Preparation of Slow-Release Insecticides from Biogas Slurry: Effectiveness of Ion Exchange Resin in the Adsorption and Release of Ammonia Nitrogen
Abstract
:1. Introduction
2. Material and Methods
2.1. Experimental Materials
2.2. Standard Curve Drawing
2.3. Experimental Scheme
2.3.1. Resin Static Adsorption Test
2.3.2. Effect of Different NaCl Concentrations on the Slow Release of Ammonia Nitrogen
2.3.3. Adsorption of Ammonia Nitrogen from the Biogas Slurry by the Resin
2.4. Determination of Ammonia Nitrogen by Nessler’s Reagent Spectrophotometer
2.5. Isotherm Curve Fitting
2.6. Adsorption Kinetic Model Fitting
2.7. Statistical Analysis
3. Results and Discussion
3.1. Effect of Resin Addition on Ammonia Nitrogen Adsorption
3.2. Effect of the Ammonia Nitrogen Concentration on Ammonia Nitrogen Adsorption by the Resin at Different Temperatures
3.3. Effect of the pH Value on Ammonia Nitrogen Adsorption
3.4. Effect of the Adsorption Time on Ammonia Nitrogen Adsorption
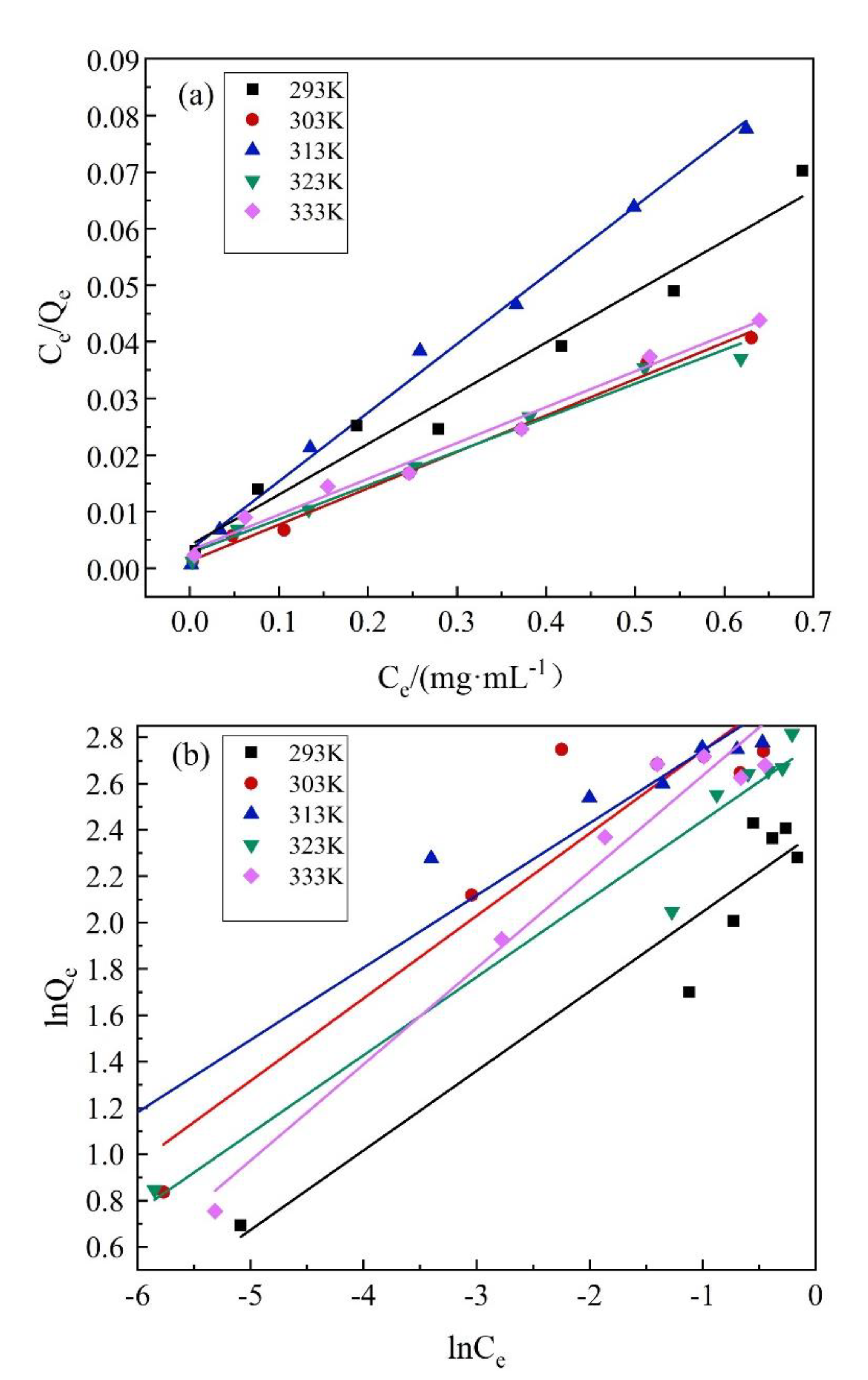
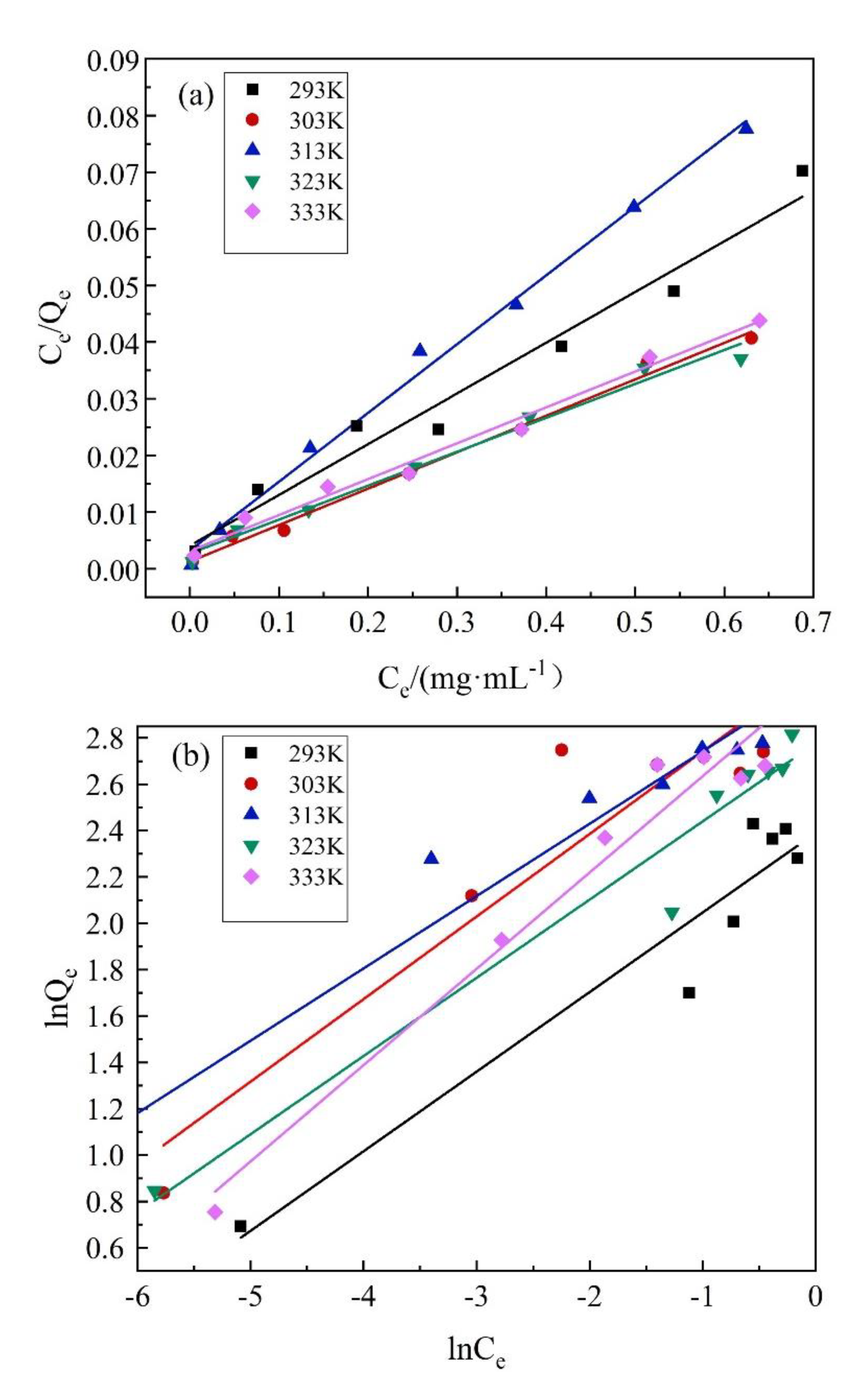
3.5. Adsorption Isotherm
3.6. Adsorption Kinetics
3.7. Effect of Different NaCl Concentrations on the Slow Release of Ammonia Nitrogen
3.8. Comparison of the Adsorption Ammonium Nitrogen Effect of Resin from Biogas Slurry and the Ammonia Chloride Solution
4. Conclusions
Author Contributions
Funding
Institutional Review Board Statement
Informed Consent Statement
Data Availability Statement
Conflicts of Interest
References
- Perlatti, B.; de Souza Bergo, P.L.; da Silva, M.F.D.G.F.; Batista, J.; Rossi, M. Polymeric Nanoparticle-Based Insecticides: A Controlled Release Purpose for Agrochemicals. Insectic. Dev. Safer More Eff. Technol. 2013, 523–550. [Google Scholar] [CrossRef] [Green Version]
- Kaonga, C.C.; Takeda, K.; Sakugawa, H. Concentration and degradation of alternative biocides and an insecticide in surface waters and their major sinks in a semi-enclosed sea, Japan. Chemosphere 2016, 145, 256–264. [Google Scholar] [CrossRef] [PubMed]
