Production, Characterization and Commercial Formulation of a Biosurfactant from Candida tropicalis UCP0996 and Its Application in Decontamination of Petroleum Pollutants
Abstract
1. Introduction
2. Materials and Methods
2.1. Materials
2.2. Yeast Strain and Preparation of Inoculum
2.3. Growth Curve and Biosurfactant Production
2.4. Determination of Biosurfactant Properties
2.5. Stability Studies
2.6. Determination of Cell Hydrophobicity
2.7. Isolation of Biosurfactant
2.8. Determination of Surface Tension and Critical Micelle Concentration (CMC)
2.9. Biosurfactant Characterization
2.9.1. Thin-Layer Chromatography
2.9.2. Nuclear Magnetic Resonance Spectroscopy
2.9.3. Fourier Transform Infrared Spectroscopy
2.9.4. Gas Chromatography and Mass Spectroscopy
2.10. Toxicity Against Artemia salina as Indicator
2.11. Biosurfactant Formulation
2.12. Application of the Biosurfactant in Hydrophobic Contaminant Spreading
2.13. Washing of Hydrophobic Compound Adsorbed to Porous Surface
2.14. Swirling Bottle Test
2.15. Bioremediation Test
2.16. Statistical Analysis
3. Results and Discussion
3.1. Growth Curve and Biosurfactant Production
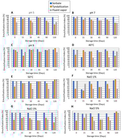
3.2. Stability Studies
3.3. Biosurfactant Properties
3.4. Biosurfactant Properties
3.5. Toxicity Against Artemia salina as Indicator
3.6. Biosurfactant Formulation
3.7. Application of the Biosurfactant in Hydrophobic Contaminant Spreading
3.8. Washing of Hydrophobic Compound Adsorbed to Porous Surface
3.9. Swirling Bottle Test
3.10. Bioremediation Test
4. Conclusions
Author Contributions
Funding
Institutional Review Board Statement
Informed Consent Statement
Data Availability Statement
Acknowledgments
Conflicts of Interest
References
- Almeida, D.G.; Soares da Silva, R.C.F.; Luna, J.M.; Rufino, R.D.; Santos, V.A.; Banat, I.M.; Sarubbo, L.A. Biosurfactants: Promising Molecules for Petroleum Biotechnology Advances. Front. Microbiol. 2016, 7, 1718. [Google Scholar] [CrossRef]
- Nikolova, C.; Gutierrez, T. Biosurfactants and Their Applications in the Oil and Gas Industry: Current State of Knowledge and Future Perspectives. Front. Bioeng. Biotechnol. 2021, 9, 46. [Google Scholar] [CrossRef]
- Karlapudi, A.P.; Venkateswarulu, T.C.; Tammineedi, J.; Kanumuri, L.; Ravuru, B.K.; Dirisala, V.; Kodali, V.P. Role of Biosurfactants in Bioremediation of Oil Pollution-a Review. Petroleum 2018, 4, 241–249. [Google Scholar] [CrossRef]
- Fenibo, E.O.; Ijoma, G.N.; Ramganesh, S.; Chioma, B.C. Microbial Surfactants: The Next Generation Multifunctional Biomolecules for Applications in the Petroleum Industry and Its Associated Environmental Remediation. Microorganisms 2019, 7, 581. [Google Scholar] [CrossRef]
- Prenafeta-Boldú, F.X.; Hoog, G.S.; Summerbell, R.C. Fungal Communities in Hydrocarbon Degradation. In Microbial Communities Utilizing Hydrocarbon and Lipids: Members, Metagenomics and Ecophysiology, Handbook of Hydrocarbon and Lipid Microbiology; Springer: Cham, Switzerland, 2018; pp. 1–36. [Google Scholar] [CrossRef]
- Singh, P.; Patil, Y.; Rale, V. Biosurfactant Production: Emerging Trends and Promising Strategies. J. Appl. Microbiol. 2018, 126, 2–13. [Google Scholar] [CrossRef] [PubMed]
