High-Sensitivity Sensor Based on Diametrical Graphene Strip Plasma-Induced Transparency
Abstract
1. Introduction
2. Metamaterial Structure and FDTD Simulation Model
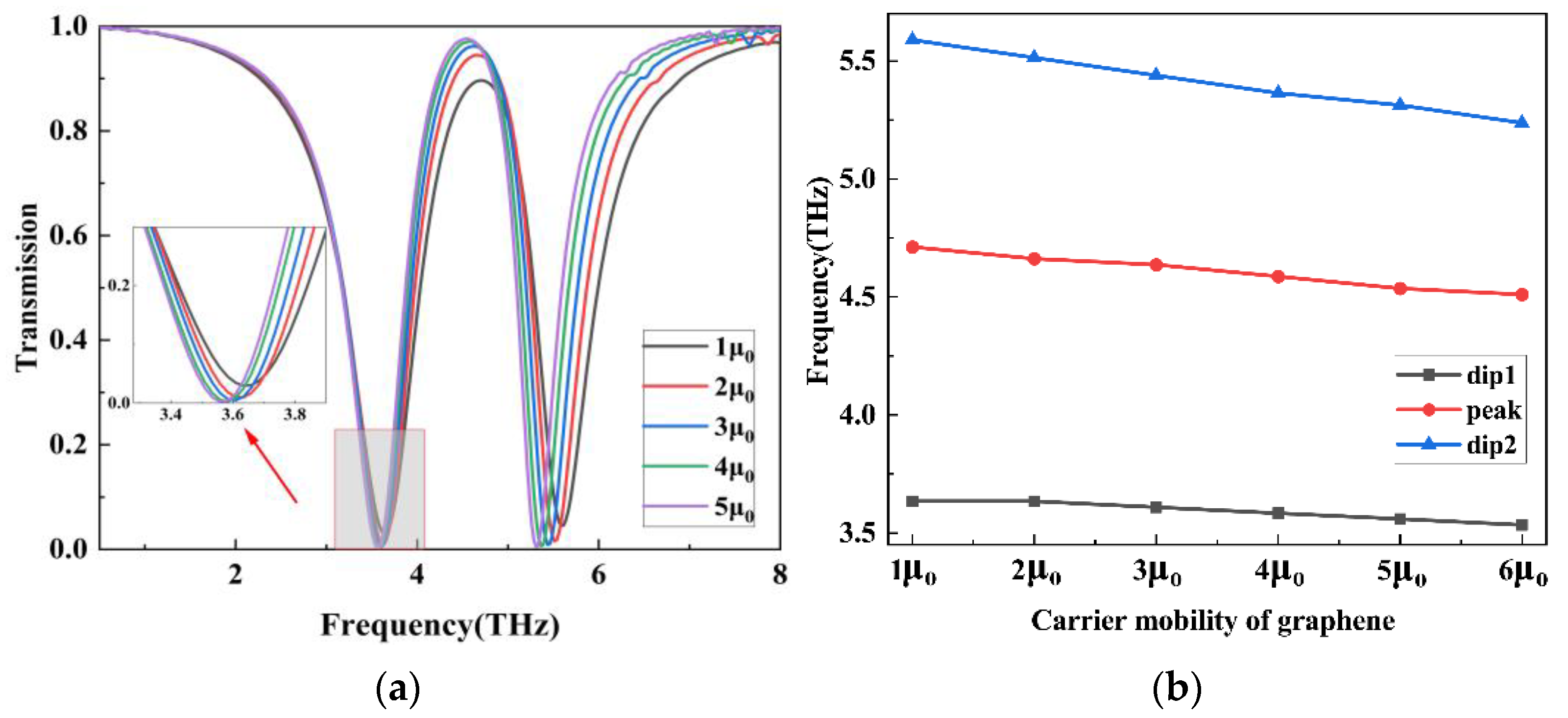
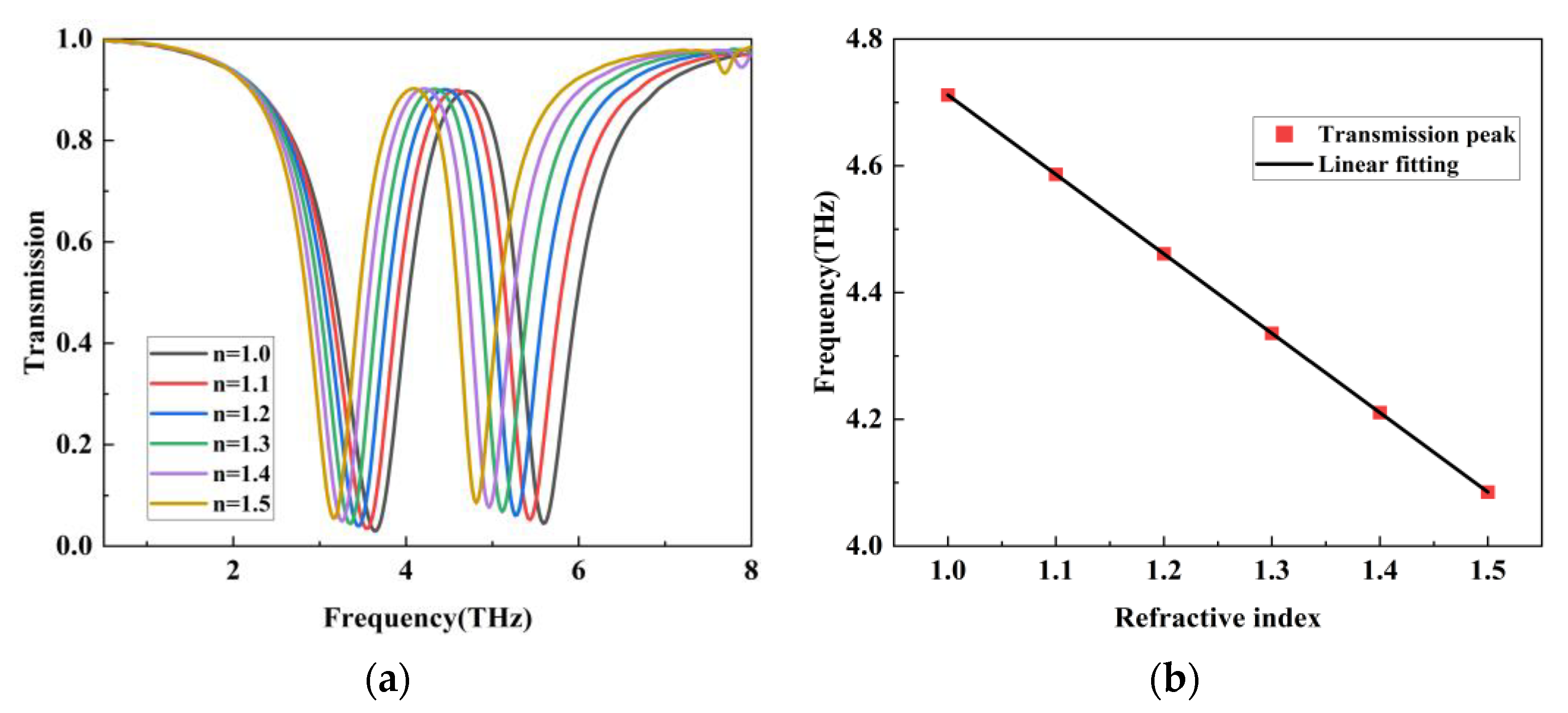
3. Results and Discussion
4. Conclusions
Author Contributions
Funding
Institutional Review Board Statement
Informed Consent Statement
Data Availability Statement
Conflicts of Interest
References
- Fleischhauer, M.; Imamoglu, A.; Marangos, J.P. Electromagnetically induced transparency: Optics in coherent media. Rev. Mod. Phys. 2005, 77, 633–673. [Google Scholar] [CrossRef]
- Taubert, R.; Hentschel, M.; Giessen, H. Plasmonic analog of electromagnetically induced absorpti-on: Simulations, experiments, and coupled oscillator analysis. J. Opt. Soc. Am. B 2013, 30, 3123. [Google Scholar] [CrossRef]
- Papasimakis, N.; Fu, Y.H.; Fedotov, V.A.; Prosvirnin, S.L.; Tsai, D.P.; Zheludev, N.I. Metamaterial with polarization and direction insensitive resonant transmission response mimicking electromagnetically induced transparency. Appl. Phys. Lett. 2009, 94, 211902. [Google Scholar] [CrossRef]
- Shamshirband, S.; Malvandi, A.; Karimipour, A.; Goodarzi, M.; Afrand, M.; Petković, D.; Dahari, M.; Mahmoodian, N. Performance investigation of micro- and nano-sized particle erosion in a 90° elbow using an ANFIS model. Powder Technol. 2015, 284, 336–343. [Google Scholar] [CrossRef]
- Noh, S.M.C.; Shamshirband, S.; Petković, D.; Penny, R.; Zakaria, R. Adaptive neuro-fuzzy appraisal of plasmonic studies on morphology of deposited silver thin films having different thicknesses. Plasmonics 2014, 9, 1189–1196. [Google Scholar] [CrossRef]
- Zakaria, R.; Noh, S.M.C.; Petković, D.; Shamshirband, S.; Penny, R. RETRACTED: Investigation of plasmonic studies on morphology of deposited silver thin films having different thicknesses by soft computing methodologies—A comparative study. Phys. E Low-Dimens. Syst. Nanostructures 2014, 63, 317–323. [Google Scholar] [CrossRef]
- Zhang, S.; Genov, D.A.; Wang, Y.; Liu, M.; Zhang, X. Plasmon-Induced transparency in metamaterials. Phys. Rev. Lett. 2008, 101, 047401. [Google Scholar] [CrossRef]
