Fabrication of High-Performance Nanofiltration Membrane Using Polydopamine and Carbon Nitride as the Interlayer
Abstract
:1. Introduction
2. Experiments
2.1. Chemicals
2.2. Membrane Preparation
2.2.1. Preparation of Stripped g-C3N4
2.2.2. Preparation of NF Membrane
2.3. Characterization and Measurement
2.4. Permeance and Separation Performance of NF Membranes
2.5. Mean Pore Size and Pore Size Distribution
2.6. Antifouling Property of Membrane
3. Results and Discussion
3.1. Characterization of g-C3N4-96
3.2. Characterization of Membrane
3.2.1. Chemical Structure and Morphology
3.2.2. Zeta Potential and Hydrophilicity of Membranes
3.2.3. MWCO and Pore Size Distribution of M5 Membrane
3.3. Separation Performance and Antifouling Property
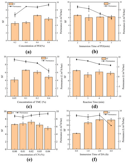
3.3.1. Effects of Preparation Conditions on NF Membrane Performance
3.3.2. Separation Performance and Permeance of M5 in Different Solutions
3.3.3. Antifouling Property of the M5 Membrane
4. Conclusions
Author Contributions
Funding
Acknowledgments
Conflicts of Interest
References
- Xu, S.S.; Song, J.F.; Bi, Q.Y.; Chen, Q.; Zhang, W.M.; Qian, Z.X.; Zhang, L.; Xu, S.A.; Tang, N.; He, T. Extraction of lithium from Chinese salt-lake brines by membranes: Design and practice. J. Membr. Sci. 2021, 635, 119441. [Google Scholar] [CrossRef]
- Li, N.; Guo, C.S.; Shi, H.T.; Xu, Z.W.; Xu, P.; Teng, K.Y.; Shan, M.J.; Qian, X.M. Analysis of Mg2+/Li+ separation mechanism by charged nanofiltration membranes: Visual simulation. Nanotechnology 2021, 32, 085703. [Google Scholar] [CrossRef]
- Zhang, C.Y.; Mu, Y.X.; Zhao, S.; Zhang, W.; Wang, Y.X. Lithium extraction from synthetic brine with high Mg2+/Li+ ratio using the polymer inclusion membrane. Desalination 2020, 496, 114710. [Google Scholar] [CrossRef]
- Swain, B. Recovery and recycling of lithium: A review. Sep. Purif. Technol. 2017, 172, 388–403. [Google Scholar] [CrossRef]
- Liu, G.; Zhao, Z.W.; He, L.H. Highly selective lithium recovery from high Mg/Li ratio brines. Desalination 2020, 474, 114185. [Google Scholar] [CrossRef]
- Sun, Y.; Wang, Q.; Wang, Y.H.; Yun, R.P.; Xu, X. Recent advances in magnesium / lithium separation and lithium extraction technologies from salt lake brine. Sep. Purif. Technol. 2021, 256, 117807. [Google Scholar] [CrossRef]
- Tabelin, C.B.; Dallas, J.; Casanova, S.; Pelech, T.; Bournival, G.; Saydam, S.; Canbulat, I. Towards a low-carbon society: A review of lithium resource availability, challenges and innovations in mining, extraction and recycling, and future perspectives. Miner. Eng. 2021, 163, 106743. [Google Scholar] [CrossRef]
- Shao, W.Y.; Liu, C.R.; Yu, T.; Xiong, Y.; Hong, Z.; Xie, Q.L. Constructing Positively Charged Thin-Film Nanocomposite Nanofiltration Membranes with Enhanced Performance. Polymers 2020, 12, 2526. [Google Scholar] [CrossRef] [PubMed]
