Ultrahigh sensitivity magnetic field and magnetizationmeasurements with an atomic magnetometer. Appl. Phys. Lett. 2010, 97, 151110. [Google Scholar] [CrossRef]
- Kominis, I.K.; Kornack, T.W.; Allred, J.C.; Romalis, M.V. A subfemtotesla multichannel atomic magnetometer. Nature 2003, 422, 596–599. [Google Scholar] [CrossRef]
- Baldwin, K. Metastable helium: Atom optics with nano-grenades. Contemp. Phys. 2010, 46, 105–120. [Google Scholar] [CrossRef]
- Gao, Z.Y.; Xia, G.Q.; Yan, X.; Zhu, J.F.; Xu, X.D.; Wu, Z.M. A high-repetition-rate diode-pumped Q-switched Nd:LaMgAl11O19 laser operating at single wavelength or dual wavelength. Opt. Rev. 2021, 28, 404–410. [Google Scholar] [CrossRef]
- Zhao, Q.; Zhou, K.; Wu, Z.; Yang, C.; Feng, Z.; Cheng, H.; Gan, J.; Peng, M.; Yang, Z.; Xu, S. Near quantum-noise limited and absolute frequency stabilized 1083 nm single-frequency fiber laser. Opt. Lett. 2018, 43, 42–45. [Google Scholar] [CrossRef]
- Brooke, M.J.; Leggett, J.; Rea, M.; Hill, R.M.; Holmes, N.; Boto, E.; Bowtell, R. Magnetoencephalography with optically pumped magnetometers (OPM-MEG): The next generation of functional neuroimaging. Trends Neurosci. 2022, 45, 621–634. [Google Scholar] [CrossRef]
- Yang, Y.; Xu, M.; Liang, A.; Yin, Y.; Ma, X.; Gao, Y.; Ning, X. A new wearable multichannel magnetocardiogram system with a SERF atomic magnetometer array. Sci. Rep. 2021, 1, 5564. [Google Scholar] [CrossRef] [PubMed]
- Boto, E.; Hill, R.M.; Rea, M.; Holmes, N.; Seedat, Z.A.; Leggett, J.; Shah, V.; Osborne, J.; Bowtell, R.; Brookes, M.J. Measuring functional connectivity with wearable MEG. NeuroImage 2021, 230, 117815. [Google Scholar] [CrossRef] [PubMed]
- Chen, X.; Xiao, Y.; Cheng, Y.; Zhang, Z.; Gou, Y.; Wang, J. MOCVD growth and thermal stability analysis of 1.2 µm InGaAs/GaAs multi quantum well structure. J. Alloys Compd. 2022, 922, 166173. [Google Scholar] [CrossRef]
- Wang, J.; Wang, H.; Wang, Q.; Liu, W.C.; Wang, J.B.; Li, W.; Wang, D.; Fan, J.; Zou, Y.; Ma, X. Effect of localized states on the optical properties in InGaAs/GaAs multiple quantum wells grown by MOCVD. Photonic. Nanostruct. 2022, 51, 101047. [Google Scholar] [CrossRef]
- Zhang, G.; Ovtchinnikov, A. Strain-compensated InGaAs/GaAsP/GaInAsP/GaInP quantum well lasers (λ∼0.98 μm) grown by gas-source molecular beam epitaxy. Appl. Phys. Lett. 1998, 62, 1644–1646. [Google Scholar] [CrossRef]
- Sugiura, H. MOMBE growth of InAsP laser materials. J. Cryst. Growth 1996, 164, 434–441. [Google Scholar] [CrossRef]
- Wenzel, S.; Brox, O.; Casa, P.D.; Wenzel, H.; Arar, B.; Kreutzmann, S.; Weyers, M.; Knigge, A.; Wicht, A.; Tränkle, G. Monolithically Integrated Extended Cavity Diode Laser with 32 kHz 3 dB Linewidth Emitting at 1064 nm. Laser Photonics Rev. 2022, 1, 2200442. [Google Scholar] [CrossRef]
- Asryan, L.V.; Luryi, S. Effect of internal optical loss on threshold characteristics of semiconductor lasers with a quantum-confined active region. IEEE J. Quantum. Elect. 2004, 40, 833–843. [Google Scholar] [CrossRef]
- Smowton, P.M.; Blood, P. On the determination of internal optical mode loss of semiconductor lasers. Appl. Phys. Lett. 1998, 70, 2365–2367. [Google Scholar] [CrossRef]
- Welch, D.F. A brief history of high-power semiconductor lasers. IEEE J. Sel. Top. Quant. 2000, 6, 1470–1477. [Google Scholar] [CrossRef]