- Mattos, B.; Rojas, O.; Magalhaes, W. Biogenic silica nanoparticles loaded with neem bark extract as green, slow-release biocide. J. Clean. Prod. 2017, 142, 4206–4213. [Google Scholar] [CrossRef]
- Ghormade, V.; Deshpande, M.V.; Paknikar, K. Perspectives for nano-biotechnology enabled protection and nutrition of plants. Biotechnol. Adv. 2011, 29, 792–803. [Google Scholar] [CrossRef] [PubMed]
- Colson, A.O.; Besler, B.; Close, D.M.; Sevilla, M.D. Ab initio molecular orbital calculations of DNA bases and their radical ions in various protonation states: Evidence for proton transfer in GC base pair radical anions. J. Phys. Chem. 1992, 96, 661–668. [Google Scholar] [CrossRef]
- Bollag, J.-M.; Myers, C.J.; Minard, R.D. Biological and chemical interactions of pesticides with soil organic matter. Sci. Total. Environ. 1992, 123–124, 205–217. [Google Scholar] [CrossRef]
- Joshi, P.P.; Van Cleave, A.; Held, D.W.; Howe, J.A.; Auad, M.L. Preparation of slow release encapsulated insecticide and fertilizer based on superabsorbent polysaccharide microbeads. J. Appl. Polym. Sci. 2020, 137, 49177. [Google Scholar] [CrossRef]
- Wang, P.; Zhang, X.; Gouda, S.G.; Yuan, Q. Humidification-dehumidification process used for the concentration and nutrient recovery of biogas slurry. J. Clean. Prod. 2019, 247, 119142. [Google Scholar] [CrossRef]
- Shi, M.; He, Q.; Feng, L.; Wu, L.; Yan, S. Techno-economic evaluation of ammonia recovery from biogas slurry by vacuum membrane distillation without pH adjustment. J. Clean. Prod. 2020, 265, 121806. [Google Scholar] [CrossRef]
- Ma, H. A Brief Analysis on Comprehensive Utilization Strategies of Biogas Slurry. NEBEFS 2012, 36, 5. [Google Scholar]
- Baştabak, B.; Koçar, G. A review of the biogas digestate in agricultural framework. J. Mater. Cycles Waste Manag. 2020, 22, 1318–1327. [Google Scholar] [CrossRef]
