Next Article in Journal
Digital versus Paper Reading: A Systematic Literature Review on Contemporary Gaps According to Gender, Socioeconomic Status, and Rurality
Next Article in Special Issue
Assessing the Relationship between Prosocial Behavior and Well-Being: Basic Psychological Need as the Mediator
Previous Article in Journal
Assessing the Usability of ChatGPT for Formal English Language Learning
Previous Article in Special Issue
The Effect of Digital Mindfulness Interventions on Depressive, Anxiety, and Stress Symptoms in Pregnant Women: A Systematic Review and Meta-Analysis
 
 
Font Type:
Arial Georgia Verdana
Font Size:
Aa Aa Aa
Line Spacing:
Column Width:
Background:
Article

Emotional Competences of Primary Education Teachers: A Need in School Post COVID-19

by
Roberto Sanz-Ponce
1,*,
Elena López-Luján
1,
Ángela Serrano-Sarmiento
2 and
Juan Antonio Giménez-Beut
1
1
Department of General Didactics, Theory of Education and Technological Innovation, Catholic University of Valencia, 46110 Valencia, Spain
2
Inclusive Education and Socio-Community Development, Catholic University of Valencia, 46110 Valencia, Spain
*
Author to whom correspondence should be addressed.
Eur. J. Investig. Health Psychol. Educ. 2023, 13(10), 1961-1985; https://doi.org/10.3390/ejihpe13100141
Submission received: 3 August 2023 / Revised: 14 September 2023 / Accepted: 18 September 2023 / Published: 22 September 2023

Abstract

:
The COVID-19 pandemic has increased the number of students with mental health problems: depression, anxiety, stress. Faced with this reality, teachers and schools must be prepared to respond quickly and effectively. Therefore, the objective of this article is to analyze the emotional competences of primary school teachers in the city of Valencia based on the following sociodemographic variables: sex, age, professional experience, type of center and whether they have children. For this purpose, a quantitative methodological approach has been followed, through which the emotional competencies of primary education teachers are analyzed. These results allow us to establish teacher profiles according to sociodemographic variables and help to detect possible training deficiencies. A sample of 371 teachers of primary education in the city of Valencia has been analyzed. The Questionnaire on Teaching Competences of Primary Education Teachers, carried out under the Planned Action Model, has been used, and descriptive, univariate, bivariate and cluster analyses have been carried out. The mean, the standard deviation and the interquartile range (IQR) have been analyzed, as well as non-parametric tests such as the Wilcoxon, Kruskal–Wallis or Z test. The most significant results are that teachers have a greater ability to interpret emotions and to listen to students. On the contrary, it is teachers who most reject prejudice, discrimination and racism. Younger teachers are the ones who implement more inclusive learning environments. Finally, in general, all teachers are very respectful of students and claim to know how to manage classroom conflicts. The results obtained, in general terms, coincide with most of the research on teachers’ emotional competencies. Some aspects simply do not coincide with the literature. The teachers who participated in our research perceive themselves as having a greater capacity to observe and interpret students’ emotions, to generate learning situations that cater to diversity and to listen to their students. Other studies place these competencies at lower levels.

1. Introduction

Are teachers prepared to deal with the emotional problems caused by COVID-19 among their students? Do they have the right professional skills? These questions are necessary today, when many students are in a situation of vulnerability [1]. Since March 2020—the time of school closures—research on teaching competencies has focused on teachers’ ability to manage online education [2,3,4,5] or to compensate for the possible learning gaps caused by this teaching [6,7,8,9,10].
Currently, the question is whether they can address the possible psycho-emotional sequelae detected among students. Confinement, safe distancing, masks, the fear of contagion, the loss of family members and over information in the media have generated stress, depression, anxiety, exhaustion, fear and uncertainty [11], along with relationship problems between peers.
With respect to teachers, it was found that, after COVID, those with long experience and high levels of compassion suffered to a greater extent [12]. Other studies analyzing the growth trajectories of the levels of psychological well-being of teachers [13] have shown that it decreases significantly in those who are older and more experienced, affecting positive relationships with others.
UNESCO [14] already called for the inclusion of socio-emotional competencies and resilience in teacher training to care for both students and teachers to respond to future challenges. It also calls for the development of “emotional resilience” in online teaching and in the return to face-to-face school, as well as promoting the learning of socio-emotional skills among students, to face the future in a positive way [15,16]. In this process, the skills of school leaders that reinforce the socioemotional capacities of educators in their schools are important [17].
Save de Children [18], meanwhile, warned of the risk of disaffection among students with school and the loss of interest in learning due to confinement. Teachers were called out to work affectively, incorporating accompaniment, listening and personalized teaching, to make them a key factor of protection, a “tutor of resilience” [19].
The World Bank [20] also warned of possible mental health problems among students and schools and the need to implement social or emotional learning programs to combat anxiety, stress and low self-esteem and to create positive emotional climates in the classroom [21].
In summary, UNESCO [22] saw the crisis as an opportunity to rethink the meaning of education, review evaluation techniques and instruments, improve the teaching of higher thinking skills (questioning, creativity and problem solving) and socio-emotional skills (empathy, teamwork, collaboration, resilience, proactivity, initiative and responsible behavior) and re-emphasizing the role of school as a safe environment for peer relationships [23].
This article has the following objective. Analyze the emotional competences of teachers of primary education of the city of Valencia according to the following sociodemographic variables: sex, age, professional experience, type of center and whether they have children. These results allow for the establishment of teacher profiles based on sociodemographic variables and help to detect possible training deficiencies. These emotional competences of teachers are very necessary nowadays, due to the consequences and psycho-emotional and mental health problems derived from COVID-19 [24,25,26,27,28] among primary school students: anxiety, stress, depression or fear.
For this purpose, this research proposes two hypotheses to analyze the emotional competences of teachers. These have been described based on the observation of reality, the reading of the scientific literature and the analysis of the results of similar research [29,30,31,32,33,34,35].
Hypothesis 1.
The personal characteristics and emotional competences of teachers interfere in the management of students, finding differences depending on sociodemographic and professional variables (sex, age, professional experience, type of center in which they work, whether they have children and teaching vocation).
Hypothesis 2.
Classroom management presents significant differences with respect to the emotional competences of teachers, depending on professional and sociodemographic variables (sex, age, professional experience, type of center in which they work, whether they have children and teaching vocation).
This research is part of a broader design to evaluate the teaching competencies of teachers based on the theory of reasoned action of Ajzen and Fishbein [36]. For this purpose, some items were taken from the subscale of beliefs and attitudes of the CCPES II questionnaire [37], which allows for the evaluation of the teacher’s self-perceived socioemotional competencies, such as conflict resolution, active listening, empathy, assertiveness, teaching commitment to students, etc. Teachers’ emotional competencies can be defined as the set of beliefs, attitudes, skills, subjective norms, behavioral intentions and behaviors that favor the adequate management of students and the classroom, taking into account the emotional aspects and feelings of students, teachers and families [30].

2. Emotional Competence in Teachers

The teacher is the fundamental piece in the construction of the personal identity of their students, fundamentally their emotional influence [38]. It could even be affirmed that the internal socioemotional competence of teachers is a predictor of the relationship between them and their students [39]. In this process, the influence of teachers’ own identity and their conceptions of power has been demonstrated [40]. It has also been shown that those teachers who have a high emotional competence also have it in their personal well-being and their assertive style, which correlates with educational style [41] and influences learning and the best disposition to learn of the students [42]. For this reason, it is necessary to implement emotional competence in their training [43], since it has a direct impact on the personal, social and academic development of the students (in personal relationships, in the classroom climate, in methodology, in motivation, in academic results, in conflict management, in their self-esteem, empathy or resilience) [44].

2.1. Competences for the Management of Students

The scientific literature manifests the link between the emotional competences of teachers and their ability to manage students [45,46,47]. A faculty that does not possess a formed emotional competence cannot educate its students [48]. In addition, there must be an adequate interrelation between cognitive and emotional processes to respect students in their personalized integral development process [49]. Teachers must self-regulate to help students manage their own emotions and interpret them, fostering their self-esteem and enabling them to respond appropriately to life’s challenges [50]. This emotional component is reflected in their teaching style [51], which must be linked to their teaching vocation and their professional identity, which has been shaped during their training [48] and their internship [52].
Hence the importance of university training for future teachers. When comparing the levels of emotional intelligence and empathy among students of different degrees, it was observed that in the first course, the level of emotional attention was higher in education students. And in the fourth year, the levels of emotional repair and clarity increased significantly in the education and medicine degrees [53]. Regarding the differences between university students in early childhood and primary education, no differences have been found in their emotional competencies [34]. The combination of experience and specific training has been shown to be the most important for the majority of the components of emotional competence and the one that best enables students to develop it [32].

2.2. Competences for Classroom Management

Several studies show how the emotional competences of teachers impact the climate and management of the classroom and generate an impact on the state of well-being of students [54]. And when practicing teachers are analyzed, it is observed that they perceive themselves as having an average level in this competence. But as they advance in age and experience, they decrease in attention and emotional clarity [33]. In addition, Palomera et al. [55] and Gutiérrez and Buitrago [56] add that contextual and methodological variables must also be considered for conflict management in such a way that having a well-planned didactic style or taking care of the contexts generating adequate learning environments facilitates the classroom climate and reduces the impact of interpersonal conflicts [57]. The emotional competencies of teachers and their values are present in the form of conflict resolution in the classroom, as well as their predisposition to commitment, listening and time for their intervention [58]. On the other hand, it is necessary to create a living, innovative, flexible, dynamic, versatile, changing and transformative learning environment, with a clear didactic intention [59], i.e., an environment that responds to the what, how and why of teaching, as well as one that is based on a deep knowledge of the evolutionary psychology and personal characteristics of students [60], an environment that generates human relationships based on emotions and feelings [61].

