Tunable Random Fiber Laser Based on Dual-Grating Structure
Abstract
1. Introduction
2. Simulation and Fabrication
3. Laser Structure and Principle
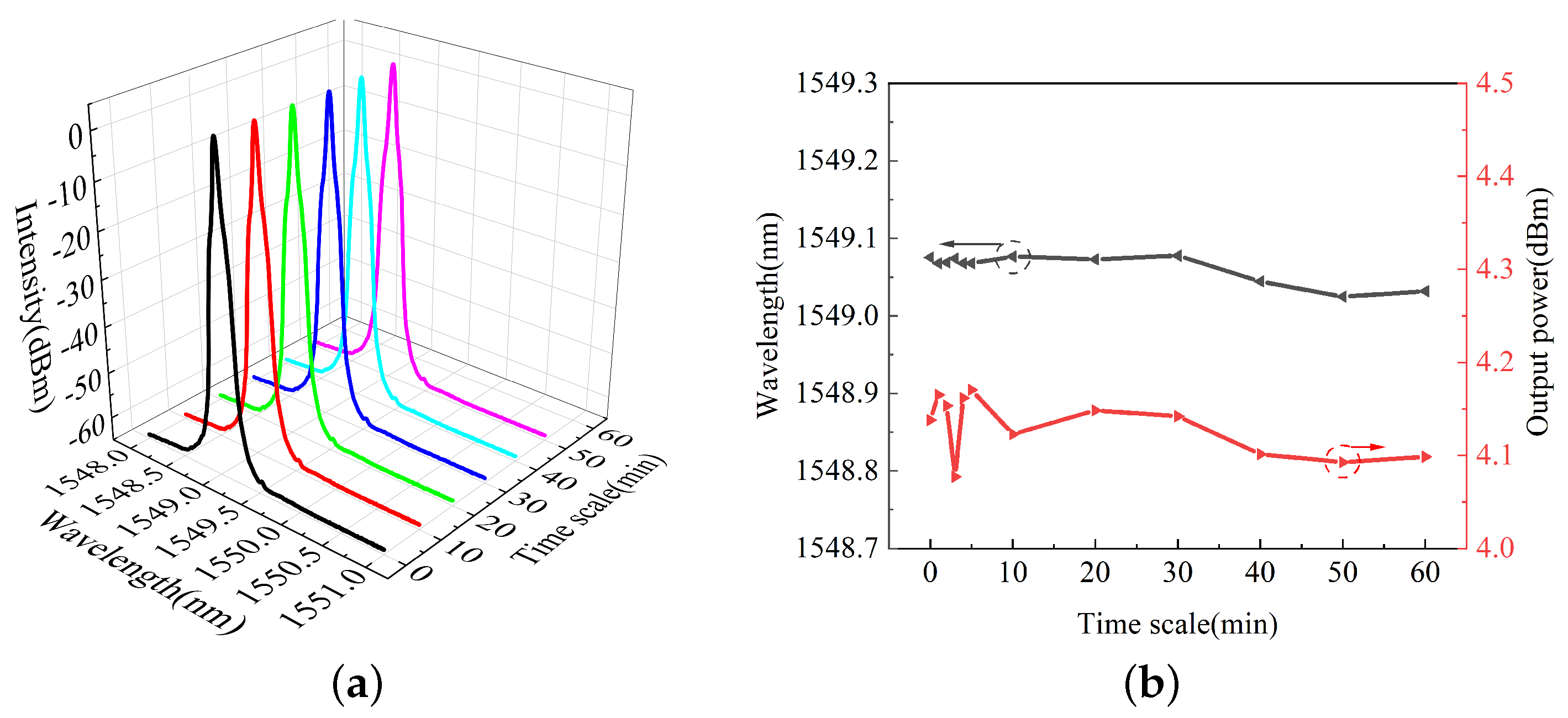
4. Output Characteristics of Lasers
5. Conclusions
Author Contributions
Funding
Institutional Review Board Statement
Informed Consent Statement
Data Availability Statement
Conflicts of Interest
References
- Ambartsumyan, R.; Basov, N.; Kryukov, P.; Letokhov, V. A laser with a nonresonant feedback. IEEE J. Quantum Electron 1966, 2, 442–446. [Google Scholar] [CrossRef]
- Gottardo, S.; Cavalieri, S.; Yaroshchuk, O.; Wiersma, D.S. Quasi-two-dimensional diffusive random laser action. Phys. Rev. Lett. 2004, 93, 263901. [Google Scholar] [CrossRef] [PubMed]
- Zhu, J.L.; Li, W.H.; Sun, Y.; Lu, J.G.; Song, X.L.; Chen, C.Y.; Zhang, Z.; Su, Y. Random laser emission in a sphere-phase liquid crystal. Appl. Phys. Lett. 2015, 106, 191903. [Google Scholar] [CrossRef]
- Lawandy, N.M.; Balachandran, R.; Gomes, A.; Sauvain, E. Laser action in strongly scattering media. Nature 1994, 368, 436–438. [Google Scholar] [CrossRef]
- Williams, G.; Bayram, S.; Rand, S.; Hinklin, T.; Laine, R. Laser action in strongly scattering rare-earth-metal-doped dielectric nanophosphors. Phys. Rev. A 2001, 65, 013807. [Google Scholar] [CrossRef]
- Cao, H.; Zhao, Y.; Ho, S.; Seelig, E.; Wang, Q.; Chang, R. Random laser action in semiconductor powder. Phys. Rev. Lett. 1999, 82, 2278. [Google Scholar] [CrossRef]
- Sakai, M.; Inose, Y.; Ema, K.; Ohtsuki, T.; Sekiguchi, H.; Kikuchi, A.; Kishino, K. Random laser action in GaN nanocolumns. Appl. Phys. Lett. 2010, 97, 151109. [Google Scholar] [CrossRef]
- Yu, S.F.; Yuen, C.; Lau, S.P.; Park, W.; Yi, G.C. Random laser action in ZnO nanorod arrays embedded in ZnO epilayers. Appl. Phys. Lett. 2004, 84, 3241–3243. [Google Scholar] [CrossRef]
- Meng, X.; Fujita, K.; Zong, Y.; Murai, S.; Tanaka, K. Random lasers with coherent feedback from highly transparent polymer films embedded with silver nanoparticles. Appl. Phys. Lett. 2008, 92, 201112. [Google Scholar] [CrossRef]
- Polson, R.C.; Vardeny, Z.V. Random lasing in human tissues. Appl. Phys. Lett. 2004, 85, 1289–1291. [Google Scholar] [CrossRef]
- de Matos, C.J.; Menezes, L.d.S.; Brito-Silva, A.M.; Gámez, M.M.; Gomes, A.S.; de Araújo, C.B. Random fiber laser. Phys. Rev. Lett. 2007, 99, 153903. [Google Scholar] [CrossRef] [PubMed]