- Zhang, Y.; Wang, L.; Sun, W.; Hua, Y.H.; Tang, H.H. Review Membrane technologies for Li+/Mg2+ separation from salt-lake brines and seawater: A comprehensive review. J. Ind. Eng. Chem. 2020, 81, 7–23. [Google Scholar] [CrossRef]
- Saif, H.M.; Huertas, R.M.; Pawlowski, S.; Crespo, J.G.; Velizarov, S. Development of highly selective composite polymeric membranes for Li+/Mg2+ separation. J. Membr. Sci. 2021, 620, 118891. [Google Scholar] [CrossRef]
- Wu, H.H.; Lin, Y.K.; Feng, W.Y.; Liu, T.Y.; Wang, L.; Yao, H.; Wang, X.L. A novel nanofiltration membrane with [MimAP][Tf2N] ionic liquid for utilization of lithium from brines with high Mg2+/Li+ ratio. J. Membr. Sci. 2020, 603, 117997. [Google Scholar] [CrossRef]
- Somrani, A.; Hamzaoui, A.H.; Pontie, M. Study on lithium separation from salt lake brines by nanofiltration (NF) and low pressure reverse osmosis (LPRO). Desalination 2013, 317, 184–192. [Google Scholar] [CrossRef]
- Sun, S.Y.; Cai, L.J.; Nie, X.Y.; Song, X.; Yu, J.G. Separation of magnesium and lithium from brine using a Desal nanofiltration membrane. J. Water Process Eng. 2015, 7, 210–217. [Google Scholar] [CrossRef]
- Akamatsu, K.; Igarashi, Y.; Marutani, T.; Shintani, T.; Nakao, S. Development of Novel Positively Charged Nanoltration Membranes Using Interfacial Polymerization, Followed by Plasma Graft Polymerization. J. Chem. Eng. Jpn. 2021, 54, 28–34. [Google Scholar] [CrossRef]
- Wang, Z.; You, X.D.; Yang, C.; Li, W.W.; Li, Y.F.; Li, Y.; Shen, J.L.; Zhang, R.N.; Su, Y.L.; Jiang, Z.Y. Ultrathin polyamide nanofiltration membranes with tunable chargeability for multivalent cation removal. J. Membr. Sci. 2022, 642, 119971. [Google Scholar] [CrossRef]
- Wang, L.; Lin, Y.K.; Tang, Y.H.; Ren, D.; Wang, X.L. Fabrication of oppositely charged thin-film composite polyamide membranes with tunable nanofiltration performance by using a piperazine derivative. J. Membr. Sci. 2021, 634, 119405. [Google Scholar] [CrossRef]
- Gohil, J.M.; Ray, P. A review on semi-aromatic polyamide TFC membranes prepared by interfacial polymerization: Potential for water treatment and desalination. Sep. Purif. Technol. 2017, 181, 159–182. [Google Scholar] [CrossRef]
- Petersen, R.J. Composite reverse-osmosis and nanofiltration membranes. J. Membr. Sci. 1993, 83, 81–150. [Google Scholar] [CrossRef]
- Jiang, Z.B.; Miao, J.; He, Y.T.; Tu, K.; Chen, S.Q.; Zhang, R.; Zhang, L.; Yang, H. A novel positively charged composite nanofiltration membrane based on polyethyleneimine with a tunable active layer structure developed via interfacial polymerization. RSC Adv. 2019, 9, 10796–10806. [Google Scholar] [CrossRef] [Green Version]
- Ge, M.N.; Wang, X.Y.; Wu, S.Y.; Long, Y.L.; Yang, Y.; Zhang, J.F. Highly antifouling and chlorine resistance polyamide reverse osmosis membranes with g-C3N4 nanosheets as nanofiller. Sep. Purif. Technol. 2021, 258, 117980. [Google Scholar] [CrossRef]
