Exploring Varied (Green) Extraction Methods to Optimize Galia Melon Peel Antioxidant Potential
Abstract
1. Introduction
2. Materials and Methods
2.1. Chemicals and Reagents
2.2. Galia Melon Collection and Extraction Procedure
2.3. Response Surface Methodology (RSM) Optimization of Extraction and Experiment Design
2.4. Analyses of Extracts and HPLC-Based Analysis of the Various Polyphenolic Compounds
2.5. Statistical Analysis
3. Results and Discussion
3.1. Extraction Optimization
3.2. Analysis of the Extracts
3.2.1. TPC of the Extracts
3.2.2. Polyphenolic Compounds of the Optimal Extract
3.2.3. Antioxidant Properties of the Extracts
3.3. Principal Component Analysis (PCA) and Multivariate Correlation Analysis (MCA)
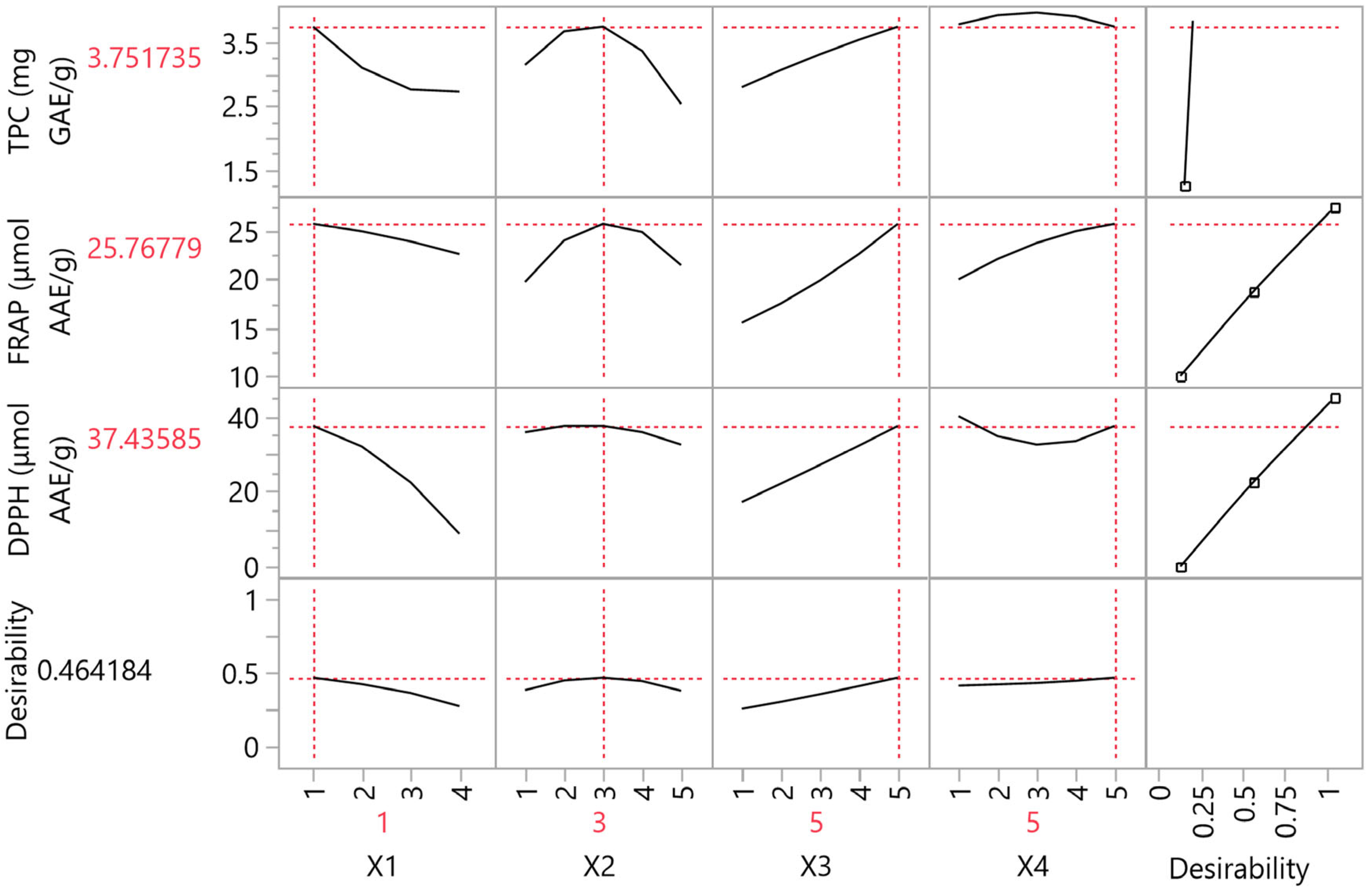
3.4. Partial Least Squares (PLS) Analysis
4. Conclusions
Supplementary Materials
Author Contributions
Funding
Data Availability Statement
Conflicts of Interest
References
- Kesh, H.; Kaushik, P. Advances in Melon (Cucumis melo L.) Breeding: An Update. Sci. Hortic. 2021, 282, 110045. [Google Scholar] [CrossRef]
- Nguyen, P.D.T.; Tran, D.T.; Thieu, H.H.; Lao, T.D.; Le, T.A.H.; Nguyen, N.H. Hybridization Between the Canary Melon and a Vietnamese Non-Sweet Melon Cultivar Aiming to Improve the Growth Performance and Fruit Quality in Melon (Cucumis melo L.). Mol. Biotechnol. 2023; 1–11. [Google Scholar] [CrossRef]
- Mallek-Ayadi, S.; Bahloul, N.; Baklouti, S.; Kechaou, N. Bioactive Compounds from Cucumis melo L. Fruits as Potential Nutraceutical Food Ingredients and Juice Processing Using Membrane Technology. Food Sci. Nutr. 2022, 10, 2922–2934. [Google Scholar] [CrossRef]
- Bié, J.; Sepodes, B.; Fernandes, P.C.B.; Ribeiro, M.H.L. Polyphenols in Health and Disease: Gut Microbiota, Bioaccessibility, and Bioavailability. Compounds 2023, 3, 40–72. [Google Scholar] [CrossRef]
- Salamatullah, A.M. Antioxidant, Anti-Inflammatory, and Analgesic Properties of Chemically Characterized Polyphenol-Rich Extract from Withania adpressa Coss. ex Batt. Life 2022, 13, 109. [Google Scholar] [CrossRef]
- FAOSTAT. Food and Agriculture Organization of the United Nations. 2018. Available online: https://www.fao.org/faostat/en/#data/QCL (accessed on 5 March 2024).
- Gómez-García, R.; Campos, D.A.; Oliveira, A.; Aguilar, C.N.; Madureira, A.R.; Pintado, M. A Chemical Valorisation of Melon Peels towards Functional Food Ingredients: Bioactives Profile and Antioxidant Properties. Food Chem. 2021, 335, 127579. [Google Scholar] [CrossRef]
