A Food-Grade Resin with LDH–Salicylate to Extend Mozzarella Cheese Shelf Life
Abstract
1. Introduction
2. Materials and Methods
2.1. Materials
2.2. Characterization of Active Packaging Film
2.3. Active Packaging of Mozzarella Cheese and Shelf Life Evaluation during Storage
2.3.1. Microbiological Analyses
2.3.2. Proteolysis
2.3.3. Texture Profile Analysis
2.3.4. Color Determination
2.3.5. Gompertz Analysis
2.4. Statistical Analyses
3. Results and Discussion
3.1. Shelf Life Evaluation of Mozzarella Cheese
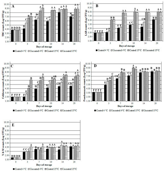
3.1.1. Microbiological Results
3.1.2. Physical and Chemical Characteristics
3.1.3. Gompertz Fitting
4. Conclusions
Supplementary Materials
Author Contributions
Funding
Institutional Review Board Statement
Informed Consent Statement
Data Availability Statement
Acknowledgments
Conflicts of Interest
References
- Marino, M.; de Wittenau, G.D.; Saccà, E.; Cattonaro, F.; Spadotto, A.; Innocente, N.; Radovic, S.; Piasentier, E.; Marroni, F. Metagenomic profiles of different types of Italian high-moisture Mozzarella cheese. Food Microbiol. 2019, 79, 123–131. [Google Scholar] [CrossRef]
- Spano, G.; Goffredo, E.; Beneduce, L.; Tarantino, D.; Dupuy, A.; Massa, S. Fate of Escherichia coli O157:H7 during the manufacture of Mozzarella cheese. Lett. App. Microbiol. 2003, 36, 73–76. [Google Scholar] [CrossRef] [PubMed]
- Baruzzi, F.; Lagonigro, R.; Quintieri, L.; Morea, M.; Caputo, L. Occurrence of non-lactic acid bacteria populations involved in protein hydrolysis of cold-stored high moisture Mozzarella cheese. Food Microbiol. 2012, 30, 37–44. [Google Scholar] [CrossRef] [PubMed]
- Caputo, L.; Quintieri, L.; Bianchi, D.M.; Decastelli, L.; Monaci, L.; Visconti, A.; Baruzzi, F. Pepsin-digested bovine lactoferrin prevents Mozzarella cheese blue discoloration caused by Pseudomonas fluorescens. Food Microbiol. 2015, 46, 15–24. [Google Scholar] [CrossRef] [PubMed]
- Quintieri, L.; Fanelli, F.; Caputo, L. Antibiotic resistant Pseudomonas spp. Spoilers in fresh dairy products: An underestimated risk and the control strategies. Foods 2019, 8, 372. [Google Scholar] [CrossRef]
- Fanelli, F.; Caputo, L.; Quintieri, L. Phenotypic and genomic characterization of Pseudomonas putida ITEM 17297 spoiler of fresh vegetables: Focus on biofilm and antibiotic resistance interaction. Curr. Res. Food Sci. 2021, 4, 74–82. [Google Scholar] [CrossRef]
- Altieri, C.; Scrocco, C.; Sinigaglia, M.; Del Nobile, M.A. Use of chitosan to prolong mozzarella cheese shelf life. J. Dairy Sci. 2005, 88, 2683–2688. [Google Scholar] [CrossRef]
- Conte, A.; Gammariello, D.; Di Giulio, S.; Attanasio, M.; Del Nobile, M.A. Active coating and modified-atmosphere packaging to extend the shelf life of Fior di Latte cheese. J. Dairy Sci. 2009, 92, 887–894. [Google Scholar] [CrossRef]
- Conte, A.; Scrocco, C.; Sinigaglia, M.; Del Nobile, M.A. Innovative active packaging systems to prolong the shelf life of Mozzarella cheese. J. Dairy Sci. 2007, 90, 2126–2131. [Google Scholar] [CrossRef]
- Eliot, S.C.; Vuillemard, J.C.; Emond, J.P. Stability of shredded mozzarella cheese under modified atmospheres. J. Food Sci. 2006, 63, 1075–1080. [Google Scholar] [CrossRef]
- Gorrasi, G.; Bugatti, V.; Tammaro, L.; Vertuccio, L.; Vigliotta, G.; Vittoria, V. Active coating for storage of Mozzarella cheese packaged under thermal abuse. Food Control. 2016, 64, 10–16. [Google Scholar] [CrossRef]