- Agrawal, G.P. Spectral hole-burning and gain saturation in semiconductor lasers: Strong-signal theory. J. Appl. Phys. 1998, 63, 1232–1235. [Google Scholar] [CrossRef]
- Xu, G.; Colombelli, R.; Khanna, S.P.; Belarouci, A.; Letartre, X.; Li, L.; Linfield, E.H.; Davies, A.G.; Beere, H.E.; Ritchie, D.A. Efficient power extraction in surface-emitting semiconductor lasers using graded photonic heterostructures. Nat. Commun. 2012, 3, 952. [Google Scholar] [CrossRef] [PubMed]
- Mulet, J.; Masoller, C.; Mirasso, C.R. Modeling bidirectionally coupled single-mode semiconductor lasers. Phys. Rev. A 2002, 6, 63815. [Google Scholar] [CrossRef]
- Soda, H.; Kotaki, Y.; Sudo, H.; Ishikawa, H.; Yamakoshi, S.; Imai, H. Stability in single longitudinal mode operation in GaInAsP/InP phase-adjusted DFB lasers. IEEE J. Quantum. Electron. 1987, 23, 804–814. [Google Scholar] [CrossRef]
- Forouhar, S.; Briggs, R.M.; Frez, C.; Franz, K.J.; Ksendzov, A. High-power laterally coupled distributed-feedback GaSb-based diode lasers at 2 μm wavelength. Appl. Phys. Lett. 2012, 100, 31107. [Google Scholar] [CrossRef]
- Henning, I.D. Linewidth broadening in semiconductor lasers due to mode competition noise. Electron. Lett. 1983, 22, 935–936. [Google Scholar] [CrossRef]
- Wu, M.C.; Yu, L.; Wang, S. Linewidth broadening due to longitudinal spatial hole burning in a long distributed feedback laser. Appl. Phys. Lett. 1988, 52, 1119–1121. [Google Scholar] [CrossRef]
- Major, J.S.; Welch, D.F. Single-mode InGaAs/GaAs distributed Bragg reflector laser diodes operating at 1083 nm. Electron. Lett. 1993, 29, 2121–2122. [Google Scholar] [CrossRef]
- Aramaki, M.; Tsujihara, T.; Kajita, S.; Tanaka, H.; Ohno, N. Measurement of He neutral temperature in detached plasmas using laser absorption spectroscopy. AIP Adv. 2018, 8, 15308. [Google Scholar] [CrossRef]
- Huang, J.; Casperson, L.W. Gain and saturation in semiconductor lasers. Opt. Quantum Electron. 1993, 25, 369–390. [Google Scholar] [CrossRef]
- Lau, K.Y. Gain switching of semiconductor injection lasers. Appl. Phys. Lett. 1988, 52, 257–259. [Google Scholar] [CrossRef]
- Lin, Q.; Xue, Y.; Luo, W.; Huang, J.; Lin, L.Y.; Lau, K.M. Gain-switching of 1.55 µm InP-based Qdash lasers grown on Si. AIP Adv. 2022, 12, 25315. [Google Scholar] [CrossRef]
- Tsuchida, H. Laser frequency modulation noise measurement by recirculating delayed self-heterodyne method. Opt. Lett. 2011, 36, 681–683. [Google Scholar] [CrossRef] [PubMed]
- Xu, D.; Yang, F.; Chen, D.; Wei, F.; Cai, H.; Fang, Z.; Qu, R. Laser phase and frequency noise measurement by Michelson interferometer composed of a 3 × 3 optical fiber coupler. Opt. Express. 2015, 23, 22386–22393. [Google Scholar] [CrossRef] [PubMed]
- Domenico, D.G.; Schilt, S.; Thomann, P. Simple approach to the relation between laser frequency noise and laser line shape. Appl. Optics 2010, 49, 4801–4807. [Google Scholar] [CrossRef]
- Richter, L.; Mandelberg, H.; Kruger, M.; McGrath, P. Linewidth determination from self-heterodyne measurements with subcoherence delay times. IEEE J. Quantum. Electron. 1986, 22, 2070–2074. [Google Scholar] [CrossRef]
- Zhao, Z.; Bai, Z.; Jin, D.; Qi, Y.; Ding, J.; Yan, B.; Wang, Y.; Lu, Z.; Mildren, R.P. Narrow laser-linewidth measurement using short delay self-heterodyne interferometry. Opt. Express 2022, 30, 30600–30610. [Google Scholar] [CrossRef]