- Lu, Y.; Sun, D.S.; Lu, Y.; Yan, Y.S.; Hu, B. Zwitterion imprinted composite membranes with obvious antifouling character for selective separation of Li ions. Korean J. Chem. Eng. 2020, 37, 707–715. [Google Scholar] [CrossRef]
- Shahabi, S.S.; Azizi, N.; Vatanpour, V. Synthesis and characterization of novel g-C3N4 modified thin film nanocomposite reverse osmosis membranes to enhance desalination performance and fouling resistance. Sep. Purif. Technol. 2019, 215, 430–440. [Google Scholar] [CrossRef]
- Mi, Z.M.; Liu, Z.X.; Jin, S.Z.; Zhang, D.W.; Wang, D.M. Positively charged nanofiltration membrane prepared by polydopamine deposition followed by crosslinking for high efficiency cation separation. Polym. Test. 2021, 93, 107000. [Google Scholar] [CrossRef]
- Li, F.; Yu, Z.X.; Shi, H.; Yang, Q.B.; Chen, Q.; Pan, Y.; Zeng, G.Y.; Yan, L. A Mussel-inspired method to fabricate reduced graphene oxide/g-C3N4 composites membranes for catalytic decomposition and oil-in-water emulsion separation. Chem. Eng. J. 2017, 322, 33–45. [Google Scholar] [CrossRef]
- Ghalamchi, L.; Aber, S.; Vatanpour, V.; Kian, M. Comparison of NLDH and g-C3N4 nanoplates and formative Ag3PO4 nanoparticles in PES microfiltration membrane fouling: Applications in MBR. Chem. Eng. Res. Des. 2019, 147, 443–457. [Google Scholar] [CrossRef]
- Mulungulungu, G.A.; Mao, T.T.; Han, K. Two-dimensional graphitic carbon nitride-based membranes for filtration process: Progresses and challenges. Chem. Eng. J. 2022, 427, 130955. [Google Scholar] [CrossRef]
- Zhang, M.L.; Yang, Y.; An, X.Q.; Hou, L. A critical review of g-C3N4-based photocatalytic membrane for water purification. Chem. Eng. J. 2021, 412, 128663. [Google Scholar] [CrossRef]
- Yang, F.; Ding, G.Y.; Wang, J.; Liang, Z.H.; Gao, B.; Dou, M.M.; Xu, C.; Li, S. Self-cleaning, antimicrobial, and antifouling membrane via integrating mesoporous graphitic carbon nitride into polyvinylidene fluoride. J. Membr. Sci. 2020, 606, 118146. [Google Scholar] [CrossRef]
- Bi, Q.Y.; Zhang, C.; Liu, J.D.; Cheng, Q.; Xu, S.A. A nanofiltration membrane prepared by PDA-C3N4 for removal of divalent ions. Water. Sci. Technol. 2020, 81, 253–264. [Google Scholar] [CrossRef]
- Zhang, C.; Liu, J.D.; Huang, X.Y.; Chen, D.Y.; Xu, S.A. Multistage Polymerization Design for g-C3N4 Nanosheets with Enhanced Photocatalytic Activity by Modifying the Polymerization Process of Melamine. ACS Omega. 2019, 4, 17148–17159. [Google Scholar] [CrossRef] [Green Version]
- Wu, Z.M.; Cui, X.M.; Zheng, M.P. pH Value Change Trends in Salt Brine Evaporation. Chin. J. Inorg. Chem. 2012, 28, 297–301. [Google Scholar]
- Michaels, A.S. Analysis and prediction of sieving curves for ultrafiltration membranes: A universal correlation. Sep. Sci. Technol. 1980, 15, 1305–1322. [Google Scholar] [CrossRef]
- Singh, S.; Khulbe, K.C.; Matsuura, T.; Ramamurthy, P. Membrane characterization by solute transport and atomic force microscopy. J. Membr. Sci. 1998, 142, 111–127. [Google Scholar] [CrossRef]
