The Effect of Geometrical, Operational, Mixing Methods, and Rheological Parameters on Discharge Coefficients of Internal-Mixing Twin-Fluid Atomizers
Abstract
1. Introduction
2. Materials and Methods
2.1. Fluid Supply System
2.2. Tested Nozzles
2.3. Internal Flow Visualization
2.4. Methodology of Data Analysis
2.5. Analysis of the Experimental Errors
3. Results and Discussion
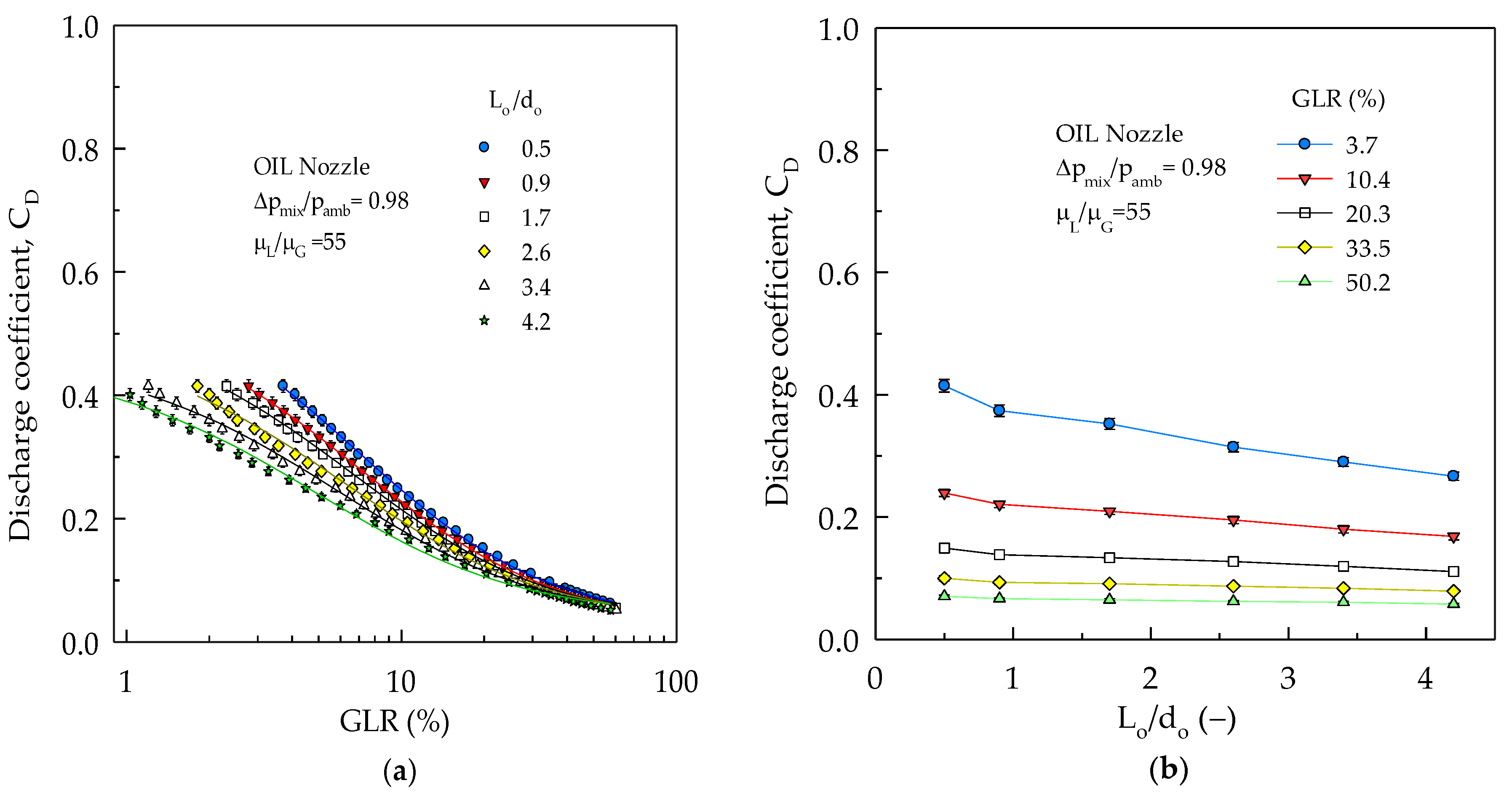