3. Materials and Methods

This research follows a quantitative methodological approach, through which the emotional competences of primary education teachers are analyzed.

3.1. Participants

The sample has been obtained via non-probability sampling for convenience. Teachers participate voluntarily and anonymously, through the online response of the Questionnaire on Teaching Competences. This was sent to schools through electronic mail. A total of 371 teachers participated, both from public and subsidized schools (Table 1). To avoid bias in the selection, the formula was used for samples of finite populations, with a confidence level of 95% and an estimation error of 5%.

3.2. Instrument

The Questionnaire on Teaching Competences of Primary Education Teachers [36], carried out under the Planned Action Model [37], is used. This theory allows us to predict teacher behaviors based on their beliefs, attitudes, skills, subjective norms and behavioral intentions. A discussion group and a commission of experts in primary education put forward the first formulation of the questionnaire items, and all the proposals were submitted to evaluation and judgement. Subsequently, a pilot study was carried out to validate the questionnaire and to debug those items that could present problems (n = 154). During this process, we went from the initial 97 proposals to a pilot questionnaire made up of 65 items, until reaching a final questionnaire made up of 60 items, on a Likert scale with 5 responses, where 1 was Totally Disagree and 5 was Totally Agree. The questionnaire was divided into 6 factors, following the theory of planned action, and its reliability (Cronbach’s alpha = 0.917) and validity (KMO = 0.757) were excellent. For this research, 13 items referring to teachers’ emotional competencies were used (Table 2). The reality resulting from the COVID-19 pandemic, in which a multitude of primary school students present some psycho-emotional health problems, requires the evaluation of teaching skills to face this new challenge.

3.3. Data Analysis

The scale (summative) is configured under the criterion of “The more the better.” Thus, the higher the value on the scale obtained through adding up all the scores of the questions, the higher the rating in socioemotional competence (Table 2).
Its evaluative character appears in the right column: CMM indicates a higher score and better rating on the scale, and CMP indicates a higher score and worse rating. These are items presented in a negative way, so for their analysis, the answers have been transformed. Answer 1 equals 5, answer 2 equals 4 and answer 3 equals 3.
Descriptive, univariate, bivariate and cluster analyses were performed to answer the research questions. In some cases, we used the mean, standard deviation (sd), interquartile range (IQR), minimum, first quartile, median, third quartile and maximum when the type of variable required it (scale variable).
It is necessary to resort to the corresponding nonparametric tests, the Mann–Whitney–Wilcoxon test, hereinafter the Wilcoxon test, to compare two groups and the Kruskal–Wallis test to compare more than two. For the contrast of proportions, the Z test is used whenever possible for two samples; its objective is to determine if the two independent samples were taken from two populations, which present the same proportion of elements with a certain characteristic. When necessary, the 95% confidence interval is also presented for the proportion of elements that have a certain characteristic. And for the independence analysis for contingency tables, test χ2 is used, if it is not applicable to Fisher’s exact test. For the analysis of the results, the program R is used, and the s RCommander libraries, the graphical library ggplot2 and the library ca are used for the analysis of correspondences. For some independence contrasts, the RcmdrPlugin.IPSUR library is used [62].

