Structured Thin Films Based on Synergistic Effects of MnTa2O6 Oxide and bis-Carboxy-phenyl-substituted Porphyrins, Capable to Inhibit Steel Corrosion
Abstract
:1. Introduction
2. Materials and Methods
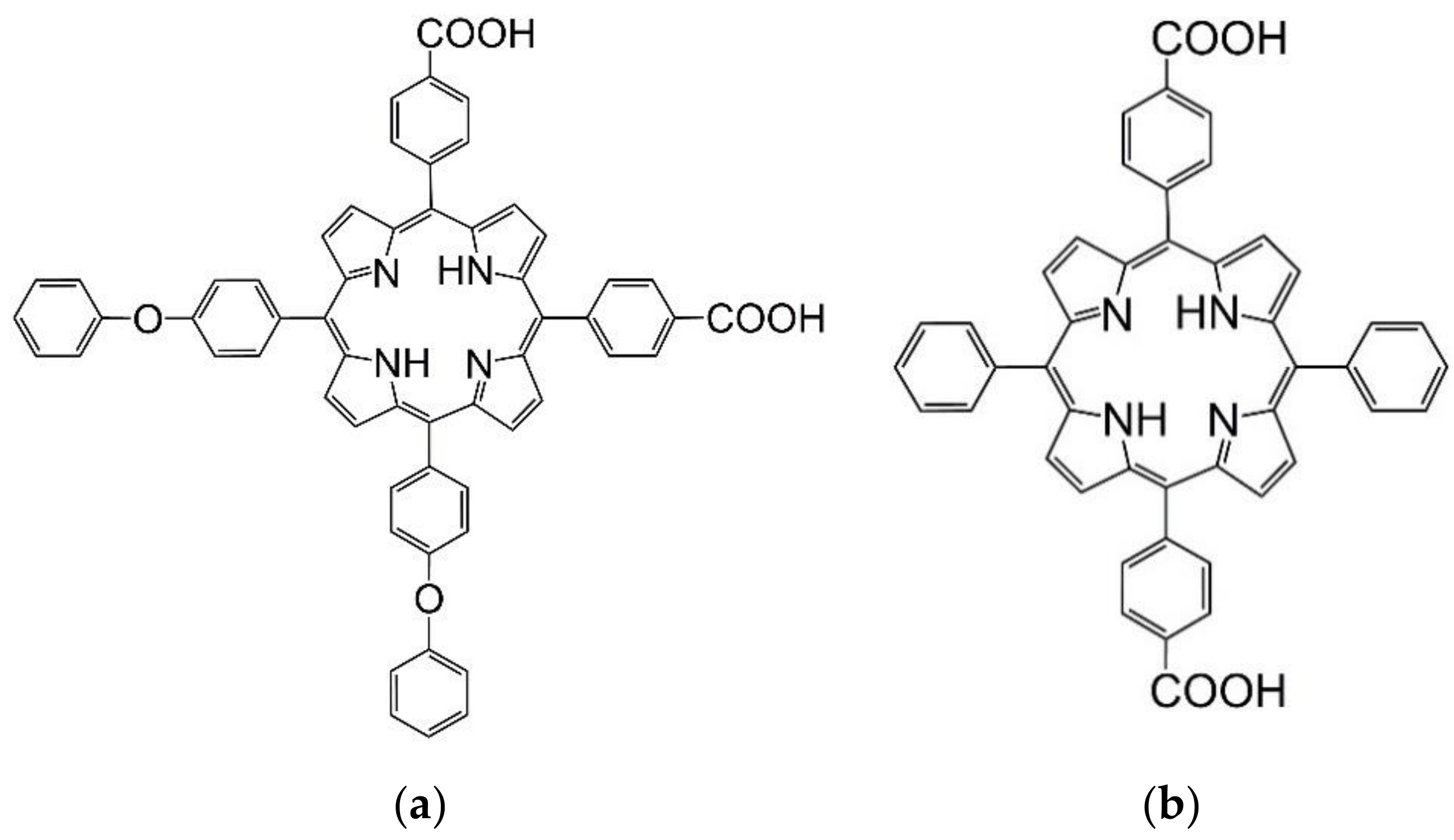
2.1. Obtaining of bis-Carboxy-phenyl Substituted Porphyrins
2.2. Obtaining of MnTa2O6
2.3. Design of Structured Thin Film
2.4. Method for Electrode Preparations
2.5. Apparatus
3. Results and Discussion
4. Conclusions
Author Contributions
Funding
Institutional Review Board Statement
Informed Consent Statement
Data Availability Statement
Conflicts of Interest
References
- Aghili, M.; Yazdi, M.K.; Ranjbar, Z.; Jafari, S.H. Anticorrosion performance of electro-deposited epoxy/amine functionalized graphene oxide nanocomposite coatings. Corros. Sci. 2020, 179, 109143. [Google Scholar] [CrossRef]
- Nikpour, B.; Ramezanzadeh, B.; Bahlakeh, G.; Mahdavian-Ahadi, M. Synthesis of graphene oxide nanosheets functionalized by green corrosion inhibitive compounds to fabricate a protective system. Corros. Sci. 2017, 127, 240–259. [Google Scholar] [CrossRef]
- Khadom, A.A.; Abd, A.N.; Ahmed, N.A. Xanthium strumarium leaves extracts as a friendly corrosion inhibitor of low carbon steel in hydrochloric acid: Kinetics and mathematical studies. S. Afr. J. Chem. Eng. 2018, 25, 13–21. [Google Scholar] [CrossRef]
- Farag, A.; Ismail, A.A.; Migahed, M. Environmental-friendly shrimp waste protein corrosion inhibitor for carbon steel in 1 M HCl solution. Egypt. J. Pet. 2018, 27, 1187–1194. [Google Scholar] [CrossRef]
- Wang, Q.; Tan, B.; Bao, H.; Xie, Y.; Mou, Y.; Li, P.; Chen, D.; Shi, Y.; Li, X.; Yang, W. Evaluation of Ficus tikoua leaves extract as an eco-friendly corrosion inhibitor for carbon steel in HCl media. Bioelectrochemistry 2019, 128, 49–55. [Google Scholar] [CrossRef] [PubMed]
- Miralrio, A.; Vázquez, A.E. Plant Extracts as Green Corrosion Inhibitors for Different Metal Surfaces and Corrosive Media: A Review. Processes 2020, 8, 942. [Google Scholar] [CrossRef]
- Dohare, P.; Chauhana, D.S.; Quraishi, M.A. Expired Podocip drug as potential corrosion inhibitor for carbon steel in acid chloride solution. Int. J. Corros. Scale Inhib. 2018, 7, 25–37. [Google Scholar]
- Fouda, A.S.; Shalabi, K.; E-Hossiany, A. Moxifloxacin Antibiotic as Green Corrosion Inhibitor for Carbon Steel in 1 M HCl. J. Bio. Tribo. Corros. 2016, 2, 1–13. [Google Scholar] [CrossRef] [Green Version]