- You, L.; Yu, S.; Liu, H.; Wang, C.; Zhou, Z.; Zhang, L.; Hu, D. Effects of biogas slurry fertilization on fruit economic traits and soil nutrients of Camellia oleifera Abel. PLoS ONE 2019, 14, e0208289. [Google Scholar] [CrossRef] [Green Version]
- Wang, L.; Yu, G.; Li, J.; Feng, Y.; Peng, Y.; Zhao, X.; Tang, Y.; Zhang, Q. Stretchable hydrophobic modified alginate double-network nanocomposite hydrogels for sustained release of water-insoluble pesticides. J. Clean. Prod. 2019, 226, 122–132. [Google Scholar] [CrossRef]
- Margulis-Goshen, K.; Magdassi, S. Nanotechnology: An Advanced Approach to the Development of Potent Insecticides. Adv. Technol. Manag. Insect Pests 2012, 295–314. [Google Scholar] [CrossRef]
- Pang, W.; Hou, D.; Wang, H.; Sai, S.; Wang, B.; Ke, J.; Wu, G.; Li, Q.; Holtzapple, M. Preparation of Microcapsules of Slow-Release NPK Compound Fertilizer and the Release Characteristics. J. Braz. Chem. Soc. 2018, 29, 2397–2404. [Google Scholar] [CrossRef]
- Bramhanwade, K.; Shende, S.; Bonde, S.; Gade, A.; Rai, M. Fungicidal activity of Cu nanoparticles against Fusarium causing crop diseases. Environ. Chem. Lett. 2015, 14, 229–235. [Google Scholar] [CrossRef]
- Zhuang, C.; Shi, C.; Tao, F.; Cui, Y. Honeycomb structural composite polymer network of gelatin and functional cellulose ester for controlled release of omeprazole. Int. J. Biol. Macromol. 2017, 105, 1644–1653. [Google Scholar] [CrossRef] [PubMed]
- Li, Q.; Fu, L.; Wang, Z.; Li, A.; Shuang, C.; Gao, C. Synthesis and characterization of a novel magnetic cation exchange resin and its application for efficient removal of Cu2+ and Ni2+ from aqueous solutions. J. Clean. Prod. 2017, 165, 801–810. [Google Scholar] [CrossRef]
- Chen, X.; Sun, S.; Wang, X.; Wen, J.; Wang, Y.; Cao, X.; Yuan, T.; Wang, S.; Shi, Q.; Sun, R. One-pot preparation and characterization of lignin-based cation exchange resin and its utilization in Pb (II) removal. Bioresour. Technol. 2019, 295, 122297. [Google Scholar] [CrossRef] [PubMed]