4. Results

Analysis of Compliance with the Hypotheses Raised

Hypothesis 1.
The personal characteristics and emotional competences of teachers interfere in the management of students, finding differences depending on sociodemographic and professional variables (sex, age, professional experience, type of center in which they work, whether they have children and teaching vocation).
(a)
Ability to interpret emotions
If the ability of teachers to interpret emotions according to sex is analyzed, it is observed how teachers obtain better results (Wilcoxon, p-value = 0.00001717 < 0.05). They can observe and understand the emotions and feelings of their students better than their fellow teachers (Figure 1 and Figure 2).
It should be noted that the proportion of teachers who score high (4 or 5) is CI95% = (93.9, 98.0), that is, the vast majority believes they are able to interpret and observe the emotions and feelings of students. These high scores do not depend on sex (Fisher, p-value = 0.3309), the type of center (Fisher, p-value = 0.5726), experience (Fisher, p-value = 0.1368) or age (Fisher, p-value = 0.3380).
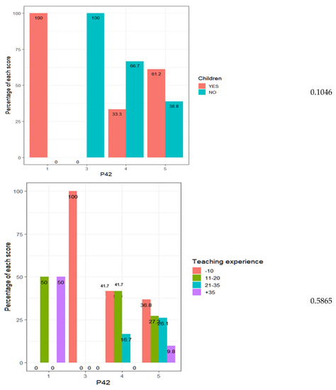
If differences in terms of having children are analyzed, it is observed that for teachers, there are no significant differences (Wilcoxon, p-value = 0.2073 > α = 0.05) (Figure 3), nor for teachers (Wilcoxon, p-value = 0.4671 > α = 0.05) (Figure 4). This shows that there is no greater sensitivity among teachers with children compared to those without children.
(b)
Respect for students
On the other hand, the emotional competencies of teachers also have a lot to do with the way in which teachers interact with students, how they treat them and how they see them. In that sense, it is necessary to analyze the relationship of personal, educational and cultural respects.
As for whether teachers respect their students, it is observed that the answers do not depend on sex, age, teaching experience, the type of center or whether they have children (Figure 5).
All teachers believe they have an attitude of respect towards students. This positive view is confirmed in the number of teachers who score 4 or 5 (Table 3).
In the same way, teachers present a very positive inclusive vision towards their students. In a very high percentage, they reject prejudice, racism and discrimination, although, unfortunately, there is a percentage of teachers (7.5%) who confess a disrespectful attitude (Figure 6).
If analyzed in terms of sociodemographic variables, no differences are observed in terms of age (Kruskal–Wallis, p-value = 0.1439 > 0.05), experience (Kruskal–Wallis, p-value = 0.6898 > 0.05), the type of center (Wilcoxon, p-value = 0.7334 > 0.05) or whether they have children (Wilcoxon, p-value = 0.08935 > 0.05, inconclusive). However, there are differences observed regarding sex (Figure 7).
Men score higher than women (Wilcoxon, p-value = 0.01283 < 0.05), that is, they reject prejudice, racism and discrimination more. Of the teachers who answer 1, that is, who disagree with the statement of rejecting prejudice, racism and discrimination, 88% are women and 12% men. This reality has a difficult explanation.
The contingency tables of those who score 4 or 5, compared to the variables sex, type of center, children and teaching experience, are as follows (Table 4):
The proportion of men who score high (4 or 5) is higher, with a p-value = 0.02053 < 0.05, although, with such a tight p-value, the result is inconclusive.
The contrast of proportions gives a p-value = 0.7532 > 0.05. Consequently, the proportion of teachers who score high (4 or 5) is the same in subsidized and public schools.
The contrast of proportions of those who score 4 or 5 to contrast if the proportion among those who have children is higher gives a p-value = 0.03624 < 0.05. Therefore, it is higher among those who have children, although with an inconclusive result (very tight p-value).
The p-value = 0.3390 for the independence contrast (Fisher) indicates that the proportion of those who score 4 or 5 is similar according to teaching experience.
The independence contrast (Fisher) for the variables age and high scores (4 or 5) gives us a p-value = 0.02939. So, there is dependence between both variables. It seems that teachers over the age of 40 tend to give higher scores.
If the dependency relationship between the variables age and rejection of prejudices is analyzed, it is observed how the contrast of independence (Fisher) gives a p-value = 0.03183 < 0.05. Therefore, both variables are dependent. The contingency table is as follows (Table 5):
Once the dependency relationship between the two variables has been established, it is interesting to know what this relationship is like. The answer to that question lies in correspondence analysis, which is used to represent possible associations between variables (factors) and to determine if it is possible to observe patterns. The distances between the different categories indicate the greater or lesser relationship between them; the relationships between the elements are displayed as distances in a graph (Figure 8).
Correspondence analysis shows that a score of 5 is associated with the highest age (over 41 years).
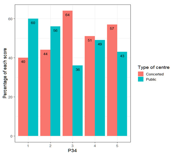
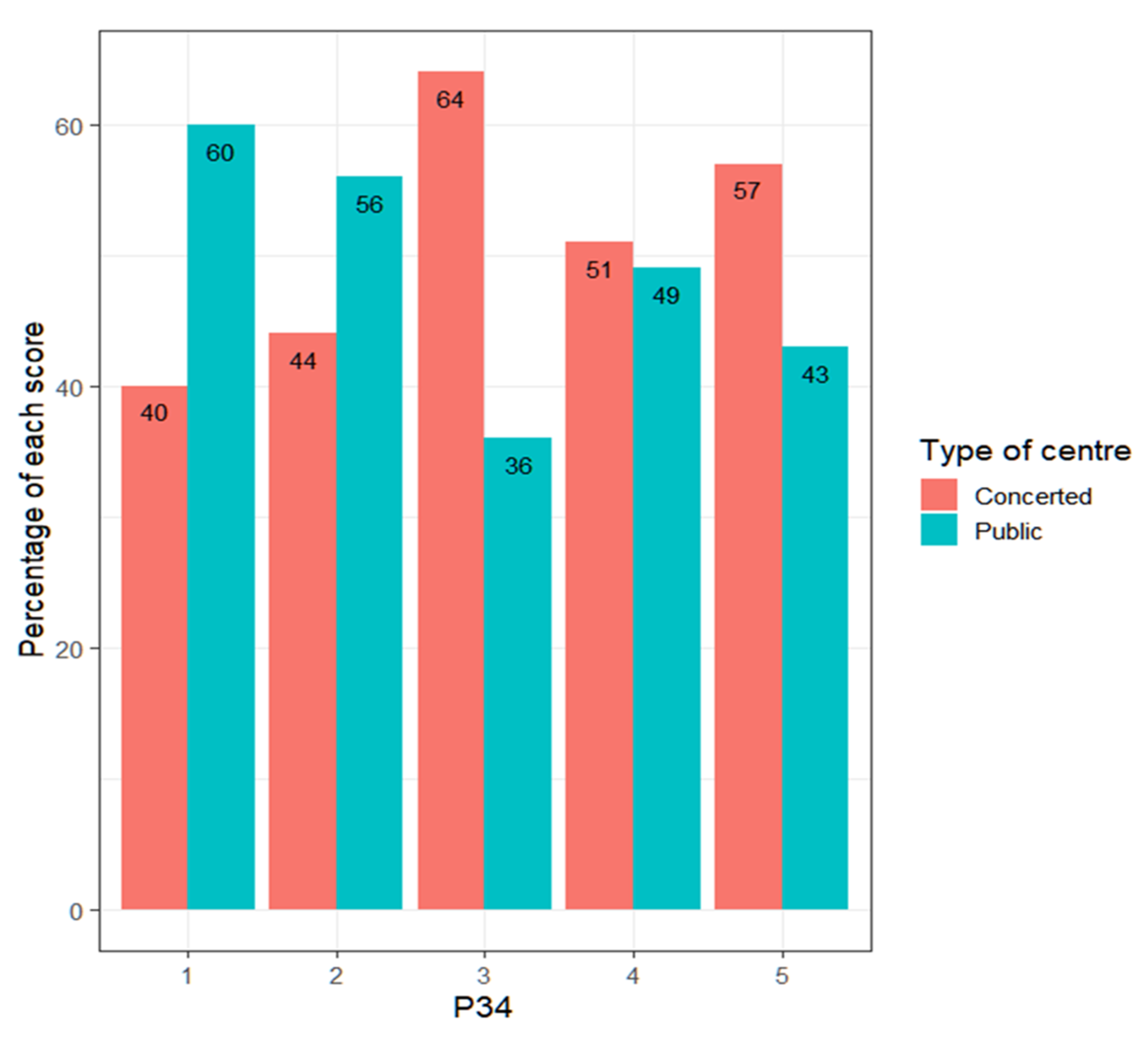
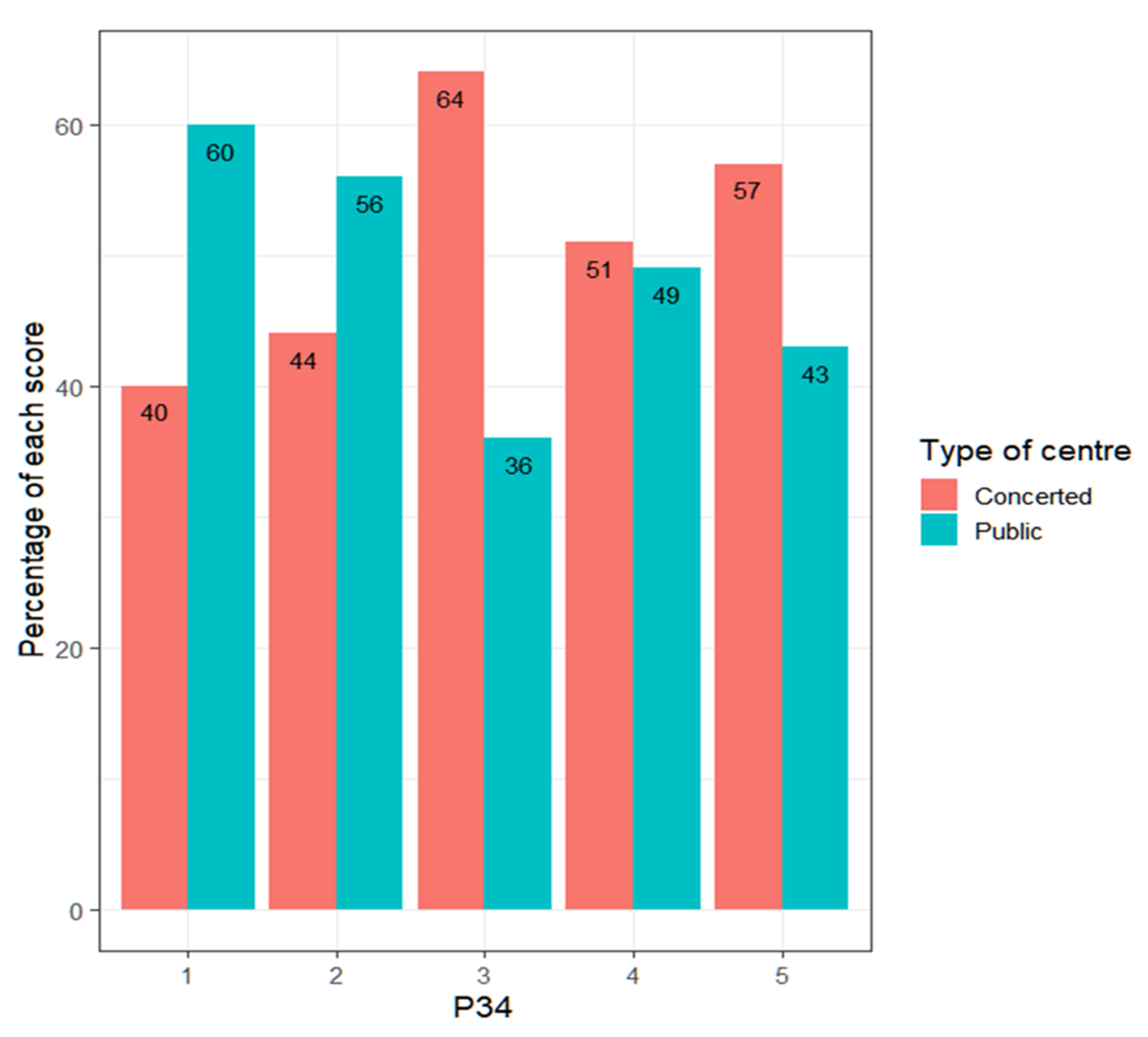
Regarding the commitment of teachers to the personal and cultural management of students—which, again, is an indicator of respect for the students—it is observed how there are no major discrepancies depending on the type of center (Figure 9).
The Wilcoxon test gives a p-value = 0.3149, confirming the visual impression. The distributions of the scores are similar. All teachers have a high commitment to the construction of the personal and cultural identity of their students, despite the difficulties that may arise. In addition, the number of teachers who score 4 or 5 depending on the type of center (contrast of proportions p-value = 0.6715) reinforces this idea (Table 6).
(c)
Teaching vocation–self-esteem
