Systematic Experimental Investigation of Segregation Direction and Layer Inversion in Binary Liquid-Fluidized Bed
Abstract
:1. Introduction
2. Direct Prediction of the Inversion Voidage: the Particle Segregation Model (PSM)
3. Experimental Setup, Methods and Materials
4. Results and Discussion
4.1. Expansion Properties of the Mixture Components
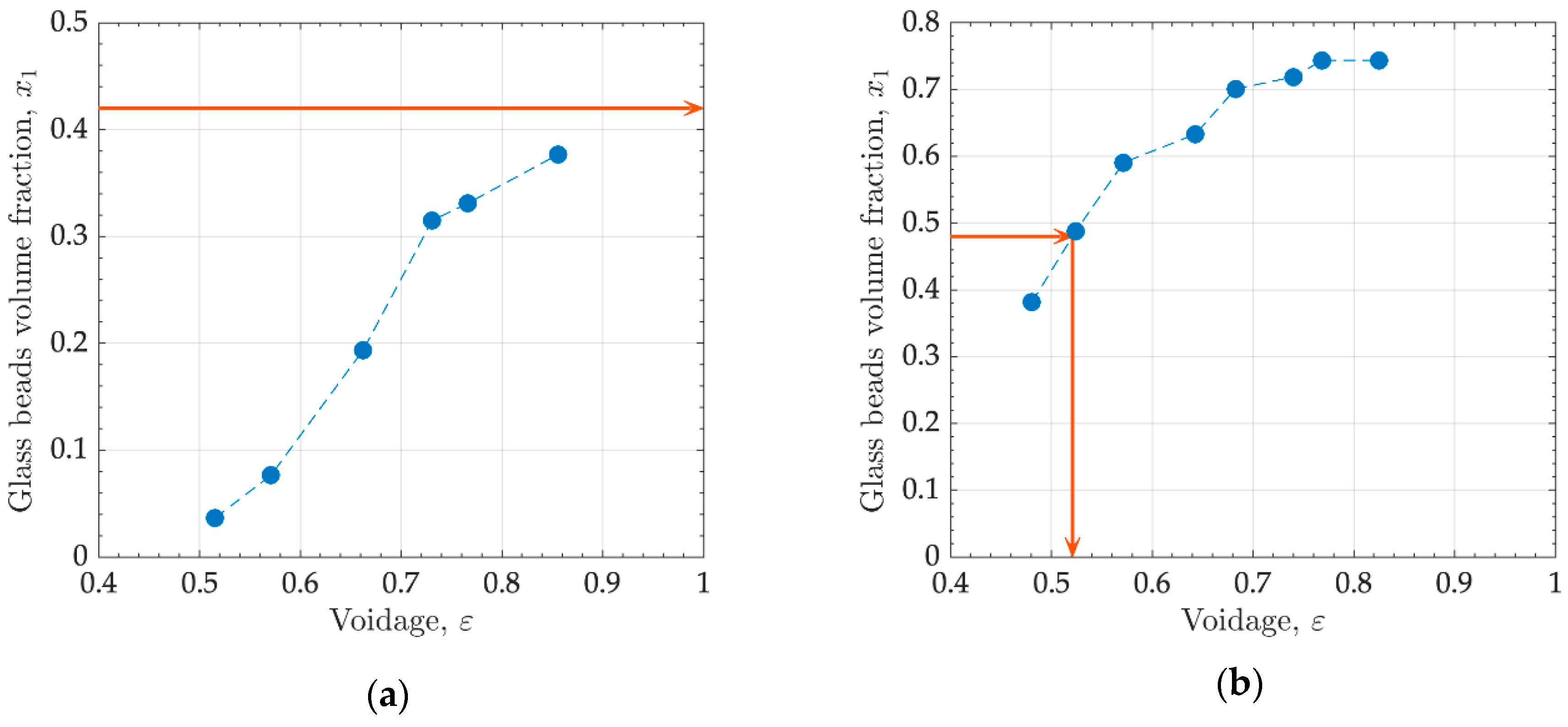
4.2. Segregation Direction and Layer Inversion
4.3. Overall Comparison with PSM Predictions
5. Conclusions
Author Contributions
Funding
Acknowledgments
Conflicts of Interest
Abbreviations
| Notation | |
| particle diameter, m | |
| average mixture diameter, m | |
| column diameter, m | |
| average-to-species 2 diameter ratio, - | |
| force, N | |
| gravitational acceleration, m/s2 | |
| packed bed height, m | |
| pressure, Pa | |
| species-2-to-average net density ratio, - | |
| solid mixture volume fraction, - | |
| polydispersion index, - | |
| water superficial velocity, m/s | |
| volume, m3 | |
| Greek symbols | |
| voidage, - | |
| density, kg/m3 | |
| average solid density, kg/m3 | |
| Subscripts | |
| referring to species | |
| b | buoyancy |
| d | drag |
| f | fluid |
| inversion | |
| max | maximum |
References
- Di Felice, R. Hydrodynamics of Liquid Fluidisation. Chem. Eng. Sci. 1995, 50, 1213–1245. [Google Scholar] [CrossRef]
- Epstein, N. Applications of Liquid-Solid Fluidization. Int. J. Chem. React. Eng. 2003, 1, 1–16. [Google Scholar] [CrossRef]
- Sahu, A.K.; Tripathy, A.; Biswal, S.K. Study on particle dynamics in different cross sectional shapes of air dense medium fluidized bed separator. Fuel 2013, 111, 472–477. [Google Scholar] [CrossRef]
- Tanaka, Z.; Song, X. Continuous separation of particles by fluidized beds. Adv. Powder Technol. 1996, 7, 29–40. [Google Scholar] [CrossRef]
- Tatemoto, Y.; Higashino, T.; Suzuki, Y.; Michikoshi, T.; Maeda, S.; Bando, Y. Prediction of the Behavior of a Liquid-Fluidized Bed of Inert Particles Used for Separation by Density. Chem. Eng. Technol. 2011, 34, 877–885. [Google Scholar] [CrossRef]
- Epstein, N. Liquid-solids Fluidization. In Handbook of Fluidization and Fluid-Particle Systems; Yang, W.-C., Ed.; Marcel Dekker Inc.: New York, NY, USA, 2003. [Google Scholar]
- Di Felice, R.; Nicolella, C.; Rovatti, M. Mixing and segregation in water fluidised-bed bioreactors. Water Res. 1997, 31, 2392–2396. [Google Scholar] [CrossRef]