- Fouda, A.S.; El-Ewady, G.; Ali, A.H. Modazar as promising corrosion inhibitor of carbon steel in hydrochloric acid solution. Green Chem. Lett. Rev. 2017, 10, 88–100. [Google Scholar] [CrossRef]
- Bourazmi, H.; Tabyaoui, M.; EL Hattabi, L.; El Aoufir, Y.; Ebenso, E.E.; Ansari, A. Camphor as an effective corrosion inhibitor for carbon steel in 1M HCl solution: Electrochemical and quantum chemical investigation. J. Mater. Environ. Sci. 2018, 9, 1058–1074. [Google Scholar]
- Bahmani, A.; Arthanari, S.; Shin, K.S. Corrosion behavior of Mg–Mn–Ca alloy: Influences of Al, Sn and Zn. J. Magnes. Alloys 2019, 7, 38–46. [Google Scholar] [CrossRef]
- Alnajjar, M.; Christien, F.; Barnier, V.; Bosch, C.; Wolski, K.; Fortes, A.D.; Telling, M. Influence of microstructure and manganese sulfides on corrosion resistance of selective laser melted 17-4 PH stainless steel in acidic chloride medium. Corros. Sci. 2020, 168, 108585. [Google Scholar] [CrossRef]
- Zhu, H.; Li, X.; Lu, X.; Wang, J.; Hu, Z.; Ma, X. Efficiency of Gemini surfactant containing semi-rigid spacer as microbial corrosion inhibitor for carbon steel in simulated seawater. Bioelectrochemistry 2021, 140, 107809. [Google Scholar] [CrossRef] [PubMed]
- Birdeanu, M.; Vaida, M.; Fagadar-Cosma, E. Hydrothermal synthesis of ZnTa2O6, ZnNb2O6, MgTa2O6 and MgNb2O6 pseudo-binary oxide nanomaterials with anticorrosive properties. Manuf. Rev. 2020, 7, 39. [Google Scholar] [CrossRef]
- Birdeanu, M.; Vaida, M.; Bîrdeanu, A.V.; Fagadar Cosma, E. PLD deposited layers of pseudo-binary zinc oxides and zinc-porphyrin for steel corrosion inhibition. Corrosion 2020, 76, 734–741. [Google Scholar] [CrossRef]
- Vaida, M.; Birdeanu, M.; Bîrdeanu, A.-V. Anticorrosive properties of thin films of pseudo-binary oxide materials deposited by PLD technique on steel. AIP Conf. Proc. 2019, 2071, 040017–1–040017–6. [Google Scholar]
- Birdeanu, M.; Birdeanu, A.V.; Vaida, M.; Orha, C.; Fagadar-Cosma, E. Anticorrosive properties of ZnTa2O6 and ZnV2O6 nanomaterials deposited as sandwich structures by drop casting method in NaCl. In Proceedings of the Nanocon 2017 Conference Proceedings, 9th International Conference of Nanomaterials—Research & Application, Brno, Czech Republic, 18–20 October 2017; pp. 359–365. [Google Scholar]