- Rolim, P.M.; Seabra, L.M.J.; de Macedo, G.R. Melon By-Products: Biopotential in Human Health and Food Processing. Food Rev. Int. 2020, 36, 15–38. [Google Scholar] [CrossRef]
- Mallek-Ayadi, S.; Bahloul, N.; Kechaou, N. Chemical Composition and Bioactive Compounds of Cucumis melo L. Seeds: Potential Source for New Trends of Plant Oils. Process Saf. Environ. Prot. 2018, 113, 68–77. [Google Scholar] [CrossRef]
- Gómez-García, R.; Campos, D.A.; Aguilar, C.N.; Madureira, A.R.; Pintado, M. Valorization of Melon Fruit (Cucumis melo L.) by-Products: Phytochemical and Biofunctional Properties with Emphasis on Recent Trends and Advances. Trends Food Sci. Technol. 2020, 99, 507–519. [Google Scholar] [CrossRef]
- Ronny, H.; Navam, H.; Ken, O.; Pengyin, C.; Edward, G. Extraction, Fractionation and Characterization of Bitter Melon Seed Proteins. J. Agric. Food Chem. 2010, 58, 1892–1897. [Google Scholar] [CrossRef]
- Trigo, J.P.; Alexandre, E.M.C.; Saraiva, J.A.; Pintado, M.E. High Value-Added Compounds from Fruit and Vegetable by-Products–Characterization, Bioactivities, and Application in the Development of Novel Food Products. Crit. Rev. Food Sci. Nutr. 2020, 60, 1388–1416. [Google Scholar] [CrossRef]
- Aragão, C.A.; Brandão, M.; Batista, P.; Dantas, B. Quality of Melon Seedlings Produced in Different Substrates. Rev. Caatinga 2011, 24, 209–214. [Google Scholar]
- Allwood, J.W.; Cheung, W.; Xu, Y.; Mumm, R.; De Vos, R.C.H.; Deborde, C.; Biais, B.; Maucourt, M.; Berger, Y.; Schaffer, A.A.; et al. Metabolomics in Melon: A New Opportunity for Aroma Analysis. Phytochemistry 2014, 99, 61–72. [Google Scholar] [CrossRef]
- Esteras, C.; Rambla, J.L.; Sánchez, G.; López-Gresa, M.P.; González-Mas, M.C.; Fernández-Trujillo, J.P.; Bellés, J.M.; Granell, A.; Picó, M.B. Fruit Flesh Volatile and Carotenoid Profile Analysis within the Cucumis melo L. Species Reveals Unexploited Variability for Future Genetic Breeding. J. Sci. Food Agric. 2018, 98, 3915–3925. [Google Scholar] [CrossRef]
- Storck, C.R.; Nunes, G.L.; de Oliveira, B.B.; Basso, C. Leaves, Stalk, Pell and Seeds of Vegetables: Nutritional Composition, Utilization and Sensory Analysis in Food Preparations. Cienc. Rural 2013, 43, 537–543. [Google Scholar] [CrossRef]