- Liu, N.; Weiss, T.; Mesch, M.; Langguth, L.; Eigenthaler, U.; Hirscher, M.; Sönnichsen, C.; Giessen, H. Planar metamaterial analogue of electromagnetically induced transparency for plasmonic sensing. Nano Lett. 2009, 10, 1103–1107. [Google Scholar] [CrossRef]
- Yang, Y.; Kravchenko, I.I.; Briggs, D.P.; Valentine, J. All-dielectric metasurface analogue of electromagnetically induced transparency. Nat. Commun. 2014, 5, 5753. [Google Scholar] [CrossRef]
- Han, S.; Singh, R.; Cong, L.; Yang, H. Engineering the fano resonance and electromagnetically induced transparency in near-field coupled bright and dark metamaterial. J. Phys. D Appl. Phys. 2014, 48, 035104. [Google Scholar] [CrossRef]
- Wei, Z.; Li, X.; Zhong, N.; Tan, X.; Zhang, X.; Liu, H.; Meng, H.; Liang, R. Analogue Electromagne-tically Induced Transparency Based on Low-loss Metamaterial and its Application in Nanosensor and Slow-light Device. Plasmonics 2016, 12, 641–647. [Google Scholar] [CrossRef]
- Fu, G.-L.; Zhai, X.; Li, H.-J.; Xia, S.-X.; Wang, L.-L. Tunable plasmon-induced transparency based on bright-bright mode coupling between two parallel graphene nanostrips. Plasmonics 2016, 11, 1597–1602. [Google Scholar] [CrossRef]
- Jin, X.-R.; Park, J.; Zheng, H.; Lee, S.; Lee, Y.; Rhee, J.Y.; Kim, K.W.; Cheong, H.S.; Jang, W.H. Highly-dispersive transparency at optical frequencies in planar metamaterials based on two-bright-mode coupling. Opt. Express 2011, 19, 21652. [Google Scholar] [CrossRef] [PubMed]
- Ding, G.-W.; Liu, S.-B.; Zhang, H.-F.; Kong, X.-K.; Li, H.-M.; Li, B.-X.; Liu, S.-Y.; Li, H. Tunable electromagnetically induced transparency at terahertz frequencies in coupled graphene metamaterial. Chin. Phys. B 2015, 24, 118103. [Google Scholar] [CrossRef]
- Hu, X.; Yuan, S.; Armghan, A.; Liu, Y.; Jiao, Z.; Lv, H.; Zeng, C.; Huang, Y.; Huang, Q.; Wang, Y.; et al. Plasmon induced transparency and absorption in bright–bright mode coupling metamaterials: A radiating two-oscillator model analysis. J. Phys. D Appl. Phys. 2016, 50, 025301. [Google Scholar] [CrossRef]
- Zhang, H.; Cao, Y.; Liu, Y.; Li, Y.; Zhang, Y. A novel graphene metamaterial design for tunable terahertz plasmon induced transparency by two bright mode coupling. Opt. Commun. 2017, 391, 9–15. [Google Scholar] [CrossRef]
- Chen, M.; Singh, L.; Xu, N.; Singh, R.; Zhang, W.; Xie, L. Terahertz sensing of highly absorptive water-methanol mixtures with multiple resonances in metamaterials. Opt. Express 2017, 25, 14089. [Google Scholar] [CrossRef] [PubMed]
