Abstract
Developing and utilizing capture and storage technologies for CO2 has become a critical research topic due to the significant greenhouse effect caused by excessive CO2 emissions. A conventional physical absorption process for CO2 capture is polyethylene glycol dimethyl ether (NHD); however, its limited application range is caused by its poor absorption of CO2 at low pressures. In this work, the CO2 absorption of NHD was enhanced by combining NHD with a novel chemical absorbent 2-methylimidazole (2-mIm)-ethylene glycol (EG) solution to improve CO2 absorption. Viscosity and CO2 solubility were examined in various compositions. The CO2 solubility in the mixed solution was found to be at maximum when the mass fractions of NHD, 2-mIm, and EG were 20%, 40%, and 40%, respectively. In comparison to pure NHD, the solubility of CO2 in this mixed solution at 30 °C and 0.5 MPa increased by 161.2%, and the desorption heat was less than 30 kJ/mol. The complex solution exhibits high selectivity and favorable regeneration performance in the short term. However, it is more sensitive to moisture content. The results of this study can provide important data to support the construction of new low-energy solvent systems and the development of novel CO2 capture processes.
1. Introduction
The accelerated pace of global industrialization has triggered a dramatic surge in fossil fuel consumption, leading to continuously rising CO2 emissions and exacerbated climate challenges [1]. To achieve carbon neutrality, the development of high-efficiency carbon capture and storage (CCS) technologies has become imperative. Among existing methods, physical and chemical absorption techniques dominate industrial applications due to their complementary advantages under specific operational conditions. In addition, researchers are attempting to develop new types of absorbents, such as composite solvents, nanofluids, phase change solvents, and others [2,3].
The physical absorption method uses the difference in solubility of the different gases in a solvent to selectively separate CO2 [4,5,6,7]. Typical physical absorbers, such as polyethylene glycol dimethyl ether (NHD) [8,9], have the advantages of low regeneration energy, a simple regeneration process, stable solvent, etc., and are especially suitable for low-temperature and high-pressure conditions. In the molecular structure of NHD, the oxygen atom of the ether functional group behaves as a base, so the NHD solution has a strong ability to dissolve and absorb acidic gases (e.g., H2S, COS, CO2, etc.) [10]. It is notable that as the temperature decreases, the solubility of NHD for CO2 increases, but the solubility for H2 and N2 decreases. This property enhances CO2 selectivity under low-temperature conditions (−5 to 0 °C), significantly reducing solvent consumption. However, since NHD follows Henry’s law, it is ineffective for low-pressure CO2 sources (e.g., flue gas), severely limiting industrial applications. The hybridization of physical and chemical absorbents has emerged as a primary strategy to address the low absorption capacity of physical solvents under reduced pressures.
The chemical absorption method primarily separates CO2 from other gases by forming intermediate compounds through reversible chemical reactions between CO2 and chemical absorbents [11,12,13]. The alkanolamine-based method has been extensively studied and applied in recent decades, owing to its high absorption rate under atmospheric pressure, cost-effectiveness, and enhanced chemical absorption performance under high-pressure conditions [14,15,16,17]. However, it also exhibits several common drawbacks of chemical absorbents, such as high CO2 desorption temperature, substantial regeneration energy consumption, susceptibility to oxidative degradation, and strong corrosiveness. Primary mitigation strategies involve formulating complex solutions with efficient physical absorbents or developing novel chemical absorbents [18,19]. Therefore, combining physical and chemical absorbents to form complex solutions has become a promising strategy to balance absorption performance and energy consumption.
2-Methylimidazole (2-mIm) is a hygroscopic white crystalline powder that is readily soluble in water, alcohols, and acetone but is insoluble in benzene. Imidazole derivatives are widely employed for synthesizing ionic liquids, whereby -NH/-NH2 groups on imidazolium cations chemically capture CO2. 2-mIm is an important ligand for the synthesis of zeolitic imidazolate frameworks such as ZIF-8 [20]. ZIFs primarily capture CO2 through physical adsorption, while the 2-mIm solution captures CO2 mainly through chemical absorption. As a result, 2-mIm exhibits a stronger CO2 absorption capacity. However, compared to the adsorption of ZIF-8, its desorption heat is higher. Mirroring the structure of imidazolium cations, 2-mIm demonstrates a comparable CO2 absorption performance with lower viscosity and density [21,22]. Crucially, it exhibits superior thermal/oxidative stability [23] and reduced reaction heat relative to conventional amine solutions [24,25]. In recent years, Liu et al. [26] found that the mixed solution formed by adding a certain amount of 2-mIm to ethylene glycol showed excellent CO2 absorption performance, with low desorption heat consumption and excellent cyclic regeneration, which has good potential for application. Chen et al. improved the physical absorption process of propylene carbonate (PC) using this mixed solution [27]. Li et al. developed a complex solution by adding an aqueous 2-methylimidazole (2-mIm) solution to N-methylpyrrolidone (NMP) [28]. The complex solution demonstrated significantly high CO2 selectivity and excellent recyclability. The mixed solution greatly increased the CO2 solubility performance through chemical absorption while maintaining the benefits of low energy consumption for physical absorbent desorption. Especially at low partial pressures of CO2, considerable CO2 absorption can still be achieved due to the presence of chemical absorbents. These works have demonstrated the potential of 2-mIm to improve the conventional physical absorption process.
