The Effect of Electron Escape Rate on the Nonlinear Dynamics of Quantum Dot Lasers under Optical Feedback
Abstract
1. Introduction
2. Asymmetric Electron-Hole Carrier Rate Equation Model
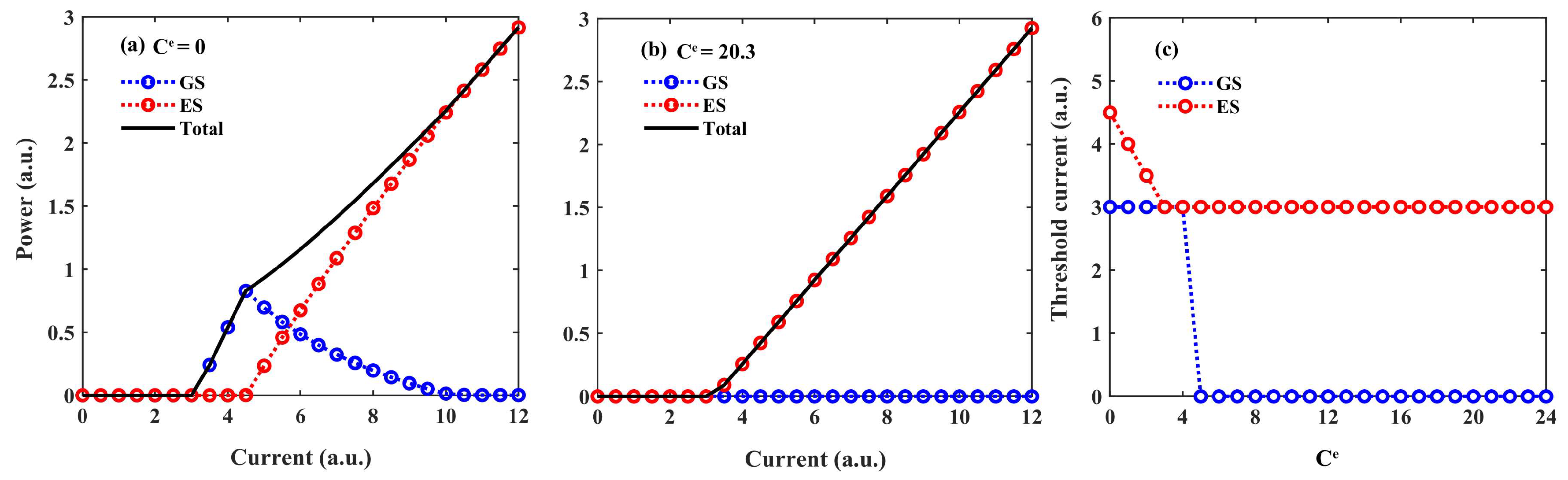
3. Results and Discussion
4. Conclusions
Author Contributions
Funding
Institutional Review Board Statement
Informed Consent Statement
Data Availability Statement
Conflicts of Interest
References
- Lin, F.Y.; Tu, S.Y.; Huang, C.C.; Chang, S.M. Nonlinear dynamics of semiconductor lasers under repetitive optical pulse injection. IEEE J. Sel. Top. Quantum Electron. 2009, 15, 604–611. [Google Scholar] [CrossRef]
- Zhong, Z.Q.; Chang, D.; Jin, W.; Lee, M.W.; Wang, A.B.; Jiang, S.; He, J.X.; Tang, J.M.; Hong, Y.H. Intermittent dynamical state switching in discrete-mode semiconductor lasers subject to optical feedback. Photonics Res. 2021, 9, 1336–1342. [Google Scholar] [CrossRef]
- Asghar, H.; Wei, W.; Kumar, P.; Sooudi, E.; McInerney, J.G. Stabilization of self-mode-locked quantum dash lasers by symmetric dual-loop optical feedback. Opt. Express 2018, 26, 4581–4592. [Google Scholar] [CrossRef] [PubMed]
- Alrebdi, T.A.; Asghar, M.; Asghar, H. All Optical stabilizations of nano-structure-based QDash semiconductor mode-locked lasers based on asymmetric dual-loop optical feedback configurations. Photonics 2022, 9, 376. [Google Scholar] [CrossRef]
- Chengui, G.R.G.; Jacques, K.; Woafo, P.; Chembo, Y.K. Nonlinear dynamics in an optoelectronic feedback delay oscillator with piecewise linear transfer functions from the laser diode and photodiode. Phys. Rev. E 2020, 102, 042217. [Google Scholar] [CrossRef] [PubMed]
- Dou, X.Y.; Qiu, S.M.; Wu, W.Q. Numerical demonstration of the transmission of low frequency fluctuation dynamics generated by a semiconductor laser with optical feedback. Photonics 2022, 9, 483. [Google Scholar] [CrossRef]
- Tiana-Alsina, J.; Masoller, C. Experimental and numerical study of locking of low-frequency fluctuations of a semiconductor laser with optical feedback. Photonics 2022, 9, 103. [Google Scholar] [CrossRef]
- Chen, J.J.; Zhong, Z.Q.; Li, L.F. Characteristics of polarization switching and bistability in vertical-cavity surface-emitting laser subject to continuous variable-polarization optical injection. Acta Opt. Sin. 2022, 42, 0714003. [Google Scholar]
- Chang, D.; Zhong, Z.Q.; Valle, A.; Jin, W.; Jiang, S.; Tang, J.M.; Hong, Y.H. Microwave photonic signal generation in an optically injected discrete mode semiconductor laser. Photonics 2022, 9, 171. [Google Scholar] [CrossRef]
- Ji, S.K.; Xue, C.P.; Valle, A.; Spencer, P.S.; Li, H.Q.; Hong, Y.H. Stabilization of photonic microwave generation in vertical-cavity surface-emitting lasers with optical injection and feedback. J. Light. Technol. 2018, 36, 4347–4353. [Google Scholar] [CrossRef]