- Mulugeta, K.; Kamaraj, M.; Tafesse, M.; Aravind, J. A Review on Production, Properties, and Applications of Microbial Surfactants as a Promising Biomolecule for Environmental Applications. In Strategies and Tools for Polluant Mitigation; Aravind, J., Kamaraj, M., Prashanthi, D.M., Rajakumar, S., Eds.; Springer: Cham, Switzerland, 2021. [Google Scholar] [CrossRef]
- Santos, D.K.F.; Rufino, R.D.; Luna, J.M.; Santos, V.A.; Sarubbo, L.A. Biosurfactants: Multifunctional Biomolecules of the 21st Century. Int. J. Mol. Sci. 2016, 17, 401. [Google Scholar] [CrossRef] [PubMed]
- Farias, C.B.B.; Almeida, F.C.G.; Silva, I.A.; Souza, T.C.; Meira, H.M.; Soares da Silva, R.C.F.; Luna, J.M.; Santos, V.A.; Converti, A.; Banat, I.M.; et al. Production of Green Surfactants: Market Prospects. Electr. J. Biotechnol. 2021, 51, 28–39. [Google Scholar] [CrossRef]
- Almeida, D.G.; Soares da Silva, R.C.F.; Luna, J.M.; Rufino, R.D.; Santos, V.A.; Sarubbo, L.A. Response Surface Methodology for Optimizing the Production of Biosurfactant by Candida Tropicalis on Industrial Waste Substrates. Front. Microbiol. 2017, 8, 157. [Google Scholar] [CrossRef]
- Almeida, D.G.; Soares da Silva, R.C.F.; Brasileiro, P.P.F.; Luna, J.M.; Silva, M.G.C.; Rufino, R.D.; Costa, A.F.S.; Santos, V.A.; Sarubbo, L.A. Application of a Biosurfactant from Candida Tropicalis UCP 0996 Produced in Low-cost Substrates for Hydrophobic Contaminants Removal. Chem. Eng. Trans. 2018, 64, 541–546. [Google Scholar] [CrossRef]
- Cooper, D.G.; Goldenberg, B.G. Surface Active Agents from Two Bacillus Species. Appl. Environ. Microbiol. 1987, 53, 224–229. [Google Scholar] [CrossRef]
- Rufino, R.D.; Luna, J.M.; Campos Takaki, G.M.; Sarubbo, L.A. Characterization and Properties of the Biosurfactant Produced by Candida Lipolytica UCP 0988. Electron. J. Biotechnol. 2014, 17, 6. [Google Scholar] [CrossRef]
- Rosenberg, M.; Gutnick, D.L.; Rosenberg, E. Adherence of Bacteria to Hydrocarbons: A Simple Method for Measuring Cell-surface Hydrophobicity. FEMS Microbiol. Lett. 1980, 9, 29–33. [Google Scholar] [CrossRef]
- Durval, I.J.B.; Mendonça, A.H.R.; Rocha, I.V.; Luna, J.M.; Rufino, R.D.; Converti, A.; Sarubbo, L.A. Production, Characterization, Evaluation and Toxicity Assessment of a Bacillus Cereus UCP 1615 Biosurfactant for Marine Oil Spills Bioremediation. Mar. Pollut. Bull. 2020, 157, 111357. [Google Scholar] [CrossRef] [PubMed]
- Meyer, B.N.N.R.; Ferrigni, J.E.; Putnam, L.B.; Jacobsen, D.E.; Nichols, D.E.; Mclaughlin, J.L. Brine Shrimp: A Convenient General Bioassay for Active Plant Constituents. J. Med. Plant. Res. 1982, 45, 31–34. [Google Scholar] [CrossRef] [PubMed]
- Ohno, A.; Takashi, A.; Shoda, N. Production of Antifungal Peptide Antibiotics Iturin by Bacillus Subtilis NB22 in Solid State Fermentation. J. Ferment. Bioeng. 1993, 75, 23–27. [Google Scholar] [CrossRef]
- Sarubbo, L.A.; Luna, J.M.; Rufino, R.D. Application of a Biosurfactant Produced in Low-cost Substrates in the Removal of Hydrophobic Contaminants. Chem. Eng. Trans. 2015, 43, 295–300. [Google Scholar] [CrossRef]
- Sobrinho, H.B.S.; Luna, J.M.; Rufino, R.D.; Porto, A.L.F.; Sarubbo, L.A. Application of Biosurfactant from Candida Sphaerica UCP 0995 in Removal of Petroleum Derivative from Soil and Sea Water. Life Sci. 2013, 7, 559–569. [Google Scholar] [CrossRef]