In this work, a mixed system with 2-mIm as the chemical adsorbent and ethylene glycol as the co-solvent is proposed to optimize the CO2 absorption rate and capacity of the physical solvent NHD. Through a thorough evaluation of parameters such as CO2 absorption capacity, desorption energy consumption, viscosity, selectivity, and regeneration, the composition of this mixed solution was optimized. Currently, no literature has reported the use of a complex solution comprising 2-mIm (with ethylene glycol as a cosolvent) and NHD to enhance the absorption performance of NHD under low-pressure conditions. The results of this project can provide important data to support the further construction of new processes for the low-energy consumption of water-based solvent systems and the development of new processes for CO2 capture.
2. Materials and Methods
2.1. Experimental Materials
The purity and source of the reagents and gases used are listed in Table 1.
Table 1.
Chemicals used in the experiments in this study.
2.2. Experimental Apparatus and Procedure
The CO2 absorption apparatus is depicted in Figure 1 and is made up of three main parts: a monitoring computer, an absorption cell, and an intermediate cell. The absorption cell has a volume of 115 mL, while the intermediate cell and pipeline have an effective volume of 109 mL. Both the absorption and intermediate cells are placed in a constant-temperature water bath, with the water bath set to the desired experimental temperature. The purpose of setting the intermediate cell is to ensure that the temperature of the gas entering the absorption cell remains consistent. Meanwhile, the amount of gas entering the absorption cell is determined by measuring the pressure change before and after gas intake in the intermediate cell. The intermediate cell contains a piston, and the lower part of the piston is connected to the manual pump. The purpose of the manual pump is to increase the pressure in the middle tank when the gas pressure in the vessel is low. A set of temperature and pressure sensors is installed in both the intermediate cell and absorption cell. The temperature sensor used is a Pt100-type thermocouple, with an accuracy of ±0.1 K. The pressure sensors have a precision of ±10 kPa, and the temperature control accuracy of the constant temperature water bath is ±0.1 K. Data on temperature and pressure are collected by a data acquisition system (DAS).
Figure 1.
Diagram of the CO2 absorption apparatus.
The experimental procedures are as follows. A mixed solution with a volume of 70 mL was transferred into the absorption cell, while the intermediate cell was filled with gas at a specific pressure. The water bath was set to the desired experimental temperature. The absorption cell was evacuated to remove the air inside. When the temperatures in both the intermediate cell and the absorption cell reached the set point, the pipeline between them was connected, and the gas in the intermediate cell was released into the absorption cell. Once the pressure in the absorption cell reached the target pressure, the inlet valve of the absorption cell was closed. The temperature and pressure before and after releasing the gas in the intermediate cell were recorded. The rotor speed of the absorption cell was set to a constant 300 rpm, and the temperature and pressure variations within the cell were monitored using the online data acquisition system. After 2 h, when the pressure in the absorption cell stabilized and the absorption reached equilibrium, the gas temperature and equilibrium pressure in the absorption cell were recorded. The procedure was repeated to determine a series of temperature and equilibrium pressure points. The solubility of the gas in the absorption cell at equilibrium pressure was then calculated by applying the equation of state. Each group of experiments was repeated at least three times, and the average value was taken as the final data. Relative error was used to represent the testing accuracy. Its definition is (Measured value − Average value)/Measured value × 100%. The relative error of all the data is within 5%.
In the desorption and regeneration experiment, the system after absorption equilibrium was lowered to atmospheric pressure and then connected to a vacuum pump to carry out the vacuum desorption operation. The operation time was 30 min. After desorption, the inlet-absorption equilibrium operation was repeated to calculate the amount of carbon dioxide absorbed by the desorbed solution, which was compared with the fresh solution to determine whether the solution was completely desorbed.
The viscosity of the absorbent was measured using Anton Paar’s Rheolab QC. For this experiment, 35–40 mL of the sample was placed into the sample chamber and the temperature control system was activated, with the temperature set to the target value. After allowing the temperature to stabilize, the rotor was started and its speed was set to 100 rpm. The measurement duration was set to 300 s, with a sampling interval of 10 s, and the measurements were taken for 30 cycles. The average viscosity value was calculated from 30 measurements to ensure the accuracy of the results.
In this experiment, nine types of absorbents with varying component ratios were prepared, and all experimental conditions are summarized in Table 2.
Table 2.
Absorbent composition.
2.3. Experimental Data Processing
The experiment uses the principle of the conservation of total gas molar quantity to calculate the solubility of CO2 in the absorbent. For each set of equilibrium experiments, the amount of total gas, nt, entering the absorption cell from the intermediate cell was calculated using the following equation:
where nt is the difference in the amount of CO2 substance contained in the intermediate cell before and after venting, representing the total amount of CO2 substance put into the absorption cell; is the initial amount of gas in the intermediate cell. is the remaining amount of gas in the intermediate cell after injection into the absorption cell. The amount of gas is calculated using the equation of state, combining data on temperature, pressure, and compressibility factor. Pb1, T1 and Pb2, T2 are the pressure and temperature before and after venting of the intermediate cell, respectively; Z1 and Z2 are the gas compressibility factors corresponding to Pb1 and Pb2, which can be calculated by the Benedict–Webb–Rubin–Storrow (BWRS) equation of state [29]; Vb is the volume of the intermediate cell, and R is the ideal gas constant.