- Birdeanu, M.; Fagadar-Cosma, G.; Sebarchievici, I.; Bîrdeanu, A.V.; Taranu, B.; Taranu, I.; Fagadar-Cosma, E. Zn(Ta1-xNbx)2O6 nanomaterials: Synthesis, characterization and corrosion behaviour. J. Serb. Chem. Soc. 2016, 81, 163–175. [Google Scholar] [CrossRef]
- El-Katori, E.E.; Al Angari, Y.M. Electrochemical and Theoretical Evaluation on the Corrosion Inhibition of Carbon Steel by Organic Selenides in Acidic Medium. Int. J. Electrochem. Sci. 2018, 13, 4319–4337. [Google Scholar] [CrossRef]
- Ahmed, S.K.; Ali, W.B.; Khadom, A.A. Synthesis and investigations of heterocyclic compounds as corrosion inhibitors for mild steel in hydrochloric acid. Int. J. Ind. Chem. 2019, 10, 159–173. [Google Scholar] [CrossRef] [Green Version]
- Yao, S.; Liu, S.; Zeng, G.; Li, X.; Lei, T.; Du, Y. Effect of Manganese on Microstructure and Corrosion Behavior of the Mg-3Al Alloys. Metals 2019, 9, 460. [Google Scholar] [CrossRef] [Green Version]
- Shchukin, D.G.; Zheludkevich, M.; Yasakau, K.; Lamaka, S.; Ferreira, M.; Möhwald, H. Layer-by-Layer Assembled Nanocontainers for Self-Healing Corrosion Protection. Adv. Mater. 2006, 18, 1672–1678. [Google Scholar] [CrossRef]
- Amiri, S.; Rahimi, A. Preparation of supramolecular corrosion-inhibiting nanocontainers for self-protective hybrid nanocomposite coatings. J. Polym. Res. 2014, 21. [Google Scholar] [CrossRef]
- Saha, S.K.; Banerjee, P. A theoretical approach to understand the inhibition mechanismof steel corrosion with two aminobenzonitrile inhibitors. RSC Adv. 2015, 5, 1120–71130. [Google Scholar] [CrossRef]
- Wei, H.; Heidarshenas, B.; Zhou, L.; Hussain, G.; Li, Q.; Ostrikov, K. Green inhibitors for steel corrosion in acidic environment: State of art. Mater. Today Sustain. 2020, 10, 100044. [Google Scholar] [CrossRef]
- Abeng, F.; Ikpi, M.; Ushie, O.; Anadebe, V.; Nyong, B.; Obeten, M.; Okafor, N.; Chukwuike, V.; Nkom, P. Insight into corrosion inhibition mechanism of carbon steel in 2 M HCl electrolyte by eco-friendly based pharmaceutical drugs. Chem. Data Collect. 2021, 34, 100722. [Google Scholar] [CrossRef]
- Birdeanu, M.; Bîrdeanu, A.V.; Vaida, M.; Milovanovic, D.; Lascu, A.; Fagadar-Cosma, E. Corrosion behaviour of ZnTa2O6 pseudo-binary oxide, zinc meso-tetra(4-pyridyl)porphyrin (ZnTPyP) and hybrid ZnTa2O6/ZnTPyP layers deposited by PLD. Phys. Scr. 2019, 94, 075702. [Google Scholar] [CrossRef]