- Pan, W.; Yan, Y.; Ma, Y.; Shen, D. A terahertz metamaterial based on electromagnetically induced transparency effect and its sensing performance. Opt. Commun. 2019, 431, 115–119. [Google Scholar] [CrossRef]
- Fang, Z.; Pan, C.; Xue, Y.; Wu, B.; Wu, E. Polarization control of plasmon-induced transparency in metamaterials with reversibly convertible bright and dark modes. Appl. Opt. 2021, 60, 10689. [Google Scholar] [CrossRef]
- Wang, X.; Chen, C.; Gao, P.; Dai, Y.; Zhao, J.; Lu, X.; Wan, Y.; Zhao, S.; Liu, H. Slow-Light and sensing performance analysis based on plasmon-induced transparency in terahertz graphene metasurface. IEEE Sens. J. 2023, 23, 4794–4801. [Google Scholar] [CrossRef]
- Xiao, G.; Zhou, S.; Yang, H.; Lin, Z.; Li, H.; Liu, X.; Chen, Z.; Sun, T.; Wangyang, P.; Li, J. Dynamically tunable and multifunctional polarization beam splitters based on graphene metasurfaces. Nanomaterials 2022, 12, 3022. [Google Scholar] [CrossRef] [PubMed]
- Wang, Z.; Xu, Y.; Chen, F.; Cheng, S.; Yi, Z.; Xiao, G.; Li, Y.; Jiang, J.; Zhou, X.; Chen, Z. Tunable multi-narrowband perfect absorber based on graphene and black phosphorus metamaterial. Optik 2022, 270, 169932. [Google Scholar] [CrossRef]
- Hong, Q.; Xiong, F.; Xu, W.; Zhu, Z.; Liu, K.; Yuan, X.; Zhang, J.; Qin, S. Towards high performance hybrid two-dimensional material plasmonic devices: Strong and highly anisotropic plasmonic resonances in nanostructured graphene-black phosphorus bilayer. Opt. Express 2018, 26, 22528. [Google Scholar] [CrossRef] [PubMed]
- Nong, J.; Tang, L.; Lan, G.; Luo, P.; Guo, C.; Yi, J.; Wei, W. Wideband tunable perfect absorption of graphene plasmons via attenuated total reflection in Otto prism configuration. Nanophotonics 2020, 9, 645–655. [Google Scholar] [CrossRef]
- Nong, J.; Tang, L.; Lan, G.; Luo, P.; Li, Z.; Huang, D.; Yi, J.; Shi, H.; Wei, W. Enhanced graphene plasmonic mode energy for highly sensitive molecular fingerprint retrieval. Laser Photonics Rev. 2020, 15, 2000300. [Google Scholar] [CrossRef]
- Zhou, X.; Xu, Y.; Li, Y.; Cheng, S.; Yi, Z.; Xiao, G.; Wang, Z.; Chen, Z. Multi-frequency switch and excellent slow light based on tunable triple plasmon-induced transparency in bilayer graphene metamaterial. Commun. Theor. Phys. 2022, 74, 115501. [Google Scholar] [CrossRef]