- Wiersma, D.S.; Cavalieri, S. A temperature-tunable random laser. Nature 2001, 414, 708–709. [Google Scholar] [CrossRef] [PubMed]
- Redding, B.; Choma, M.A.; Cao, H. Speckle-free laser imaging using random laser illumination. Nat. Photonics 2012, 6, 355–359. [Google Scholar] [CrossRef]
- Rao, Y. Research advances of random fiber lasers and its applications. Acta Photonica Sin. 2019, 48, 1148002. [Google Scholar]
- Xu, Y.; Zhang, L.; Gao, S.; Lu, P.; Mihailov, S.; Bao, X. Highly sensitive fiber random-grating-based random laser sensor for ultrasound detection. Opt. Lett. 2017, 42, 1353–1356. [Google Scholar] [CrossRef]
- Turitsyn, S.K.; Babin, S.A.; El-Taher, A.E.; Harper, P.; Churkin, D.V.; Kablukov, S.I.; Ania-Castañón, J.D.; Karalekas, V.; Podivilov, E.V. Random distributed feedback fibre laser. Nat. Photonics 2010, 4, 231–235. [Google Scholar] [CrossRef]
- Fotiadi, A.A.; Kiyan, R.V. Cooperative stimulated Brillouin and Rayleigh backscattering process in optical fiber. Opt. Lett. 1998, 23, 1805–1807. [Google Scholar] [CrossRef]
- Wang, H.; Zhou, Z.; Chen, L.; Bao, X. Acoustic wave coupling in dual-wavelength orthogonal polarized brillouin random fiber laser using polarization-maintaining fiber. J. Light. Technol. 2022, 40, 2541–2547. [Google Scholar] [CrossRef]
- Wang, H.; Chen, C.; Lu, P.; Mihailov, S.; Chen, L.; Bao, X. Reducing frequency fluctuation in a Brillouin random fiber laser by a random fiber grating ring resonator. Opt. Lett. 2022, 47, 3900–3903. [Google Scholar] [CrossRef]
- Lizárraga, N.; Puente, N.; Chaikina, E.; Leskova, T.; Méndez, E. Single-mode Er-doped fiber random laser with distributed Bragg grating feedback. Opt. Express 2009, 17, 395–404. [Google Scholar] [CrossRef]
- Turitsyn, S.K.; Babin, S.A.; Churkin, D.V.; Vatnik, I.D.; Nikulin, M.; Podivilov, E.V. Random distributed feedback fibre lasers. Phys. Rep. 2014, 542, 133–193. [Google Scholar] [CrossRef]
- Zhang, L.; Xu, Y.; Lu, P.; Mihailov, S.; Chen, L.; Bao, X. Multi-wavelength Brillouin random fiber laser via distributed feedback from a random fiber grating. J. Light. Technol. 2018, 36, 2122–2128. [Google Scholar] [CrossRef]
- Wang, H.; Lu, P.; Chen, C.; Mihailov, S.; Chen, L.; Bao, X. Stabilizing Brillouin random laser with photon localization by feedback of distributed random fiber grating array. Opt. Express 2022, 30, 20712–20724. [Google Scholar] [CrossRef] [PubMed]