In this section, it is observed how teachers who like their work tend to promote the self-esteem of their students. This denotes a concern for the emotional development of their students. Although the existence of this linear relationship is observed (ANOVA for linear regression, p-value = 0.006 < 0.05), this is not very intense: R2 = 0.018. For nonparametric correlations, the results are similar. The Kendall rank correlation coefficient (Kendall’s coefficient τ) of value τ = 0.175 is significant with a p-value = 0.001 < 0.05. Spearman’s rank correlation coefficient (Spearman’s ρ) of value ρ = 0.177 is significant (p-value = 0.001 < 0.05). The bubble graph of the scores, as well as the line adjusted to the point cloud using least squares, attest to this.
Ejihpe 13 00141 i001
Hypothesis 2.
Classroom management presents significant differences with respect to the emotional competences of teachers depending on professional and sociodemographic variables (sex, age, professional experience, type of center in which they work, whether they have children and teaching vocation).
(a)
Conflict management
The way of managing conflicts by teachers has a high emotional charge within the educational process. Analyzing the preparation of teachers to resolve such conflicts in an appropriate way—taking into account the emotional aspects—falls within their professional competence.
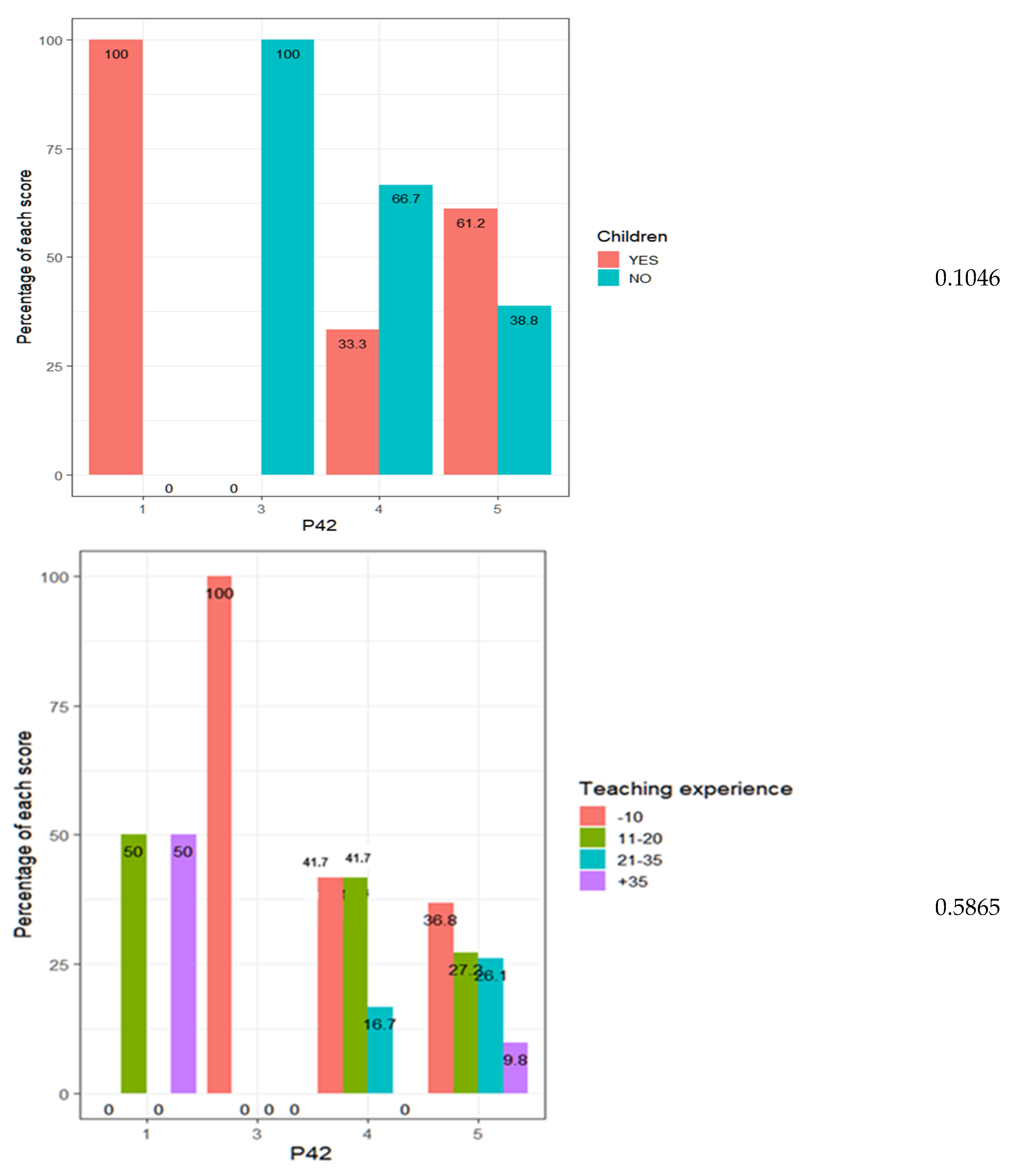
As shown in Figure 10, all teachers score similarly in terms of their ability to deal with conflicts, regardless of their teaching experience (Kruskal–Wallis, p-value = 0.4863 > α = 0.05).
It should be noted that the number of teachers who believe they are not prepared to manage conflicts in the classroom is remarkable (Table 7).
These percentages of teachers who feel unprepared do not depend on sex (contrast of proportions, p-value = 0.9753), nor on whether they have children (contrast of proportions, p-value = 0.5505), on the type of center (contrast of proportions, p-value = 0.7839), on experience (contrast of proportions, p-value = 0.4920) or age (contrast of proportions, p-value = 0.9227).
(b)
Methodological aspects
Creating learning environments for listening to students improves academic performance and the quality of interpersonal relationships. Both pedagogical initiatives have a high emotional depth and generate motivation and a desire to learn.
Analyzing the results, it is observed that younger teachers (20–30 years old) are the ones who are most concerned with creating learning environments that stimulate work in the classroom and attention to diversity, mainly with respect to the group of teachers between 41–50 years old (Figure 11). As there is a case in which the variance of the groups with a center in the median, according to age, is not homogeneous (Levene with center in the median, p-value = 0.02509 < 0.05), we opt for a one-factor ANOVA for the assumption that the variances are not equal (Welch test).
(a)
For this case, the one-way ANOVA p-value (age), not assuming equal variances (Welch test), gives us a p-value = 0.0251 < 0.05. Therefore, there are significant differences between the groups.
(b)
Post hoc contrasts indicate that the highest average score is obtained by the 20–30 age group and that the 41–50 age group obtains the minimum average score, with the difference between the two groups being significant.
(c)
The differences between the rest of the age groups are not significant.
Although the Kruskal–Wallis test is not recommended, it is convenient in this case to see if this test (with the corresponding post hoc contrasts) confirms the above results (Table 8):
(a)
The Kruskal–Wallis test with a p-value = 0.002005 < 0.05 rejects the null hypothesis that the populations from which the samples have been extracted are equidistributed.
(b)
Post hoc contrasts using Wilcoxon to compare each pair of age groups and adjusting the p-value using the Holm method give a similar result.
From the table, it can be deduced that the only significant difference occurs between age groups 20–30 vs. 41–50.
If the high responses (4 or 5) of teachers under 30 years of age compared to those over 30 years of age are analyzed, it is observed that the p-value for the contrast of proportions is as follows: p-value = 0.02477 < 0.05. It is accepted, therefore, that younger people score higher than older people, but with such a tight p-value, the decision is not conclusive (Table 9). The proportion of teachers who score high (4 or 5) is 95% CI = (90.24, 95.40), which shows that most feel committed to attention to diversity.
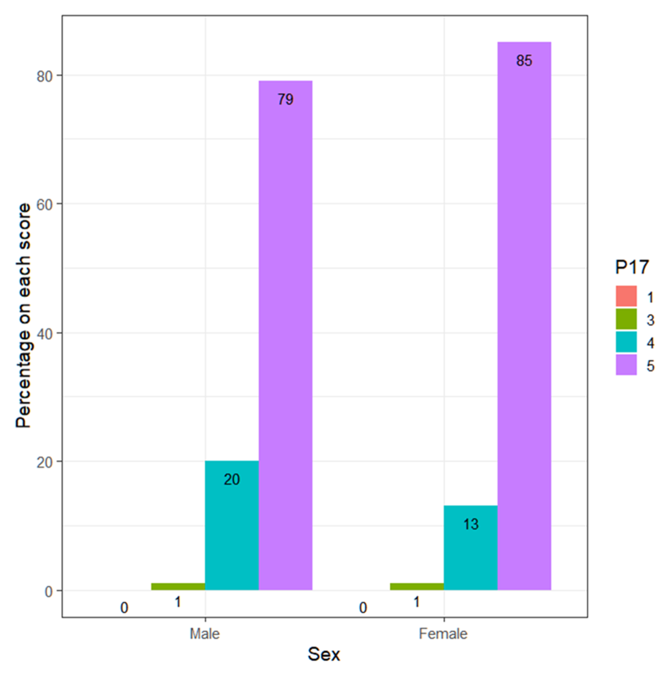
On the other hand, regarding the predisposition to listen to students and let them express their ideas and opinions, it is observed how teachers are the ones who listen to them the most (Wilcoxon, p-value = 0.1717) (Table 10).
It is observed that 78.9% of men score 5, while 85.1% of women score 5. Meanwhile, 20.0% of men score 4, while women score 13.4% (Figure 12).
The teachers who score high (4 or 5), according to sex, are (Table 11):
The Fisher test to contrast the equality of proportions between both groups gives a p-value = 0.9999 > 0.05. Therefore, it cannot be denied that the proportion of teachers who score high (4 or 5) is the same between both sexes. The confidence interval for those who score high, regardless of sex, is as follows: CI95%= (96.9, 99.4).
(c)
Vocation–conflict management
The results show how teachers who like their work tend, slightly, to prepare more to manage conflicts well, although this relationship is not very marked, since the correlation coefficients τ of Kendall (τ = 0.018) and ρ of Spearman (ρ = 0.112) are only slightly positive. Moreover, with such tight p-values, the decision on their significance is inconclusive. The bubble graph of the scores, as well as the line adjusted to the point cloud using least squares, prove it.
Ejihpe 13 00141 i002
To conclude the Results section, we wanted to answer the question posed at the beginning of this article: Do primary school teachers in the city of Valencia feel that they have adequate emotional competencies to deal with the emotional problems caused by COVID-19 among students? The following figure (Figure 13) clearly shows how teachers perceive themselves in terms of their emotional competence (4.6 out of 5):