- American Public Health Association (APHA). Standard Methods for the Examination of Water and Wastwater, 21st ed.; American Public Health Association: Washington, DC, USA, 2005. [Google Scholar]
- El-Sheshtawy, H.S.; Aiad, I.; Osman, M.E.; Abo-ELnasr, A.A.; Kobisy, A.S. Production of Biosurfactants by Bacillus Licheniformis and Candida Albicans for Application in Microbial Enhanced Oil Recovery. Egypt. J. Pet. 2016, 25, 293–298. [Google Scholar] [CrossRef]
- Alwaely, W.A.S.; Ghadban, A.K.; Alrubayae, I.M.N. Production and Properties of Biosurfactant from the Local Isolation of Candida spp. Drug Invent. Today 2019, 12, 948–953. [Google Scholar] [CrossRef]
- Luna, J.; Santos Filho, A.; Rufino, R.; Sarubbo, L. Production of Biosurfactant from Candida Bombicola URM 3718 for Environmental Applications. Chem. Eng. Trans. 2016, 49, 583–588. [Google Scholar] [CrossRef]
- Rubio-Ribeaux, D.; Oliveira, C.V.J.; Medeiros, A.D.M.; Marinho, J.S.; Lira, L.U.B.; Nascimento, I.D.F.; Barreto, G.C.; Campos- Takaki, G. Innovative Biosurfactant Production by Candida Tropicalis UCP 1613 through Solid-state Fermentation. Chem. Eng. Trans. 2020, 79, 361–366. [Google Scholar] [CrossRef]
- Zuza-Alves, D.L.; Silva-Rocha, W.P.; Chaves, G.M. An Update on Candida Tropicalis based on Basic and Clinical Approaches. Front. Microbiol. 2017, 8, 1927. [Google Scholar] [CrossRef]
- Camargo, F.P.; Menezes, A.J.; Tonello, P.S.; Santos, A.C.A.; Duarte, I.C.S. Characterization of Biosurfactant from Yeast Using Residual Soybean Oil under Acidic Conditions and Their Use in Metal Removal Processes. FEMS Microbiol. Lett. 2018, 365, 10. [Google Scholar] [CrossRef]
- Lima, R.A.; Andrade, R.F.; Rodríguez, D.M.; Araujo, H.W.; Santos, V.P.; Campos-Takaki, G.M. Production and Characterization of Biosurfactant Isolated from Candida Glabrata Using Renewable Substrates. Afr. J. Microbiol. Res. 2017, 11, 237–244. [Google Scholar] [CrossRef]
- Wang, H.; Jiang, R.; Kong, D.; Liu, Z.; Wu, X.; Xu, J.; Li, Y. Transmembrane Transport of Polycyclic Aromatic Hydrocarbons by Bacteria and Functional Regulation of Membrane Proteins. Front. Env. Sci. Eng. 2020, 14, 1–21. [Google Scholar] [CrossRef]
- Porfírio, B.E.C.; Ribeiro, C.L.; Oliveira, M.S.; Ribeiro, E.L.; Silva, M.R.R.; Naves, P.L.F. Cell Surface Hydrophobicity and Biofilm Formation of Candida Yeast Species in Different Culture Media. Biosci. J. 2017, 33, 739–746. [Google Scholar] [CrossRef]
- Santos, R.A.; Rodríguez, D.M.; Ferreira, I.N.S.; Almeida, S.M.; Takaki, G.M.D.C.; de Lima, M.A.B. Novel Production of Biodispersant by Serratia Marcescens UCP 1549 in Solid-state Fermentation and Application for Oil Spill Bioremediation. Environ. Technol. 2021, 1–35. [Google Scholar] [CrossRef]
- Ganji, Z.; Beheshti-Maal, K.; Massah, A.; Emami-Karvani, Z. A Novel Sophorolipid-producing Candida Keroseneae GBME-IAUF-2 as a Potential Agent in Microbial Enhanced Oil Recovery (MEOR). FEMS Microbiol. Lett. 2020, 367, fnaa144. [Google Scholar] [CrossRef] [PubMed]