- Zhang, L.; Lu, P.; Zhou, Z.; Wang, Y.; Mihailov, S.; Chen, L.; Bao, X. High-efficiency random fiber laser based on strong random fiber grating for MHz ultrasonic sensing. IEEE Sens. J. 2020, 20, 5885–5892. [Google Scholar] [CrossRef]
- Erdogan, T. Fiber grating spectra. J. Light. Technol. 1997, 15, 1277–1294. [Google Scholar] [CrossRef]
- Qin, H.; He, Q.; Xing, Z.; Guo, X.; Yan, Z.; Sun, Q.; Zhou, K.; Wang, H.; Liu, D.; Zhang, L. Numerical and experimental characterization of radiation mode of 45° tilted fiber grating. J. Light. Technol. 2019, 37, 3777–3783. [Google Scholar] [CrossRef]
- Lu, P.; Mihailov, S.J.; Coulas, D.; Ding, H.; Bao, X. Low-loss random fiber gratings made with an fs-IR laser for distributed fiber sensing. J. Light. Technol. 2019, 37, 4697–4702. [Google Scholar] [CrossRef]









Disclaimer/Publisher’s Note: The statements, opinions and data contained in all publications are solely those of the individual author(s) and contributor(s) and not of MDPI and/or the editor(s). MDPI and/or the editor(s) disclaim responsibility for any injury to people or property resulting from any ideas, methods, instructions or products referred to in the content. |
© 2023 by the authors. Licensee MDPI, Basel, Switzerland. This article is an open access article distributed under the terms and conditions of the Creative Commons Attribution (CC BY) license (https://creativecommons.org/licenses/by/4.0/).
Share and Cite
Niu, Y.; Jia, P.; Su, J.; Wang, J.; An, G.; Ren, Q.; Xiong, J. Tunable Random Fiber Laser Based on Dual-Grating Structure. Photonics 2023, 10, 644. https://doi.org/10.3390/photonics10060644
Niu Y, Jia P, Su J, Wang J, An G, Ren Q, Xiong J. Tunable Random Fiber Laser Based on Dual-Grating Structure. Photonics. 2023; 10(6):644. https://doi.org/10.3390/photonics10060644
Chicago/Turabian StyleNiu, Yanan, Pinggang Jia, Jianhui Su, Jingyi Wang, Guowen An, Qianyu Ren, and Jijun Xiong. 2023. "Tunable Random Fiber Laser Based on Dual-Grating Structure" Photonics 10, no. 6: 644. https://doi.org/10.3390/photonics10060644
APA StyleNiu, Y., Jia, P., Su, J., Wang, J., An, G., Ren, Q., & Xiong, J. (2023). Tunable Random Fiber Laser Based on Dual-Grating Structure. Photonics, 10(6), 644. https://doi.org/10.3390/photonics10060644