After absorption equilibrium is achieved, the amount of CO2 that is still present in the absorption cell, or nE, is:
where PE is the remaining equilibrium pressure, Vg is the remaining gas volume, and ZE is the compression factor in the absorption cell.
The material amount of CO2 absorbed by the absorbent(na) is:
The solubility Sa of the absorbent for CO2 is:
where Va is the volume of the absorbent.
To determine the solubility of N2 in the absorbent, Equations (1)–(4) can also be used.
The desorption heat of CO2 from the absorbent, Q, can be calculated using the Clausius–Clapeyron equation (Equation (5)) [30]. The Clausius–Clapeyron equation describes the relationship between the vapor pressure and temperature of a substance. It is a key equation in thermodynamics and is used to understand phase transitions, such as the liquid–vapor phase change.
In Equation (5), at a certain CO2 solubility, PE1 and PE2 are the equilibrium pressures at two different temperatures of T1 and T2, respectively.
3. Experimental Results and Discussion
3.1. Viscosity of the Mixed Solution
The viscosity variation rule with temperature for mixed solutions with varying compositions is displayed in Figure 2. NHD has low viscosity characteristics, and the viscosity is only 4.13 mPa.s at 30 °C. EG, as the additive, has a viscosity of 14 mPa·s at 30 °C. When 2-mIm–EG is added, the viscosity of the resulting mixed solution increases. As can be seen from the figure, the viscosity of the mixed solution is directly proportional to the 2-mIm content, and the increase in viscosity becomes more obvious when the mass fraction of 2-mIm exceeds 30%. For the 2-mIm–EG mixed solution, when the 2-mIm content reached 43% (mixed solution C3), the viscosity of the mixture solution reached 28.73 mPa·s at 30 °C. When the NHD mass fraction was 20% and both 2-mIm and EG mass fractions were 40%, the viscosity of the mixed solution (C5) was 25.56 mPa·s, and the viscosity rapidly decreased by 36% when the temperature increased by 10 °C. Therefore, the viscosity of the mixed solution can be further reduced by appropriately increasing the absorption temperature.
Figure 2.
Viscosity–temperature curves of mixed solutions with different compositions.
3.2. CO2 Solubility in 2-mIm–EG Solution
In this study, the chemical absorbent is a 2-mIm–EG mixed solution, in which 2-mIm is the primary chemical absorbent and ethylene glycol is the co-solvent. Figure 3 shows the CO2 solubility at 30 °C of the mixed 2-mIm–EG solutions with different compositions, where C2* (40 wt.% 2-mIm–60 wt.% EG) is the literature reference value [25], which is used to check the accuracy of the measured data. The figure shows that the C2 component’s solubility agrees with the data from the literature, demonstrating the accuracy of the measured data.
Figure 3.
CO2 solubility in a 2-mIm–EG mixed solution at 30 °C [25,31].
As shown in Figure 3, the CO2 solubility gradually increased with increasing pressure, but the rate of increase slowed down. The measured three sets of 2-mIm–EG mixed solutions all contained more than 30 wt.% of 2-mIm, but the change in CO2 solubility was not significant with the increase in 2-mIm content. This indicated the existence of an optimal concentration range for 2-mIm, which needs to be further determined in conjunction with the results of subsequent experiments. Under low-pressure conditions, the CO2 solubility of the 2-mIm–EG mixed solution was significantly higher than that of the physical absorber NHD, which also provided better feasibility for the subsequent improvement of NHD. It can also be seen that the CO2 absorption capacity of ethylene glycol is relatively small and primarily serves as a co-solvent [31].
Figure 4 shows the CO2 solubility fluctuation rule with pressure for a C2 mixed solution (40 wt.% 2-mIm–60 wt.% EG) at various temperatures. As can be seen from Figure 4, the CO2 solubility in the C2 mixed solution decreases with increasing temperature. However, when the pressure is high, the mixed solution still retains considerable CO2, absorbed under high-temperature conditions. This shows that under high-pressure conditions, the mixed solution can be suitably raised in terms of the absorption temperature, which lowers the absorbent’s viscosity and lowers the energy required for the ensuing desorption process.
Figure 4.
Comparison of the solubility of the C2 mixed solution at different temperatures.
3.3. CO2 Absorption Properties of NHD-2-mIm–EG Mixed Solution
This study examined the impact of compositional changes on CO2 absorption capacity by comparing the CO2 dissolution equilibrium curves (Figure 5) of NHD-2-mIm–EG mixed solutions with varying ratios at 30 °C. As shown in Figure 5, the CO2 solubility curves (C4–C7) of the NHD mixed solutions obtained after adding 2-mIm–EG are almost always above the pure NHD solubility curve (C9), which demonstrates a certain improvement effect. The difference in CO2 solubility is caused by the difference in composition.
Figure 5.
Solubility of CO2 in mixed NHD-2-mIm–EG solutions with different compositions [28].
