An Airborne Visible Light Lidar’s Methodology for Clear Air Turbulence Detection Based on Weak Optical Signal
Abstract
1. Introduction
2. Theories and Methods
2.1. Principle of CAT Detection
2.2. Visible Airborne LiDAR CAT Detection Principle
3. System Design
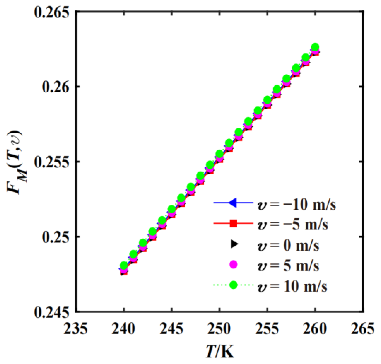
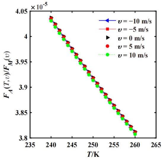
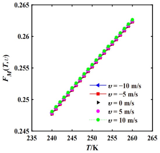
4. Simulation and Results Analysis
5. Conclusions
Author Contributions
Funding
Institutional Review Board Statement
Informed Consent Statement
Data Availability Statement
Conflicts of Interest
References
- Zhou, L.; Huang, C.F. Advances in Clear Air Turbulence Studies in Last Ten Years. Meteorol. Sci. Technol. 2015, 43, 91–96. [Google Scholar] [CrossRef]
- Veerman, H.P.J.; Vrancken, P.; Lombard, L. Flight testing delicat—A promise for medium-range clear air turbulence protection. In Proceedings of the European 46th SETP and 25th SFTE Symposium, Luleå, Sweden, 15–18 June 2014; Available online: https://hal.science/hal-01111380 (accessed on 10 January 2019).
- Golding, W.L. Turbulence and its Impact on Commercial Aviation. J. Aviat./Aerosp. Educ. Res. 2000, 11, 8. [Google Scholar] [CrossRef][Green Version]
- Patrick, V.; Herbst, J. Development and Test of a Fringe-Imaging Direct-Detection Doppler Wind LiDAR for Aeronautics. EPJ Web Conf. 2020, 237, 07008. [Google Scholar] [CrossRef]
- Hu, B.Y.; Ding, G.L.; Tang, J.P. Objective Verification of Clear-Air Turbulence (CAT) Diagnostic Performance in China Using in Situ Aircraft Observation. J. Atmos. Ocean. Technol. 2022, 39, 903–914. [Google Scholar] [CrossRef]
- Sharman, R.; Lane, T. Aviation Turbulence: Processes, Detection, Prediction; Springer International Publishing: Geneva, Switzerland, 2016; pp. 443–464. [Google Scholar] [CrossRef]
- Kim, J.-H.; Park, J.-R.; Kim, S.-H.; Kim, J.; Lee, E.; Baek, S.; Lee, G. A Detection of Convectively Induced Turbulence Using in Situ Aircraft and Radar Spectral Width Data. Remote Sens. 2021, 13, 726. [Google Scholar] [CrossRef]
- Vrancken, P.; Wirth, M.; Ehret, G.; Barny, H.; Rondeau, P.; Veerman, H.P. Airborne forwards-pointing UV Rayleigh LiDAR for remote clear air turbulence detection: System design and performance. Appl. Opt. 2016, 55, 9314–9328. [Google Scholar] [CrossRef] [PubMed]
- Franken, P.A.; Jenney, J.A.; Rank, D.M. Airborne investigations of clear air turbulence with laser radars (Clear air turbulence detection with laser radar, noting airborne equipment and results). In Proceedings of the 8th Annual Electron and Laser Beam Symposium, Ann Arbor, MI, USA, 4 April 1966. [Google Scholar] [CrossRef]
- Huffaker, R.M. CO2 laser Doppler systems for the measurement of atmospheric winds and turbulence. Atmos. Technol. 1975, 1, 71–76. [Google Scholar]
- Hannon, S.M.; Bagley, H.R.; Bogue, R.K. Airborne Doppler LiDAR turbulence detection: ACLAIM flight test results. In Laser Radar Technology and Applications IV; SPIE: Orlando, FL, USA, 1999. [Google Scholar] [CrossRef]
- Fiocco, G.; Benedetti-Michelangeli, G.; Maischberger, K.; Madonna, E. Measurement of temperature and aerosol to molecule ratio in the troposphere by optical radar. Nat. Phys. Sci. 1971, 229, 78–79. [Google Scholar] [CrossRef]
- She, C.Y.; Alvarez, R.J.; Caldwell, L.M.; Krueger, D.A. High-spectral-resolution Rayleigh–Mie LiDAR measurement of aerosol and atmospheric profiles. Opt. Lett. 1992, 17, 541–543. [Google Scholar] [CrossRef] [PubMed]
- Hair, J.W.; Hostetler, C.A.; Cook, A.L.; Harper, D.B.; Ferrare, R.A.; Mack, T.L.; Welch, W.; Izquierdo, L.R.; Hovis, F.E. Airborne high spectral resolution LiDAR for profiling aerosol optical properties. Appl. Opt. 2008, 47, 6734–6752. [Google Scholar] [CrossRef] [PubMed]
- Gerstenkorn, S.; Luc, P. Atlas du Spectre d’Absorption de la Molecule d’Iode 14,800–20,000 cm−1; Editions du Centre National de la Recherche Scientifique (CNRS): Paris, France, 1978. [Google Scholar]
- Dong, J.; Liu, J.; Bi, D.; Ma, X.; Zhu, X.; Zhu, X.; Chen, W. Optimal iodine absorption line applied for spaceborne high spectral resolution LiDAR. Appl. Opt. 2018, 57, 5413–5419. [Google Scholar] [CrossRef] [PubMed]
- Ke, J.; Sun, Y.S.; Dong, C.Z.; Zhang, X.Y.; Wang, Z.J.; Lyu, L.Q.; Zhu, W.; Ansmann, A.; Su, L.; Bu, L.B.; et al. Development of China’s first space-borne aerosol-cloud high-spectral-resolution LiDAR: Retrieval algorithm and airborne demonstration. PhotoniX 2022, 3, 17. [Google Scholar] [CrossRef]