- Bugatti, V.; Vertuccio, L.; Zuppardi, F.; Vittoria, V.; Gorrasi, G. Pet and active coating based on a LDH nanofiller hosting p-hydroxybenzoate and food-grade zeolites: Evaluation of antimicrobial activity of packaging and shelf life of red meat. Nanomaterials 2019, 9, 1727. [Google Scholar] [CrossRef] [PubMed]
- Duncan, T.V. Applications of nanotechnology in food packaging and food safety: Barrier materials, antimicrobials and sensors. J. Colloid Interf. Sci. 2011, 363, 1–24. [Google Scholar] [CrossRef] [PubMed]
- Gan, I.; Chow, W.S. Antimicrobial poly(lactic acid)/cellulose bionanocomposite for food packaging application: A review. Food Packag. Shelf Life 2018, 17, 150–161. [Google Scholar] [CrossRef]
- Quintieri, L.; Pistillo, B.R.; Caputo, L.; Favia, P.; Baruzzi, F. Bovine lactoferrin and lactoferricin on plasma-deposited coating against spoilage Pseudomonas spp. Innov. Food Sci. Emerg. Technol. 2013, 20, 215–222. [Google Scholar] [CrossRef]
- Sorrentino, A.; Gorrasi, G.; Vittoria, V. Potential perspectives of bio-nanocomposites for food packaging applications. Trends Food Sci. Technol. 2007, 18, 84–95. [Google Scholar] [CrossRef]
- Souza, V.G.L.; Fernando, A.L. Nanoparticles in food packaging: Biodegradability and potential migration to food—A review. Food Packag. Shelf Life 2016, 8, 63–70. [Google Scholar] [CrossRef]
- Costantino, U.; Marmottini, F.; Nocchetti, M.; Vivani, R. New Synthetic Routes to Hydrotalcite-Like Compounds—Characterisation and Properties of the Obtained Materials. Eur. J. Inorg. Chem. 1998, 1998, 1439–1446. [Google Scholar] [CrossRef]
- Costantino, U.; Nocchetti, M.; Gorrasi, G.; Tammaro, L. Hydrotalcites in nanobiocomposites. In Multifunctional and Nanoreinforced Polymers for Food Packaging; Lagarón, J.M., Ed.; Elsevier: Amsterdam, The Netherlands, 2011; pp. 43–85. [Google Scholar] [CrossRef]
- Forano, C.; Costantino, U.; Prévot, V.; Gueho, C.T. Layered double hydroxides (LDH) Chapter 14.1. In Developments in Clay Science; Bergaya, F., Theng, B.K.G., Lagaly, G., Eds.; Elsevier: Amsterdam, The Netherlands, 2013; Volume 5, pp. 745–782. [Google Scholar] [CrossRef]
- Rives, V.; del Arco, M.; Martín, C. Intercalation of drugs in layered double hydroxides and their controlled release: A review. Appl. Clay. Sci. 2014, 88, 239–269. [Google Scholar] [CrossRef]
- Gorrasi, G.; Sorrentino, A. Mechanical milling as a technology to produce structural and functional bio-nanocomposites. Green Chem. 2015, 17, 2610–2625. [Google Scholar] [CrossRef]
- Mallakpour, S.; Khadem, E. Opportunities and challenges in the use of layered double hydroxide to produce hybrid polymer composites. In Hybrid Polymer Composite Materials: Structure and Chemistry; Thakur, V.K., Thakur, M.K., Gupta, R.K., Eds.; Elsevier: Amsterdam, The Netherlands, 2017; pp. 235–261. [Google Scholar] [CrossRef]
- Velasco, J.I.; Ardanuy, M.; Antunes, M. Layered double hydroxides (LDHs) as functional fillers in polymer nanocomposites. In Advances in Polymer Nanocomposites: Types and Applications; Gao, F., Ed.; Elsevier: Amsterdam, The Netherlands, 2012; pp. 91–130. [Google Scholar] [CrossRef]
- Barahuie, F.; Hussein, M.Z.; Fakurazi, S.; Zainal, Z. Development of drug delivery systems based on layered hydroxides for nanomedicine. Int. J. Molec. Sci. 2014, 15, 7750. [Google Scholar] [CrossRef]
- Commission Regulation (EU) No 10/2011 of 14 January 2011 on Plastic Materials and Articles Intended to Come into Contact with Food. Available online: https://eur-lex.europa.eu/legal-content/EN/TXT/PDF/?uri=CELEX:32011R0010&from=HR (accessed on 21 February 2021).