- Rolim, P.; Macedo, G.; Santos, E. Nutritional Value, Cellulase Activity and Prebiotic Effect of Melon Residues (Cucumis melo L. Reticulatus Group) as a Fermentative Substrate. J. Food Nutr. Res. 2018, 57, 315–327. [Google Scholar]
- Malacrida, C.R.; Angelo, P.M.; Andreo, D.; Jorge, N. Composição Química e Potencial Antioxidante de Extratos de Sementes de Melão Amarelo Em Óleo de Soja 1 Chemical Composition and Antioxidants Potential of Extracts of Yellow Melon Seeds in Soybean Oil. Rev. Ciên. Agron 2007, 4, 372–376. [Google Scholar]
- Nuñez-Palenius, H.G.; Huber, D.J.; Klee, H.J.; Cantliffe, D.J. Fruit Ripening Characteristics in a Transgenic ‘Galia’ Male Parental Muskmelon (Cucumis melo L. Var. Reticulatus Ser.) Line. Postharvest Biol. Technol. 2007, 44, 95–100. [Google Scholar] [CrossRef]
- Ganji, S.M.; Singh, H.; Friedman, M. Phenolic Content and Antioxidant Activity of Extracts of 12 Melon (Cucumis melo) Peel Powders Prepared from Commercial Melons. J. Food Sci. 2019, 84, 1943–1948. [Google Scholar] [CrossRef]
- Panja, P. Green Extraction Methods of Food Polyphenols from Vegetable Materials. Curr. Opin. Food Sci. 2018, 23, 173–182. [Google Scholar] [CrossRef]
- Koina, I.M.; Sarigiannis, Y.; Hapeshi, E. Green Extraction Techniques for the Determination of Active Ingredients in Tea: Current State, Challenges, and Future Perspectives. Separations 2023, 10, 121. [Google Scholar] [CrossRef]
- Athanasiadis, V.; Chatzimitakos, T.; Kotsou, K.; Kalompatsios, D.; Bozinou, E.; Lalas, S.I. Polyphenol Extraction from Food (by) Products by Pulsed Electric Field: A Review. Int. J. Mol. Sci. 2023, 24, 15914. [Google Scholar] [CrossRef]
- Gharaati Jahromi, S. Extraction Techniques of Phenolic Compounds from Plants. In Plant Physiological Aspects of Phenolic Compounds; Soto-Hernández, M., García-Mateos, R., Palma-Tenango, M., Eds.; IntechOpen: Rijeka, Croatia, 2019. [Google Scholar]
- Kunhermanti, D.; Mahfud, M. Optimization of Peppermint (Mentha Piperita L.) Extraction Using Solvent-Free Microwave Green Technology. In Advances in Food Science, Sustainable Agriculture and Agroindustrial Engineering (AFSSAAE), Proccedings of the 6th International Conference on Green Agro-Industry and Bioeconomy (ICGAB), Malang, Indonesia, 12 July 2022; Faculty of Agricultural Technology, Jurnal Universitas Brawijaya: Malang, Indonesia, 2023; pp. 33–40. [Google Scholar]