- Shao, L.; Cheng, X.Q.; Liu, Y.; Quan, S.; Ma, J.; Zhao, S.Z.; Wang, K.Y. Newly developed nanofiltration (NF) composite membranes by interfacial polymerization for Safranin O and Aniline blue removal. J. Membr. Sci. 2013, 430, 96–105. [Google Scholar] [CrossRef]
- Meireles, M.; Bessieres, A.; Rogissart, I.; Aimar, P.; Sanchez, V. An appropriate molecular-size parameter for porous membranes calibration. J. Membr. Sci. 1995, 103, 105–115. [Google Scholar] [CrossRef]
- Bi, Q.Y.; Zhang, C.; Liu, J.D.; Liu, X.L.; Xu, S.A. Positively charged zwitterion-carbon nitride functionalized nanofiltration membranes with excellent separation performance of Mg2+/Li+ and good antifouling properties. Sep. Purif. Technol. 2021, 257, 117959. [Google Scholar] [CrossRef]
- Ma, T.Y.; Tang, Y.H.; Dai, S.; Qiao, S.Z. Proton-Functionalized Two-Dimensional Graphitic Carbon Nitride Nanosheet: An Excellent Metal-/Label-Free Biosensing Platform. Small 2014, 10, 2382–2389. [Google Scholar] [CrossRef]
- Hao, Q.; Jia, G.H.; Wei, W.; Vinu, A.; Wang, Y.; Arandiyan, H.; Ni, B.J. Graphitic carbon nitride with different dimensionalities for energy and environmental applications. Nano Res. 2020, 13, 18–37. [Google Scholar] [CrossRef] [Green Version]
- Xu, P.; Wang, W.; Qian, X.M.; Wang, H.B.; Guo, C.S.; Li, N.; Xu, Z.W.; Teng, K.Y.; Wang, Z. Positive charged PEI-TMC composite nanofiltration membrane for separation of Li+ and Mg2+ from brine with high Mg2+/Li+ ratio. Desalination 2019, 449, 57–68. [Google Scholar] [CrossRef]
- Sheng, F.M.; Hou, L.X.; Wang, X.X.; Irfana, M.; Shehzada, M.A.; Wu, B.; Renc, X.; Gea, L.; Xua, T.W. Electro-nanofiltration membranes with positively charged polyamide layer for cations separation. J. Membr. Sci. 2020, 594, 117453. [Google Scholar] [CrossRef]
- Wagner, C.D.; Riggs, W.M.; Davis, L.E.; Moulder, J.F.; Muilenberg, G.E. A Reference Book of Standard Data for Use in X-ray Photoelectron Spectroscopy; Perkin-Elmer Corporation: Waltham, MA, USA, 1979. [Google Scholar]
- Shen, Q.; Xu, S.J.; Dong, Z.Q.; Zhang, H.Z.; Xu, Z.L.; Tang, C.Y. Polyethyleneimine modified carbohydrate doped thin film composite nanofiltration membrane for purification of drinking water. J. Membr. Sci. 2020, 610, 118220. [Google Scholar] [CrossRef]
- Wang, M.; Dong, W.J.; Guo, Y.L.; Zhai, Z.; Feng, Z.X.; Hou, Y.F.; Li, P.; Niu, Q.J. Positively charged nanofiltration membranes mediated by a facile polyethyleneimine- Noria interlayer deposition strategy. Desalination 2021, 513, 114836. [Google Scholar] [CrossRef]
- Li, P.F.; Lan, H.L.; Chen, K.; Ma, X.P.; Wei, B.X.; Wang, M.; Li, P.; Hou, Y.F.; Niu, Q.J. Novel high-flux positively charged aliphatic polyamide nanofiltration membrane for selective removal of heavy metals. Sep. Purif. Technol. 2022, 280, 119949. [Google Scholar] [CrossRef]