- Qureshi, K.K. Realization of all-optical logic gates using injection locking in a distributed feedback laser diode. Microw. Opt. Technol. Lett. 2016, 58, 940–944. [Google Scholar] [CrossRef]
- Jiang, L.; Liang, W.Y.; Song, W.J.; Jia, X.H.; Yang, Y.L.; Liu, L.M.; Deng, Q.X.; Mou, X.Y.; Zhang, X. Characteristic study on parallel reservoir computation based on VCSEL dynamics with optoelectronic feedback. IEEE J. Quantum Electron. 2022, 58, 2400608. [Google Scholar] [CrossRef]
- Lin, B.D.; Shen, Y.W.; Tang, J.Y.; Yu, J.Y.; He, X.M.; Wang, C. Deep time-delay reservoir computing with cascading injection-locked lasers. IEEE J. Sel. Top. Quantum Electron. 2023, 29, 7600408. [Google Scholar] [CrossRef]
- Zhong, D.Z.; Zhao, K.K.; Hu, Y.L.; Zhang, J.B.; Deng, W.A.; Hou, P. Four-channels optical chaos secure communications with the rate of 400 Gb/s using optical reservoir computing based on two quantum dot spin-VCSELs. Opt. Commun. 2023, 529, 129109. [Google Scholar] [CrossRef]
- Cai, Q.; Li, P.; Shi, Y.C.; Jia, Z.W.; Ma, L.; Xu, B.J.; Chen, X.F.; Shore, K.A.; Wang, Y.C. Tbps parallel random number generation based on a single quarter-wavelength-shifted DFB laser. Opt. Laser Technol. 2023, 162, 109273. [Google Scholar] [CrossRef]
- Kawaguchi, Y.; Okuma, T.; Kanno, K.; Uchida, A. Entropy rate of chaos in an optically injected semiconductor laser for physical random number generation. Opt. Express 2021, 29, 2442–2457. [Google Scholar] [CrossRef]
- Yang, J.J.; Tang, M.C.; Chen, S.M.; Liu, H.Y. From past to future: On-chip laser sources for photonic integrated circuits. Light-Sci. Appl. 2023, 12, 16. [Google Scholar] [CrossRef]
- Moos, R.; Konieczniak, I.; Dos Santos, G.E.; Gobbi, Â.L.; Bernussi, A.A.; Carvalho, W.; Medeiros-Ribeiro, G.; Ribeiro, E. Assessing electronic states of InAsP/GaAs self-assembled quantum dots by photoluminescence and modulation spectroscopy. J. Lumin. 2019, 206, 639–644. [Google Scholar] [CrossRef]
- Mitsuru, S.; Kohki, M.; Yoshiaki, N.; Koji, O.; Hiroshi, I. Performance and physics of quantum-dot lasers with self-assembled columnar-shaped and 1.3-um emitting InGaAs quantum dots. IEEE J. Sel. Top. Quantum Electron. 2000, 6, 462–474. [Google Scholar]
- Al-Marhaby, F.A.; Al-Ghamdi, M.S. Experimental investigation of stripe cavity length effect on threshold current density for InP/AlGaInP QD laser diode. Opt. Mater. 2022, 127, 112191. [Google Scholar] [CrossRef]
- Jung, D.; Norman, J.; Kennedy, M.J.; Shang, C.; Shin, B.; Wan, Y.T.; Gossard, A.C.; Bowers, J.E. High efficiency low threshold current 1.3 mu m InAs quantum dot lasers on on-axis (001) GaP/Si. Appl. Phys. Lett. 2017, 111, 122107. [Google Scholar] [CrossRef]
- Mikhrin, S.S.; Kovsh, A.R.; Krestnikov, I.L.; Kozhukhov, A.V.; Livshits, D.A.; Ledentsov, N.N.; Shernyakov, Y.M.; Novikov, I.I.; Maximov, M.V.; Ustinov, V.M.; et al. High power temperature-insensitive 1.3 µm InAs/InGaAs/GaAs quantum dot lasers. Semicond. Sci. Technol. 2005, 20, 340–342. [Google Scholar] [CrossRef]