- Agricultural Quality Standards of the United Nations Economic Commission for Europe (UNECE) Standard FFV-23 Concerning the Marketing and Commercial Quality Control of Melons. UNECE: Geneva, Switzerland. 2023. Available online: https://unece.org/sites/default/files/2024-03/FFV-23_Melons_2023_e.pdf (accessed on 5 March 2024).
- Athanasiadis, V.; Chatzimitakos, T.; Bozinou, E.; Kotsou, K.; Palaiogiannis, D.; Lalas, S.I. Maximizing the Extraction of Bioactive Compounds from Diospyros Kaki Peel through the Use of a Pulsed Electric Field and Ultrasound Extraction. Biomass 2023, 3, 422–440. [Google Scholar] [CrossRef]
- Athanasiadis, V.; Chatzimitakos, T.; Bozinou, E.; Kotsou, K.; Palaiogiannis, D.; Lalas, S.I. Optimization of Extraction Parameters for Enhanced Recovery of Bioactive Compounds from Quince Peels Using Response Surface Methodology. Foods 2023, 12, 2099. [Google Scholar] [CrossRef]
- Chatzimitakos, T.; Athanasiadis, V.; Makrygiannis, I.; Kotsou, K.; Palaiogiannis, D.; Bozinou, E.; Lalas, S.I. Nutritional Quality and Antioxidant Properties of Brown and Black Lentil Sprouts. Horticulturae 2023, 9, 668. [Google Scholar] [CrossRef]
- Kotsou, K.; Stoikou, M.; Athanasiadis, V.; Chatzimitakos, T.; Mantiniotou, M.; Sfougaris, A.I.; Lalas, S.I. Enhancing Antioxidant Properties of Prunus Spinosa Fruit Extracts via Extraction Optimization. Horticulturae 2023, 9, 942. [Google Scholar] [CrossRef]
- Mariod, A.A.; Saeed Mirghani, M.E.; Hussein, I. Cucumis melo Var. Cantalupo Cantaloupe. In Unconventional Oilseeds and Oil Sources; Mariod, A.A., Saeed Mirghani, M.E., Hussein, I., Eds.; Elsevier: Amsterdam, The Netherlands, 2017; pp. 107–111. ISBN 978-0-12-809435-8. [Google Scholar]
- Che, J.; Zhao, T.; Liu, W.; Chen, S.; Yang, G.; Li, X.; Liu, D. Neochlorogenic Acid Enhances the Antitumor Effects of Pingyangmycin via Regulating TOP2A. Mol. Med. Rep. 2021, 23, 158. [Google Scholar] [CrossRef]
- Zeb, A. Phenolic Profile and Antioxidant Activity of Melon (Cucumis melo L.) Seeds from Pakistan. Foods 2016, 5, 67. [Google Scholar] [CrossRef] [PubMed]
- Fan, F.-Y.; Sang, L.-X.; Jiang, M. Catechins and Their Therapeutic Benefits to Inflammatory Bowel Disease. Molecules 2017, 22, 484. [Google Scholar] [CrossRef]
- Meinhart, A.D.; Damin, F.M.; Caldeirão, L.; de Jesus Filho, M.; da Silva, L.C.; da Silva Constant, L.; Filho, J.T.; Wagner, R.; Godoy, H.T. Chlorogenic and Caffeic Acids in 64 Fruits Consumed in Brazil. Food Chem. 2019, 286, 51–63. [Google Scholar] [CrossRef]