3.1. The Effect of GLR and Orifice Structure on CD
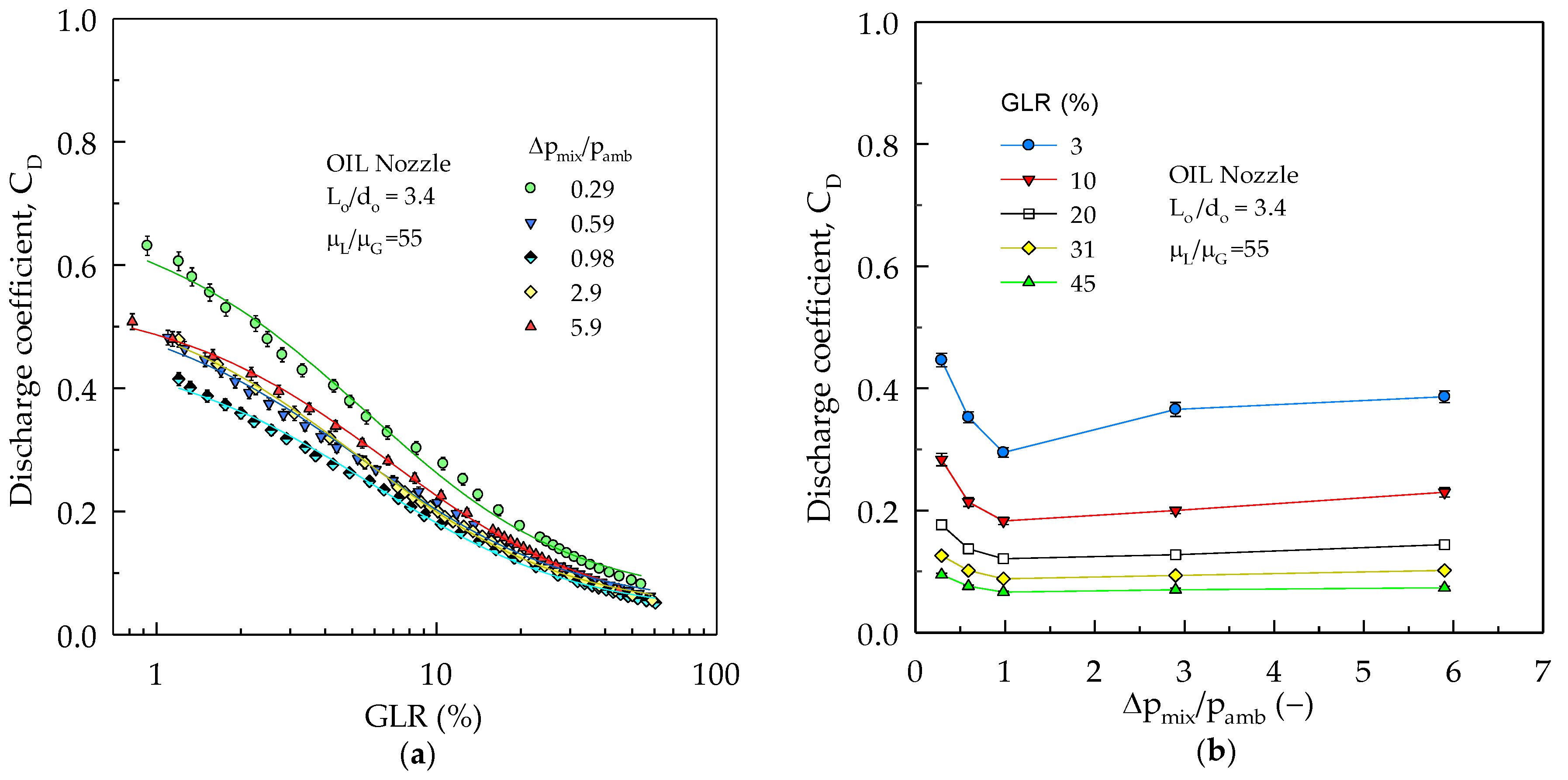
3.2. The Effect of the Inlet-Overpressure Ratio on CD
3.3. The Effect of Liquid Viscosity on CD
3.4. The Effect of the Mixing Method on CD
3.5. The Proposed CD Model and a Comparison with Published Models
4. Conclusions
- The GLR, Lo/do, µL/µG, and ∆pmix/pamb have a significant effect on the CD of IMTF nozzles, while the effect of the mixing-method factor is negligible.