- Kawamoto, D.; Yamanishi, Y.; Ohashi, H.; Yonezu, K.; Honma, T.; Sugiyama, T.; Kobayashi, Y.; Okaue, Y.; Miyazaki, A.; Yokoyama, T. A new and practical Se(IV) removal method using Fe3+ type cation exchange resin. J. Hazard. Mater. 2019, 378, 120593. [Google Scholar] [CrossRef]
- Leng, X.; Zhong, Y.; Xu, D.; Wang, X.; Yang, L. Mechanism and kinetics study on removal of Iron from phosphoric acid by cation exchange resin. Chin. J. Chem. Eng. 2018, 27, 1050–1057. [Google Scholar] [CrossRef]
- Adelli, G.R.; Balguri, S.P.; Bhagav, P.; Raman, V.; Majumdar, S. Diclofenac sodium ion exchange resin complex loaded melt cast films for sustained release ocular delivery. Drug Deliv. 2017, 24, 370–379. [Google Scholar] [CrossRef] [PubMed] [Green Version]
- Atyabi, F.; Sharma, H.; Mohammad, H.; Fell, J. Controlled drug release from coated floating ion exchange resin beads. J. Control. Release 1996, 42, 25–28. [Google Scholar] [CrossRef]
- Tarpeh, W.A.; Udert, K.M.; Nelson, K.L. Comparing Ion Exchange Adsorbents for Nitrogen Recovery from Source-Separated Urine. Environ. Sci. Technol. 2017, 51, 2373–2381. [Google Scholar] [CrossRef] [PubMed] [Green Version]
- Aljerf, L. High-efficiency extraction of bromocresol purple dye and heavy metals as chromium from industrial effluent by adsorption onto a modified surface of zeolite: Kinetics and equilibrium study. J. Environ. Manag. 2018, 225, 120–132. [Google Scholar] [CrossRef] [PubMed]
- Cheng, H.; Zhu, Q.; Xing, Z. Adsorption of ammonia nitrogen in low temperature domestic wastewater by modification bentonite. J. Clean. Prod. 2019, 233, 720–730. [Google Scholar] [CrossRef]
- Zhuang, H.; Zhong, Y.; Yang, L. Adsorption equilibrium and kinetics studies of divalent manganese from phosphoric acid solution by using cationic exchange resin. Chin. J. Chem. Eng. 2020, 28, 2758–2770. [Google Scholar] [CrossRef]
- Kim, J.; Park, C.W.; Lee, K.-W.; Lee, T.S. Adsorption of Ethylenediaminetetraacetic Acid on a Gel-Type Ion-Exchange Resin for Purification of Liquid Waste Containing Cs Ions. Polymers 2019, 11, 297. [Google Scholar] [CrossRef] [PubMed] [Green Version]