- Coward, S.M.; Legallais, C.; David, B.; Thomas, M.; Foo, Y.; Mavri-Damelin, D.; Hodgson, H.J.; Selden, C. Alginate-encapsulated HepG2 Cells in a Fluidized Bed Bioreactor Maintain Function in Human Liver Failure Plasma. Artif. Organs 2009, 33, 1117–1126. [Google Scholar] [CrossRef]
- Naghib, S.D.; Pandolfi, V.; Pereira, U.; Girimonte, R.; Curcio, E.; Di Maio, F.P.; Legallais, C.; Di Renzo, A. Expansion properties of alginate beads as cell carrier in the fluidized bed bioartificial liver. Powder Technol. 2017, 316, 711–717. [Google Scholar] [CrossRef]
- Moritomi, H.; Iwase, T.; Chiba, T. A comprehensive interpretation of solid layer inversion in liquid fluidised beds. Chem. Eng. Sci. 1982, 37, 1751–1757. [Google Scholar] [CrossRef]
- Vivacqua, V.; Vashisth, S.; Hébrard, G.; Grace, J.R.; Epstein, N. Characterization of fluidized bed layer inversion in a 191-mm-diameter column using both experimental and CPFD approaches. Chem. Eng. Sci. 2012, 80, 419–428. [Google Scholar] [CrossRef]
- Di Felice, R.; Gibilaro, L.G.; Foscolo, P.U. On the inversion of binary-solid liquid fluidised beds. Chem. Eng. Sci. 1988, 43, 979–981. [Google Scholar] [CrossRef]
- Di Renzo, A.; Cello, F.; Di Maio, F.P. Simulation of the layer inversion phenomenon in binary liquid--fluidized beds by DEM–CFD with a drag law for polydisperse systems. Chem. Eng. Sci. 2011, 66, 2945–2958. [Google Scholar] [CrossRef]
- Abbaszadeh Molaei, E.; Yu, A.B.; Zhou, Z.Y. Investigation of causes of layer inversion and prediction of inversion velocity in liquid fluidizations of binary particle mixtures. Powder Technol. 2019, 342, 418–432. [Google Scholar] [CrossRef]
- Escudié, R.; Epstein, N.; Grace, J.R.; Bi, H.T. Layer inversion phenomenon in binary-solid liquid-fluidized beds: Prediction of the inversion velocity. Chem. Eng. Sci. 2006, 61, 6667–6690. [Google Scholar] [CrossRef]
- Epstein, N.; Pruden, B.B. Liquid fluidisation of binary particle mixtures—III Stratification by size and related topics. Chem. Eng. Sci. 1999, 54, 401–415. [Google Scholar] [CrossRef]
- Gibilaro, L.G.; Di Felice, R.; Waldram, S.P.; Foscolo, P.U. A predictive model for the equilibrium composition and inversion of binary-solid liquid fluidized beds. Chem. Eng. Sci. 1986, 41, 379–387. [Google Scholar] [CrossRef]