- Henry, C. Theory of the linewidth of semiconductor lasers. IEEE J. Quantum. Electron. 1982, 18, 259–264. [Google Scholar] [CrossRef]
- Tromborg, B.; Olesen, H.; Pan, X. Theory of linewidth for multielectrode laser diodes with spatially distributed noise sources. IEEE J. Quantum. Electron. 1991, 27, 178–192. [Google Scholar] [CrossRef]
- Wunsche, H.J.; Bandelow, U.; Wenzel, H. Calculation of combined lateral and longitudinal spatial hole burning in lambda/4 shifted DFB lasers. IEEE J. Quantum. Electron. 1993, 29, 1751–1760. [Google Scholar] [CrossRef]
- Zhao, M.; Wang, J.; Zhang, Y.; Ge, M.; Zhang, P.; Shen, J.; Li, C. Self-referenced refractive index sensor based on double-dips method with bimetal-dielectric and double-groove grating. Opt. Express 2022, 30, 8376–8390. [Google Scholar] [CrossRef]
- Liang, W.; Ilchenko, V.S.; Eliyahu, D.; Savchenkov, A.A.; Matsko, A.B.; Seidel, D.; Maleki, L. Ultralow noise miniature external cavity semiconductor laser. Nat. Commun. 2015, 6, 7173. [Google Scholar] [CrossRef] [PubMed]
- Spießberger, S.; Schiemangk, M.; Wicht, A.; Wenzel, H.; Brox, O.; Erbert, G. Narrow Linewidth DFB Lasers Emitting Near a Wavelength of 1064 nm. J. Lightwave Technol. 2010, 28, 2611–2616. [Google Scholar] [CrossRef]
- Ikeda, S.; Toyama, K. Independent component analysis for noisy data—MEG data analysis. Neural. Netw. 2000, 13, 1063–1074. [Google Scholar] [CrossRef] [PubMed]
- Houde, J.F.; Nagarajan, S.S.; Sekihara, K.; Merzenich, M.M. Modulation of the auditory cortex during speech: An MEG study. J. Cognitive Neurosci. 2002, 14, 1125–1138. [Google Scholar] [CrossRef] [PubMed]












| Layer | Thickness (nm) |
|---|---|
| SiO2 | 235.87 |
| Nb2O5 | 42.98 |
| SiO2 | 246.43 |
| Nb2O5 | 117.57 |
Disclaimer/Publisher’s Note: The statements, opinions and data contained in all publications are solely those of the individual author(s) and contributor(s) and not of MDPI and/or the editor(s). MDPI and/or the editor(s) disclaim responsibility for any injury to people or property resulting from any ideas, methods, instructions or products referred to in the content. |
© 2023 by the authors. Licensee MDPI, Basel, Switzerland. This article is an open access article distributed under the terms and conditions of the Creative Commons Attribution (CC BY) license (https://creativecommons.org/licenses/by/4.0/).
Share and Cite
Wu, M.; Yu, H.; Wang, W.; Li, S.; Cao, Y.; Liu, J. A 1083 nm Narrow-Linewidth DFB Semiconductor Laser for Quantum Magnetometry. Photonics 2023, 10, 934. https://doi.org/10.3390/photonics10080934
Wu M, Yu H, Wang W, Li S, Cao Y, Liu J. A 1083 nm Narrow-Linewidth DFB Semiconductor Laser for Quantum Magnetometry. Photonics. 2023; 10(8):934. https://doi.org/10.3390/photonics10080934
Chicago/Turabian StyleWu, Mengying, Haiyang Yu, Wenyu Wang, Shaojie Li, Yulian Cao, and Jianguo Liu. 2023. "A 1083 nm Narrow-Linewidth DFB Semiconductor Laser for Quantum Magnetometry" Photonics 10, no. 8: 934. https://doi.org/10.3390/photonics10080934
APA StyleWu, M., Yu, H., Wang, W., Li, S., Cao, Y., & Liu, J. (2023). A 1083 nm Narrow-Linewidth DFB Semiconductor Laser for Quantum Magnetometry. Photonics, 10(8), 934. https://doi.org/10.3390/photonics10080934