- CD decreases with the increase of GLR, Lo/do, or µL/µG, and the same trend was observed with the increase of ∆pmix/pamb up to a value of 0.98, but CD increases with any further increase in ∆pmix/pamb.
- The sensitivity of CD to changes in Lo/do, ∆pmix/pamb, or µL/µG is high at a low GLR but declines at a high GLR.
- Flow visualization inside the exit orifice showed a diverse internal flow nature for each nozzle, which indicates that the CD of the IMTF nozzles is independent of the form of the internal flow regime at any given condition.
- The internal flow inside the exit orifice of the tested IMTF nozzles is inherently unsteady, but with varying levels; the OIL nozzle features a more stable internal flow behavior than the other nozzles.
- Finally, a general well-fitting CD prediction model (Equation (17)) with an R2 ≥ 0.99 was proposed, which is valid for any type of IMTF nozzle and with wider validity ranges for the included factors.
Supplementary Materials
Author Contributions
Funding
Conflicts of Interest
References
- Lefebvre, A.H. A novel method of atomization with potential gas turbine applications. Def. Sci. J. 1988, 38, 353–361. [Google Scholar] [CrossRef]
- Wang, X.F.; Chin, J.S.; Lefebvre, A.H. Influence of gas-injector geometry on atomization performance of aerated-liquid nozzles. Int. J. Turbo Jet Engines 1989, 6, 271–280. [Google Scholar] [CrossRef]
- Roesler, T.C.; Lefebvre, A.H. Studies on aerated-liquid atomization. Int. J. Turbo Jet Engines 1989, 6, 221–230. [Google Scholar] [CrossRef]
- Gadgil, H.P.; Raghunandan, B.N. Some features of spray breakup in effervescent atomizers. Exp. Fluids 2011, 50, 329–338. [Google Scholar] [CrossRef]
- Sovani, S.D.; Sojka, P.E.; Lefebvre, A.H. Effervescent atomization. Prog. Energy Combust. Sci. 2001, 27, 483–521. [Google Scholar] [CrossRef]
- Sovani, S.D.; Crofts, J.D.; Sojka, P.E.; Gore, J.P.; Eckerle, W.A. Structure and steady-state spray performance of an effervescent diesel injector. Fuel 2005, 84, 1503–1514. [Google Scholar] [CrossRef]
- García, J.A.; Lozano, A.; Alconchel, J.; Calvo, E.; Barreras, F.; Santolaya, J.L. Atomization of glycerin with a twin-fluid swirl nozzle. Int. J. Multiph. Flow 2017, 92, 150–160. [Google Scholar] [CrossRef]
- Hájek, J.; Dohnal, M.; Vondál, J.; Broukal, J. Analysis of effervescent spray quality for oil-fired furnace application. Clean Technol. Environ. Policy 2015, 17, 1195–1205. [Google Scholar] [CrossRef]
- Zhou, Y.; Zhang, M.; Yu, J.; Zhu, X.; Peng, J. Experimental investigation and model improvement on the atomization performance of single-hole Y-jet nozzle with high liquid flow rate. Powder Technol. 2010, 199, 248–255. [Google Scholar] [CrossRef]
- Wittner, M.O.; Karbstein, H.P.; Gaukel, V. Spray performance and steadiness of an effervescent atomizer and an air-core-liquid-ring atomizer for application in spray drying processes of highly concentrated feeds. Chem. Eng. Process. Process. Intensif. 2018, 128, 96–102. [Google Scholar] [CrossRef]