Figure 5 illustrates the impact of different NHD contents on CO2 solubility. In the C4 and C6 mixed solutions, the 2-mIm content was fixed at 33 wt.%, while the NHD contents were 17 wt.% and 34 wt.%, respectively. As shown in Figure 5, the C6 mixed solution demonstrates a higher CO2 absorption capacity compared to the C4 mixed solution. When the equilibrium pressure exceeds 0.9 MPa, the CO2 solubility of the C4 mixed solution is lower than that of pure NHD, whereas the CO2 solubility of the C6 mixed solution only becomes lower than that of pure NHD at 1.3 MPa. This behavior is attributed to the higher NHD content in the C6 mixed solution, which, as pressure increases, enhances the physical absorption contribution, thereby boosting CO2 absorption and widening the pressure range for optimal performance of the C6 mixed solution.
Figure 6b shows the impact of varying 2-mIm concentrations on CO2 solubility. The contents of 2-mIm in C5 and C6 mixed solutions were 40 wt.% and 33 wt.%, respectively. The solubility of CO2 in NHD follows Henry’s law, with solubility increasing linearly as the pressure increases. In C5 and C6, the absorption involved a mixture of chemical absorption by 2-mIm and NHD, combining the effects of both chemical and physical absorption. As a result, the trends observed for C5, C6, and C9 varied significantly. At low pressures, chemical absorption predominantly contributed, while at high pressures, physical absorption became the main process. As shown in the figure, when the pressure exceeded a certain value, the CO2 solubility in pure NHD was higher than in the mixed solution. When the absorption equilibrium pressure surpassed 0.5 MPa, the CO2 solubility in the C5 mixed solution was noticeably greater than that in the C6 mixed solution. This is because the content of 2-mIm in the C5 mixed solution was higher than that of C6 by about 7 wt.%, so the chemical absorption was stronger and increased the chemical absorption of CO2. Therefore, increasing the addition of 2-mIm can improve NHD absorption performance; however, this is constrained by the viscosity of the mixed solution and the solubility of 2-mIm in ethylene glycol. The mass fraction of 2-mIm in the mixed solution should not be too high, and it is recommended to be controlled within 40 wt.%. Meanwhile, the physical absorbent NHD content should be above 20% to ensure the mixed solution’s pressure applicability range and the CO2 absorption effect at high pressure. Overall, the best CO2 absorption effect is shown by the C5 mixed solution (20 wt.% NHD–40 wt.% 2-mIm–40 wt.% EG) in Figure 5. Compared with the reported 2-mIm–NMP–H2O aqueous solution [30], as shown in Figure 5, the mixed solution C5 in this study exhibited higher CO2 solubility.
Figure 6.
Effect of different compositions on CO2 solubility in mixed NHD-2-mIm–EG solutions: (a) the effect of NHD content, (b) the effect of 2-mIm content.
Table 3 shows the percentage increase in CO2 solubility of the C5 mixed solution (SC5) compared to the pure NHD (SNHD) at various pressures, using an absorption temperature of 30 °C as an example. According to the table, the modified NHD with 2-mIm of CO2 solubility increased significantly under low pressure, increasing by 161.2% at an equilibrium pressure of 0.5 MPa. However, the CO2 solubility decreased as the absorption equilibrium pressure increased, and when the equilibrium pressure reached 1 MPa, the C5 mixed solution’s CO2 solubility increased by 22.22% compared to the pure NHD solvent. As a result, this modified NHD solution applies to a wider range of pressures, and the absorption is significantly improved.
Table 3.
Incremental CO2 solubility (Sr) of the C5 mixed solution compared to pure NHD solvent at different pressures at 30 °C.
3.4. CO2 Isothermal Absorption Curves and Desorption Heat Consumption of Mixed Solutions
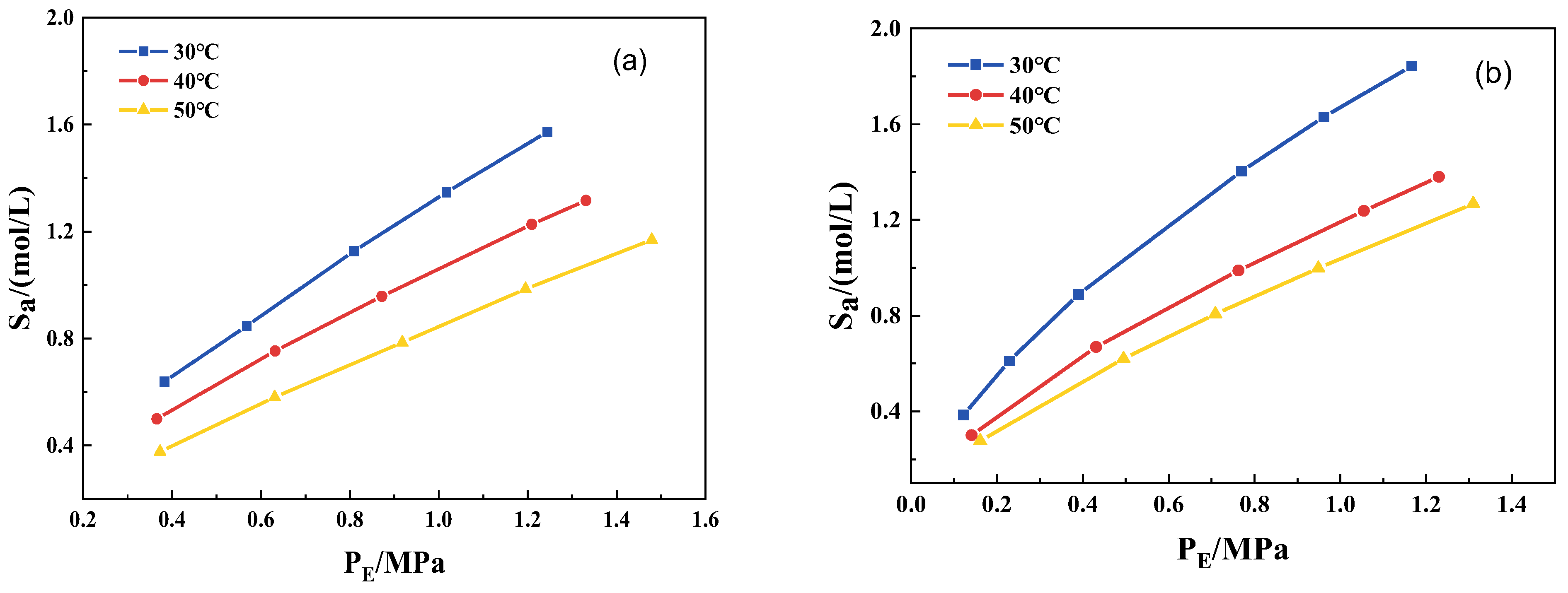