- Cong, D.Y.; Martinez, A.; Merghem, K.; Ramdane, A.; Provost, J.G.; Fischer, M.; Krestnikov, I.; Kovsh, A. Temperature insensitive linewidth enhancement factor of P-type doped InAs/GaAs quantum-dot lasers emitting at 1.3 μm. Appl. Phys. Lett. 2008, 92, 191109. [Google Scholar] [CrossRef]
- Qasaimeh, O. Modulation bandwidth of inhomogeneously broadened InAs/GaAs quantum dot lasers. Opt. Commun. 2004, 236, 387–394. [Google Scholar] [CrossRef]
- Saito, H.; Nishi, K.; Kamei, A.; Sugou, S. Low chirp observed in directly modulated quantum dot lasers. IEEE Photonics Technol. Lett. 2000, 12, 1298–1300. [Google Scholar] [CrossRef]
- Zhukov, A.E.; Kovsh, A.R. Quantum dot diode lasers for optical communication systems. Quantum Electron. 2008, 38, 409–423. [Google Scholar] [CrossRef]
- Kotb, A. Simulation of high quality factor all-optical logic gates based on quantum-dot semiconductor optical amplifier at 1 Tb/s. Optik 2016, 127, 320–325. [Google Scholar] [CrossRef]
- Dong, B.Z.; Chen, J.D.; Lin, F.Y.; Norman, J.C.; Bowers, J.E.; Grillot, F. Dynamic and nonlinear properties of epitaxial quantum-dot lasers on silicon operating under long- and short-cavity feedback conditions for photonic integrated circuits. Phys. Rev. A 2021, 103, 033509. [Google Scholar] [CrossRef]
- Wang, C.; Raghunathan, R.; Schires, K.; Chan, S.C.; Lester, L.F.; Grillot, F. Optically injected InAs/GaAs quantum dot laser for tunable photonic microwave generation. Opt. Lett. 2016, 41, 1153–1156. [Google Scholar] [CrossRef]
- Jiang, Z.F.; Wu, Z.M.; Yang, W.Y.; Hu, C.X.; Lin, X.D.; Jin, Y.H.; Dai, M.; Cui, B.; Yue, D.Z.; Xia, G.Q. Numerical simulations on narrow-linewidth photonic microwave generation based on a QD laser simultaneously subject to optical injection and optical feedback. Appl. Opt. 2020, 59, 2935–2941. [Google Scholar] [CrossRef]
- Li, Q.Z.; Wang, X.; Zhang, Z.Y.; Chen, H.M.; Huang, Y.Q.; Hou, C.C.; Wang, J.; Zhang, R.Y.; Ning, J.Q.; Min, J.H.; et al. Development of modulation p-doped 1310 nm InAs/GaAs quantum dot laser materials and ultrashort cavity fabry–perot and distributed-feedback laser diodes. ACS Photonics 2018, 5, 1084–1093. [Google Scholar] [CrossRef]
- Kelleher, B.; Dillane, M.; Viktorov, E.A. Optical information processing using dual state quantum dot lasers: Complexity through simplicity. Light-Sci. Appl. 2021, 10, 238. [Google Scholar] [CrossRef]
- Lin, L.C.; Chen, C.Y.; Huang, H.; Arsenijevic, D.; Bimberg, D.; Grillot, F.; Lin, F.Y. Comparison of optical feedback dynamics of InAs/GaAs quantum-dot lasers emitting solely on ground or excited states. Opt. Lett. 2018, 43, 210–213. [Google Scholar] [CrossRef]