- Xia, S.; Zhai, X.; Wang, L.; Wen, S. Plasmonically induced transparency in in-plane isotropic and anisotropic 2D materials. Opt. Express 2020, 28, 7980. [Google Scholar] [CrossRef]
- Nong, J.; Tang, L.; Lan, G.; Luo, P.; Li, Z.; Huang, D.; Shen, J.; Wei, W. Combined visible plasmons of ag nanoparticles and infrared plasmons of graphene nanoribbons for high-performance surface-enhanced raman and infrared spectroscopies. Small 2020, 17, 2004640. [Google Scholar] [CrossRef]
- Nong, J.; Wei, W.; Lan, G.; Luo, P.; Guo, C.; Yi, J.; Tang, L. Resolved infrared spectroscopy of aqueous molecules employing tunable graphene plasmons in an otto prism. Anal. Chem. 2020, 92, 15370–15378. [Google Scholar] [CrossRef]
- Yu, A.; Guo, X.; Zhu, Y.; Balakin, A.V.; Shkurinov, A.P. Metal-graphene hybridized plasmon induced transparency in the terahertz frequencies. Opt. Express 2019, 27, 34731. [Google Scholar] [CrossRef]
- Dong, Z.; Sun, C.; Si, J.; Deng, X. Tunable polarization-independent plasmonically induced transparency based on metal-graphene metasurface. Opt. Express 2017, 25, 12251. [Google Scholar] [CrossRef] [PubMed]
- Zhang, T.; Liu, Q.; Dan, Y.; Yu, S.; Han, X.; Dai, J.; Xu, K. Machine learning and evolutionary algorithm studies of graphene metamaterials for optimized plasmon-induced transparency. Opt. Express 2020, 28, 18899. [Google Scholar] [CrossRef] [PubMed]
- Zhou, F.; Wang, Y.; Zhang, X.; Wang, J.; Liu, Z.; Luo, X.; Zhang, Z.; Gao, E. Dynamically adjustable plasmon-induced transparency and switching application based on bilayer graphene metamaterials. J. Phys. D Appl. Phys. 2020, 54, 054002. [Google Scholar] [CrossRef]
- Feng, Y.; Li, Z.; Zhao, Q.; Chen, P.; Wang, J. Evaluation of Fano resonance and phase analysis of plasma induced transparency in photonic nanostructure based on equivalent circuit analysis. J. Opt. 2022, 24, 035001. [Google Scholar] [CrossRef]
- Xiao, B.; Tong, S.; Fyffe, A.; Shi, Z. Tunable electromagnetically induced transparency based on graphene metamaterials. Opt. Express 2020, 28, 4048. [Google Scholar] [CrossRef]