Figure 7 shows the CO2 solubility curve at various temperatures in the C4 and C5 mixed solution, which is used to examine how easily the mixed solution desorbs. As can be seen from the figure, the CO2 solubility in the mixed solutions decreased significantly with the increase in temperature. Taking the C5 mixed solution as an example (Figure 7b), the CO2 solubility at 40 °C drops by 30.03% compared to 30 °C, and at 50 °C, it drops by 40.84% compared to 30 °C when the equilibrium pressure is 0.5 MPa. With the increase in absorption equilibrium pressure, the decrease in CO2 solubility caused by the increase in temperature decreased slightly. At 1 MPa, the CO2 solubility decreased by 28.34% at 40 °C compared with 30 °C, and decreased by 37.78% at 50 °C compared with 30 °C. Since CO2 solubility is low at low pressures, desorption and regeneration of the mixed solution can be achieved by pressure reduction and heating. In the experimental process, it was found that the mixed C5 solution could be fully regenerated by vacuum treatment for half an hour after the full equilibrium of CO2 absorption at 30 °C, and the desorption speed could be further accelerated by heating.
Figure 7.
Solubility of CO2 in mixed solutions of C4 (a) and C5 (b) at different temperatures.
The energy consumption of desorption after CO2 absorption by mixed solutions is a key parameter of the absorption process. This study used Equation (5) in conjunction with the CO2 solubility curves of various mixed solutions at various temperatures to determine the CO2 desorption heat of various mixed solutions (Figure 8). Figure 8a shows the desorption heat of the C5 mixed solution under different CO2 solubility. The figure shows that the desorption heat of C5 mixed solution is typically less than 30 kJ/mol, with a desorption heat of 28.8 kJ/mol for a CO2 solubility of 1 mol/L. This is significantly less than the desorption heat of the widely used alcoholic amine aqueous solution. Due to its relatively weak affinity for CO2, the reaction rate between 2-mIm and CO2 is slower than that of other alkanolamine solutions like MEA. However, when compared to MDEA (around 60 kJ/mol) and MEA (around 100 kJ/mol) solutions [32,33]. Meanwhile, the figure indicates that the desorption heat exhibits a trend of gradual decrease as CO2 solubility increases.
Figure 8.
Heat of desorption of C5 mixed solutions at different CO2 solubilities: (a) Heat of desorption corresponding to different CO2 absorptions of C5 solutions; (b) comparison of the heat of desorption of different constituent solutions at 1 mol/L of CO2 absorption.
Figure 8b compares the desorption heat of various mixed solutions with pure NHD. It shows that the desorption heat of the C2 mixed solution (40 wt.%) 2-mIm–60 wt.% EG) can reach 38 kJ/mol, while the desorption heat of the C5 mixed solution (20 wt.% NHD–40 wt.% 2-mIm–40 wt.% EG) is 28.8 kJ/mol. For the C4 mixed solution with lesser 2-mIm content, the desorption heat was 22.91 kJ/mol, and the desorption heat of the physical absorber NHD was the lowest at 16 kJ/mol. The addition of 2-mIm makes the heat of CO2 desorption of NHD increase, but it is still at a low level. Comparing the CO2 absorption capacity and the desorption heat, the modified hybrid C5 solution meets the requirements of high CO2 solubility and low energy consumption for desorption.
3.5. Mixed Solution Selectivity
In addition to examining the CO2 absorption–desorption capacity of the modified NHD solution, this work also investigated its selectivity for N2 to show high separation performance in capturing CO2 from the flue gas, which is mainly a mixture of CO2 and nitrogen. Table 4 shows the variation of solubility and selectivity of CO2 and N2 with pressure at 30 °C for the preferred C5 mixed solution (20 wt.% NHD–40 wt.% 2-mIm–40 wt.% EG).
Table 4.
Solubility and selectivity coefficients for N2 in C5 mixed solutions.