- Jatoi, A.S.; Baloch, H.A.; Mazari, S.A.; Mubarak, N.M.; Sabzoi, N.; Aziz, S.; Soomro, S.A.; Abro, R.; Shah, S.F. A review on extractive fermentation via ion exchange adsorption resins opportunities, challenges, and future prospects. Biomass Convers. Biorefin. 2021, 1–12. [Google Scholar] [CrossRef]
- Qiu, M.; Hu, C.; Liu, J.; Chen, C.; Lou, X. Removal of High Concentration of Ammonia from Wastewater by the Ion Exchange Resin. Nat. Environ. Pollut. Technol. 2017, 16, 261–264. [Google Scholar]
- Ren, Z.; Jia, B.; Zhang, G.; Fu, X.; Wang, Z.; Wang, P.; Lv, L. Study on adsorption of ammonia nitrogen by iron-loaded activated carbon from low temperature wastewater. Chemosphere 2020, 262, 127895. [Google Scholar] [CrossRef] [PubMed]
- Zhu, X.; Li, W.; Zhang, C. Extraction and removal of vanadium by adsorption with resin 201 * 7 from vanadium waste liquid. Environ. Res. 2019, 180, 108865. [Google Scholar] [CrossRef] [PubMed]
- Bhattacharya, A.; Naiya, T.K.; Mandal, S.; Das, S. Adsorption, kinetics and equilibrium studies on removal of Cr(VI) from aqueous solutions using different low-cost adsorbents. Chem. Eng. J. 2008, 137, 529–541. [Google Scholar] [CrossRef]
- Tang, X.; Li, Z.; Chen, Y. Adsorption behavior of Zn(II) on calcinated Chinese loess. J. Hazard. Mater. 2009, 161, 824–834. [Google Scholar] [CrossRef] [PubMed]
- Ranjan, R.; Thust, S.; Gounaris, C.; Woo, M.; Floudas, C.A.; von Keitz, M.; Valentas, K.J.; Wei, J.; Tsapatsis, M. Adsorption of fermentation inhibitors from lignocellulosic biomass hydrolyzates for improved ethanol yield and value-added product recovery. Microporous Mesoporous Mater. 2009, 122, 143–148. [Google Scholar] [CrossRef]










| Temperature (K) | Langmuir | Freundlich | ||||
|---|---|---|---|---|---|---|
| Qm (mg/g) | Kb (mL/mg) | R2 | Kf | n | R2 | |
| 293 | 11.1732 | 21.8292 | 0.9704 | 10.9091 | 2.9121 | 0.9182 |
| 303 | 15.5521 | 49.4615 | 0.9932 | 22.1447 | 2.8066 | 0.8836 |
| 313 | 16.5563 | 36.5294 | 0.9949 | 21.1915 | 3.2041 | 0.9462 |