- Vaida, M.; Birdeanu, M.; Lascu, A.; Palade, A.; Fringu, I.; Fagadar-Cosma, E. Anticorrosive coating of steel with hybrid oxide/porphyrine sandwich layers deposited by drop casting method. In Proceedings of the Nanocon 2017 Conference Proceedings, Brno, Czech Republic, 18–20 October 2017; pp. 372–377. [Google Scholar]
- Bîrdeanu, A.V.; Birdeanu, M.; Fagadar-Cosma, E. Corrosion protection characteristics of ceramics, porphyrins and hybrid ceramics/porphyrins, deposited as single and sandwich layers, by pulsed laser deposition (PLD). J. Alloys Compd. 2017, 706, 220–226. [Google Scholar] [CrossRef]
- Birdeanu, M.; Birdeanu, A.V.; Popa, I.; Taranu, B.; Peter, F.; Creanga, I.; Palade, A.; Fagadar-Cosma, E. Comparative research regarding corrosion protective effect of different sandwich type nanostructures obtained from porphyrins and pseudo-binary oxides by changing the deposition order. In Proceedings of the NANOCON 2014 Conference Proceedings, Brno, Czech Republic, 5–7 November 2014; TANGER Ltd.: Ostrava, Czech Republic, 2015; pp. 262–268. [Google Scholar]
- Fagadar-Cosma, E.; Fagadar-Cosma, G.; Vasile, M.; Enache, C. Synthesis, Spectroscopic and Self-Assembling Characterization of Novel Photoactive Mixed Aryl-Substituted Porphyrin. Curr. Org. Chem. 2012, 16, 931–941. [Google Scholar] [CrossRef]
- Fagadar-Cosma, E.; Vlascici, D.; Birdeanu, M.; Făgădar-Cosma, G. Novel fluorescent pH sensor based on 5-(4-carboxy-phenyl)-10,15,20-tris(phenyl)-porphyrin. Arab. J. Chem. 2019, 12, 1587–1594. [Google Scholar] [CrossRef] [Green Version]
- Vlascici, D.; Făgădar-Cosma, E.; Popa, I.; Chiriac, V.; Gil-Agusti, M. A Novel Sensor for Monitoring of Iron(III) Ions Based on Porphyrins. Sensors 2012, 12, 8193–8203. [Google Scholar] [CrossRef]
- Ahmad, Z. Principles of Corrosion Engineering and Corrosion Control; Butterworth-Heinemann/IChemE Series; Elsevier: Amsterdam, The Netherlands, 2006; p. 377. [Google Scholar]
- Kapaklis, V.; Poulopoulos, P.; Karoutsos, V.; Manouras, T.; Politis, C. Growth of thin Ag films produced by radio frequency magnetron sputtering. Thin Solid Films 2006, 510, 138–142. [Google Scholar] [CrossRef]
- Ge, J.; Isgor, O. Effects of Tafel slope, exchange current density and electrode potential on the corrosion of steel in concrete. Mater. Corros. 2007, 58, 573–582. [Google Scholar] [CrossRef]
- Burstein, G.T.; Vines, S.P. Repetitive Nucleation of Corrosion Pits on Stainless Steel and the Effects of Surface Roughness. J. Electrochem. Soc. 2001, 148, B504–B516. [Google Scholar] [CrossRef]