- Kleinhans, A.; Georgieva, K.; Wagner, M.; Gaukel, V.; Schuchmann, H.P. On the characterization of spray unsteadiness and its influence on oil drop breakup during effervescent atomization. Chem. Eng. Process. Process. Intensif. 2016, 104, 212–218. [Google Scholar] [CrossRef]
- Stähle, P.; Schuchmann, H.P.; Gaukel, V. Performance and Efficiency of Pressure-Swirl and Twin-Fluid Nozzles Spraying Food Liquids with Varying Viscosity. J. Food Process. Eng. 2015, 40, 1–12. [Google Scholar] [CrossRef]
- Stähle, P.; Gaukel, V.; Schuchmann, H.P. Investigation on the Applicability of the Effervescent Atomizer in Spray Drying of Foods: Influence of Liquid Viscosity on Nozzle Internal Two-Phase Flow and Spray Characteristics. J. Food Process. Eng. 2014, 38, 474–487. [Google Scholar] [CrossRef]
- Schröder, J.; Günther, A.; Wirth, K.E.; Schuchmann, H.P.; Gaukel, V. Effervescent Atomization of Polyvinylpyrrolidone Solutions: Influence of Liquid Properties and Atomizer Geometry on Liquid Breakup and Spray Characteristics. At. Sprays 2013, 23, 1–23. [Google Scholar] [CrossRef]
- Schröder, J.; Kraus, S.; Rocha, B.B.; Gaukel, V.; Schuchmann, H.P. Characterization of gelatinized corn starch suspensions and resulting drop size distributions after effervescent atomization. J. Food Eng. 2011, 105, 656–662. [Google Scholar] [CrossRef]
- Ashgriz, N. Handbook of Atomization and Sprays: Theory and Applications; Springer: Berlin/Heidelberg, Germany, 2011; ISBN 9781441972637. [Google Scholar]
- Broniarz-Press, L.; Ochowiak, M.; Woziwodzki, S. Atomization of PEO aqueous solutions in effervescent atomizers. Int. J. Heat Fluid Flow 2010, 31, 651–658. [Google Scholar] [CrossRef]
- Li, S.; Li, W.; Liu, Y.; Ji, C.; Zhang, J. Experimental investigation of the performance and spray characteristics of a supersonic two-phase flow ejector with different structures. Energies 2020, 13, 1166. [Google Scholar] [CrossRef]
- Bar-kohany, T.; Rashkovan, A. Flash-boiling atomization. Prog. Energy Combust. Sci. 2008, 34, 417–439. [Google Scholar] [CrossRef]
- Holz, S.; Braun, S.; Chaussonnet, G.; Koch, R.; Bauer, H.J. Close nozzle spray characteristics of a prefilming airblast atomizer. Energies 2019, 12, 2835. [Google Scholar] [CrossRef]
- Hede, P.D.; Bach, P.; Jensen, A.D. Two-fluid spray atomisation and pneumatic nozzles for fluid bed coating/agglomeration purposes: A review. Chem. Eng. Sci. 2008, 63, 3821–3842. [Google Scholar] [CrossRef]
- Lefebvre, A.H.; McDonell, V.G. Atomization and Sprays; CRC Press, Taylor & Francis Group: Boca Raton, FL, USA, 2017; Volume 2, ISBN 0891166033. [Google Scholar]
- Mujumdar, A.S. Handbook of Industrial Drying; CRC Press: Boca Raton, FL, USA, 2006; ISBN 1574446681. [Google Scholar]
- Ochowiak, M. The experimental study on the viscosity effect on the discharge coefficient for effervescent atomizers. Exp. Therm. Fluid Sci. 2013, 50, 187–192. [Google Scholar] [CrossRef]
- Gong, J.S.; Fu, W.B. The experimental study on the flow characteristics for a swirling gas-liquid spray atomizer. Appl. Therm. Eng. 2007, 27, 2886–2892. [Google Scholar] [CrossRef]
- Chen, S.K.; Lefebvre, A.H. Discharge coefficients for plain-orifice effervescent atomizers. At. Sprays 1994, 4, 275–290. [Google Scholar]