- Lang, G.H.; Lindemann, I.d.S.; Ferreira, C.D.; Hoffmann, J.F.; Vanier, N.L.; de Oliveira, M. Effects of Drying Temperature and Long-Term Storage Conditions on Black Rice Phenolic Compounds. Food Chem. 2019, 287, 197–204. [Google Scholar] [CrossRef]
- Antony, A.; Farid, M. Effect of Temperatures on Polyphenols during Extraction. Appl. Sci. 2022, 12, 2107. [Google Scholar] [CrossRef]
- Bitwell, C.; Indra, S.S.; Luke, C.; Kakoma, M.K. A Review of Modern and Conventional Extraction Techniques and Their Applications for Extracting Phytochemicals from Plants. Sci. Afr. 2023, 19, e01585. [Google Scholar] [CrossRef]
- Diamanti, A.C.; Igoumenidis, P.E.; Mourtzinos, I.; Yannakopoulou, K.; Karathanos, V.T. Green Extraction of Polyphenols from Whole Pomegranate Fruit Using Cyclodextrins. Food Chem. 2017, 214, 61–66. [Google Scholar] [CrossRef] [PubMed]
- Zannou, O.; Pashazadeh, H.; Ghellam, M.; Ali Redha, A.; Koca, I. Enhanced Ultrasonically Assisted Extraction of Bitter Melon (Momordica Charantia) Leaf Phenolic Compounds Using Choline Chloride-Acetic Acid–Based Natural Deep Eutectic Solvent: An Optimization Approach and in Vitro Digestion. Biomass Convers. Biorefinery 2022, 1–13. [Google Scholar] [CrossRef]
- Hikmawanti, N.P.E.; Fatmawati, S.; Asri, A.W. The Effect of Ethanol Concentrations as the Extraction Solvent on Antioxidant Activity of Katuk (Sauropus Androgynus (L.) Merr.) Leaves Extracts. IOP Conf. Ser. Earth Environ. Sci. 2021, 755, 012060. [Google Scholar] [CrossRef]
- Huamán-Castilla, N.L.; Díaz Huamaní, K.S.; Palomino Villegas, Y.C.; Allcca-Alca, E.E.; León-Calvo, N.C.; Colque Ayma, E.J.; Zirena Vilca, F.; Mariotti-Celis, M.S. Exploring a Sustainable Process for Polyphenol Extraction from Olive Leaves. Foods 2024, 13, 265. [Google Scholar] [CrossRef] [PubMed]
- Singh, B.N.; Shankar, S.; Srivastava, R.K. Green Tea Catechin, Epigallocatechin-3-Gallate (EGCG): Mechanisms, Perspectives and Clinical Applications. Biochem. Pharmacol. 2011, 82, 1807–1821. [Google Scholar] [CrossRef] [PubMed]
- Vella, F.M.; Calandrelli, R.; Cautela, D.; Laratta, B. Natural Antioxidant Potential of Melon Peels for Fortified Foods. Foods 2023, 12, 2523. [Google Scholar] [CrossRef] [PubMed]
- Willcox, J.K.; Ash, S.L.; Catignani, G.L. Antioxidants and Prevention of Chronic Disease. Crit. Rev. Food Sci. Nutr. 2004, 44, 275–295. [Google Scholar] [CrossRef]
- Genestra, M. Oxyl Radicals, Redox-Sensitive Signalling Cascades and Antioxidants. Cell Signal. 2007, 19, 1807–1819. [Google Scholar] [CrossRef]