Table 4 shows that the C5 mixed solution’s CO2 selectivity (K) ranges from 33 to 66 across the range of measured pressures and progressively drops as the equilibrium pressure rises. This is because the increase in pressure leads to an increase in the solubility of the gas, so the selectivity of the mixed solution for CO2 deteriorates, but it is still at a high level. In general, the selectivity of the C5 mixture at low pressure is satisfactory, and the selection of this solvent needs to be considered for the appropriate pressure range.
3.6. Water Resistance and the Recyclability of a Mixed Solution
To investigate the influence of raw gas with water on the absorption effect of the mixed solution, this article takes the C5 mixed solution as the basis and adds 10 wt.% of water to obtain the water-containing mixed solution C8 for CO2 solubility determination. The CO2 solubility of the C8 mixed solution at different temperatures is shown in Figure 9a.
Figure 9.
Water resistance and cyclic regeneration of mixed solutions: (a) CO2 absorption performance of C8 (90 wt.% C5 + 10 wt.% H2O) at different temperatures; (b) CO2 absorption curve of the C5 solution after 5 regenerations.
As can be seen in Figure 9a, the CO2 solubility was significantly increased when 10 wt.% of water was added to the C5 mixed solution. The CO2 solubility of the C8 mixed solution at 30 °C and 0.5 MPa is 1.486 mol/L, which is 1.42 times higher than that of the C5 mixed solution. This is because CO2 reacts with 2-mIm through a novel reaction mechanism when water is present, which is comparable to the aqueous solution of alcoholamine. As proposed by Liu et al. [26], the reversible reaction between 2-mIm, CO2, and H2O leads to the formation of bicarbonate (Equation (6)). As a result, the amount of CO2 that is absorbed increases. In contrast to the presence of water, a specific 2-methylimidazole alkyl carbonate salt is formed in the presence of CO2 (Equation (7)), glycol, and 2-methylimidazole, with CO2 acting as a “switch” to trigger this transformation.
Additionally, the presence of water results in the formation of strong chemical bonds between CO2 and 2-mIm, increasing the energy required for the mixed solution’s desorption. It was calculated that the desorption heat of the C8 mixed solution increased to 65.7 kJ/mol when 10 wt.% of water was added, which was 2.28 times higher than the desorption heat of the C5 mixed solution. The carbon dioxide absorption increased when the mixed solution was exposed to water, but the desorption energy consumption was more sensitive to the presence of water. This also provides an idea for future research, which is to suitably add water to the mixed solution containing 2-mIm and then modify the water content to increase the CO2 absorption capacity and regulate the mixed solution’s desorption energy consumption at an appropriate level.
Figure 9b illustrates that the mixed solution C5 performs well in both CO2 desorption and regeneration. After the CO2 has been fully absorbed, it can be fully regenerated by vacuuming and depressurizing for half an hour. The regenerated solution still maintains a relatively stable amount of CO2 that is absorbed after several absorption–regeneration experiments at 30 °C.
4. Conclusions
In this work, 2-mIm was used as a chemical absorption body to be compounded with NHD to form a mixed solution to improve its CO2 absorption performance. The presence of 2-mIm was found to decrease the fluidity of the system and increase the viscosity of the mixed solution; therefore, its content must be kept within a reasonable range. Studies in the CO2 absorption capacity of mixed solutions with varying compositions revealed that the 20 wt.% NHD–40 wt.% 2-mIm–40 wt.% EG mixed solution exhibited optimal absorption under the tested conditions, with preliminary regeneration stability, selectivity, and a desorption heat of less than 30 kJ/mol. When the raw materials were combined with water, free water existed in the mixture, which greatly enhanced the absorption of CO2. However, this resulted in a significant rise in the energy required for the desorption of the mixture.
Author Contributions
Conceptualization, N.L. and Y.W.; methodology, Y.W., Z.W. and H.Y.; validation, B.D. (Bin Ding) and K.F.; formal analysis, X.M. and B.X.; investigation, Y.Z.; resources, Y.W. and Z.W.; data curation, N.L.; writing—original draft preparation, Y.W. and B.D. (Bowen Ding); writing—review and editing, N.L.; visualization, X.F.; supervision, N.L.; project administration, Y.W. and Z.W. All authors have read and agreed to the published version of the manuscript.
Funding
This work was financially supported by the Xinjiang Uygur Region “One Case, One Policy” Strategic Talent Introduction Project (No. XQZX20240054), the Natural Science Foundation of Xinjiang Uygur Autonomous Region (2023D01A18), Karamay Science and Technology Plan Project (2023hjcxrc0045), and Xinjiang Tianshan Innovation Team (No. 2022TSYCTD0002).
Data Availability Statement
The data that support the findings of this paper are available upon request.
Conflicts of Interest
Authors Yan Wu, Zicheng Wang, Hui Yu, Xueli Ma, Baoshen Xu, Yonghu Zhang, Xiaoning Fu, Ke Fei, and Bin Ding were employed by the PetroChina Xinjiang Oilfield Company. The remaining authors declare that the research was conducted in the absence of any commercial or financial relationships that could be construed as a potential conflict of interest.