- Gao, E.; Li, H.; Liu, Z.; Xiong, C.; Liu, C.; Ruan, B.; Li, M.; Zhang, B. Terahertz multifunction switch and optical storage based on triple plasmon-induced transparency on a single-layer patterned graphene metasurface. Opt. Express 2020, 28, 40013. [Google Scholar] [CrossRef]
- Xu, H.; Li, M.; Chen, Z.; He, L.; Dong, Y.; Li, X.; Wang, X.; Nie, G.; He, Z.; Zeng, B. Optical tunable multifunctional applications based on graphene metasurface in terahertz. Phys. Scripta. 2023, 98, 045511. [Google Scholar] [CrossRef]
- Zhou, X.; Xu, Y.; Li, Y.; Cheng, S.; Yi, Z.; Xiao, G.; Wang, Z.; Chen, Z. High-sensitive refractive index sensing and excellent slow light based on tunable triple plasmon-induced transparency in monolayer graphene based metamaterial. Commun. Theor. Phys. 2022, 75, 015501. [Google Scholar] [CrossRef]
- Ge, J.; You, C.; Feng, H.; Li, X.; Wang, M.; Dong, L.; Veronis, G.; Yun, M. Tunable dual plasmon-induced transparency based on a monolayer graphene metamaterial and its terahertz sensing performance. Opt. Express 2020, 28, 31781. [Google Scholar] [CrossRef]
- Yang, G.; Liu, Z.; Zhou, F.; Zhuo, S.; Qin, Y.; Luo, X.; Ji, C.; Xie, Y.; Yang, R. Effect of symmetry breaking on multi-plasmon-induced transparency based on single-layer graphene metamaterials with strips and rings. J. Opt. Soc. Am. A 2023, 40, 841. [Google Scholar] [CrossRef]
- Gu, X.; Zhang, H.-F.; Li, M.-Y.; Chen, J.-Y.; He, Y. Theoretical analysis of tunable double plasmon induced transparency in three-ellipse-shaped resonator coupled waveguide. Acta Phys. Sin. 2022, 71, 247301. [Google Scholar] [CrossRef]
- Zhu, A.; Bu, P.; Hu, C.; Niu, J.; Mahapatra, R. High extinction ratio 4×2 encoder based on electro-optical grphene plasma structure. Photonics 2023, 10, 216. [Google Scholar] [CrossRef]
- Xu, H.; Zhao, M.; Zheng, M.; Xiong, C.; Zhang, B.; Peng, Y.; Li, H. Dual plasmon-induced transparency and slow light effect in monolayer graphene structure with rectangular defects. J. Phys. D Appl. Phys. 2018, 52, 025104. [Google Scholar] [CrossRef]
- Zhao, M.; Xu, H.; Xiong, C.; Zhang, B.; Liu, C.; Xie, W.; Li, H. Tunable slow light effect based on dual plasmon induced transparency in terahertz planar patterned graphene structure. Results Phys. 2019, 15, 102796. [Google Scholar] [CrossRef]
- Gan, C.H.; Chu, H.S.; Li, E.P. Synthesis of highly confined surface plasmon modes with doped graphene sheets in the midinfrared and terahertz frequencies. Phys. Rev. B 2012, 85, 125431. [Google Scholar] [CrossRef]