5. Discussion

The aim of this research is to analyze the emotional competencies of primary school teachers in relation to two hypotheses. The first hypothesis, Hypothesis 1, which states whether the personal characteristics and emotional competencies of teachers interfere in student management, as a function of sociodemographic and professional variables, is not confirmed. There are no differences with respect to age, years of experience, the type of center in which they work, whether they have children or not, and in terms of teaching vocation. Differences are only found with respect to the sex variable. In this study, female teachers show a greater tendency to interpret and respond to the emotional demands of students. This result coincides with those of Molero et al. [63], Furham [64] and Stamatopoulou et al. [65], where it is the female student teachers who show better management of emotional situations. In the same line, it also coincides with the studies of López-Lujan and Sanz [37]; Pena, Rey and Extremera [66]; Llorent et al. [30]; Llorent and Núñez-Flores [29]; Molina et al. [31]; and Palomera et al. [67], who affirm that female teachers project themselves with more ability to attend and perceive students’ emotions. A study by Avissar [35] maintains that male teachers present greater difficulties in managing students’ emotions.
However, in the present study, the differences with respect to gender are not tangentially affirmative of this hypothesis, since, being a self-report, all teachers report respecting students’ emotions as well as indicate that they tend to foster students’ self-esteem. In this sense, the scientific literature advocates that all teachers become “actors of coherence” [68] (p.107). The adequate development of emotional competence among teachers improves the respectful teacher–student relationship [69,70,71], educational practice [43] and educates the civic aspect [72,73]. Similarly, all teachers show a high commitment to the construction of their students’ personal and cultural identity, despite the difficulties that may arise. In this sense, Jordán and Codena [74] agree on how the emotional aspect of teachers influences this construction, and a study with future teachers highlights that what concerns them most is to favor the personal growth and development of their students [75].
Regarding Hypothesis 2, which asks whether classroom management presents significant differences with respect to teachers’ emotional competencies as a function of professional and sociodemographic variables, in this study, the results indicate that there are no differences in terms of gender, age, professional experience, the type of center in which they work, whether they have children or their teaching vocation. Therefore, the hypothesis is not confirmed either.
This conclusion coincides with studies such as those by Lozano et al. [76], Barrientos and Pericacho [43] and Keefer et al. [77], which indicate that all teachers are aware of the importance of the adequate emotional management of the classroom to manage students’ social–emotional competencies and make an effort to do so. However, they are not in line with the results obtained by Cuesta and Azcárate [78], Martínez-Saura et al. [32] and García-Domingo [33], who in their research find significant differences according to age and professional experience in classroom management, especially in relation to the management of attention to student diversity. Nor do our results coincide with those obtained in the macro study by Hattie [79], who affirms that teachers do not listen to their students, or with that carried out by Hattie and Yates [80], who confirm this conclusion and indicate that teachers’ lack of empathy distances them emotionally from students. Therefore, this result does not coincide with the self-perception presented in the present study, in which it is indicated that they listen to and attend to the emotional demands of the students.
It should be noted that this study coincides with many other studies carried out via self-reporting, which indicate that, although the results usually show differences with respect to gender on emotional management in the classroom, this conclusion presents an important bias, since all teachers in general perceive themselves as adequately being able to manage their students’ emotions. This high self-perception of teachers’ emotional competence is also reflected in the studies of Llorent and Núñez-Flores [29] and Lira et al. [81]. In contrast, there are studies in which teachers perceive themselves as having simply adequate competence [33,34] and demand more training [82].
These results have a clear implication from a practical point of view. All the teachers evaluated, regardless of gender, age, professional experience, type of center or whether they have children, show a high perception of their emotional competence as teachers. These results are very positive, since student and classroom management is not conditioned by any sociodemographic variable. Therefore, these results reaffirm that the educational system presents high levels of equity, equal opportunities and quality in all educational contexts and realities.

6. Conclusions

Primary school teachers in the city of Valencia perceive themselves as having a very high emotional competence, in all its dimensions. If we consider the hypotheses put forward in this research, we observe the following:
Hypothesis 1: “The personal characteristics and emotional competences of teachers interfere in the management of students, finding differences depending on sociodemographic and professional variables (sex, age, professional experience, type of center in which they work, if they have children and teaching vocation)”, is not confirmed. In general terms, personal and professional characteristics do not interfere with students’ emotional management. All teachers feel competent or very competent in the interpretation of emotions, in respect for the student, in the construction of their personal and cultural identity and in the promotion of self-esteem.
Only a few small differences are found. It is the teachers who feel more able to observe and interpret the emotions and/or feelings of their students. Male teachers more strongly reject any type of prejudice, racism or discrimination that may occur with respect to a student. The percentage of teachers who say they do not reject prejudice, discrimination and racism is worrying. Finally, it is the teachers with more vocation who promote the self-esteem of the students the most.
Hypothesis 2: “Classroom management presents significant differences with respect to the emotional competences of teachers depending on the professional and sociodemographic variables (sex, age, professional experience, type of center in which they work, if they have children and teaching vocation)”, is also not confirmed. Classroom management does not present significant differences depending on the variables analyzed.
Only small differences are observed: It is the youngest teachers who show the most sensitivity when it comes to creating learning environments that cater to diversity. In the same way, teachers with more vocation are those who claim to feel more qualified to resolve classroom conflicts. There is concern about the percentage of teachers who say they do not feel prepared to manage classroom conflicts.
The hypotheses cannot be fully confirmed. Only some small aspects establish significant differences according to sociodemographic variables.
As for the possible limitations of this research, these lie in the sample, since the results are limited to the city of Valencia, so they cannot be generalized to other realities. Another limitation lies in the structure of the research, since it is a self-perception questionnaire, and the scores tend to be very high. It would be interesting to contrast these results with the opinions of the students.
As for future lines of research, these revolve around the need to implement this study in other cities and/or autonomous communities, to present an X-ray of national teachers around their emotional competences and, thus, to be able to implement continuous training programs. The aim is also to analyze the emotional competencies of teachers at all levels of the educational system—secondary education, baccalaureate and training cycles—since the psycho-emotional impact and mental health problems among young students are also very important.

Author Contributions

Conceptualization, R.S.-P., E.L.-L., Á.S.-S. and J.A.G.-B.; methodology, R.S.-P., E.L.-L., Á.S.-S. and J.A.G.-B.; formal analysis, R.S.-P., E.L.-L., Á.S.-S. and J.A.G.-B.; investigation, R.S.-P., E.L.-L., Á.S.-S. and J.A.G.-B.; data curation, R.S.-P., E.L.-L., Á.S.-S. and J.A.G.-B.; writing—original draft preparation, R.S.-P., E.L.-L., Á.S.-S. and J.A.G.-B.; writing—review and editing, R.S.-P., E.L.-L., Á.S.-S. and J.A.G.-B. All authors have read and agreed to the published version of the manuscript.

Funding

This research («Diagnóstico de las competencias docentes del profesorado no universitario de la provincia de Valencia e identificación de las nuevas necesidades post-pandemia COVID-19. Propuestas de formación docente») was funded by Conselleria de Innovación, Universidades, Ciencia y Sociedad Digital (GE/2022), grant number I+D+i CIGE/2021/014. The APC was funded by EUR 16.000.

Institutional Review Board Statement

The study was conducted in accordance with the Declaration of Helsinki and approved by the Institutional Review Board (or Ethics Committee) of CATHOLIC UNIVERSITY OF VALENCIA (UCV/2020-2021/020 and 20 October 2020) for studies involving humans.

Informed Consent Statement

Informed consent was obtained from all subjects involved in the study.

Conflicts of Interest

The authors declare no conflict of interest. The funders had no role in the design of the study; in the collection, analyses, or interpretation of data; in the writing of the manuscript; or in the decision to publish the results.