- Maly, M.; Jedelsky, J.; Slama, J.; Janackova, L.; Sapik, M.; Wigley, G. Internal flow and air core dynamics in Simplex and Spill-return pressure-swirl atomizers. Int. J. Heat Mass Transf. 2018, 123, 805–814. [Google Scholar] [CrossRef]
- Jedelsky, J.; Jicha, M.; Slama, J.; Otahal, J. Development of an effervescent atomizer for industrial burners. Energy Fuels 2009, 23, 6121–6130. [Google Scholar] [CrossRef]
- Chin, J.S.; Lefebvre, A.H. A Design Procedure for Effervescent Atomizers. ASME J. Eng. Gas. Turbines Power 1995, 117, 226–271. [Google Scholar] [CrossRef]
- Mlkvik, M.; Stähle, P.; Schuchmann, H.P.; Gaukel, V.; Jedelsky, J.; Jicha, M. Twin-fluid atomization of viscous liquids: The effect of atomizer construction on breakup process, spray stability and droplet size. Int. J. Multiph. Flow 2015, 77, 19–31. [Google Scholar] [CrossRef]
- Zaremba, M.; Weiß, L.; Malý, M.; Wensing, M.; Jedelský, J.; Jícha, M. Low-pressure twin-fluid atomization: Effect of mixing process on spray formation. Int. J. Multiph. Flow 2017, 89, 277–289. [Google Scholar] [CrossRef]
- Liu, M.; Duan, Y.; Zhang, T. Evaluation of effervescent atomizer internal design on the spray unsteadiness using a phase/Doppler particle analyzer. Exp. Therm. Fluid Sci. 2010, 34, 657–665. [Google Scholar] [CrossRef]
- Liu, M.; Duan, Y.; Zhang, T.; Xu, Y. Evaluation of unsteadiness in effervescent sprays by analysis of droplet arrival statistics - The influence of fluids properties and atomizer internal design. Exp. Therm. Fluid Sci. 2011, 35, 190–198. [Google Scholar] [CrossRef]
- Stähle, P.; Gaukel, V.; Schuchmann, H.P. Comparison of an Effervescent Nozzle and a Proposed Air-Core-Liquid-Ring (ACLR) Nozzle for Atomization of Viscous Food Liquids at Low Air Consumption. J. Food Process. Eng. 2015, 40, e12268. [Google Scholar] [CrossRef]
- Ochowiak, M.; Broniarz-Press, L.; Rozanski, J. The discharge coefficient of effervescent atomizers. Exp. Therm. Fluid Sci. 2010, 34, 1316–1323. [Google Scholar] [CrossRef]
- Huang, X.; Wang, X.; Liao, G. Visualization of two phase flow inside an effervescent atomizer. J. Vis. 2008, 11, 299–308. [Google Scholar] [CrossRef]
- Wittner, M.O.; Ballesteros, M.A.; Link, F.J.; Karbstein, H.P.; Gaukel, V. Air-core-liquid-ring (ACLR) atomization part II: Influence of process parameters on the stability of internal liquid film thickness and resulting spray droplet sizes. Processes 2019, 7, 616. [Google Scholar] [CrossRef]
- Wittner, M.O.; Karbstein, H.P.; Gaukel, V. Air-core-liquid-ring (ACLR) atomization: Influences of gas pressure and atomizer scale up on atomization efficiency. Processes 2019, 7, 139. [Google Scholar] [CrossRef]
- Ramamurthi, K.; Sarkar, U.K.; Raghunandan, B.N. Performance characteristics of effervescent atomizer in different flow regimes. At. Sprays 2009, 19, 41–56. [Google Scholar] [CrossRef]
- Jedelsky, J.; Michalica, K. Calculation of Gas–Liquid Two-Phase Flow Discharge from Orificess. Available online: http://www.energetickeforum.cz/ext/2pf/discharge/ (accessed on 9 July 2015).