- Vakil, A.; Engheta, N. Transformation optics using graphene. Science 2011, 332, 1291–1294. [Google Scholar] [CrossRef] [PubMed]
- Chen, M.; Xiao, Z.; Lv, F.; Cui, Z.; Xu, Q. Dynamically tunable electromagnetically induced transparency-like effect in terahertz metamaterial based on graphene cross structures. IEEE J. Sel. Top. Quantum Electron. 2022, 28, 1–9. [Google Scholar] [CrossRef]
- Tang, B.; Jia, Z.; Huang, L.; Su, J.; Jiang, C. Polarization-Controlled dynamically tunable electromagnetically induced transparency-like effect based on graphene metasurfaces. IEEE J. Sel. Top. Quantum Electron. 2021, 27, 1–6. [Google Scholar] [CrossRef]
- Ding, J.; Arigong, B.; Ren, H.; Zhou, M.; Shao, J.; Lu, M.; Chai, Y.; Lin, Y.; Zhang, H. Tuneable complementary metamaterial structures based on graphene for single and multiple transparency windows. Sci. Rep. 2014, 4, 6128. [Google Scholar] [CrossRef]
- Tang, P.; Li, J.; Du, L.; Liu, Q.; Peng, Q.; Zhao, J.; Zhu, B.; Li, Z.; Zhu, L. Ultrasensitive specific terahertz sensor based on tunable plasmon induced transparency of a graphene micro-ribbon array structure. Opt. Express 2018, 26, 30655. [Google Scholar] [CrossRef]
- Liu, C.; Liu, P.; Yang, C.; Lin, Y.; Zha, S. Dynamic electromagnetically induced transparency based on a metal-graphene hybrid metamaterial. Opt. Mater. Express 2018, 8, 1132. [Google Scholar] [CrossRef]
- Mei, J.; Shu, C.; Yang, P. Tunable electromagnetically induced transparency in graphene metamaterial in two perpendicular polarization directions. Appl. Phys. B 2019, 125, 130. [Google Scholar] [CrossRef]
- Chen, T.; Liang, D.; Jiang, W. A tunable terahertz graphene metamaterial sensor based on dual polarized plasmon-induced transparency. IEEE Sens. J. 2022, 22, 14084–14090. [Google Scholar] [CrossRef]











| S (μm) | |||||
|---|---|---|---|---|---|
| 0 | 6.693 | 4.079 | 0.184 | 0.5736 | 0.1687 |
| 0.1 | 4.795 | 3.411 | 0.5335 | 0.2457 | 0.05305 |
| 0.2 | 5.106 | 3.568 | 0.4599 | 0.3245 | 0.07762 |
| 0.3 | 5.311 | 3.624 | 0.4549 | 0.3491 | 0.01136 |
| 0.4 | 5.391 | 3.671 | 0.3959 | 0.389 | 0.0941 |
| 0.5 | 5.415 | 3.738 | 0.3777 | 0.4053 | 0.2985 |
| 0.6 | 5.5 | 3.71 | 0.3673 | 0.4151 | 0.1359 |