- MacLeod, I.D. In-situ Corrosion Measurements of WWII Shipwrecks in Chuuk Lagoon, Quantification of Decay Mechanisms and Rates of Deterioration. Front. Mar. Sci. 2016, 3. [Google Scholar] [CrossRef] [Green Version]
- Wong, P.K.; Kwok, C.T.; Man, H.C.; Cheng, F.T. Laser surface alloying (LSA) of copper for electrical erosion resistance. In Laser Surface Modification of Alloys for Corrosion and Erosion Resistance; Elsevier: Amsterdam, The Netherlands, 2012; pp. 288–319. [Google Scholar]
- Ameh, P.O.; Eddy, N.O. Theoretical and experimental studies on the corrosion inhibition potentials of 3-nitrobenzoic acid for mild steel in 0.1 M H2SO4. Cogent Chem. 2016, 2. [Google Scholar] [CrossRef]
- Singh, A.; Lin, Y.; Quraishi, M.A.; Olasunkanmi, L.O.; Fayemi, O.E.; Sasikumar, Y.; Ramaganthan, B.; Bahadur, I.; Obot, I.B.; Adekunle, A.S.; et al. Porphyrins as Corrosion Inhibitors for N80 Steel in 3.5% NaCl Solution: Electrochemical, Quantum Chemical, QSAR and Monte Carlo Simulations Studies. Molecules 2015, 20, 15122–15146. [Google Scholar] [CrossRef] [PubMed] [Green Version]
- Zhang, Y.; Yang, C.; Zhao, L.; Zhang, J. Study on the Electrochemical Corrosion Behavior of 304 Stainless Steel in Chloride Ion Solutions. Int. J. Electrochem. Sci. 2021, 16, 210251. [Google Scholar] [CrossRef]









| Electrode | The Order of the Deposited Materials on Electrodes | Deposition Mode |
|---|---|---|
| a | MnTa2O6 | Monolayer |
| b | 5,10-(4-carboxy-phenyl)-15,20-(phenoxy-phenyl)-porphyrin | Monolayer |
| c | 5,15-(4-carboxy-phenyl)-10,20-bis-phenylporphyrin | Monolayer |
| d | MnTa2O6/5,10-(4-carboxy-phenyl)-15,20-(phenoxy-phenyl)-porphyrin | Sandwich |
| e | 5,10-(4-carboxy-phenyl)-15,20-(phenoxy-phenyl)-porphyrin/MnTa2O6 | Sandwich |
| f | MnTa2O6/5,15-(4-carboxy-phenyl)-10,20-bis-phenylporphyrin | Sandwich |
| g | 5,15-(4-carboxy-phenyl)-10,20-bis-phenylporphyrin/MnTa2O6 | Sandwich |
| Electrode | Area (pm2) | Sa before/after (nm) | Sq before/after (nm) | Sy before/after (nm) | Particles Dimension (nm) |
|---|---|---|---|---|---|
| OL | 1.326 | 0.3/73.98 | 2.37/81.52 | - | - |
| a | 3.38/60.37 | 4.02/71.67 | 22.38/435.73 | 23 | |
| b | 4.1/56.99 | 4.95/63.41 | 31.40/416.99 | 28 | |
| c | 5.65/51.79 | 7.33/62.53 | 56.53/384.53 | 30 | |
| d | 8.15/48.53 | 10.40/59.66 | 66.77/251.42 | 33 | |