- Frunza, M.; Lisa, G.; Popa, M.; Miron, N.; Nistor, D. Thermogravimetric analysis of layered double hydroxides with chloramphenicol and salicylate in the interlayer space. J. Therm. Anal. Cal. 2008, 93, 373–379. [Google Scholar] [CrossRef]
- Commission Directive 2002/72/EC of 6 August 2002 Relating to Plastic Materials and Articles Intended to Come into Contact with Foodstuffs. Available online: https://eur-lex.europa.eu/legal-content/it/TXT/?uri=CELEX%3A32002L0072 (accessed on 19 February 2021).
- ISO 22196:2011. Measurement of Antibacterial Activity on Plastics and Other Non-Porous Surfaces. Available online: https://www.iso.org/standard/54431.html (accessed on 9 January 2021).
- ISO. ISO 21527-1:2008—Microbiology of Food and Animal Feeding Stuffs—Horizontal Method for the Enumeration of Yeasts and Moulds—Part 1: Colony Count Technique in Products with Water Activity Greater than 0.95. Available online: https://www.iso.org/standard/38275.html (accessed on 27 April 2020).
- ISO. ISO 4832:2006—Microbiology of Food and Animal Feeding Stuffs—Horizontal Method for the Enumeration of Coliforms—Colony-Count Technique. Available online: https://www.iso.org/standard/38282.html (accessed on 27 April 2020).
- ISO. ISO/TS 11059:2009—Milk and Milk Products—Method for the enumeration of Pseudomonas spp. Available online: https://www.iso.org/standard/50021.html (accessed on 9 April 2021).
- ISO. ISO 15214:1998—Microbiology of Food and Animal Feeding Stuffs—Horizontal Method for the Enumeration of Mesophilic Lactic Acid Bacteria—Colony-Count Technique at 30 °C. Available online: https://www.iso.org/standard/26853.html (accessed on 27 April 2020).
- ISO 4833:2003 Microbiology of Food and Animal Feeding Stuffs—Horizontal Method for the Enumeration of Microorganisms—Colony-Count Technique at 30 °C. Available online: https://www.iso.org/standard/34524.html (accessed on 9 April 2021).
- Church, F.C.; Swaisgood, H.E.; Porter, D.H.; Catignani, G.L. Spectrophotometric assay using o-phthaldialdehyde for determination of proteolysis in milk and isolated milk proteins. J. Dairy Sci. 1983, 66, 1219–1227. [Google Scholar] [CrossRef]
- Corbo, M.R.; Del Nobile, M.A.; Sinigaglia, M. A novel approach for calculating shelf life of minimally processed vegetables. Int. J. Food Microbiol. 2006, 106, 69–73. [Google Scholar] [CrossRef] [PubMed]
- Kaduskar, R.D.; Della Scala, G.; Al Jabri, Z.J.; Arioli, S.; Musso, L.; Oggioni, M.R.; Dallavalle, S.; Mora, D. Promysalin is a salicylate-containing antimicrobial with a cell-membrane-disrupting mechanism of action on Gram-positive bacteria. Sci. Rep. 2017, 7, 1–11. [Google Scholar] [CrossRef]
- Bandara, M.; Sankaridurg, P.; Zhu, H.; Hume, E.; Willcox, M. Effect of salicylic acid on the membrane proteome and virulence of Pseudomonas aeruginosa. Invest. Ophthalmol. Vis. Sci. 2016, 57, 1213–1220. [Google Scholar] [CrossRef] [PubMed]
- Martin, N.H.; Trmcic, A.; Hsieh, T.H.; Boor, K.J.; Wiedmann, M. The evolving role of coliforms as indicators of unhygienic processing conditions in dairy foods. Front. Microbiol. 2016, 7, 1549. [Google Scholar] [CrossRef] [PubMed]
- Masiello, S.N.; Martin, N.H.; Trmčić, A.; Wiedmann, M.; Boor, K.J. Identification and characterization of psychrotolerant coliform bacteria isolated from pasteurized fluid milk. J. Dairy Sci. 2016, 99, 130–140. [Google Scholar] [CrossRef]
- Yun, J.J.; Hsieh, Y.L.; Barbano, D.M.; Kindstedt, P.S. Draw pH and storage affect rheological properties of Mozzarella cheese. J. Food Sci. 1994, 59, 1302–1304. [Google Scholar] [CrossRef]
- Cortez, M.A.S.; Furtado, M.M.; Gigante, M.L.; Kindstedt, P.S. Effect of pH on characteristics of low-moisture Mozzarella cheese during refrigerated storage. J. Food Sci. 2008, 73. [Google Scholar] [CrossRef]