| 0.7 | 5.499 | 3.744 | 0.3593 | 0.4223 | 0.2584 |
| 0.8 | 5.5 | 3.759 | 0.3554 | 0.4258 | 0.2941 |
| 0.9 | 5.485 | 3.774 | 0.3547 | 0.4265 | 0.3357 |
| 1.0 | 5.5 | 3.743 | 0.3594 | 0.4222 | 0.2549 |
| Structure | Metamaterial | Working Band | Sensitivity (THz/RIU) | Active Tunability | Ref. |
|---|---|---|---|---|---|
| Strip | Al | 0.60–2.00 | 0.31 | None | [17] |
| Strip | Graphene | 1.00–6.00 | 0.36 | Electric-tuning | [50] |
| U-shaped & Strip | Au-Graphene | 0.30–1.80 | 0.44 | Electric-tuning | [51] |
| Ring & strip | Graphene | 2.00–5.00 | 1.00 | Electric-tuning | [39] |
| Strip & H-shaped | Graphene | 0.50–1.00 | / | Electric-tuning | [52] |
| Ring & Split-ring | Graphene | 1.00–4.00 | 1.10 | Electric-tuning | [53] |
| Strip | Graphene | 0.50–8.00 | 1.25 | Electric-tuning | This work |
Disclaimer/Publisher’s Note: The statements, opinions and data contained in all publications are solely those of the individual author(s) and contributor(s) and not of MDPI and/or the editor(s). MDPI and/or the editor(s) disclaim responsibility for any injury to people or property resulting from any ideas, methods, instructions or products referred to in the content. |
© 2023 by the authors. Licensee MDPI, Basel, Switzerland. This article is an open access article distributed under the terms and conditions of the Creative Commons Attribution (CC BY) license (https://creativecommons.org/licenses/by/4.0/).
Share and Cite
Zhu, A.; Bu, P.; Cheng, L.; Hu, C.; Mahapatra, R. High-Sensitivity Sensor Based on Diametrical Graphene Strip Plasma-Induced Transparency. Photonics 2023, 10, 830. https://doi.org/10.3390/photonics10070830
Zhu A, Bu P, Cheng L, Hu C, Mahapatra R. High-Sensitivity Sensor Based on Diametrical Graphene Strip Plasma-Induced Transparency. Photonics. 2023; 10(7):830. https://doi.org/10.3390/photonics10070830
Chicago/Turabian StyleZhu, Aijun, Pengcheng Bu, Lei Cheng, Cong Hu, and Rabi Mahapatra. 2023. "High-Sensitivity Sensor Based on Diametrical Graphene Strip Plasma-Induced Transparency" Photonics 10, no. 7: 830. https://doi.org/10.3390/photonics10070830
APA StyleZhu, A., Bu, P., Cheng, L., Hu, C., & Mahapatra, R. (2023). High-Sensitivity Sensor Based on Diametrical Graphene Strip Plasma-Induced Transparency. Photonics, 10(7), 830. https://doi.org/10.3390/photonics10070830

