Optimal Sizing of an Island Hybrid Microgrid Based on Improved Multi-Objective Grey Wolf Optimizer
Abstract
1. Introduction
2. Models of the Hybrid System Components
2.1. Photovoltaic Array Model
2.2. Wind Turbine Model
2.3. Tidal Current Turbine Model
2.4. Battery Storage Model
2.5. Diesel Generator Model
3. Objective Functions and Constrains
3.1. Energy Management Strategy
- Renewable energy power generation is enough to match the load demand. If the BSS is not fully charged at this time, the excess power generation will charge the BSS.
- Renewable energy power generation is enough to match the load demand. If the BSS is fully charged at this time, the renewable energy output will be reduced to match the load.
- Renewable energy power generation is not enough to match the load demand. If the BSS is available at this time, the BSS will discharge to match the load demand.
- Renewable energy power generation and BSS are not enough to match the load demand. DGs will be operated to supplement generation.
3.2. Objective Functions
3.2.1. Annualized Cost of System
3.2.2. Deficiency of Power Supply Probability
3.2.3. Optimization Objective Function
3.3. Constraints
3.3.1. Variable Constraints
3.3.2. Generation Unit Boundaries
3.3.3. Supply-Demand Balance
3.3.4. BSS Constraints
4. Improved Multi-Objective Grey Wolf Optimizer
4.1. Multi-Objective Grey Wolf Optimizer
4.2. Improvement of MOGWO
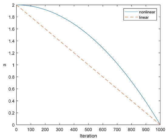
4.2.1. Improvement of Convergence Factor
4.2.2. Differential Mechanism Based on DE
4.2.3. Elite Selection Mechanism
4.3. Verification of IMOGWO
4.4. Flowchart of Optimization
- Input the load, irradiance, wind speed, tidal current speed and other data of the studied island. Input the economic and technical parameters of the system components.
- Determine the system optimization objectives and constraints. Determine the system variables and boundaries.
- Initialize the algorithm, set the external archive, configure the algorithm parameters and the maximum number of iterations.
- Calculate the non-dominated solution of the contemporary population, and update the external archive.
- Calculate the convergence factor according to Equation (32), and select three leaders from the external archive by roulette method.
- Calculate four candidate solutions of the current individual wolf using Equations (24)–(27) and Equations (33)–(36).
- Select all the non-dominated solutions. Select the optimal update position of the current individual wolf by elite strategy.
- Add the non-dominated solutions to the archive according to the archiving rules, and remove the dominated solutions. Remove the excess solutions when the population of external archive is full.
- Use to judge whether the algorithm should be terminated. The algorithm ends and all the non-dominated solutions are output if is reached. Conversely, return to Step 5.
5. Simulation Results and Discussion
5.1. Case Studies
5.2. Results and Discussion
5.3. Economic Analysis and Discussion
5.4. Additional Case Studies
6. Conclusions
- The simulation results verify the feasibility of the proposed optimization method. The optimal size of the island hybrid energy system is obtained. BBS and DGS are closely complementary with renewable energy base on an effective and reliable energy management strategy.
- Among all the components of the system, TCTs provide the most stable power output compared with PVs and WTs. Further analysis indicates that the utilization of TCTs can contribute to improve the reliability of power supply and the system investment in areas with abundant tidal current energy sources.
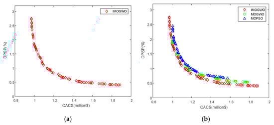
- In addition, simulation analysis verifies the feasibility and advancement of the proposed IMOGWO in solving the sizing optimization problem of hybrid energy system. IMOGWO achieves better Pareto front compared with MOGWO and MOPSO.