- Asif, M. Predicting binary-solid fluidized bed behavior using averaging approaches. Powder Technol. 2002, 127, 226–238. [Google Scholar] [CrossRef]
- Funamizu, N.; Takakuwa, T. An improved Richardson-Zaki formula for computing mixed layer composition in binary solid-liquid fluidized beds. Chem. Eng. Sci. 1995, 50, 3025–3032. [Google Scholar] [CrossRef]
- Di Maio, F.P.; Di Renzo, A. Direct modeling of voidage at layer inversion in binary liquid-fluidized bed. Chem. Eng. J. 2016, 284, 668–678. [Google Scholar] [CrossRef]
- Van der Hoef, M.A.; Beetstra, R.; Kuipers, J.A.M. Lattice-Boltzmann simulations of low-Reynolds-number flow past mono- and bidisperse arrays of spheres: Results for the permeability and drag force. J. Fluid Mech. 2005, 528, 233–254. [Google Scholar] [CrossRef]
- Yin, X.; Sundaresan, S. Fluid-particle drag in low-Reynolds-number polydisperse gas-solid suspensions. AIChE J. 2009, 55, 1352–1368. [Google Scholar] [CrossRef]
- Cello, F.; Di Renzo, A.; Di Maio, F.P. A semi-empirical model for the drag force and fluid–particle interaction in polydisperse suspensions. Chem. Eng. Sci. 2010, 65, 3128–3139. [Google Scholar] [CrossRef]
- Rong, L.W.; Dong, K.J.; Yu, A.B. Lattice-Boltzmann simulation of fluid flow through packed beds of spheres: Effect of particle size distribution. Chem. Eng. Sci. 2014, 116, 508–523. [Google Scholar] [CrossRef]
- Escudié, R.; Epstein, N. Voidage at the Layer Inversion Point in Binary-Solid Liquid-Fluidized Beds. Ind. Eng. Chem. Res. 2009, 48, 182–184. [Google Scholar] [CrossRef]









| Code | Densit (kg/m3) | Nominal Size Cut (mm) | Average Size (mm) |
|---|---|---|---|
| GB1 | 2500 | 0.60–0.81 | 0.87 |
| GB2 | 2500 | 1.40–2.0 | 2.12 |
| GB3 | 2500 | 2.40–2.90 | 2.80 |
| GB4 | 2500 | 2.85–3.45 | 3.18 |
| GB5 | 2500 | 3.80–4.40 | 4.21 |
| PS1 | 1451 | 5.95 | 5.95 |
| PS2 | 1632 | 5.95 | 5.95 |
| PS3 | 1814 | 5.95 | 5.95 |
| PS4 | 2086 | 5.95 | 5.95 |
| PS5 | 2267 | 5.95 | 5.95 |
| System | Fitting Line Slope (-) | Richardson-Zaki Exponent (-) | Fitting Line Intercept (mm/s) | Terminal Velocity (mm/s) | Wall Correction Factor (-) |
|---|---|---|---|---|---|
| GB4 | 2.42 | 2.43 | 303 | 381 | 0.75–0.85 |
| PS4 | 2.43 | 2.41 | 371 | 444 | 0.71–0.80 |
| Code | GB vol. Fraction | Species Size Ratio | Species Density Ratio | Species to Avg. Size Ratio | Species to Avg. Density Ratio | Inversion Voidage (PSM) | Inversion Voidage (exp.) | Deviation |