- Halliwell, B. Biochemistry of Oxidative Stress. Biochem. Soc. Trans. 2007, 35, 1147–1150. [Google Scholar] [CrossRef] [PubMed]






| Independent Variables | Code Units | Coded Variable Level | ||||
|---|---|---|---|---|---|---|
| 1 | 2 | 3 | 4 | 5 | ||
| Technique | X1 | ST | PEF + ST | US + ST | PEF + US + ST | – |
| C (%, v/v) | X2 | 0 | 25 | 50 | 75 | 100 |
| t (min) | X3 | 30 | 60 | 90 | 120 | 150 |
| T (°C) | X4 | 20 | 35 | 50 | 65 | 80 |
| Design Point | Independent Variables | Responses | ||||||||
|---|---|---|---|---|---|---|---|---|---|---|
| TPC (mg GAE/g dw) | FRAP (μmol AAE/g dw) | DPPH (μmol AAE/g dw) | ||||||||
| X1 | X2 | X3 | X4 | Actual | Predicted | Actual | Predicted | Actual | Predicted | |
| 1 | 3 | 1 | 3 | 4 | 2.39 | 2.38 | 14.66 | 14.82 | 15.83 | 15.81 |
| 2 | 3 | 2 | 1 | 3 | 2.81 | 2.86 | 17.08 | 17.51 | 20.35 | 20.61 |
| 3 | 2 | 3 | 4 | 3 | 3.28 | 3.19 | 23.28 | 23.27 | 24.71 | 23.61 |
| 4 | 2 | 4 | 5 | 4 | 2.87 | 2.92 | 22.62 | 22.37 | 24.57 | 27.13 |
| 5 | 3 | 5 | 4 | 2 | 1.40 | 1.35 | 11.29 | 10.90 | 12.42 | 12.59 |
| 6 | 4 | 1 | 4 | 5 | 2.12 | 2.16 | 14.06 | 14.11 | 3.38 | 4.04 |
| 7 | 4 | 2 | 3 | 1 | 2.81 | 2.79 | 16.96 | 16.91 | 7.97 | 8.77 |
| 8 | 1 | 3 | 3 | 2 | 3.56 | 3.65 | 23.45 | 23.91 | 23.90 | 26.13 |
| 9 | 1 | 4 | 4 | 1 | 3.30 | 3.28 | 17.53 | 17.52 | 34.72 | 33.86 |
| 10 | 1 | 5 | 1 | 4 | 1.80 | 1.75 | 13.46 | 13.26 | 5.68 | 5.12 |
| 11 | 1 | 1 | 2 | 3 | 3.07 | 3.12 | 18.54 | 18.44 | 23.25 | 24.70 |
| 12 | 1 | 2 | 5 | 5 | 3.72 | 3.67 | 23.25 | 23.18 | 39.85 | 38.40 |
| 13 | 4 | 3 | 2 | 4 | 3.17 | 3.08 | 17.93 | 17.36 | 16.74 | 14.25 |
| 14 | 3 | 4 | 2 | 5 | 2.19 | 2.16 | 15.87 | 15.87 | 20.02 | 22.04 |
| 15 | 2 | 5 | 3 | 5 | 1.59 | 1.67 | 14.59 | 14.94 | 22.27 | 21.36 |
| 16 | 2 | 1 | 1 | 1 | 2.73 | 2.66 | 26.02 | 25.86 | 34.31 | 33.97 |
| 17 | 2 | 2 | 2 | 2 | 2.96 | 2.97 | 23.78 | 23.58 | 26.58 | 23.96 |
| 18 | 3 | 3 | 5 | 1 | 2.53 | 2.58 | 16.60 | 16.68 | 20.06 | 20.06 |
| 19 | 4 | 4 | 1 | 2 | 2.53 | 2.60 | 20.18 | 20.40 | 17.16 | 18.28 |
| 20 | 4 | 5 | 5 | 3 | 1.55 | 1.54 | 12.65 | 12.92 | 2.90 | 2.01 |
| Design Point | Independent Variables | Responses | |||||||||
|---|---|---|---|---|---|---|---|---|---|---|---|
| X1 | X2 | X3 | X4 | GA | NCA | CA | CGA | ECA | KA | Total Identified | |
| 1 | 3 | 1 | 3 | 4 | 0.13 | 5.12 | 87.50 | 137.45 | 3.34 | 4.44 | 237.98 |