References

  1. Sanz, R.; López-Luján, E. Consecuencias pedagógicas entre el alumnado de enseñanza básica derivadas de la COVID-19: Una reflexión en torno a los grandes olvidados de la pandemia. Teoría De La Educación. Rev. Interuniv. 2021, 33, 149–166. [Google Scholar]
  2. Cabero, J.; Romero, R.; Barroso, J.; Palacios, A. Marcos de competencias digitales docentes y su adecuación al profesorado universitario y no universitario. RECIE. Rev. Caribeña De Investig. Educ. 2020, 4, 137–158. [Google Scholar]
  3. García-Aretio, L. Los saberes y competencias docentes en educación a distancia y digital: Una reflexión para la formación. RIED Rev. Iberoam. De Educ. Distancia 2020, 23, 9–30. [Google Scholar] [CrossRef]
  4. Martínez-Garcés, J.; Garcés-Fuenmayor, J. Competencias digitales docentes y el reto de la educación virtual derivado de la COVID-19. Educ. Y Humanismo 2020, 22, 1–16. [Google Scholar] [CrossRef]
  5. Rodríguez-Martínez, A.J. Competencias digitales docentes y su estado en el contexto virtual. Rev. Peru De Investig. E Innovación Educ. 2021, 1, e21038. [Google Scholar] [CrossRef]
  6. Gortazar, L.; Moreno, J.M.; Zubillaga, A. COVID-19 y Educación II: Escuela en Casa y Desigualdad. Un Análisis a Partir de las Respuestas de Directores y Alumnos Recogidos en el Informe PISA 2018; COTEC: Madrid, Spain, 2020. [Google Scholar]
  7. Kuhfeld, M.; Soland, J.; Tarasawa, B.; Johson, A.; Ruzek, E.; Lui, J. Projecting the potential impact of COVID-19 school closures on academic achievement. Educ. Res. 2020, 49, 549–565. [Google Scholar] [CrossRef]
  8. Náñez, J.E.; Holloway, S.R.; Jarret, D.B.; Kaur, G. A call to address academic difficulties resulting from the COVID-19 -Related change in education delivery. World J. Educ. Humanit. 2020, 2, 6–10. [Google Scholar] [CrossRef]
  9. Reimer, F.M.; Schleicher, A. Orientaciones para Guiar la Respuesta Educativa a la Pandemia COVID-19; OECD: Madrid, Spain, 2020.
  10. Zubillaga, A.; Gortazar, L. COVID-19 y Educación I: Problemas, Respuestas y Escenarios. Documento Técnico de Análisis de la Situación Educativa Derivada de la Emergencia Sanitaria; COTEC: Madrid, Spain, 2020. [Google Scholar]
  11. Wang, G.; Zhang, Y.; Zhao, J.; Zhang, J.; Jiang, F. Mitigate the effects of home confinement on children during the COVID-19 outbreak. Lancet 2020, 395, 945–947. [Google Scholar] [CrossRef]
  12. Yang, C. Online teaching self-efficacy, social–emotional learning (SEL) competencies, and compassion fatigue among educators during the COVID-19 pandemic. Sch. Psychol. Rev. 2021, 50, 505–518. [Google Scholar] [CrossRef]
  13. Corcoran, R.P.; O’Flaherty, J. Social and emotional learning in teacher preparation: Pre-service teacher well-being. Teach. Teach. Educ. 2022, 110, 103563. [Google Scholar] [CrossRef]
  14. UNESCO. Apoyar a los Docentes y al Personal Educativo en Tiempos de Crisis; UNESCO: Paris, France, 2020.
  15. UNESCO. Promoción del Bienestar Socioemocional de los Niños y los Jóvenes Durante la Crisis; UNESCO: Paris, France, 2020.
  16. UNESCO. Crisis y Currículo Durante el COVID-19: Mantención de los Resultados de Calidad en el Contexto del Aprendizaje Remoto; UNESCO: Paris, France, 2020.
  17. Gimbert, B.G.; Miller, D.; Herman, E.; Breedlove, M.; Molina, C.E. Social emotional learning in schools: The importance of educator competence. J. Res. Leadersh. Educ. 2023, 18, 3–39. [Google Scholar] [CrossRef]
  18. Save de Children. COVID-19: Cerrar la Brecha. Impacto Educativo y Propuestas de Equidad Para la Desescalada; Save de Children: London, UK, 2020. [Google Scholar]
  19. Serrano, A.; Sanz, R. Reflexiones y propuestas prácticas para desarrollar la capacidad de resiliencia frente a los conflictos en la escuela. Publicaciones 2019, 49, 177–190. [Google Scholar] [CrossRef]
  20. Banco Mundial. COVID-19: Impacto en la Educación y Respuestas de Política Pública; Banco Mundial: Washington, DC, USA, 2020. [Google Scholar]
  21. Noriega, G.; Herrera, L.C.; Montenegro, M.; Torres-Lista, V. Autoestima, Motivación y Resiliencia en las escuelas panameñas con puntajes diferenciados en la Prueba TERCE. Rev. De Investig. Educ. 2020, 38, 533–548. [Google Scholar] [CrossRef]
  22. UNESCO. La Educación en un Mundo tras la COVID: Nueve Ideas Para la Acción Pública. Comisión Internacional Sobre los Futuros de la Educación; UNESCO: Paris, France, 2020.
  23. Bernal, A.; Cárdenas, A. Influencia emocional del profesorado en la construcción de la identidad personal del alumnado. Bordón 2009, 61, 19–31. [Google Scholar]
  24. Ballverka, N.; Gómez-Benito, J.; Hidalgo, M.D.; Gorostiaga, A.; Espada, J.P.; Padilla, J.L.; Santed, M.A. Las Consecuencias Psicológicas de la COVID-19 y el Confinamiento. Informe de Investigación; Universidad del País Vasco: Bilbao, Spain, 2020. [Google Scholar]
  25. Brooks, S.K.; Webster, R.K.; Smith, L.E.; Woodland, L.; Wessely, S.; Greenberg, N.; Rubin, G.J. The psychological impact of quarantine and how to reduce it: Rapid review of the evidence. Lancet 2020, 395, 912–920. [Google Scholar] [CrossRef]
  26. Cao, W.; Fang, Z.; Hon, G.; Han, M.; Xu, X.; Dong, J.; Zheng, J. The psychological impact of the COVID-19 epidemic on collage students in China. Psychiatry Res. 2020, 287, 1–5. [Google Scholar] [CrossRef]
  27. Wang, C.; Pan, R.; Wan, X.; Tan, Y.; Xu, L.; Ho, C.S.; Ho, R.C. Immediate psychological responses and associated factors during the initial stage of the 2019 Coronavirus disease (COVID-19) epidemic among the general population in China. Int. J. Environ. Res. Public Health 2020, 17, 1729. [Google Scholar] [CrossRef]
  28. Sanz, R.; López-Luján, E. Aprendizajes educativos como consecuencia de la pandemia COVID-19. ¿Qué papel debe jugar la escuela en el nuevo escenario mundial? Rev. Complut. De Educ. 2022, 33, 215–223. [Google Scholar] [CrossRef]
  29. Llorent, V.J.; Núñez-Flores, M. Las competencias socioemocionales y morales del profesorado de Educación Infantil a Educación Primaria. Rev. Complut. De Educ. 2023, 34, 593–603. [Google Scholar] [CrossRef]
  30. Llorent, V.J.; Zych, I.; Varo-Millán, J.C. Competencias socioemocionales autoperecibidas en el profesorado universitario en España. Educ. XXI 2020, 23, 297–318. [Google Scholar]
  31. Molina, A.; Cahill, H.; Dadvand, B. The role of gender, setting and experience in teacher beliefs and intentions in social and emotional learning and respectful relationships education. Aust. Educ. Res. 2021, 49, 63–79. [Google Scholar] [CrossRef]
  32. Martínez-Saura, H.F.; Sánchez-López, M.C.; Pérez-González, J.C. Competencia emocional en docentes de Infantil y Primaria y estudiantes universitarios de los Grados de Educación Infantil y Primaria. ESE. Estud. Sobre Educ. 2022, 42, 9–33. [Google Scholar] [CrossRef]
  33. García-Domingo, B. Competencia emocional en maestros de educación infantil y primaria: Fuentes de variabilidad y sugerencias de mejora. Rev. Electrónica Interuniv. De Form. Del Profr. 2021, 24, 1–15. [Google Scholar] [CrossRef]
  34. Sepúlveda-Ruiz, M.P.; Guillén-Gámez, F.D.; García-Vila, E.; Mayorga-Fernández, M.J. Competencia emocional del futuro docente en educación infantil y primaria: Análisis de predictores significativos. Form. Univ. 2021, 14, 105–114. [Google Scholar] [CrossRef]
  35. Avissar, N. Emergency Remote Teaching and Social–Emotional Learning: Examining Gender Differences. Sustainability 2023, 15, 5256. [Google Scholar] [CrossRef]
  36. Steinmetz, H.; Knappstein, M.; Ajzen, I.; Schmidt, P.; Kabst, R. How Effective are Behavior Change Interventions Based on the Theory of Planned Behavior? A Three-Level Meta-Analysis. Z. Für Psychol. 2016, 224, 216–233. [Google Scholar] [CrossRef]
  37. López-Luján, E.; Sanz, R. Construcción y validación del cuestionario de autopercepción sobre las Competencias docentes del profesorado. Educ. Siglo XXI 2021, 39, 157–186. [Google Scholar] [CrossRef]
  38. Cabello, R.; Ruíz-Aranda, D.; Fernández-Berrocal, P. Docentes emocionalmente inteligentes. Rev. Electrónica Interuniv. De Form. Del Profr. 2010, 13, 41–49. [Google Scholar]
  39. Tian, J.; Zhang, W.; Mao, Y.; Gurr, D. The impact of transformational leadership on teachers’ job burnout: The mediating role of social-emotional competence and student-teacher relationship. J. Educ. Adm. 2022, 60, 369–385. [Google Scholar] [CrossRef]
  40. Warren, C.A.; Presberry, C.; Louis, L. Examining teacher dispositions for evidence of (transformative) social and emotional competencies with Black boys: The case of three urban high school teachers. Urban Educ. 2022, 57, 251–277. [Google Scholar] [CrossRef]
  41. Muñoz, M.Á. Perfil docente, bienestar y competencias emocionales para la mejora, calidad e innovación de la escuela. Boletín Redipe 2019, 8, 131–144. [Google Scholar] [CrossRef]
  42. Bulás-Montoro, M.; Ramírez-Camacho, A.L.; Corona-Galindo, M.G. Relevancia de las competencias emocionales en el proceso de enseñanza aprendizaje a nivel de posgrado. Rev. De Estud. Y Exp. En Educ. 2020, 19, 57–73. [Google Scholar] [CrossRef]
  43. Barrientos, A.; Sánchez, R.; Pericacho, F.J. Competencias sociales y emocionales del profesorado de Educación Infantil y su relación con la gestión del clima de aula. Estud. Sobre Educ. 2020, 38, 59–78. [Google Scholar]
  44. Bisquerra, R.; Pérez, J.C.; García, E. Inteligencia Emocional en Educación; Síntesis: Madrid, Spain, 2015. [Google Scholar]
  45. Mestre, J.M.; Fernández-Berrocal, P. Manual de Inteligencia Emocional; Pirámide: Madrid, Spain, 2012. [Google Scholar]
  46. Vaello-Orts, J.; Vaello-Pecino, O. Competencias socioemocionales del profesorado. Rev. Del Cons. Esc. Del Estado. Particip. Educ. Emoc. Y Convivencia 2018, 5, 93–104. [Google Scholar]
  47. Mora, N.; Martínez-Otero, V.; Santander-Trigo, S.; Gaeta, M.L. Inteligencia emocional en la formación del profesorado de Educación Infantil y Primaria. Perspect. Educ. 2022, 61, 53–77. [Google Scholar]
  48. Aguayo-Muela, A.; Aguilar-Luzón, M.C. Principales resultados de investigación sobre Inteligencia Emocional en Docentes Españoles. ReiDoCrea 2017, 6, 170–193. [Google Scholar] [CrossRef]
  49. Bisquerra, R.; García-Navarro, E. La educación emocional requiere formación del profesorado. Rev. Del Cons. Esc. Del Estado. Particip. Educ. Emoc. Y Convivencia 2018, 5, 3–28. [Google Scholar]
  50. Laudadío, J.; Mazzitelli, C. Formación del profesorado: Estilos de enseñanza y habilidades emocionales. Rev. Mex. De Investig. Educ. 2019, 24, 853–869. [Google Scholar]
  51. Benito, T.; Messina, C.; Andres, C.; Fernandes, L. Evaluación de la Competencia Emocional docente del alumnado de Magisterio en prácticas: Aprender a regular emociones a partir de la escritura de un “emociodiario”. Rev. Electrónica Interuniv. De Form. Del Profr. 2022, 25, 145–157. [Google Scholar] [CrossRef]
  52. Schonerl-Reichl, K. Social and Emotional Learning and Teachers. Future Child. 2017, 27, 137–155. [Google Scholar] [CrossRef]
  53. Porras-Carmona, S.; Pérez-Dueñas, C.; Checa-Fernández, P.; Luque-Salas, B. Competencias emocionales de las futuras personas docentes: Un estudio sobre los niveles de inteligencia emocional y empatía. Rev. Educ. 2020, 44, 80–95. [Google Scholar] [CrossRef]
  54. Whitehead, J.; Suave, J. The Importance of Teacher Well-being and Social and Emotional Learning: A Literature Review Prepared for Millennium.org. 2018. Available online: https://static1.squarespace.com/static/59dd06ba8a02c73de886b306/t/5c33d5041ae6cfcc025322a1/1546900742535/Importance+of+Teacher+Well-Being+and+Social+Emotional+Learning.pdf (accessed on 20 May 2022).
  55. Palomera, R.; Briones, E.; Gómez-Linares, A. Formación en valores y competencias socioemocionales para docentes tras una década de innovación. Prax. Saber 2019, 10, 93–117. [Google Scholar] [CrossRef]
  56. Gutiérrez-Torres, A.M.; Buitrago, S.J. Las habilidades socioemocionales en los docentes: Herramientas de paz en la escuela. Prax. Saber 2019, 10, 167–192. [Google Scholar] [CrossRef]
  57. Herrera, L.; Buitrago, R. Emociones, inteligencia emocional, educación y profesorado. In Retos y Desafíos Actuales de la Educación Superior Desde la Perspectiva del Profesorado Universitario; Herrera, L., Ed.; Síntesis: Madrid, Spain, 2014; pp. 179–203. [Google Scholar]
  58. Osuna-Lever, C.; Díaz-López, K.M. La práctica docente reflexiva en profesores mexicanos ante los retos de la nueva ciudadanía. Educ. Siglo XXI 2019, 37, 113–130. [Google Scholar] [CrossRef]