|---|---|---|---|---|---|---|---|---|
| GB3_PS5_X1_0.48 | 0.48 | 0.47 | 0.91 | 0.65 | 0.92 | <0.40 | <0.40 | - |
| GB4_PS5_X1_0.48 | 0.48 | 0.53 | 0.91 | 0.71 | 0.92 | <0.40 | <0.40 | - |
| GB3_PS4_X1_0.45 | 0.45 | 0.47 | 0.83 | 0.66 | 0.85 | 0.44 | 0.53 | 17% |
| GB1_PS2_X1_0.30 | 0.30 | 0.15 | 0.65 | 0.36 | 0.71 | 0.46 | <0.40 | - |
| GB5_PS5_X1_0.48 | 0.48 | 0.71 | 0.91 | 0.83 | 0.92 | 0.49 | 0.51 | 4% |
| GB1_PS1_X1_0.08 | 0.08 | 0.15 | 0.58 | 0.68 | 0.84 | 0.49 | 0.51 | 4% |
| GB4_PS4_X1_0.45 | 0.45 | 0.53 | 0.83 | 0.72 | 0.85 | 0.52 | 0.51 | −2% |
| GB1_PS1_X1_0.31 | 0.25 | 0.15 | 0.58 | 0.41 | 0.63 | 0.62 | 0.62 | 0% |
| GB1_PS1_X1_0.58 | 0.58 | 0.15 | 0.58 | 0.23 | 0.43 | 0.74 | 0.76 | 3% |
| GB3_PS3_X1_0.42 | 0.42 | 0.47 | 0.73 | 0.68 | 0.74 | 0.82 | 0.80 | −3% |
| GB2_PS2_X1_0.30 | 0.30 | 0.36 | 0.65 | 0.65 | 0.71 | 0.83 | (>) | - |
| GB5_PS4_X1_0.45 | 0.45 | 0.71 | 0.83 | 0.84 | 0.85 | 0.93 | (>) | - |
| GB4_PS3_X1_0.42 | 0.42 | 0.53 | 0.73 | 0.73 | 0.74 | 0.98 | (>) | - |
| GB5_PS3_X1_0.42 | 0.42 | 0.71 | 0.73 | 0.85 | 0.74 | >1.00 | (>) | - |
© 2020 by the authors. Licensee MDPI, Basel, Switzerland. This article is an open access article distributed under the terms and conditions of the Creative Commons Attribution (CC BY) license (http://creativecommons.org/licenses/by/4.0/).
Share and Cite
Di Renzo, A.; Rito, G.; Di Maio, F.P. Systematic Experimental Investigation of Segregation Direction and Layer Inversion in Binary Liquid-Fluidized Bed. Processes 2020, 8, 177. https://doi.org/10.3390/pr8020177
Di Renzo A, Rito G, Di Maio FP. Systematic Experimental Investigation of Segregation Direction and Layer Inversion in Binary Liquid-Fluidized Bed. Processes. 2020; 8(2):177. https://doi.org/10.3390/pr8020177
Chicago/Turabian StyleDi Renzo, Alberto, Giacomo Rito, and Francesco P. Di Maio. 2020. "Systematic Experimental Investigation of Segregation Direction and Layer Inversion in Binary Liquid-Fluidized Bed" Processes 8, no. 2: 177. https://doi.org/10.3390/pr8020177
APA StyleDi Renzo, A., Rito, G., & Di Maio, F. P. (2020). Systematic Experimental Investigation of Segregation Direction and Layer Inversion in Binary Liquid-Fluidized Bed. Processes, 8(2), 177. https://doi.org/10.3390/pr8020177