- Forsythe, W.E. Smithsonian Physical Tables, 9th ed.; Smithsonian Institution: Washington, DC, USA, 1956. [Google Scholar]
- Zaremba, M.; Kozák, J.; Malý, M.; Weiß, L.; Rudolf, P.; Jedelský, J.; Jícha, M. An experimental analysis of the spraying processes in improved design of effervescent atomizer. Int. J. Multiph. Flow 2018, 103, 1–15. [Google Scholar] [CrossRef]
- Takamura, K.; Fischer, H.; Morrow, N.R. Physical properties of aqueous glycerol solutions. J. Pet. Sci. Eng. 2012, 98–99, 50–60. [Google Scholar] [CrossRef]
- Holman, J.P. Experimental Methods for Engineers, 8th ed.; McGraw-Hill: New York, NY, USA, 2012. [Google Scholar]
- Ochowiak, M. Discharge coefficient of effervescent atomizers with the swirl motion phenomenon. Exp. Therm. Fluid Sci. 2016, 79, 44–51. [Google Scholar] [CrossRef]
- Konstantinov, D.; Marsh, R.; Bowen, P.J.; Crayford, A. Effervescent Atomization for Industrial Energy-Technology Review. At. Sprays 2010, 20, 525–552. [Google Scholar] [CrossRef]
- Mori, Y.; Hijikata, K.; Nagatani, T. Effect of dissolved gas on bubble nucleation. Int. J. Heat Mass Transf. 1976, 19, 1153–1159. [Google Scholar] [CrossRef]
- Forest, T.W.; Ward, C.A. Effect of a dissolved gas on the homogeneous nucleation pressure of a liquid. J. Chem. Phys. 1977, 66, 2322–2330. [Google Scholar] [CrossRef]
- Forest, T.W.; Ward, C.A. Homogeneous nucleation of bubbles in solutions at pressures above the vapor pressure of the pure liquid. J. Chem. Phys. 1978, 69, 2221–2230. [Google Scholar] [CrossRef]
- Montgomery, D.C. Design and Analysis of Experiments, 8th ed.; Wiley: New York, NY, USA, 2013; ISBN 978-1118-14692-7. [Google Scholar]
- Sun, C.; Ning, Z.; Qiao, X.; Lv, M.; Li, Y.; Zhao, J.; Wang, X. Study on effervescent spray morphology based on internal gas-liquid two-phase flow patterns. Eur. J. Mech. B/Fluids 2019, 74, 123–138. [Google Scholar] [CrossRef]
- Stähle, P.; Gaukel, V.; Schuchmann, H.P. Influence of feed viscosity on the two-phase flow inside the exit orifice of an effervescent atomizer and on resulting spray characteristics. Food Res. Int. 2015, 77, 55–62. [Google Scholar] [CrossRef]
- Hong, M.; Jeon, J.; Lee, S.Y. Discharge Coefficient of Pressure-Swirl Atomizers with Low Nozzle Opening Coefficients. J. Propuls. Power 2012, 28, 1–5. [Google Scholar] [CrossRef]
- Ohrn, T.R.; Senser, D.W.; Lefebvre, A.H. Geometrical Effects on Discharge Coefficients for Plain-Orifice Atomizers. At. Sprays 1991, 1, 137–153. [Google Scholar] [CrossRef]
- Maly, M.; Sapik, M.; Cejpek, O.; Wigley, G.; Katolicky, J.; Jedelsky, J. Effect of spill orifice geometry on spray and control characteristics of spill-return pressure-swirl atomizers. Exp. Therm. Fluid Sci. 2019, 106, 159–170. [Google Scholar] [CrossRef]
- Jedelsky, J.; Jicha, M. Energy conversion during effervescent atomization. Fuel 2013, 111, 836–844. [Google Scholar] [CrossRef]
- Catlin, C.A.; Swithenbank, J. Physical processes influencing effervescent atomizer performance in the slug and annular flow regimes. At. Sprays 2001, 11, 575–595. [Google Scholar]
- Essien, S.; Archibong-Eso, A.; Lao, L. Discharge coefficient of high viscosity liquids through nozzles. Exp. Therm. Fluid Sci. 2019, 103, 1–8. [Google Scholar] [CrossRef]
- Woziwodzki, S.; Broniarz-Press, L.; Ochowiak, M. Transitional Mixing of Shear-Thinning Fluids in Vessels with Multiple Impellers. Chem. Eng. Technol. 2010, 33, 1099–1106. [Google Scholar] [CrossRef]
- Shepard, T.G. Bubble Size Effect on Effervescent Atomization. Ph.D. Thesis. 2011. Available online: https://conservancy.umn.edu/handle/11299/113573 (accessed on 9 May 2020).