- Zhang, Y.; Liu, D.; Shen, X.; Bai, J.; Liu, Q.; Cheng, Z.; Tang, P.; Yang, L. Design of iodine absorption cell for high-spectral-resolution LiDAR. Opt. Express 2017, 25, 15913–15926. [Google Scholar] [CrossRef] [PubMed]
- Forkey, J.N.; Lempert, W.R.; Miles, R.B. Corrected and calibrated I2 absorption model at frequency-doubled Nd:YAG laser wavelengths. Appl. Opt. 1997, 36, 6729–6738. [Google Scholar] [CrossRef] [PubMed]
- Liu, D.; Zheng, Z.; Chen, W.; Wang, Z.; Li, W.; Ke, J.; Zhang, Y.; Chen, S.; Cheng, C.; Wang, S. Performance estimation of space-borne high-spectral-resolution LiDAR for cloud and aerosol optical properties at 532 nm. Opt. Express. 2019, 27, A481–A494. [Google Scholar] [CrossRef] [PubMed]
- Feneyrou, P.; Lehureau, J.C.; Barny, H. Performance evaluation for long-range turbulence-detection using ultraviolet LiDAR. Appl. Opt. 2009, 48, 3750. [Google Scholar] [CrossRef] [PubMed]
- Yang, S.B.; Wang, L.B. Analysis of Airworthiness Regulations of Gust and Turbulence Loads for Civil Aircraft. Civ. Aircr. Des. Res. 2016, 121, 48–53. [Google Scholar] [CrossRef]
- Gage, S. Creating a unified graphical wind turbulence model from multiple specifications. In Proceedings of the American Institute of Aeronautics and Astronautics (AIAA) Modelling and Simulation Technologies Conference and Exhibit, Austin, TX, USA, 11–14 August 2003; p. 5529. [Google Scholar] [CrossRef]
- Cornman, L.B.; Morse, C.S.; Cunning, G. Real-time estimation of atmospheric turbulence severity from in-situ aircraft measurements. J. Aircr. 1994, 32, 171–177. [Google Scholar] [CrossRef]
- Shen, F.; Shu, Z.; Sun, D.; Wang, Z.; Xue, X.; Chen, T.; Dou, X. Wind retrieval algorithm of Rayleigh Doppler lidar. Acta Phys. Sin. 2011, 60, 192–198. [Google Scholar]
- Ji, C.L.; Zhou, J. Simulation of Signal and Signal-to-noise Ratio Received by an Airborne Dual-wavelength Mie LiDAR. J. Atmos. Environ. Opt. 2008, 3, 250–261. Available online: https://kns.cnki.net/kcms/detail/detail.aspx?FileName=GXXB200106019&DbName=CJFQ2001 (accessed on 22 June 2020).








| EDR/m2/3·s−1 | Levels |
|---|---|
| <0.1 | None |
| 0.1–0.4 | Light |
| 0.4–0.7 | Moderate |
| >0.7 | Severe |
| Parameter | Value |
|---|---|
| CAT level | Moderate |
| Aircraft speed | 250 m ∙ s−1 |
| Integration distance | 10 km |
| Distance resolution | 100 m |
| Brunt–Väisälä frequency | 0.01 rad ∙ s−1 |
| Laser pulse energy | 230 mJ |
| Pulse length | 8 ns |
| Repetition rate | 100 Hz |
| Telescope diameter | 140 mm |
| Field of view | 0.53 mrad |
| Sun filter bandwidth (FWHM) | 0.5 nm |
| Detector quantum efficiency | 0.75 |
| Overall optical efficiency | 0.36 |
| Solar background level | 300 W ∙ m−2 ∙ sr−1 ∙ μm−1 |
Disclaimer/Publisher’s Note: The statements, opinions and data contained in all publications are solely those of the individual author(s) and contributor(s) and not of MDPI and/or the editor(s). MDPI and/or the editor(s) disclaim responsibility for any injury to people or property resulting from any ideas, methods, instructions or products referred to in the content. |
© 2023 by the authors. Licensee MDPI, Basel, Switzerland. This article is an open access article distributed under the terms and conditions of the Creative Commons Attribution (CC BY) license (https://creativecommons.org/licenses/by/4.0/).
Share and Cite
Zhao, J.; Luo, X.; Liu, H. An Airborne Visible Light Lidar’s Methodology for Clear Air Turbulence Detection Based on Weak Optical Signal. Photonics 2023, 10, 1185. https://doi.org/10.3390/photonics10111185
Zhao J, Luo X, Liu H. An Airborne Visible Light Lidar’s Methodology for Clear Air Turbulence Detection Based on Weak Optical Signal. Photonics. 2023; 10(11):1185. https://doi.org/10.3390/photonics10111185
Chicago/Turabian StyleZhao, Jing, Xiujuan Luo, and Hui Liu. 2023. "An Airborne Visible Light Lidar’s Methodology for Clear Air Turbulence Detection Based on Weak Optical Signal" Photonics 10, no. 11: 1185. https://doi.org/10.3390/photonics10111185
APA StyleZhao, J., Luo, X., & Liu, H. (2023). An Airborne Visible Light Lidar’s Methodology for Clear Air Turbulence Detection Based on Weak Optical Signal. Photonics, 10(11), 1185. https://doi.org/10.3390/photonics10111185