- Rocha Junior, R.B.; Meira, H.M.; Almeida, D.G.; Rufino, R.D.; Luna, J.M.; Santos, V.A.; Sarubbo, L.A. Application of a Low-cost Biosurfactant in Heavy Metal Remediation Processes. Biodegradation 2019, 30, 215–233. [Google Scholar] [CrossRef]
- Lira, I.R.A.S.; Santos, E.M.S.; Selva Filho, A.A.P.; Farias, C.B.B.; Campos, J.M.G.; Sarubbo, L.A.; Luna, J.M. Biosurfactant Production from Candida Guilliermondii and Evaluation of Its Toxicity. Chem. Eng. Trans. 2020, 79, 457–462. [Google Scholar] [CrossRef]
- Freitas, B.G.; Moreira, J.G.B.; Brasileiro, P.P.F.; Rufino, R.D.; Luna, J.M.; Santos, V.A.; Sarubbo, L.A. Formulation of a Commercial Biosurfactant for Application as a Dispersant of Petroleum and by-Products Spilled in Oceans. Front. Microbiol. 2016, 7, 1646. [Google Scholar] [CrossRef] [PubMed]
- Santos, D.K.F.; Meira, H.M.; Rufino, R.D.; Luna, J.M.; Santos, V.A.; Sarubbo, L.A. Biosurfactant Production from Candida Lipolytica in Bioreactor and Evaluation of Its Toxicity for Application as a Bioremediation Agent. Process. Biochem. 2017, 54, 20–27. [Google Scholar] [CrossRef]
- Durval, I.; Rufino, R.; Sarubbo, L. Biosurfactant as an Environmental Remediation Agent: Toxicity, Formulation, and Application in the Removal of Petroderivate in Sand and Rock Walls. Biointerface Res. Appl. Chem. 2022, 12, 34–48. [Google Scholar] [CrossRef]
- Campos, J.M.; Stamford, T.L.M.; Sarubbo, L.A.; Luna, J.M.; Rufino, R.D.; Banat, I.M. Microbial Biosurfactants as Additives for Food Industries. Biotechnol. Prog. 2013, 29, 1097–1108. [Google Scholar] [CrossRef]
- Helmy, Q.; Gustiani, S.; Mustikawati, A.T. Application of Rhamnolipid Biosurfactant for Bio-detergent Formulation. Mater. Sci. Eng. 2020, 823, 012014. [Google Scholar] [CrossRef]
- Haque, E.; Kayalvizhi, K.; Hassan, S. Biocompatibility, Antioxidant and Anti-infective Effect of Biosurfactant Produced by Marinobacter Litoralis MB15. Int. J. Pharm. Investig. 2020, 10, 173–178. [Google Scholar] [CrossRef]
- Dayamrita, K.K.; Divya, K.K.; Sreelakshmi, R.; Arjun, E.J.; John, F. Isolation and Characterization of Hydrocarbon Degrading Bacteria from Oil Contaminated Soil–Potential for Biosurfactant Assisted Bioremediation. AIP Conf. Proc. 2020, 2263, 020009. [Google Scholar] [CrossRef]
- Ibrahim, H.M.M. Characterization of Biosurfactants Produced by Novel Strains of Ochrobactrum Anthropi HM-1 and Citrobacter Freundii HM-2 from Used Engine Oil-contaminated Soil. Egypt. J. Pet. 2018, 27, 21–29. [Google Scholar] [CrossRef]
- Oladi, M.; Shokri, M.R. Multiple Benthic Indicators are Efficient for Health Assessment of Coral Reefs Subjected to Petroleum Hydrocarbons Contamination: A Case Study in the Persian Gulf. J. Hazard. Mater. 2021, 409, 124993. [Google Scholar] [CrossRef]
- Soares da Silva, R.; Almeida, D.G.; Brasileiro, P.P.F.; Rufino, R.D.; Luna, J.M.; Sarubbo, L. Biosurfactant Formulation of Pseudomonas Cepacia e Application in the Removal of Oil from Coral Reef. Chem. Eng. Trans. 2017, 57, 649–654. [Google Scholar] [CrossRef]
- Almeida, D.G.; Silva, M.G.C.; Barbosa, R.N.; Silva, D.S.P.; Silva, R.O.; Lima, G.M.S.; Gusmão, N.B.; Sousa, M.F.V.Q. Biodegradation of Marine Fuel MF-380 by Microbial Consortium Isolated from Seawater Near the Petrochemical Suape Port, Brazil. Int. Biodeter. Biodegr. 2017, 116, 73–82. [Google Scholar] [CrossRef]