- Jobehdar, M.H.; Siddiqui, K.; Gadallah, A.H.; Chishty, W.A. Effect of single-and multi-hole bubble breakers on the effervescent atomization process. At. Sprays 2016, 26, 135–162. [Google Scholar] [CrossRef]
- Jedelsky, J.; Jicha, M. Prediction of Discharge Coefficient of Internally-Mixed Twin-Fluid Atomizers. In Proceedings of the 24th European Conference on Liquid Atomization and Spray Systems ILASS-Europe, Lisbon/Estoril, Portugal, 5 September 2011; pp. 1–4. [Google Scholar]
- Rouina, S.; Ravelli, S.; Barigozzi, G. Combined experimental and CFD investigation of flat plate film cooling through fan shaped holes. Int. J. Turbomach. Propuls. Power 2019, 4, 7. [Google Scholar] [CrossRef]
- Barigozzi, G.; Mosconi, S.; Perdichizzi, A.; Ravelli, S. The effect of hot streaks on a high pressure turbine vane cascade with showerhead film cooling. Int. J. Turbomach. Propuls. Power 2017, 2, 15. [Google Scholar] [CrossRef]















| Ref. | Varied Factors | ||||||
| Nozzle Geometry | Working Conditions | Physical Properties | |||||
| Type | do (mm) | do/Dmix(–) | Lo/do (–) | GLR (%) | ∆pmix/pamb(–) | µL (kg/m∙s) | |
| [26] | OIG | 1.2–2 | 0.19–0.3 | 0.5 | 1–12 | 1.36–2.04 | 0.001–0.1 |
| [39] | OIG | 2.5–4 | 0.31–0.5 | 0.5 | 0.5–20 | 1.48–2.96 | 0.001 |
| [28] | OIG | 2.5 | 0.45–0.18 | 0.28 | 2–10 | 0.99–4.9 | 0.0185 |
| [35] | IOG | 1.7–4.9 | 0.09–0.25 | 0.3–0.88 | 2–46 | N/C 1 | 0.001 |
| [24] | IOG | 2.7 | 0.14 | N/M 2 | 1.4–57 | N/M | 0.001–0.182 |
| Conclusions | |||||||
| Ref. | Proposed Model | Notes | |||||
| [26] | - c is a constant, depends on the liquid properties, and is equal to 0.385 for water. CD decreases with increasing gas-to-liquid ratio (GLR), while its value increases when the inlet-overpressure increases. The effect of viscosity is negligible. | ||||||
| [39] | - For horizontal flow. This model is valid for 2000 < Re < 20,000, with a coefficient of determination (R2) of 0.982. The inlet-overpressure has a small effect on CD; increasing the gas pressure leads to decrease the CD. | ||||||
| [28] | - The terms that reflect the effect of physical properties were adopted from Chin and Lefebvre [29]. G can be obtained by combining two models (the homogeneous flow model (HFM) and the separated flow model (SFM)) of two-phase discharge, which can be obtained via the online multiphase flow calculator [40]. CD increases when liquid viscosity, surface tension, or GLR increases, while it is vice versa for the orifice length-to-diameter ratio. | ||||||
| [35] | - The atomizer construction shows a strong effect on CD, in which CD increases when the orifice diameter do decreases. | ||||||
| [24] | - CD decreases with increasing liquid viscosity or GLR. In addition, CD is affected by the flow character and the atomization mechanism. | ||||||