References
- Luo, Y.M.; Lu, S.J.; Liu, L.; Kang, G.J.; Yang, F.; Zhu, W.J.; Ma, Y.H.; Huang, X.Z.; Chen, Z.; Li, J.H. Mechanistic study and performance enhancement of CO2 absorption using DEHA as a viscosity modifier in biphasic solvent systems. Carbon Capture Sci. Technol. 2025, 15, 100392. [Google Scholar] [CrossRef]
- Zou, J.; Wu, Z.; Wand, J. Energy conservation technology based on magnetic levitation heat pump in oilfields. Xinjiang Oil Gas 2023, 19, 88–94. [Google Scholar]
- Cui, Y.K.; Guo, D.F.; Chen, X.Y.; Zhou, Y.L.; Wang, Z.H.; Wang, S.J. The impact of directly introducing aromatic nitrogen heterocycles on the performance of CO2 capture by diethylenetriamine/diethylene glycol dimethyl ether biphasic solvents: Experimental and theoretical analysis. Chem. Eng. J. 2025, 515, 163625. [Google Scholar] [CrossRef]
- Ghasem, N. CFD simulation of CO2 absorption by water-based TiO2 nanoparticles in a high pressure stirred vessel. Sci. Rep. 2021, 11, 1984. [Google Scholar] [CrossRef]
- Yang, T.M.; Yang, F.; Rezey, R.; Gou, G.L.; Li, X.H.; Hou, J.W. Research Progress on Capture of CO2 by Alcohol Amine Absorption Method. Xinjiang Oil Gas 2024, 20, 52–60. [Google Scholar]
- Xiong, X.Q.; Liao, T.; Xing, X.K.; Zhang, Z.; Dong, Z.; Bi, Y. Study Progress on Characteristics and Separation of Produced Fluid of CO2 Flooding. Xinjiang Oil Gas 2022, 18, 33–39. [Google Scholar]
- Zhu, J.; Yan, J. Problems related to CO2 recovery in hydrogen production unit and their solutions. Xinjiang Oil Gas 2022, 18, 98–102. [Google Scholar]
- Revelli, A.L.; Mutelet, F.; Jaubert, J.N. High carbon dioxide solubilities in imidazolium-based ionic liquids and in poly (ethylene glycol) dimethyl ether. J. Phys. Chem. B. 2010, 114, 12908–12913. [Google Scholar] [CrossRef]
- Rayer, A.V.; Henni, A.; Tontiwachwuthikul, P. High pressure physical solubility of carbon dioxide (CO2) in mixed polyethylene glycol dimethyl ethers. Can. J. Chem. Eng. 2012, 90, 576–583. [Google Scholar] [CrossRef]
- Eyitayo, S.I.; Okere, C.J.; Hussain, A.; Gamadi, T.; Watson, M.C. Synergistic sustainability: Future potential of integrating produced water and CO2 for enhanced carbon capture, utilization, and storage (CCUS). J. Environ. Manag. 2024, 351, 119713. [Google Scholar] [CrossRef]
- Vega, F.; Baenae-Moreno, F.M.; Fernandez, L.M.G.; Portillo, E.; Navarrete, B.; Zhang, Z. Current status of CO2 chemical absorption research applied to CCS: Towards full deployment at industrial scale. Appl. Energy 2020, 260, 114313. [Google Scholar] [CrossRef]
- Xing, H.; Yu, F.; Li, X.; Bao, Y.; Ye, W.; Li, C.; Zheng, S.; Huang, M. Application of ionic liquids in CO2 capture and conversion: A review. Sep. Purif. Technol. 2025, 360, 130981. [Google Scholar] [CrossRef]
- Rahim, A.H.; Yunus, N.M.; Bustam, M.A. Ionic liquids hybridization for carbon dioxide capture: A review. Molecules 2023, 28, 7091. [Google Scholar] [CrossRef] [PubMed]
- Moioli, T.; Pellegrini, L.A. Fixed and Capture Level Reduction operating modes for carbon dioxide removal in a Natural Gas Combined Cycle power plant. J. Clean. Prod. 2020, 254, 120016. [Google Scholar] [CrossRef]
- Yu, Y.S.; Zhang, T.T.; Wu, X.M.; Mu, D.L.; Zhang, Z.X.; Wang, G.G. Exploiting an Alternative CO2 Absorption Process by Efficient Solvent Mixture. Ind. Eng. Chem. Res. 2015, 54, 6165–6174. [Google Scholar] [CrossRef]
- Gao, H.; Xu, B.; Liu, H.; Liang, Z. Effect of amine activators on aqueous N, N-diethylethanolamine solution for post-combustion CO2 capture. Energy Fuels 2016, 30, 7481–7488. [Google Scholar] [CrossRef]
- Meng, F.; Meng, Y.; Ju, T.; Han, S.; Lin, L.; Jiang, J. Research progress of aqueous amine solution for CO2 capture: A review, Renew. Sust. Energ. Rev. 2022, 168, 112902. [Google Scholar] [CrossRef]
- Rao, A.B.; Rubin, E.S. A Technical, Economic, and Environmental Assessment of Amine-based CO2 Capture Technology for Power Plant Greenhouse Gas Control. Environ. Sci. Technol. 2002, 36, 4467–4475. [Google Scholar] [CrossRef]