- Soares da Silva, R.C.F.; Almeida, D.G.; Brasileiro, P.P.F.; Rufino, R.D.; Luna, J.M.; Sarubbo, L.A. Production, Formulation and Cost Estimation of a Commercial Biosurfactant. Biodegradation 2019, 30, 191–201. [Google Scholar] [CrossRef] [PubMed]











| Concentrations (CMC) | Shrimp Larvae Mortality (%) |
|---|---|
| Cell-free broth | No mortality |
| 1/2×CMC | No mortality |
| 1×CMC | No mortality |
| 2×CMC | No mortality |
| 5×CMC | 10 ± 0.13 |
| 10×CMC (LC50) | 50 ± 0.19 |
| Removal Agent | Dispersion (%) |
|---|---|
| Formulated biosurfactant | 57.14 ± 0.12 |
| 1/2×CMC | 38.09 ± 0.20 |
| 1×CMC | 45.23 ± 0.11 |
| 2×CMC | 53.80 ± 0.12 |
| 5×CMC | 70.95 ± 0.30 |
| Removal Agent | Removal (%) |
|---|---|
| Formulated biosurfactant | 41.89 ± 0.5 |
| 1/2×CMC | 28.37 ± 0.3 |
| 1×CMC | 42.01 ± 0.12 |
| 2×CMC | 56.02 ± 0.21 |
| 5×CMC | 66.18 ± 0.4 |
| Control (distilled water) | 2.35 ± 0.1 |
| Biosurfactant/Oil Ratio (v/v) | Resting Time (min) | Dispersion (%) |
|---|---|---|
| 0 | 65.03 ± 0.50 | |
| 1/1 | 5 | 59.45 ± 0.10 |
| 10 | 50.23 ± 0.30 | |
| 0 | 41.13 ± 0.11 | |
| 1/2 | 5 | 31.50 ± 0.60 |
| 10 | 27.11 ± 0.23 | |
| 0 | 20.47 ± 0.20 | |
| 1/8 | 5 | 17.31 ± 0.14 |
| 10 | 14.34 ± 0.16 | |
| 0 | 11.26 ± 0.50 | |
| 1/20 | 5 | 7.92 ± 0.20 |
| 10 | 4.15 ± 0.10 |
Publisher’s Note: MDPI stays neutral with regard to jurisdictional claims in published maps and institutional affiliations. |
© 2021 by the authors. Licensee MDPI, Basel, Switzerland. This article is an open access article distributed under the terms and conditions of the Creative Commons Attribution (CC BY) license (https://creativecommons.org/licenses/by/4.0/).
Share and Cite
Almeida, D.G.; Soares da Silva, R.d.C.F.; Meira, H.M.; Brasileiro, P.P.F.; Silva, E.J.; Luna, J.M.; Rufino, R.D.; Sarubbo, L.A. Production, Characterization and Commercial Formulation of a Biosurfactant from Candida tropicalis UCP0996 and Its Application in Decontamination of Petroleum Pollutants. Processes 2021, 9, 885. https://doi.org/10.3390/pr9050885
Almeida DG, Soares da Silva RdCF, Meira HM, Brasileiro PPF, Silva EJ, Luna JM, Rufino RD, Sarubbo LA. Production, Characterization and Commercial Formulation of a Biosurfactant from Candida tropicalis UCP0996 and Its Application in Decontamination of Petroleum Pollutants. Processes. 2021; 9(5):885. https://doi.org/10.3390/pr9050885
Chicago/Turabian StyleAlmeida, Darne Germano, Rita de Cássia Freire Soares da Silva, Hugo Morais Meira, Pedro Pinto Ferreira Brasileiro, Elias José Silva, Juliana Moura Luna, Raquel Diniz Rufino, and Leonie Asfora Sarubbo. 2021. "Production, Characterization and Commercial Formulation of a Biosurfactant from Candida tropicalis UCP0996 and Its Application in Decontamination of Petroleum Pollutants" Processes 9, no. 5: 885. https://doi.org/10.3390/pr9050885
APA StyleAlmeida, D. G., Soares da Silva, R. d. C. F., Meira, H. M., Brasileiro, P. P. F., Silva, E. J., Luna, J. M., Rufino, R. D., & Sarubbo, L. A. (2021). Production, Characterization and Commercial Formulation of a Biosurfactant from Candida tropicalis UCP0996 and Its Application in Decontamination of Petroleum Pollutants. Processes, 9(5), 885. https://doi.org/10.3390/pr9050885