  59. Bravo, F.; Lucía, O.; Romero, J.; Alfonso, G.; López, H. Ambientes de Aprendizaje; ACACIA: Colombia, 2018. [Google Scholar]
  60. Castro-Florez, M.C. Ambientes de aprendizaje. Sophia-Educ. 2019, 15, 40–54. [Google Scholar] [CrossRef]
  61. Espinoza, L.A.; Rodríguez-Zamora, R. La generación de ambientes de aprendizaje: Un análisis de la percepción juvenil. Rev. Iberoam. Para La Investig. Y El Desarro. Educ. 2017, 7, 1–23. [Google Scholar] [CrossRef]
  62. R Core Team. R: A Language and Environment for Statistical Computing; R Foundation for Statistical Computing: Vienna, Austria, 2022. [Google Scholar]
  63. Molero, D.; Pantoja, A.; Galiano, M. Inteligencia emocional rasgo en la formación inicial del profesorado. Contextos Educ. 2017, 20, 43–56. [Google Scholar] [CrossRef]
  64. Furham, A. The relationship between cognitive ability, emotional intelligence and creativity. Psychology 2016, 7, 193–197. [Google Scholar] [CrossRef]
  65. Stamatopoulou, M.; Galanis, P.; Prezerakos, P. Psychometric properties of the Greek translation of the trail emotional intelligence questionnaire-short form. Personal. Individ. Differ. 2016, 95, 80–84. [Google Scholar] [CrossRef]
  66. Pena, M.; Rey, L.; Extremera, N. Life satisfaction and engagement in elementary and primary educators: Differences in emotional intelligence and gender. Rev. De Psicodidáctica 2012, 17, 341–360. [Google Scholar] [CrossRef]
  67. Palomera, R.; Gil, P.; Brackett, M.A. ¿Se perciben con inteligencia emocional los docentes? Posibles consecuencias sobre la calidad educativa. Rev. De Educ. 2006, 341, 687–703. [Google Scholar]
  68. Meirieu, P. Riquezas y límites del enfoque por “competencias” del ejercicio de la profesión docente hoy. Pedagog. Y Saberes 2019, 50, 97–108. [Google Scholar] [CrossRef]
  69. Poulou, M. Students’ emotional and behavioral difficulties: The role of teachers’ social and emotional learning and teacher-student relationships. Int. J. Emot. Educ. 2018, 9, 146–153. [Google Scholar]
  70. Domitrovich, C.; Durlak, J.; Staley, K.; Weissberg, R. Social-emotional competence: An essential factor for promoting positive adjustment and reducing risk in school children. Child Dev. 2017, 88, 1–8. [Google Scholar] [CrossRef]
  71. Jennings, P.; Brown, J.; Frank, J.; Doyle, S.; Oh, Y.; Davis, R.; Rasheed, D.; Deweese, A.; Demauro, A.; Cham, H.; et al. Impacts of the CARE for teachers’ program on teachers´ social and emotional competence and classroom interactions. J. Educ. Psychol. 2017, 109, 1010–1028. [Google Scholar] [CrossRef]
  72. López-López, V.; Zagal, E.; Lagos, N. Competencias socioemocionales en el contexto educativo: Una reflexión desde la Pedagogía contemporánea. Rev. Reflexión E Investig. Educ. 2020, 3, 149–160. [Google Scholar]
  73. Fernández-Berrocal, P.; Cabello, R.; Gutiérrez-Cobo, J. Competencias Emocionales en Educación. Rev. Interuniv. De Form. Del Profr. 2017, 88, 15–26. [Google Scholar]
  74. Jordán, J.A.; Codana, A. La influencia del profesor apasionado en la mejora académica y el desarrollo personal de sus alumnos. Estud. Sobre Educ. 2019, 36, 31–51. [Google Scholar] [CrossRef]
  75. Esteban, F.; Mellen, T. ¿Por qué quieres ser maestro?, ¿cómo es un buen maestro? Ideas para la formación universitaria. Bordón 2016, 68, 185–198. [Google Scholar] [CrossRef]
  76. Lozano, G.M.; Sáez, F.M.; López-Angulo, Y. Competencias socioemocionales en docentes de Primaria y Secundaria: Una revisión sistemática. Páginas De Educ. 2022, 15, 1–22. [Google Scholar]
  77. Keefer, K.V.; Parker, J.D.A.; Saklofske, D.H. Emotional Intelligence in Education. Integrating Research with Practice; Springer: Cham, Switzerland, 2018. [Google Scholar]
  78. Cuesta, J.; Azcárate, P. Un estudio de casos sobre las concepciones y las preocupaciones docentes del profesorado novel de Secundaria. Bordón 2005, 57, 489–506. [Google Scholar]
  79. Hattie, J. Aprendizaje Visible” para Profesores. Maximizando el Impacto en el Aprendizaje; Paraninfo: Madrid, Spain, 2017. [Google Scholar]
  80. Hattie, J.; Yates, G. El Aprendizaje Visible y el Estudio de sus Procesos; Paraninfo: Madrid, Spain, 2018. [Google Scholar]
  81. Lira, M.M.; Fernández, A.M.; Guasch, C.A. Relevancia pedagógica de las competencias socioemocionales desde la perspectiva de los profesores de Educación Primaria. Entramados Educ. Y Soc. 2022, 9, 120–136. [Google Scholar]
  82. Smith, J.D.; Whitley, J. Teaching with Acceptance and Commitment: Building teachers’ social-emotional competencies for teaching effectiveness. Educ. Forum 2023, 87, 90–104. [Google Scholar] [CrossRef]
Figure 1. Absolute frequencies according to sex.
Figure 1. Absolute frequencies according to sex.
Ejihpe 13 00141 g001
Figure 2. Percentage of each response over the total, by gender.
Figure 2. Percentage of each response over the total, by gender.
Ejihpe 13 00141 g002
Figure 3. Percentage of each score (women), according to whether they have children or not.
Figure 3. Percentage of each score (women), according to whether they have children or not.
Ejihpe 13 00141 g003
Figure 4. Percentage of each score (men), according to whether they have children or not.
Figure 4. Percentage of each score (men), according to whether they have children or not.
Ejihpe 13 00141 g004
Figure 5. Percentages for each response for sociodemographic variables.
Figure 5. Percentages for each response for sociodemographic variables.
Ejihpe 13 00141 g005aEjihpe 13 00141 g005bEjihpe 13 00141 g005c
Figure 6. Percentage of responses.
Figure 6. Percentage of responses.
Ejihpe 13 00141 g006
Figure 7. Percentage of each score according to gender.
Figure 7. Percentage of each score according to gender.
Ejihpe 13 00141 g007
Figure 8. Symmetrical map of the answers, based on age.
Figure 8. Symmetrical map of the answers, based on age.
Ejihpe 13 00141 g008
Figure 9. Percentage of each score according to the type of center.
Figure 9. Percentage of each score according to the type of center.
Ejihpe 13 00141 g009
Figure 10. Absolute frequencies of responses vs. teaching experience.
Figure 10. Absolute frequencies of responses vs. teaching experience.
Ejihpe 13 00141 g010
Figure 11. Graph of means by age.
Figure 11. Graph of means by age.
Ejihpe 13 00141 g011
Figure 12. Percentage by sex of each of the responses.
Figure 12. Percentage by sex of each of the responses.
Ejihpe 13 00141 g012
Figure 13. Average overall score of teachers’ emotional competencies.
Figure 13. Average overall score of teachers’ emotional competencies.
Ejihpe 13 00141 g013
Table 1. Sample composition.
Table 1. Sample composition.
Sex Women74.4%
Men25.6%
Age Between 20–30 years24.3%
Between 31–40 years23.5%
Between 41–50 years24.3%
More than 50 years28%
Ownership of the centerPublic schools43.9%
Subsidised centres56.1%
Teaching experienceLess than 10 years36.9%
Between 11 and 20 years old27.8%
Between 21 and 35 years old25.6%
More than 35 years9.7%
ChildrenIf they have children60.4%
They have no children39.6%
Table 2. Items regarding emotional competence and character.
Table 2. Items regarding emotional competence and character.
QuestionsCharacter
5. I am not prepared to resolve or manage conflicts in the classroom or in the centerCMP
17. I listen to the questions and questions that students ask meCMM
26. I generate an environment in which personal and cultural differences are perceived as mutual enrichment CMM
27. I observe and interpret students’ emotions and/or feelingsCMM
28. It is difficult for me to relate to classmates, students and families CMP
29. It is not my role to properly observe and interpret the possible risk behaviors of students (addictions, abuse, …)CMP
31. I feel responsible for student learning CMM
34. I am not committed to managing the cultural and personal diversity of studentsCMP
37. I do not feel committed to the collaboration with the Management Team of the CenterCMP
42. Respect for the studentCMM
43. Promoting students’ self-esteemCMM
45. I reject prejudice, racism and discriminationCMM
50. I don’t like the teaching professionCMP
Note: CMM stands for “cuanto más mejor” in Spanish (“the higher, the better” in English); CMP stands for “cuanto más peor” in Spanish (“the higher, the worse” in English).
Table 3. Proportion of teachers who score high against sociodemographic variables.
Table 3. Proportion of teachers who score high against sociodemographic variables.
SexScore 4 or 5Score 1, 2 or 3% Score 4 or 5p–Fisher’s Test ValueConclusion
Man94198.9%0.04826 < 0.05The proportion of those who score high is higher among women than among men. Inconclusive decision.
Woman274299.3%
Type of centerScore 4 or 5Score 1 2 or 3% score 4 or 5
Concerted207199.5%0.8484 > 0.05The proportion of those who score high is similar between public and private schools.
Public161298.8%
ChildrenScore 4 or 5Score 1 2 or 3% score 4 or 5
No146199.3%0.05285 > 0.05The proportion of those who score high is similar among those who have children or not. Inconclusive decision.
Yes222299.1%
Experience teacherScore 4 or 5Score 1 2 or 3% score 4 or 5
−10136199.3%0.3390 > 0.05The proportion of those who score high is similar according to teaching experience.
11–20102199.0%
21–35950100%
35+35197.2%
AgeScore 4 or 5Score 1 2 or 3% score 4 or 5
20–30900100%0.02939 < 0.05The proportion of those who score high differs according to age. The decision is inconclusive.
31–4086198.9%
41–5089198.9%
51+103199.0%
Table 4. The contingency tables for teachers scoring 4 or 5, compared to the variables gender, type of center, children, and teaching experience.
Table 4. The contingency tables for teachers scoring 4 or 5, compared to the variables gender, type of center, children, and teaching experience.
(a) For sex
SexScore 4 or 5Score 1, 2 or 3% Score 4 or 5
Man92396.8%
Woman2492790.2%
(b) For type of center
Type of
Center
Score 4 or 5Score 1, 2 or 3% Score 4 or 5
Concerted1921692.3%
Public1491491.4%
(c) For children
ChildrenScore 4 or 5Score 1, 2 or 3% Score 4 or 5
No1301788.4%
Yes2111394.2%
(d) For teaching experience
Teaching
Experience
Score 4 or 5Score 1 2 or 3% Score 4 or 5
−101231489.8%
11–20931090.3%
21–3591495.8%
35+34294.5%
(e) To age
AgeScore 4 or 5Score 1 2 or 3% Score 4 or 5
20–30781286.7%
31–40771088.5%
41–5087396.7%
51+99595.2%
Table 5. Absolute frequencies and percentage of each score.
Table 5. Absolute frequencies and percentage of each score.
Ratings for P45
Age12345
20–3010 (40%)2 (66.7%)0 (0.0%)4 (30.8%)74 (22.6%)
31–409 (36%)0 (0.0%)1 (50%)0 (0.0%)77 (23.5%)
41–503 (12%)0 (0.0%)0 (0.0%)4 (30.8%)83 (25.3%)
50+3 (12%)1 (33.3%)1 (50%)5 (38.5%)94 (28.7%)
Total25 (100%)3 (100%)2 (100%)13 (100%)328 (100%)
Table 6. Teachers who score high according to the type of center.
Table 6. Teachers who score high according to the type of center.
Center TypeScore 4 or 5Score 1 2 or 3% Score 4 or 5
Concerted1951393.8
Public1511292.6
Table 7. Percentage of teachers scoring low and Teaching experience.
Table 7. Percentage of teachers scoring low and Teaching experience.
Teaching ExperienceLess than 10 YearsBetween 11–20Between 21–35More than 35 Years
% scoring 1 or 216.8%17.5%22.1%11.1%
Table 8. Pairwise comparisons using Wilcoxon’s rank sum test with continuity correction.
Table 8. Pairwise comparisons using Wilcoxon’s rank sum test with continuity correction.
Age
20–3031–4041–50
31–400.839--
41–500.0130.146-
51+0.4520.8390.297
p value adjustment method: Holm.
Table 9. High scores for ages over 30 and under 30.
Table 9. High scores for ages over 30 and under 30.
AgeScore 4 or 5 on P34Score 1, 2 or 3 in P34% Scoring 4 or 5
Under 3088297.8%
Over 302582391.8%
Table 10. Absolute frequencies and percentage of each score according to sex.
Table 10. Absolute frequencies and percentage of each score according to sex.
Table of Frequencies
Sex12345Total
Man001197595
Woman10337235276
Percentage
Sex12345Total
Man0.0%0.0%1.1%20.0%78.9%100%
Woman0.4%0.0%1.1%13.4%85.1%100%
Table 11. High scores by sex.
Table 11. High scores by sex.
SexScore 4 or 5Score 1, 2 or 3% Score 4 or 5
Man94198.9%
Woman272498.6%
Disclaimer/Publisher’s Note: The statements, opinions and data contained in all publications are solely those of the individual author(s) and contributor(s) and not of MDPI and/or the editor(s). MDPI and/or the editor(s) disclaim responsibility for any injury to people or property resulting from any ideas, methods, instructions or products referred to in the content.