- Yang, M.K.; Han, Y.; Zou, E.B.; Chen, W.; Peng, X.W.; Dong, B.C.; Sun, C.Y.; Liu, B.; Chen, G.J. Separation of IGCC syngas by using ZIF-8/dimethylacetamide slurry with high CO2 sorption capacity and sorption speed but low sorption heat. Energy 2020, 201, 117605. [Google Scholar] [CrossRef]
- Banerjee, R.; Phan, A.; Wang, B.; Knobler, C.; Furukawa, H.; O’Keeffe, M.; Yaghi, O.M. High-Throughput Synthesis of Zeolitic Imidazolate Frameworks and Application to CO2 Capture. Science 2008, 319, 939–943. [Google Scholar] [CrossRef]
- Liu, H.; Liu, B.; Lin, L.C.; Chen, G.; Wu, Y.; Wang, J.; Gao, X.; Lv, Y.; Pan, Y.; Zhang, X.; et al. A hybrid absorption -adsorption method to efficiently capture carbon. Nat. Commun. 2014, 5, 5147. [Google Scholar] [CrossRef]
- Evjen, S.; Fiksdahl, A.; Knuutila, H.K. High-capacity amine-imidazole solvent blends for CO2 capture. Ind. Eng. Chem. Res. 2019, 58, 10533–10539. [Google Scholar] [CrossRef]
- Shannon, M.S.; Bara, J.E. Properties of Alkylimidazoles as Solvents for CO2 Capture and Comparisons to Imidazolium-Based Ionic Liquids. Ind. Eng. Chem. Res. 2011, 50, 8665–8677. [Google Scholar] [CrossRef]
- Evjen, S.; Wanderley, R.; Fiksdahl, A.; Knuutila, H.K. Viscosity, density, and volatility of binary mixtures of imidazole, 2-methylimidazole, 2,4,5-trimethylimidazole, and 1,2,4,5-tetramethylimidazole with water. J. Chem. Eng. Data. 2019, 64, 507–516. [Google Scholar] [CrossRef]
- Li, K.; Tang, H.; Li, S.; Huang, Z.; Liu, B.; Deng, C.; Sun, C.; Chen, G. Highly efficient CO2 capture using 2-methylimidazole aqueous solution on laboratory and pilot-scale. Chin. J. Chem. Eng. 2024, 67, 148–156. [Google Scholar] [CrossRef]
- Liu, H.; Guo, P.; Chen, G.J. Investigation of CO2 capture efficiency and mechanism in 2-methylimidazole-glycol solution. Sep. Purif. Technol. 2017, 189, 66–73. [Google Scholar] [CrossRef]
- Chen, W.; Chen, M.; Yang, M.; Zou, E.; Li, H.; Jia, C.; Sun, C.; Ma, Q.; Chen, G.; Qin, H. A new approach to the upgrading of the traditional propylene carbonate washing process with significantly higher CO2 absorption capacity and selectivity. Appl. Energy 2019, 240, 265–275. [Google Scholar] [CrossRef]
- Li, J.; Kan, J.; Cao, Y.; Ding, B.; Bi, Z.; Li, N.; Huang, X.; Li, Z.; Chen, G.J. Enhancing CO2 capture performance of N-methylpyrrolidone with 2-methylimidazole aqueous solution. J. Environ. Chem. Eng. 2025, 13, 116847. [Google Scholar] [CrossRef]
- Starling, K.E.; Han, M.S. Thermo data refined for LPG--14. Mixtures. Hydrocarb. Process. 1972, 5, 51. [Google Scholar]
- Pan, Y.; Li, H.; Zhang, X.X.; Tong, X.S.; Jia, C.Z.; Liu, B.; Sun, C.Y.; Yang, L.Y.; Chen, G.J. Large-scale synthesis of ZIF-67 and highly efficient carbon capture using a ZIF-67/glycol-2-methylimidazole slurry. Chem. Eng. Sci. 2015, 137, 504–514. [Google Scholar] [CrossRef]
- Serpa, F.S.; Vidal, R.S.; Amaral Filho, J.H.B.; Nascimento, J.F.; Ciambelli, J.R.P.; Figueiredo, C.M.S.; Salazar-Banda, G.R.; Santos, A.F.; Fortuny, M.; Franceschi, E.; et al. Solubility of Carbon Dioxide in Ethane-1,2-diol-Water Mixtures. J. Chem. Eng. Data 2013, 58, 3464–3469. [Google Scholar] [CrossRef]
- Gupta, M.; Silva, E.F.; Hartono, A.; Svendsen, H.F. Theoretical study of differential enthalpy of absorption of CO2 with MEA and MDEA as a function of temperature. J. Phys. Chem. B 2013, 32, 9457–9468. [Google Scholar] [CrossRef]
- Vinjarapu, S.H.B.; Regueira, T.; Neerup, R.; Solms, N.; Fosbøl, P.L. Heat of absorption of CO2 in 30wt% MEA with monoethyleneglycol and urea as vapour reduction additives. Energy 2024, 293, 130609. [Google Scholar] [CrossRef]
Disclaimer/Publisher’s Note: The statements, opinions and data contained in all publications are solely those of the individual author(s) and contributor(s) and not of MDPI and/or the editor(s). MDPI and/or the editor(s) disclaim responsibility for any injury to people or property resulting from any ideas, methods, instructions or products referred to in the content. |
© 2025 by the authors. Licensee MDPI, Basel, Switzerland. This article is an open access article distributed under the terms and conditions of the Creative Commons Attribution (CC BY) license (https://creativecommons.org/licenses/by/4.0/).