- Feeney, E.P.; Guinee, T.P.; Fox, P.F. Effect of pH and calcium concentration on proteolysis in Mozzarella cheese. J. Dairy Sci. 2002, 85, 1646–1654. [Google Scholar] [CrossRef]
- Guinee, T.P.; Feeney, E.P.; Auty, M.A.E.; Fox, P.F. Effect of pH and calcium concentration on some textural and functional properties of Mozzarella cheese. J. Dairy Sci. 2002, 85, 1655–1669. [Google Scholar] [CrossRef]
- Joshi, N.S.; Muthukumarappan, K.; Dave, R.I. Understanding the role of calcium in functionality of part skim Mozzarella cheese. J. Dairy Sci. 2003, 86, 1918–1926. [Google Scholar] [CrossRef]
- Faccia, M.; Gambacorta, G.; Natrella, G.; Caponio, F. Shelf life extension of Italian mozzarella by use of calcium lactate buffered brine. Food Control. 2019, 100, 287–291. [Google Scholar] [CrossRef]
- Bosund, I. The action of benzoic and salicylic acids on the metabolism of microorganisms. Adv. Food Res. 1963, 11, 331–353. [Google Scholar]
- Gammariello, D.; Conte, A.; Di Giulio, S.; Attanasio, M.; Del Nobile, M.A. Shelf life of Stracciatella cheese under modified-atmosphere packaging. J. Dairy Sci. 2009, 92, 483–490. [Google Scholar] [CrossRef]
- Quintieri, L.; Fanelli, F.; Zühlke, D.; Caputo, L.; Logrieco, A.F.; Albrecht, D.; Riedel, K. Biofilm and pathogenesis-related proteins in the foodborne P. fluorescens ITEM 17298 with distinctive phenotypes during cold storage. Front. Microbiol. 2020, 11, 991. [Google Scholar] [CrossRef]
- Carminati, D.; Bonvini, B.; Rossetti, L.; Zago, M.; Tidona, F.; Giraffa, G. Investigation on the presence of blue pigment-producing Pseudomonas strains along a production line of fresh mozzarella cheese. Food Control. 2019, 100, 321–328. [Google Scholar] [CrossRef]
- Quintieri, L.; Caputo, L.; De Angelis, M.; Fanelli, F. Genomic analysis of three cheese-borne Pseudomonas lactis with biofilm and spoilage-associated behavior. Microorganisms 2020, 8, 1208. [Google Scholar] [CrossRef]




| S.L. [Days] | µmax [µmax Log(CFU/g)/Day] | Lag Time [Days] | R2 | |
|---|---|---|---|---|
| Coliforms | ||||
| Control | 4.308 | 0.680 | 2.021 | 0.98 |
| [4.115–4.500] | [0.638–0.722] | [2.008–2.034] | ||
| Active film | 6.122 | 0.560 | 3.372 | |
| [5.955–6.288] | [0.543–0.577] | [3.330–3.415] | 0.98 | |
| Pseudomonads | ||||
| Control | 3.119 | 0.871 | ≈0 | 0.97 |
| [2.950–3.288] | [0.843–0.898] | |||
| Active film | 4.812 | 0.549 | ≈0 | 0.99 |
| [4.686–4.937] | [0.547–0.550] |
Publisher’s Note: MDPI stays neutral with regard to jurisdictional claims in published maps and institutional affiliations. |
© 2021 by the authors. Licensee MDPI, Basel, Switzerland. This article is an open access article distributed under the terms and conditions of the Creative Commons Attribution (CC BY) license (https://creativecommons.org/licenses/by/4.0/).
Share and Cite
Quintieri, L.; Bugatti, V.; Caputo, L.; Vertuccio, L.; Gorrasi, G. A Food-Grade Resin with LDH–Salicylate to Extend Mozzarella Cheese Shelf Life. Processes 2021, 9, 884. https://doi.org/10.3390/pr9050884
Quintieri L, Bugatti V, Caputo L, Vertuccio L, Gorrasi G. A Food-Grade Resin with LDH–Salicylate to Extend Mozzarella Cheese Shelf Life. Processes. 2021; 9(5):884. https://doi.org/10.3390/pr9050884
Chicago/Turabian StyleQuintieri, Laura, Valeria Bugatti, Leonardo Caputo, Luigi Vertuccio, and Giuliana Gorrasi. 2021. "A Food-Grade Resin with LDH–Salicylate to Extend Mozzarella Cheese Shelf Life" Processes 9, no. 5: 884. https://doi.org/10.3390/pr9050884
APA StyleQuintieri, L., Bugatti, V., Caputo, L., Vertuccio, L., & Gorrasi, G. (2021). A Food-Grade Resin with LDH–Salicylate to Extend Mozzarella Cheese Shelf Life. Processes, 9(5), 884. https://doi.org/10.3390/pr9050884