- Xu, P.F.; Tao, Y.; Ji, H.M.; Cao, Y.L.; Gu, Y.X.; Liu, Y.; Ma, W.Q.; Wang, Z.G. Temperature-dependent modulation characteristics for 1.3 mu m InAs/GaAs quantum dot lasers. J. Appl. Phys. 2010, 107, 013102. [Google Scholar] [CrossRef]
- Jiang, Z.F.; Wu, Z.M.; Jayaprasath, E.; Yang, W.Y.; Xia, G.Q. Nonlinear dynamics of exclusive excited-state emission quantum dot lasers under optical injection. Photonics 2019, 6, 58. [Google Scholar] [CrossRef]
- Wang, X.H.; Wu, Z.M.; Jiang, Z.F.; Xia, G.Q. Nonlinear dynamics of two-state quantum dot lasers under optical feedback. Photonics 2021, 8, 300. [Google Scholar] [CrossRef]
- Tykalewicz, B.; Goulding, D.; Hegarty, S.P.; Huyet, G.; Dubinkin, I.; Fedorov, N.; Erneux, T.; Viktorov, E.A.; Kelleher, B. Optically induced hysteresis in a two-state quantum dot laser. Opt. Lett. 2016, 41, 1034–1037. [Google Scholar] [CrossRef] [PubMed]
- Virte, M.; Panajotov, K.; Sciamanna, M. Mode competition induced by optical feedback in two-color quantum dot lasers. IEEE J. Quantum Electron. 2013, 49, 578–585. [Google Scholar] [CrossRef]
- Virte, M.; Pawlus, R.; Sciamanna, M.; Panajotov, K.; Breuer, S. Energy exchange between modes in a multimode two-color quantum dot laser with optical feedback. Opt. Lett. 2016, 41, 3205–3208. [Google Scholar] [CrossRef]
- Kelleher, B.; Tykalewicz, B.; Goulding, D.; Fedorov, N.; Dubinkin, I.; Erneux, T.; Viktorov, E.A. Two-color bursting oscillations. Sci. Rep. 2017, 7, 8414. [Google Scholar] [CrossRef]
- Meinecke, S.; Kluge, L.; Hausen, J.; Lingnau, B.; Ludge, K. Optical feedback induced oscillation bursts in two-state quantum-dot lasers. Opt. Express 2020, 28, 3361–3377. [Google Scholar] [CrossRef] [PubMed]
- Viktorov, E.A.; Mandel, P.; O’Driscoll, I.; Carroll, O.; Huyet, G.; Houlihan, J.; Tanguy, Y. Low-frequency fluctuations in two-state quantum dot lasers. Opt. Lett. 2006, 31, 2302–2304. [Google Scholar] [CrossRef] [PubMed]
- Yamasaki, K.; Kanno, K.; Matsumoto, A.; Akahane, K.; Yamamoto, N.; Naruse, M.; Uchida, A. Fast dynamics of low-frequency fluctuations in a quantum-dot laser with optical feedback. Opt. Express 2021, 29, 17962–17975. [Google Scholar] [CrossRef] [PubMed]
- Wang, C.; Grillot, F.; Even, J. Impacts of wetting layer and excited state on the modulation response of quantum-dot lasers. IEEE J. Quantum Electron. 2012, 48, 1144–1150. [Google Scholar] [CrossRef]
- Kayhani, K.; Rajaei, E. Investigation of dynamical characteristics and modulation response function of InAs/InP (311) B quantum dot lasers with different QD size. Photonics Nanostruct. Fundam. Appl. 2017, 25, 1–8. [Google Scholar] [CrossRef]
- Zhou, Y.G.; Duan, J.N.; Grillot, F.; Wang, C. Optical noise of dual-state lasing quantum dot lasers. IEEE J. Quantum Electron. 2020, 56, 2001207. [Google Scholar] [CrossRef]
- Viktorov, E.A.; Mandel, P.; Tanguy, Y.; Houlihan, J.; Huyet, G. Electron-hole asymmetry and two-state lasing in quantum dot lasers. Appl. Phys. Lett. 2005, 87, 053113. [Google Scholar] [CrossRef]