Author Contributions
Funding
Conflicts of Interest
References
- Lin, X.; Chen, C.; Zhou, X.; Li, Z. Integrated energy supply system of pelagic clustering islands. Proc. CSEE 2017, 37, 98–110. [Google Scholar]
- Denny, E.; Keane, A. A smart integrated network for an offshore island. Proc. IEEE Inst. Electr. Electron. Eng. 2013, 101, 942–955. [Google Scholar] [CrossRef]
- Jorgensen, J.M.; Sorensen, S.H.; Behnke, K.; Eriksen, P.B. EcoGrid EU—A prototype for European smart grids. In Proceedings of the 2011 IEEE Power and Energy Society General Meeting, Detroit, MI, USA, 24–28 July 2011; pp. 1–7. [Google Scholar] [CrossRef]
- Ding, Y.; Nyeng, P.; Ostergaard, J.; Trong, M.D.; Pineda, S.; Kok, K.; Huitema, G.B.; Grande, O.S. Ecogrid EU—A large scale smart grids demonstration of real time market-based integration of numerous small DER and DR. In Proceedings of the 3rd IEEE PES Innovative Smart Grid Technologies Europe (ISGT Europe), Berlin, Germany, 14–17 October 2012; pp. 1–7. [Google Scholar]
- El-Bidairi, K.S.; Duc, N.H.; Jayasinghe, S.D.G.; Mahmoud, T.S.; Penesis, I. A hybrid energy management and battery size optimization for standalone microgrids: A case study for Flinders Island, Australia. Energy Convers. Manag. 2018, 175, 192–212. [Google Scholar] [CrossRef]
- Hamilton, J.; Negnevitsky, M.; Wang, X.; Lyden, S. High penetration renewable generation within Australian isolated and remote power systems. Energy 2019, 168, 684–692. [Google Scholar] [CrossRef]
- Chen, A.A.; Stephens, A.J.; Koon Koon, R.; Ashtine, M.; Mohammed-Koon Koon, K. Pathways to climate change mitigation and stable energy by 100% renewable for a small island: Jamaica as an example. Renew. Sustain. Energy Rev. 2020, 121, 109671. [Google Scholar] [CrossRef]
- Abidi, M.G.; Ben Smida, M.; Khalgui, M.; Li, Z.; Qu, T. Source resizing and improved power distribution for high available island microgrid: A case study on a tunisian petroleum platform. IEEE Access 2019, 7, 22856–22871. [Google Scholar] [CrossRef]
- Bertheau, P. Supplying not electrified islands with 100% renewable energy based micro grids: A geospatial and techno-economic analysis for the Philippines. Energy 2020, 202, 117670. [Google Scholar] [CrossRef]
- Mohammed, O.; Amirat, Y.; Benbouzid, M. Economical evaluation and optimal energy management of a stand-alone hybrid energy system handling in genetic algorithm strategies. Electronics 2018, 7, 233. [Google Scholar] [CrossRef]
- Zhao, B.; Zhang, X.; Li, P.; Wang, K.; Xue, M.; Wang, C. Optimal sizing, operating strategy and operational experience of a stand-alone microgrid on Dongfushan Island. Appl. Energy 2014, 113, 1656–1666. [Google Scholar] [CrossRef]
- Carlos, D.; Rodríguez-Gallegos, D. A multi-objective and robust optimization approach for sizing and placement of PV and batteries in off-grid systems fully operated by diesel generators An Indonesian case study. Energy 2018, 160, 410–429. [Google Scholar]
- Luna-Rubio, R.; Trejo-Perea, M.; Vargas-Vazquez, D.; Rios-Moreno, G.J. Optimal sizing of renewable hybrids energy systems: A review of methodologies. Sol. Energy 2012, 86, 1077–1088. [Google Scholar] [CrossRef]
- Chauhan, A.; Saini, R. A review on integrated renewable energy system based power generation for stand-alone applications: Configurations, storage options, sizing methodologies and control. Renew. Sustain. Energy Rev. 2014, 38, 99–120. [Google Scholar] [CrossRef]
- Sinha, S.; Chandel, S. Review of software tools for hybrid renewable energy systems. Renew. Sustain. Energy Rev. 2014, 32, 192–205. [Google Scholar] [CrossRef]
- Ma, X.; Wu, Y.; Fang, H.L.; Sun, Y.Z. Optimal sizing of hybrid solar-wind distributed generation in an islanded microgrid using improved bacterial foraging algorithm. Proc. IEEE Inst. Electr. Electron. Eng. 2011, 25, 17–25. [Google Scholar]
- Abo-Elyousr, F.K.; Elnozahy, A. Bi-objective economic feasibility of hybrid micro-grid systems with multiple fuel options for islanded areas in Egypt. Renew. Energy 2018, 128, 37–56. [Google Scholar] [CrossRef]
- Duan, S.; Liu, N.; Cai, Y.M. Optimal operation of the island microgrid with renewable energy and desalination. In Proceedings of the International Conference on Mechatronic Sciences, Electric Engineering and Computer (MEC), Shenyang, China, 20–22 December 2013; pp. 3718–3722. [Google Scholar]