| 323 | 16.7224 | 22.1482 | 0.9856 | 16.0691 | 2.9630 | 0.9605 |
| 333 | 16.7224 | 16.1622 | 0.9811 | 21.6932 | 2.3629 | 0.9682 |
| Quasi-First Order Kinetic Equation | Quasi-Second-Order Kinetic Equation | ||||
|---|---|---|---|---|---|
| Qe mg/g | K1 min−1 | R2 | Qe mg/g | K2 g/(mg·min) | R2 |
| 2.1578 | 0.0981 | 0.2325 | 2.4510 | 0.03699 | 0.9496 |
Publisher’s Note: MDPI stays neutral with regard to jurisdictional claims in published maps and institutional affiliations. |
© 2021 by the authors. Licensee MDPI, Basel, Switzerland. This article is an open access article distributed under the terms and conditions of the Creative Commons Attribution (CC BY) license (https://creativecommons.org/licenses/by/4.0/).
Share and Cite
Zhang, Q.; Liu, Z.; Petracchini, F.; Lu, C.; Li, Y.; Zhang, Z.; Paolini, V.; Zhang, H. Preparation of Slow-Release Insecticides from Biogas Slurry: Effectiveness of Ion Exchange Resin in the Adsorption and Release of Ammonia Nitrogen. Processes 2021, 9, 1461. https://doi.org/10.3390/pr9081461
Zhang Q, Liu Z, Petracchini F, Lu C, Li Y, Zhang Z, Paolini V, Zhang H. Preparation of Slow-Release Insecticides from Biogas Slurry: Effectiveness of Ion Exchange Resin in the Adsorption and Release of Ammonia Nitrogen. Processes. 2021; 9(8):1461. https://doi.org/10.3390/pr9081461
Chicago/Turabian StyleZhang, Quanguo, Zexian Liu, Francesco Petracchini, Chaoyang Lu, Yameng Li, Zhiping Zhang, Valerio Paolini, and Huan Zhang. 2021. "Preparation of Slow-Release Insecticides from Biogas Slurry: Effectiveness of Ion Exchange Resin in the Adsorption and Release of Ammonia Nitrogen" Processes 9, no. 8: 1461. https://doi.org/10.3390/pr9081461
APA StyleZhang, Q., Liu, Z., Petracchini, F., Lu, C., Li, Y., Zhang, Z., Paolini, V., & Zhang, H. (2021). Preparation of Slow-Release Insecticides from Biogas Slurry: Effectiveness of Ion Exchange Resin in the Adsorption and Release of Ammonia Nitrogen. Processes, 9(8), 1461. https://doi.org/10.3390/pr9081461