| 2 | 3 | 2 | 1 | 3 | 0.92 | 255.76 | 23.88 | 157.22 | 2.36 | 4.24 | 444.38 |
| 3 | 2 | 3 | 4 | 3 | 4.18 | 476.57 | 51.73 | 370.62 | 3.56 | 7.30 | 913.97 |
| 4 | 2 | 4 | 5 | 4 | 2.35 | 280.75 | 95.52 | 185.51 | 1.39 | 6.18 | 571.70 |
| 5 | 3 | 5 | 4 | 2 | 0.66 | 19.55 | 8.92 | 22.79 | 0.26 | 4.60 | 56.77 |
| 6 | 4 | 1 | 4 | 5 | 3.44 | 36.03 | 32.64 | 98.92 | 1.06 | 5.03 | 177.11 |
| 7 | 4 | 2 | 3 | 1 | 5.39 | 106.37 | 21.39 | 156.42 | 2.23 | 4.21 | 296.00 |
| 8 | 1 | 3 | 3 | 2 | 4.82 | 240.19 | 23.14 | 184.11 | 2.36 | 4.73 | 459.35 |
| 9 | 1 | 4 | 4 | 1 | 8.85 | 201.18 | 53.83 | 81.10 | 0.39 | 4.47 | 349.82 |
| 10 | 1 | 5 | 1 | 4 | 2.46 | 40.79 | 71.76 | 54.26 | 0.11 | 4.96 | 174.34 |
| 11 | 1 | 1 | 2 | 3 | 5.71 | 177.88 | 51.64 | 215.33 | 3.52 | 5.01 | 459.09 |
| 12 | 1 | 2 | 5 | 5 | 0.54 | 769.61 | 83.31 | 33.06 | 4.91 | 5.95 | 897.38 |
| 13 | 4 | 3 | 2 | 4 | 3.34 | 250.22 | 318.80 | 24.77 | 2.95 | 4.41 | 604.48 |
| 14 | 3 | 4 | 2 | 5 | 1.04 | 118.27 | 38.07 | 83.41 | 0.70 | 5.17 | 246.67 |
| 15 | 2 | 5 | 3 | 5 | 0.15 | 76.00 | 146.44 | 69.51 | 0.00 | 4.91 | 297.01 |
| 16 | 2 | 1 | 1 | 1 | 1.85 | 515.30 | 56.85 | 20.76 | 3.79 | 5.37 | 603.92 |
| 17 | 2 | 2 | 2 | 2 | 0.39 | 37.11 | 87.73 | 26.52 | 7.26 | 4.59 | 163.60 |
| 18 | 3 | 3 | 5 | 1 | 0.90 | 152.16 | 13.75 | 145.26 | 2.08 | 4.23 | 318.38 |
| 19 | 4 | 4 | 1 | 2 | 0.15 | 180.53 | 70.30 | 117.31 | 0.59 | 4.63 | 373.50 |
| 20 | 4 | 5 | 5 | 3 | 0.13 | 15.45 | 6.13 | 32.82 | 0.17 | 4.92 | 59.63 |
| Responses | Second-Order Polynomial Equations (Models) | R2 | R2 Adjusted | p-Value | Eq. |
|---|---|---|---|---|---|
| TPC | Y = 3.09 − 0.93X1 + 0.48X2 + 0.44X3 + 0.05X4 + 0.2X12 − 0.17X22 + 0.01X32 − 0.08X42 − 0.003X1X2 − 0.16X1X3 + 0.06X1X4 − 0.003X2X3 + 0.09X2X4 − 0.002X3X4 | 0.9932 | 0.9740 | 0.0002 | (1) |
| FRAP | Y = 35.69 − 2.71X1 + 1.62X2 + 0.46X3 − 7.6X4 − 0.44X12 − 0.8X22 + 0.24X32 − 0.74X42 + 0.61X1X2 − 0.45X1X3 + 1.17X1X4 − 1.16X2X3 + 1.38X2X4 + 1.27X3X4 | 0.9962 | 0.9855 | <0.0001 | (2) |
| DPPH | Y = 46.52 + 4.91X1 − 9.79X2 + 5.98X3 − 13.71X4 − 1.59X12 + 0.2X22 + 0.78X32 + 1.01X42 + 1.56X1X2 − 3.82X1X3 + 1.51X1X4 − 0.02X2X3 + 1.07X2X4 − 0.03X3X4 | 0.9798 | 0.9231 | 0.0027 | (3) |
| Responses | Optimal Conditions | ||||
|---|---|---|---|---|---|
| Maximum Predicted Response | Technique (X1) | C (%, v/v) (X2) | t (min) (X3) | T (°C) (X4) | |
| TPC (mg GAE/g dw) | 4.0 ± 0.3 | ST (1) | 50 (3) | 120 (4) | 50 (3) |