- Chiang, Y.C.; Hsub, Y.Z.; Ruaan, R.C.; Chuang, C.J.; Tung, K.L. Nanofiltration membranes synthesized from hyperbranched polyethyleneimine. J. Membr. Sci. 2009, 326, 19–26. [Google Scholar] [CrossRef]
- Fu, Q.; Halim, A.; Kim, J.; Scofield, J.; Gurr, P.A.; Kentish, S.E.; Qiao, G.G. Highly permeable membrane materials for CO2 capture. J. Mater. Chem. A 2013, 1, 13769–13778. [Google Scholar] [CrossRef]
- Li, P.Y.; Wang, Z.; Li, W.; Liu, Y.N.; Wang, J.X.; Wang, S.C. High-performance multilayer composite membranes with mussel-inspired polydopamine as a versatile molecular bridge for CO2 separation. ACS Appl. Mater. Interfaces 2015, 28, 15481–15493. [Google Scholar] [CrossRef]
- Sheng, M.L.; Dong, S.L.; Qiao, Z.H.; Li, Q.H.; Yuan, Y.; Xing, G.Y.; Zhao, S.; Wang, J.X.; Wang, Z. Large-scale preparation of multilayer composite membranes for post-combustion CO2 capture. J. Membr. Sci. 2021, 636, 119595. [Google Scholar] [CrossRef]
- Zhang, H.Z.; Xu, Z.L.; Ding, H.; Tang, Y.J. Positively charged capillary nanofiltration membrane with high rejection for Mg2+ and Ca2+ and good separation for Mg2+ and Li+. Desalination 2017, 420, 158–166. [Google Scholar] [CrossRef]
- Guo, C.S.; Li, N.; Qian, X.M.; Shi, J.; Jing, M.L.; Teng, K.Y.; Xu, Z.W. Ultra-thin double Janus nanofiltration membrane for separation of Li+ and Mg2+: “Drag” effect from carboxyl-containing negative interlayer. Sep. Purif. Technol. 2020, 230, 115567. [Google Scholar] [CrossRef]
- Xu, P.; Hong, J.; Qian, X.M.; Xu, Z.Z.; Xia, H.; Ni, Q.Q. “Bridge” graphene oxide modified positive charged nanofiltration thin membrane with high efficiency for Mg2+/Li+ separation. Desalination 2020, 488, 114522. [Google Scholar] [CrossRef]
- Bi, Q.Y.; Li, Q.; Tian, Y.; Lin, Y.K.; Wang, X.L. Hydrophilic modification of poly (vinylidene fluoride) membrane with poly (vinyl pyrrolidone) via a cross-linking reaction. J. Appl. Polym. Sci. 2013, 127, 394–401. [Google Scholar] [CrossRef]
- Xu, Z.; Wu, T.; Shi, J.; Teng, K.; Wang, W.; Ma, M.; Li, J.; Qian, X.; Li, C.; Fan, J. Photocatalytic antifouling PVDF ultrafiltration membranes based on synergy of graphene oxide and TiO2 for water treatment. J. Membr. Sci. 2016, 520, 281–293. [Google Scholar] [CrossRef]
- Zinadini, S.; Zinatizadeh, A.A.; Rahimi, M.; Vatanpour, V.; Zangeneh, H. Preparation of a novel antifouling mixed matrix PES membrane by embedding graphene oxide nanoplates. J. Membr. Sci. 2014, 453, 292–301. [Google Scholar] [CrossRef]













| No. | Membrane | Deposition of PDA (h) | Content of g-C3N4-96 (wt%) |
|---|---|---|---|
| M0 | PES | - | - |
| M1 | PES/PEI/TMC | - | - |
| M2 | PES/PEI-g-C3N4-96/TMC | - | 0.02 |
| M3 | PES/DA/PEI/TMC | 2 h | - |
| M4 | PES/DA/PEI-g-C3N4-96/TMC | 2 h | 0.02 |
| M5 | PES/DA-g-C3N4-96/PEI/TMC | 2 h | 0.02 |
| pH | Li+ | Na+ | K+ | Ca2+ | Mg2+ | Ba2+ | Al3+ | B3+ | Mg2+/Li+ | |
|---|---|---|---|---|---|---|---|---|---|---|