- Hamanah, W.M.; Abido, M.A.; Alhems, L.M. Optimum sizing of hybrid pv, wind, battery and diesel system using lightning search algorithm. Arab. J. Sci. Eng. 2020, 45, 1871–1883. [Google Scholar] [CrossRef]
- Bukar, A.L.; Tan, C.W.; Lau, K.Y. Optimal sizing of an autonomous photovoltaic/wind/battery/diesel generator microgrid using grasshopper optimization algorithm. Sol. Energy 2019, 188, 685–696. [Google Scholar] [CrossRef]
- Mahesh, K.; Nallagownden, P.; Elamvazuthi, I. Advanced pareto front non-dominated sorting multi-objective particle swarm optimization for optimal placement and sizing of distributed generation. Energies 2016, 9, 982. [Google Scholar] [CrossRef]
- Kaabeche, A.; Diaf, S.; Ibtiouen, R. Firefly-inspired algorithm for optimal sizing of renewable hybrid system considering reliability criteria. Sol. Energy 2017, 155, 727–738. [Google Scholar] [CrossRef]
- Nadjemi, O.; Nacer, T.; Hamidat, A.; Salhi, H. Optimal hybrid PV/wind energy system sizing: Application of cuckoo search algorithm for Algerian dairy farms. Renew. Sustain. Energy Rev. 2017, 70, 1352–1365. [Google Scholar] [CrossRef]
- Ajlan, A.; Tan, C.W.; Abdilahi, A.M. Assessment of environmental and economic perspectives for renewable-based hybrid power system in Yemen. Renew. Sustain. Energy Rev. 2017, 75, 559–570. [Google Scholar] [CrossRef]
- Yang, H.; Zhao, R.; Xin, H. Development and Research Status of Island Power Systems. Trans. China Electrotech. Soc. 2013, 28, 95–105. [Google Scholar]
- Al-Falahi, M.D.A.; Jayasinghe, S.D.G. A review on recent size optimization methodologies for standalone solar and wind hybrid renewable energy system. Energy Convers. Manag. 2017, 143, 252–274. [Google Scholar] [CrossRef]
- Francisco, T.; Paulo, R.; Tiago, F. Marine renewable energy. Renew. Energy 2020, 150, 1160–1164. [Google Scholar]
- Wang, S.; Yuan, P.; Li, D.; Jiao, Y. An overview of ocean renewable energy in China. Renew. Sustain. Energy Rev. 2011, 15, 91–111. [Google Scholar] [CrossRef]
- Nachtane, M.; Tarfaoui, M.; Goda, I.; Rouway, M. A review on the technologies, design considerations and numerical models of tidal current turbines. Renew. Energy 2020, 157, 1274–1288. [Google Scholar] [CrossRef]
- Zhou, Z.; Benbouzid, M.; Charpentier, J.; Scuiller, F.; Tang, T. Developments in large marine current turbine technologies—A review. Renew. Sustain. Energy Rev. 2017, 71, 852–858. [Google Scholar] [CrossRef]
- Astariz, S.; Vazquez, A.; Iglesias, G. Evaluation and comparison of the levelized cost of tidal, wave, and offshore wind energy. J. Renew. Sustain. Energy 2015, 7, 053112. [Google Scholar] [CrossRef]
- Razman, A.; Chee, W.T. A comprehensive review on photovoltaic emulator. Renew. Sustain. Energy Rev. 2017, 80, 430–452. [Google Scholar]
- Thangamani, K.; Manickam, M.L.; Chellaiah, C. An experimental study on photovoltaic module with optimum power point tracking method. Int. Trans. Electr. Energy Syst. 2019, 30, 12175. [Google Scholar] [CrossRef]
- Thomas, H.; Ralph, G.; Hans, G.B. Mapping the performance of PV modules, effects of module type and data averaging. Sol. Energy 2010, 84, 324–338. [Google Scholar]
- Skoplaki, E.; Palyvos, J.A. On the temperature dependence of photovoltaic module electrical performance: A review of efficiency/power correlations. Sol. Energy 2009, 83, 614–624. [Google Scholar] [CrossRef]
- Hanieh, B.; Saad, M.; Velappa, G. Optimization of micro-grid system using MOPSO. Renew. Energy 2014, 71, 295–306. [Google Scholar]
- Tito, S.R.; Lie, T.T.; Anderson, T.N. Optimal sizing of a wind-photovoltaic-battery hybrid renewable energy system considering socio-demographic factors. Sol. Energy 2016, 136, 525–532. [Google Scholar] [CrossRef]
- Tang, Y.; Fang, G.; Tan, Q.; Wen, X.; Lei, X.; Ding, Z. Optimizing the sizes of wind and photovoltaic power plants integrated into a hydropower station based on power output complementarity. Energy Convers. Manag. 2020, 206, 112465. [Google Scholar] [CrossRef]
- Bhandari, B.; Lee, K.; Lee, G.; Cho, Y.; Ahn, S. Optimization of hybrid renewable energy power systems: A review. Int. J. Precis. Eng. Manuf. Technol. 2015, 2, 99–112. [Google Scholar] [CrossRef]
- Shin, J.; Lee, J.H.; Realff, M.J. Operational planning and optimal sizing of microgrid considering multi-scale wind uncertainty. Appl. Energ. 2017, 195, 616–633. [Google Scholar] [CrossRef]
- Seif, E.; Ben, E. A Simulation Model for the evaluation of the electrical power potential harnessed by a marine current turbine. IEEE J. Ocean. Eng. 2007, 32, 786–797. [Google Scholar]
- