LC-MS/TOF Characterization and Stability Study of Artesunate in Different Solvent Systems
Abstract
:1. Introduction
2. Materials and Methods
2.1. Chemicals and Reagents
2.2. Chromatographic Procedure
2.3. Mass Spectrometer Procedure
2.4. Sample Preparation
3. Results
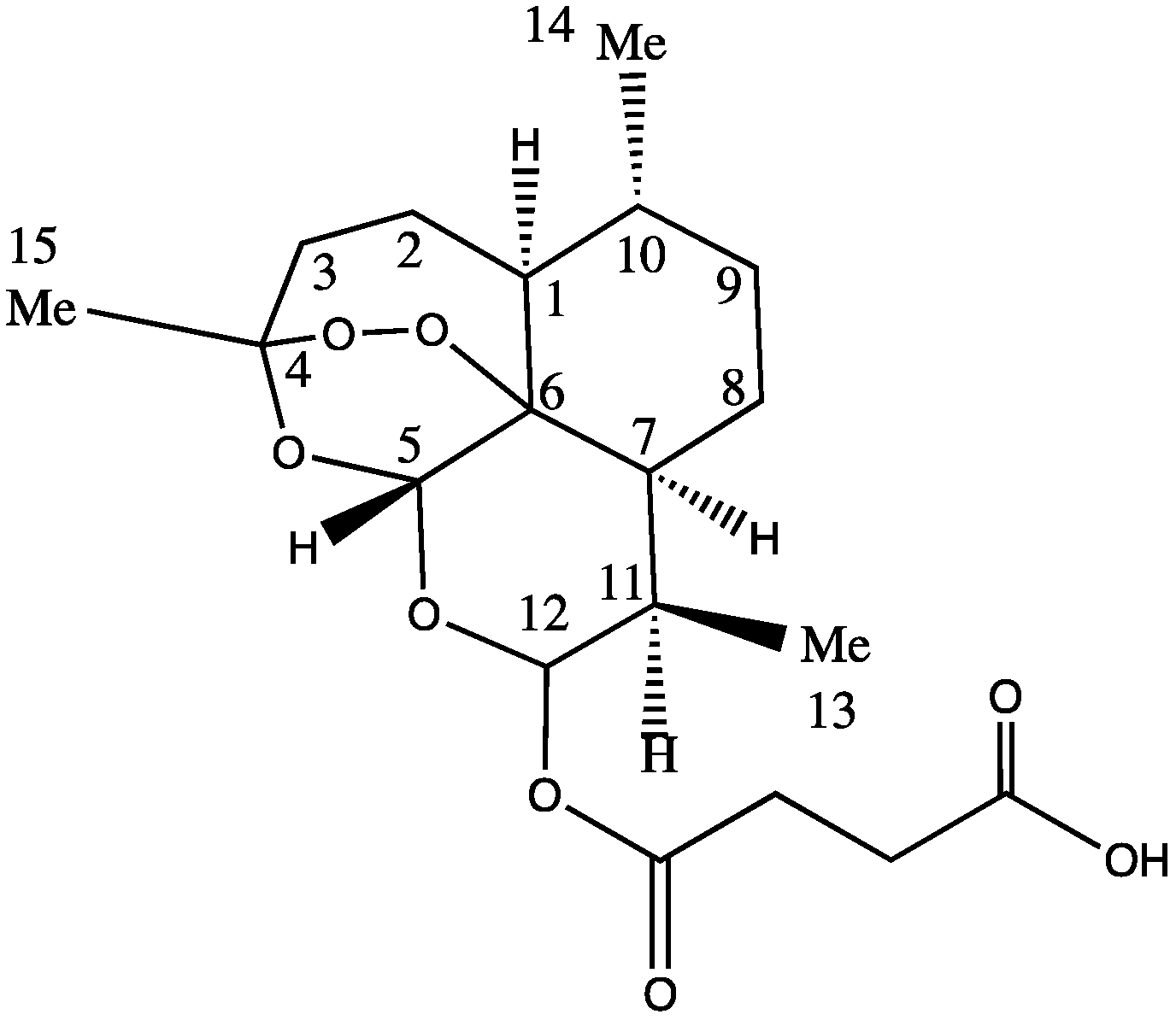
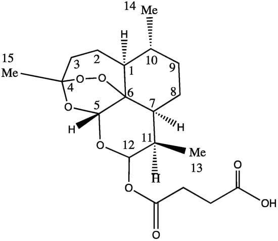
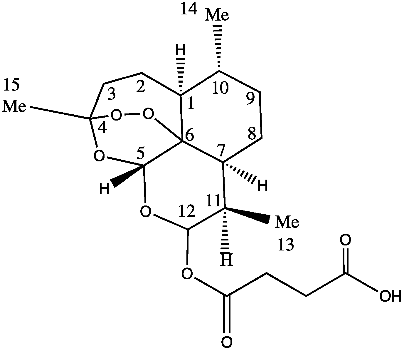
3.1. ARTS in Methanol
3.2. ARTS in Methanol and Water
3.3. ARTS in Ammonium Acetate and Methanol
4. Discussion
5. Conclusions
Supplementary Materials
Author Contributions
Funding
Informed Consent Statement
Data Availability Statement
Acknowledgments
Conflicts of Interest
References
- Tilley, L.; Straimer, J.; Gnädig, N.F.; Ralph, S.A.; Fidock, D.A. Artemisinin Action and Resistance in Plasmodium falciparum. Trends Parasitol. 2016, 32, 682–696. [Google Scholar] [CrossRef]
- Pukrittayakamee, S.; Chotivanich, K.; Chantra, A.; Clemens, R.; Looareesuwan, S.; White, N.J. Activities of Artesunate and Primaquine against Asexual- and Sexual-Stage Parasites in Falciparum Malaria. Antimicrob. Agents Chemother. 2004, 48, 1329–1334. [Google Scholar] [CrossRef] [PubMed]
- Graziose, R.; Lila, M.A.; Raskin, I. Merging traditional Chinese medicine with modern drug discovery technologies to find novel drugs and functional foods. Curr. Drug Discov. Technol. 2010, 7, 2–12. [Google Scholar] [CrossRef] [PubMed]
- Ivanescu, B.; Miron, A.; Corciova, A. Sesquiterpene Lactones from Artemisia Genus: Biological Activities and Methods of Analysis. J. Anal. Methods Chem. 2015, 2015, 247685. [Google Scholar] [CrossRef] [PubMed]
- Rudrapal, M.; Chetia, D. Endoperoxide antimalarials: Development, structural diversity and pharmacodynamic aspects with reference to 1,2,4-trioxane-based structural scaffold. Drug Des. Dev. Ther. 2016, 10, 3575–3590. [Google Scholar] [CrossRef]
- Tu, Y. The Discovery and Development of Artemisinins and Antimalarial Agents; Academic Press: Cambridge, MA, USA, 2017; Volume 9. [Google Scholar]
- Meshnick, S.R.; Taylor, T.E.; Kamchonwongpaisan, S. Artemisinin and the Antimalarial Endoperoxides: From Herbal Remedy to Targeted Chemotherapy. Microbiol. Rev. 1996, 60, 301–315. [Google Scholar] [CrossRef] [PubMed]
- Hooft van Huijsduijnen, R.; Guy, R.K.; Chibale, K.; Haynes, R.K.; Peitz, I.; Kelter, G.; Phillips, M.A.; Vennerstrom, J.L.; Yuthavong, Y.; Wells, T.N. Anticancer properties of distinct antimalarial drug classes. PLoS ONE 2013, 8, e82962. [Google Scholar] [CrossRef]
- Rudrapal, M.; Chetia, D.; Singh, V. Novel series of 1,2,4- trioxane derivatives as antimalarial agents. J. Enzym. Inhib. Med. Chemistry. 2017, 32, 1159–1173. [Google Scholar] [CrossRef]
- Ștefan, I. Combination therapy-a way to forestall artemisinin resistance and optimize uncomplicated malaria treatment. J. Med. Life 2015, 8, 326–328. [Google Scholar]
- Nosten, F.; White, N.J. Artemisinin-based combination treatment of falciparum malaria. Am. J. Trop. Med. Hyg. 2007, 77, 181–192. [Google Scholar] [CrossRef]
- Cui, L.; Su, X.Z. Discovery, mechanisms of action and combination therapy of artemisinin. Expert Rev. Anti-Infect. Ther. 2009, 7, 999–1013. [Google Scholar] [CrossRef] [PubMed]
- Wang, J.; Huang, L.; Li, J.; Fan, Q.; Long, Y.; Li, Y.; Zhou, B. Artemisinin directly targets malarial mitochondria through its specific mitochondrial activation. PLoS ONE 2010, 5, e9582. [Google Scholar] [CrossRef] [PubMed]
- Chen, X.; He, L.-Y.; Lai, S.; He, Y. Dihydroartemisinin inhibits the migration of esophageal cancer cells by inducing autophagy. Oncol. Lett. 2020, 20, 1. [Google Scholar] [CrossRef]
- Augustin, Y.; Staines, H.M.; Krishna, S. Artemisinins as a novel anti-cancer therapy: Targeting a global cancer pandemic through drug repurposing. Pharmacol. Ther. 2020, 216, 107706. [Google Scholar] [CrossRef]
- Adjuik, M.; Babiker, A.; Garner, P.; Olliaro, P.; Taylor, W.; White, N. International Artemisinin Study Group. Artesunate combinations for treatment of malaria: Meta-analysis. Lancet 2004, 363, 9–17. [Google Scholar] [PubMed]
- Wang, T.; Wang, J.; Ren, W.; Liu, Z.-L.; Cheng, Y.-F.; Zhang, X.-M. Combination treatment with artemisinin and oxaliplatin inhibits tumorigenesis in esophageal cancer EC109 cell through Wnt/β-catenin signaling pathway. Thorac. Cancer 2020, 11, 2316–2324. [Google Scholar] [CrossRef] [PubMed]
- Li, X.; Ba, Q.; Liu, Y.; Yue, Q.; Chen, P.; Li, J.; Zhang, H.; Ying, H.; Ding, Q.; Song, H.; et al. Dihydroartemisinin selectively inhibits PDGFRα-positive ovarian cancer growth and metastasis through inducing degradation of PDGFRα protein. Cell Discov. 2017, 3, 17042. [Google Scholar] [CrossRef] [PubMed]
- Feng, M.-X.; Hong, J.-X.; Wang, Q.; Fan, Y.-Y.; Yuan, C.-T.; Lei, X.-H.; Zhu, M.; Qin, A.; Chen, H.-X.; Hong, D. Dihydroartemisinin prevents breast cancer-induced osteolysis via inhibiting both breast caner cells and osteoclasts. Sci. Rep. 2016, 6, 19074. [Google Scholar] [CrossRef]
- Zhou, X.; Zijlstra, S.N.; Soto-Gamez, A.; Setroikromo, R.; Quax, W.J. Artemisinin Derivatives Stimulate DR5-Specific TRAIL-Induced Apoptosis by Regulating Wildtype P53. Cancers 2020, 12, 2514. [Google Scholar] [CrossRef]
- Zhang, C.; Fortin, P.-Y.; Barnoin, G.; Qin, X.; Wang, X.; Fernandez Alvarez, A.; Bijani, C.; Maddelein, M.-L.; Hemmert, C.; Cuvillier, O.; et al. An Artemisinin-Derivative–(NHC)Gold(I) Hybrid with Enhanced Cytotoxicity through Inhibition of NRF2 Transcriptional Activity. Angew. Chem. Int. Ed. 2020, 59, 12062–12068. [Google Scholar] [CrossRef]
- Zhang, Y.; Xu, G.; Zhang, S.; Wang, D.; Saravana Prabha, P.; Zuo, Z. Antitumor Research on Artemisinin and Its Bioactive Derivatives. Nat. Prod. Bioprospecting 2018, 8, 303–319. [Google Scholar] [CrossRef] [PubMed]
- Reiter, C.; Fröhlich, T.; Gruber, L.; Hutterer, C.; Marschall, M.; Voigtländer, C.; Friedrich, O.; Kappes, B.; Efferth, T.; Tsogoeva, S.B. Highly potent artemisinin-derived dimers and trimers: Synthesis and evaluation of their antimalarial, antileukemia and antiviral activities. Bioorganic Med. Chem. 2015, 23, 5452–5458. [Google Scholar] [CrossRef] [PubMed]
- Slade, D.; Galal, A.M.; Gul, W.; Radwan, M.M.; Ahmed, S.A.; Khan, S.I.; Tekwani, B.L.; Jacob, M.R.; Ross, S.A.; El Sohly, M.A. Antiprotozoal, anticancer and antimicrobial activities of dihydroartemisinin acetal dimers and monomers. Bioorganic Med. Chem. 2009, 17, 7949–7957. [Google Scholar] [CrossRef] [PubMed]
- Fortin, S.; Bérubé, G. Advances in the development of hybrid anticancer drugs. Expert Opin. Drug Discov. 2013, 8, 1029–1047. [Google Scholar] [CrossRef] [PubMed]
- White, N.J. Malaria. In Antibiotic and Chemotherapy; Finch, R.G., Greenwood, D., Norrby, S.R., Whitley, R.J., Eds.; W.B. Saunders: London, UK, 2010; pp. 809–822. [Google Scholar]
- Morris, C.A.; Duparc, S.; Borghini-Fuhrer, I.; Jung, D.; Shin, C.S.; Fleckenstein, L. Review of the clinical pharmacokinetics of artesunate and its active metabolite dihydroartemisinin following intravenous, intramuscular, oral or rectal administration. Malar. J. 2011, 10, 263. [Google Scholar] [CrossRef] [PubMed]
- Woodrow, C.J.; Haynes, R.K.; Krishna, S. Artemisinins. Postgrad. Med. J. 2005, 81, 71–78. [Google Scholar] [CrossRef]
- Parapini, S.; Olliaro, P.; Navaratnam, V.; Taramelli, D.; Basilico, N. Stability of the antimalarial drug dihydroartemisinin under physiologically relevant conditions: Implications for clinical treatment and pharmacokinetic and in vitro assays. Antimicrob. Agents Chemother. 2015, 59, 4046–4052. [Google Scholar] [CrossRef]
- Armenian, P.; Campagne, D.; Stroh, G.; Ives Tallman, C.; Zeng, W.Z.; Lin, T.; Gerona, R.R. Hot and Cold Drugs: National Park Service Medication Stability at the Extremes of Temperature. Prehospital Emerg. Care 2017, 21, 378–385. [Google Scholar] [CrossRef]
- Crichton, B. Keep in a cool place: Exposure of medicines to high temperatures in general practice during a British heatwave. J. R. Soc. Med. 2004, 97, 328–329. [Google Scholar] [CrossRef]
- Haynes, R.K.; Chan, H.W.; Lung, C.M.; Ng, N.C.; Wong, H.N.; Shek, L.Y.; Williams, I.D.; Cartwright, A.; Gomes, M.F. Artesunate and Dihydroartemisinin (DHA): Unusual Decomposition Products Formed under Mild Conditions and Comments on the Fitness of DHA as an Antimalarial Drug. ChemMedChem 2007, 2, 1448–1463. [Google Scholar] [CrossRef]
- Penna, E.A.; de Souza, J.C.Q.; de Oliveira, M.A.L.; Chellini, P.R. Determination of antimalarial drugs in pharmaceutical formulations and human blood by liquid chromatography: A review. Anal. Methods 2021, 13, 4557–4584. [Google Scholar] [CrossRef] [PubMed]
- Saeed, M.A.; Ansari, M.T.; Ch, B.A.; Zaman, M. RP-HPLC method for the determination and quantification of artesunate. J. Chromatogr. Sci. 2020, 58, 695–699. [Google Scholar] [CrossRef] [PubMed]
- Chutvirasakul, B.; Joseph, J.F.; Parr, M.K.; Suntornsuk, L. Development and applications of liquid chromatography-mass spectrometry for simultaneous analysis of anti-malarial drugs in pharmaceutical formulations. J. Pharm. Biomed. Anal. 2021, 195, 113855. [Google Scholar] [CrossRef] [PubMed]






| Retention Time | Main Fragments (m/z) |
|---|---|
| 0.9 | 407 |
| 1.2 | 407, 791 |
| 1.6 | 221, 307 |
| 1.9 | 261, 307, and 591 |
| 2.8 | 261, 267, 285, 307, 321, 329, 341, 385, and 591 |
| 3.1 | 221, 267, 275, 321, 329, 421, 458, and 619 |
| 3.4 | 221, 249, 267, 285, 289, 311, 329, 341, and 385 |
| 6.0 | 221, 249, 267, 275, 281, 321, and 619 |
| Retention Time | Main Fragments (m/z) |
|---|---|
| 0.5 | 203, 217, 252, 261, 275, and 305 |
| 1.0 | 203, 217, 221, 261, 293, 305, and 321 |
| 1.6 | 203, 217, 221, and 307 |
| 1.9 | 221, 249, 261, 267, 307, 323, and 591 |
| 2.8 | 203, 217, 221, 249, 261, 267, 307, 323, and 591 |
| 3.2 | 203, 217, 221, 267, 321, 421, and 619 |
| 3.5 | 203, 217, 221, 249, 261, 289, 305, 311, and 351 |
| 6.0 | 221, 249, 267, 275, 321, 337, and 619 |
| Retention Time | Main Fragments (m/z) |
|---|---|
| 0.5 | 218, 230, 232, 245, 248, 260, 276, and 308 |
| 0.7 | 232, 236, and 265 |
| 0.8 | 206, 262, 307, and 329 |
| 0.9 | 248, 267, 291, 307, 329, 341, 369, 385, 407, and 467. |
| 1.3 | 214, 246, and 307 |
| 1.9 | 221, 261, 307, 591, and 573 |
| 2.8 | 261, 307, and 591 |
| 6.0 | 221, 275, 321, and 619 |
Publisher’s Note: MDPI stays neutral with regard to jurisdictional claims in published maps and institutional affiliations. |
© 2022 by the authors. Licensee MDPI, Basel, Switzerland. This article is an open access article distributed under the terms and conditions of the Creative Commons Attribution (CC BY) license (https://creativecommons.org/licenses/by/4.0/).
Share and Cite
Oke, K.; Mugweru, A. LC-MS/TOF Characterization and Stability Study of Artesunate in Different Solvent Systems. Separations 2022, 9, 218. https://doi.org/10.3390/separations9080218
Oke K, Mugweru A. LC-MS/TOF Characterization and Stability Study of Artesunate in Different Solvent Systems. Separations. 2022; 9(8):218. https://doi.org/10.3390/separations9080218
Chicago/Turabian StyleOke, Kogila, and Amos Mugweru. 2022. "LC-MS/TOF Characterization and Stability Study of Artesunate in Different Solvent Systems" Separations 9, no. 8: 218. https://doi.org/10.3390/separations9080218
APA StyleOke, K., & Mugweru, A. (2022). LC-MS/TOF Characterization and Stability Study of Artesunate in Different Solvent Systems. Separations, 9(8), 218. https://doi.org/10.3390/separations9080218