- Virte, M.; Breuer, S.; Sciamanna, M.; Panajotov, K. Switching between ground and excited states by optical feedback in a quantum dot laser diode. Appl. Phys. Lett. 2014, 105, 121109. [Google Scholar] [CrossRef]
- Abusaa, M.; Danckaert, J.; Viktorov, E.A.; Erneux, T. Intradot time scales strongly affect the relaxation dynamics in quantum dot lasers. Phys. Rev. A 2013, 87, 063827. [Google Scholar] [CrossRef]
- Drzewietzki, L.; The, G.A.P.; Gioannini, M.; Breuer, S.; Montrosset, I.; Elsasser, W.; Hopkinson, M.; Krakowski, M. Theoretical and experimental investigations of the temperature dependent continuous wave lasing characteristics and the switch-on dynamics of an InAs/InGaAs quantum-dot semiconductor laser. Opt. Commun. 2010, 283, 5092–5098. [Google Scholar] [CrossRef]
- Kim, B.; Locquet, A.; Li, N.Q.; Choi, D.; Citrin, D.S. Bifurcation-cascade diagrams of an external-cavity semiconductor laser: Experiment and theory. IEEE J. Quantum Electron. 2014, 50, 965–972. [Google Scholar] [CrossRef] [PubMed]
- Mengue, A.D.; Essimbi, B.Z. Complex chaos and bifurcations of semiconductor lasers subjected to optical injection. Opt. Quantum Electron. 2011, 42, 389–407. [Google Scholar] [CrossRef]







| Disclaimer/Publisher’s Note: The statements, opinions and data contained in all publications are solely those of the individual author(s) and contributor(s) and not of MDPI and/or the editor(s). MDPI and/or the editor(s) disclaim responsibility for any injury to people or property resulting from any ideas, methods, instructions or products referred to in the content. | 
© 2023 by the authors. Licensee MDPI, Basel, Switzerland. This article is an open access article distributed under the terms and conditions of the Creative Commons Attribution (CC BY) license (https://creativecommons.org/licenses/by/4.0/).
Share and Cite
Wang, Q.; Wu, Z.; Zheng, Y.; Xia, G. The Effect of Electron Escape Rate on the Nonlinear Dynamics of Quantum Dot Lasers under Optical Feedback. Photonics 2023, 10, 878. https://doi.org/10.3390/photonics10080878
Wang Q, Wu Z, Zheng Y, Xia G. The Effect of Electron Escape Rate on the Nonlinear Dynamics of Quantum Dot Lasers under Optical Feedback. Photonics. 2023; 10(8):878. https://doi.org/10.3390/photonics10080878
Chicago/Turabian StyleWang, Qingqing, Zhengmao Wu, Yanfei Zheng, and Guangqiong Xia. 2023. "The Effect of Electron Escape Rate on the Nonlinear Dynamics of Quantum Dot Lasers under Optical Feedback" Photonics 10, no. 8: 878. https://doi.org/10.3390/photonics10080878
APA StyleWang, Q., Wu, Z., Zheng, Y., & Xia, G. (2023). The Effect of Electron Escape Rate on the Nonlinear Dynamics of Quantum Dot Lasers under Optical Feedback. Photonics, 10(8), 878. https://doi.org/10.3390/photonics10080878
 
        