| 1 | 4.23 | 4.846 | 4.930 | 0.3850 | 0.2698 | 132.7 | 5.454 | 0.7422 | 5.556 | 27.38 |
| 2 | 8.56 | 0.0242 | 0.0247 | 0.0019 | 0.0013 | 0.6634 | 0.0272 | 0.0037 | 0.2778 | 27.38 |
| Sample | Elemental Relative Content (at %) | ||||
|---|---|---|---|---|---|
| C | N | O | Cl | S | |
| PEI+TMC layer | 70.19 | 11.08 | 17.37 | 1.35 | - |
| PDA-g-C3N4 layer | 73.68 | 6.95 | 16.03 | 0.89 | 2.44 |
| PES layer | 79.88 | 2.96 | 14.08 | - | 3.08 |
| Membrane | Operation Conditions | Feed Solution | Rejection Rate of Mg2+ and SF | Permeance (L·m−2·h−1·bar−1) |
|---|---|---|---|---|
| M5 This work | 0.4 MPa, 20 °C | 2.0 g⋅L−1 (salt solution), 20 | 98.4%, 48.07 | 10.19 to 2.0 g⋅L−1 MgCl2 + LiCl |
| 2.0 g⋅L−1 (salt solution), 48 | 93.7%, 12.78 | 8.27 to 2.0 g⋅L−1 MgCl2 + LiCl | ||
| 2.0 g⋅L−1 (salt solution), 84 | 92.4%, 10.86 | 8.66 to 2.0 g⋅L−1 MgCl2 + LiCl | ||
| 3.0 g⋅L−1 (salt lake brine), 27 | 88.9%, 12.79 | 3.80 to 3.0g⋅L−1 salt lake brine | ||
| PES/PEI/TMC [39] | 0.8 MPa, 25 °C | 2.0 g⋅L−1 (salt solution), 20 | 94.8%, 20.00 | 3.7 to 2.0 g⋅L−1 MgCl2 |
| PES/PEI/TMC [49] | 0.4 MPa, 20 °C | 2.0 g⋅L−1 (salt solution), 21.4 | 96.9%, 7.13 | 14 to pure water |
| PES/PEI/TMC [50] | 0.8 MPa, 25 °C | 2.0 g⋅L−1 (salt solution), 30 | no report, 12.15 | 4.17 to pure water |
| 2.0 g⋅L−1 (salt solution), 60 | 95.6%, 5.80 | 3.40 to pure water | ||
| (PES-GO)/PEI/TMC [51] | 0.3 MPa, 25 °C | 2.0 g⋅L−1 (salt solution), 20 | 95.1%, 16.13 | 11.15 to 2.0 g⋅L−1 MgCl2 + LiCl |
Publisher’s Note: MDPI stays neutral with regard to jurisdictional claims in published maps and institutional affiliations. |
© 2022 by the authors. Licensee MDPI, Basel, Switzerland. This article is an open access article distributed under the terms and conditions of the Creative Commons Attribution (CC BY) license (https://creativecommons.org/licenses/by/4.0/).
Share and Cite
Ma, L.; Bi, Q.; Tang, Y.; Zhang, C.; Qi, F.; Zhang, H.; Gao, Y.; Xu, S. Fabrication of High-Performance Nanofiltration Membrane Using Polydopamine and Carbon Nitride as the Interlayer. Separations 2022, 9, 180. https://doi.org/10.3390/separations9070180
Ma L, Bi Q, Tang Y, Zhang C, Qi F, Zhang H, Gao Y, Xu S. Fabrication of High-Performance Nanofiltration Membrane Using Polydopamine and Carbon Nitride as the Interlayer. Separations. 2022; 9(7):180. https://doi.org/10.3390/separations9070180
Chicago/Turabian StyleMa, Lei, Qiuyan Bi, Yuanhui Tang, Chao Zhang, Fuju Qi, Hao Zhang, Yifan Gao, and Shiai Xu. 2022. "Fabrication of High-Performance Nanofiltration Membrane Using Polydopamine and Carbon Nitride as the Interlayer" Separations 9, no. 7: 180. https://doi.org/10.3390/separations9070180
APA StyleMa, L., Bi, Q., Tang, Y., Zhang, C., Qi, F., Zhang, H., Gao, Y., & Xu, S. (2022). Fabrication of High-Performance Nanofiltration Membrane Using Polydopamine and Carbon Nitride as the Interlayer. Separations, 9(7), 180. https://doi.org/10.3390/separations9070180