| FRAP (μmol AAE/g dw) | 26 ± 2 | PEF + ST (2) | 0 (1) | 30 (1) | 20 (1) |
| DPPH (μmol AAE/g dw) | 38 ± 7 | ST (1) | 25 (2) | 150 (5) | 80 (5) |
| Variables | PLS Model Values | Experimental Values |
|---|---|---|
| TPC (mg GAE/g dw) | 3.75 | 3.6 ± 0.1 |
| FRAP (μmol AAE/g dw) | 25.77 | 26.4 ± 0.5 |
| DPPH (μmol AAE/g dw) | 37.44 | 36.8 ± 0.8 |
| Polyphenolic Compounds | Optimal Extract (μg/g dw) |
|---|---|
| Gallic acid | 6.0 ± 0.3 |
| Neochlorogenic acid | 314 ± 17 |
| Catechin | 472 ± 22 |
| Chlorogenic acid | 32 ± 2 |
| Epicatechin | 3.8 ± 0.2 |
| Kaempferol | 346 ± 12 |
| Total identified | 1173 ± 53 |
Disclaimer/Publisher’s Note: The statements, opinions and data contained in all publications are solely those of the individual author(s) and contributor(s) and not of MDPI and/or the editor(s). MDPI and/or the editor(s) disclaim responsibility for any injury to people or property resulting from any ideas, methods, instructions or products referred to in the content. |
© 2024 by the authors. Licensee MDPI, Basel, Switzerland. This article is an open access article distributed under the terms and conditions of the Creative Commons Attribution (CC BY) license (https://creativecommons.org/licenses/by/4.0/).
Share and Cite
Dimtsas, V.; Douma, A.; Soukia, D.; Chatzimitakos, T.; Athanasiadis, V.; Kotsou, K.; Bozinou, E.; Lalas, S.I. Exploring Varied (Green) Extraction Methods to Optimize Galia Melon Peel Antioxidant Potential. Separations 2024, 11, 135. https://doi.org/10.3390/separations11050135
Dimtsas V, Douma A, Soukia D, Chatzimitakos T, Athanasiadis V, Kotsou K, Bozinou E, Lalas SI. Exploring Varied (Green) Extraction Methods to Optimize Galia Melon Peel Antioxidant Potential. Separations. 2024; 11(5):135. https://doi.org/10.3390/separations11050135
Chicago/Turabian StyleDimtsas, Vassileios, Anastasia Douma, Dimitra Soukia, Theodoros Chatzimitakos, Vassilis Athanasiadis, Konstantina Kotsou, Eleni Bozinou, and Stavros I. Lalas. 2024. "Exploring Varied (Green) Extraction Methods to Optimize Galia Melon Peel Antioxidant Potential" Separations 11, no. 5: 135. https://doi.org/10.3390/separations11050135
APA StyleDimtsas, V., Douma, A., Soukia, D., Chatzimitakos, T., Athanasiadis, V., Kotsou, K., Bozinou, E., & Lalas, S. I. (2024). Exploring Varied (Green) Extraction Methods to Optimize Galia Melon Peel Antioxidant Potential. Separations, 11(5), 135. https://doi.org/10.3390/separations11050135