Share and Cite

MDPI and ACS Style

Sanz-Ponce, R.; López-Luján, E.; Serrano-Sarmiento, Á.; Giménez-Beut, J.A. Emotional Competences of Primary Education Teachers: A Need in School Post COVID-19. Eur. J. Investig. Health Psychol. Educ. 2023, 13, 1961-1985. https://doi.org/10.3390/ejihpe13100141

AMA Style

Sanz-Ponce R, López-Luján E, Serrano-Sarmiento Á, Giménez-Beut JA. Emotional Competences of Primary Education Teachers: A Need in School Post COVID-19. European Journal of Investigation in Health, Psychology and Education. 2023; 13(10):1961-1985. https://doi.org/10.3390/ejihpe13100141

Chicago/Turabian Style

Sanz-Ponce, Roberto, Elena López-Luján, Ángela Serrano-Sarmiento, and Juan Antonio Giménez-Beut. 2023. "Emotional Competences of Primary Education Teachers: A Need in School Post COVID-19" European Journal of Investigation in Health, Psychology and Education 13, no. 10: 1961-1985. https://doi.org/10.3390/ejihpe13100141

APA Style

Sanz-Ponce, R., López-Luján, E., Serrano-Sarmiento, Á., & Giménez-Beut, J. A. (2023). Emotional Competences of Primary Education Teachers: A Need in School Post COVID-19. European Journal of Investigation in Health, Psychology and Education, 13(10), 1961-1985. https://doi.org/10.3390/ejihpe13100141

Article Metrics

Back to TopTop