| Mixture | Glycerol (wt%) | ρ (kg/m3) | ur (ρ) (%) | µ (Pa∙s) | ur (µ) (%) | σ (kg/s2) | ur (σ) (%) | |
|---|---|---|---|---|---|---|---|---|
| M1 | 0 | 998.2 | -a | 0.001 | -a | 0.0731 | -a | |
| M2 | 70 | 1190 | 1 | 0.0241 | 4.68 | 0.0679 | -a | |
| M3 | 80 | 1216 | 1 | 0.0697 | 8.91 | 0.0672 | -a | |
| M4 | 90 | 1241 | 1 | 0.2132 | 7.73 | 0.0665 | -a | |
| Properties of the air at 20 °C. | ||||||||
| Air | 1.23 | 1.81 ×10−5 | ||||||
| No. | do (mm) | Lo (mm) | β (°) | Lo/do (–) |
|---|---|---|---|---|
| 1 | 0.85 | 0.42 | 45 | 0.5 |
| 2 | 0.85 | 0.77 | 45 | 0.9 |
| 3 | 0.85 | 1.46 | 45 | 1.7 |
| 4 | 0.85 | 2.2 | 45 | 2.6 |
| 5 | 0.85 | 2.89 | 45 | 3.4 |
| 6 | 0.85 | 3.57 | 45 | 4.2 |
| Author/s | Nozzle Type | Investigation | Results of Internal Flow Pattern | |
|---|---|---|---|---|
| Type | Region | |||
| Stähle et al. [13] | OIG | Visualization | Mixing chamber | Bubbly flow (GLR <2%) Intermittent (2% < GLR < 10%) Annular flow (GLR ≥10%) |
| Zaremba et al. [31] | OIL | Theoretically | Mixing chamber | Annular flow at any operation condition |
| Jobehdar et al. [61] | IOG | Visualization | Mixing chamber | Bubbly flow (GLR ≤0.1%) Slug flow (GLR = 0.7%) Annular (GLR >2.2%) |
| Stähle et al. [34] | ACLR | Visualization | Contraction zone and exit orifice. | Annular flow at any operation condition |
| Nozzle | R2 (–) | SS (–) |
|---|---|---|
| OIL | 0.992 | 0.064 |
| OIG | 0.994 | 0.049 |
| IOG | 0.990 | 0.069 |
| ACLR | 0.991 | 0.090 |
| SACLR | 0.991 | 0.070 |
© 2020 by the authors. Licensee MDPI, Basel, Switzerland. This article is an open access article distributed under the terms and conditions of the Creative Commons Attribution (CC BY) license (http://creativecommons.org/licenses/by/4.0/).
Share and Cite
Hammad, F.A.; Sun, K.; Jedelsky, J.; Wang, T. The Effect of Geometrical, Operational, Mixing Methods, and Rheological Parameters on Discharge Coefficients of Internal-Mixing Twin-Fluid Atomizers. Processes 2020, 8, 563. https://doi.org/10.3390/pr8050563
Hammad FA, Sun K, Jedelsky J, Wang T. The Effect of Geometrical, Operational, Mixing Methods, and Rheological Parameters on Discharge Coefficients of Internal-Mixing Twin-Fluid Atomizers. Processes. 2020; 8(5):563. https://doi.org/10.3390/pr8050563
Chicago/Turabian StyleHammad, Farid A., Kai Sun, Jan Jedelsky, and Tianyou Wang. 2020. "The Effect of Geometrical, Operational, Mixing Methods, and Rheological Parameters on Discharge Coefficients of Internal-Mixing Twin-Fluid Atomizers" Processes 8, no. 5: 563. https://doi.org/10.3390/pr8050563
APA StyleHammad, F. A., Sun, K., Jedelsky, J., & Wang, T. (2020). The Effect of Geometrical, Operational, Mixing Methods, and Rheological Parameters on Discharge Coefficients of Internal-Mixing Twin-Fluid Atomizers. Processes, 8(5), 563. https://doi.org/10.3390/pr8050563