| e | 11.39/40.52 | 14.56/56.73 | 90.61/212.52 | 35 | |
| f | 16.19/36.57 | 20.07/51.73 | 108.7/193.93 | 38 | |
| g | 23.47/33.51 | 30.69/47.44 | 165.42/189.8 | 45 |
| Electrode | E (I = 0) (mV) | Rp (Ω × cm2) | icorr (mA/cm2) | βa (mV) | βc (mV) | νcorr (mm/Y) | IE (%) |
|---|---|---|---|---|---|---|---|
| OL | −406.3 | 101.35 | 0.9548 | 256.9 | −423.7 | 3.256 | - |
| a | −410.3 | 104.87 | 0.3781 | 175.7 | −253.7 | 2.320 | 60.40 |
| b | −412.9 | 107.03 | 0.2690 | 143.8 | −205.1 | 1.893 | 71.82 |
| c | −416.9 | 119.23 | 0.1602 | 115.9 | −189.3 | 1.761 | 83.22 |
| d | −417.2 | 120.69 | 0.1349 | 108.2 | −139.6 | 1.653 | 85.87 |
| e | −417.7 | 122.74 | 0.1289 | 52.7 | −106.2 | 1.621 | 86.52 |
| f | −420.3 | 128.21 | 0.1028 | 43.2 | −73.5 | 1.439 | 89.17 |
| g | −423.5 | 131.64 | 0.0790 | 39.5 | −70.7 | 1.392 | 91.76 |
Publisher’s Note: MDPI stays neutral with regard to jurisdictional claims in published maps and institutional affiliations. |
© 2021 by the authors. Licensee MDPI, Basel, Switzerland. This article is an open access article distributed under the terms and conditions of the Creative Commons Attribution (CC BY) license (https://creativecommons.org/licenses/by/4.0/).
Share and Cite
Birdeanu, M.; Epuran, C.; Fratilescu, I.; Fagadar-Cosma, E. Structured Thin Films Based on Synergistic Effects of MnTa2O6 Oxide and bis-Carboxy-phenyl-substituted Porphyrins, Capable to Inhibit Steel Corrosion. Processes 2021, 9, 1890. https://doi.org/10.3390/pr9111890
Birdeanu M, Epuran C, Fratilescu I, Fagadar-Cosma E. Structured Thin Films Based on Synergistic Effects of MnTa2O6 Oxide and bis-Carboxy-phenyl-substituted Porphyrins, Capable to Inhibit Steel Corrosion. Processes. 2021; 9(11):1890. https://doi.org/10.3390/pr9111890
Chicago/Turabian StyleBirdeanu, Mihaela, Camelia Epuran, Ion Fratilescu, and Eugenia Fagadar-Cosma. 2021. "Structured Thin Films Based on Synergistic Effects of MnTa2O6 Oxide and bis-Carboxy-phenyl-substituted Porphyrins, Capable to Inhibit Steel Corrosion" Processes 9, no. 11: 1890. https://doi.org/10.3390/pr9111890
APA StyleBirdeanu, M., Epuran, C., Fratilescu, I., & Fagadar-Cosma, E. (2021). Structured Thin Films Based on Synergistic Effects of MnTa2O6 Oxide and bis-Carboxy-phenyl-substituted Porphyrins, Capable to Inhibit Steel Corrosion. Processes, 9(11), 1890. https://doi.org/10.3390/pr9111890

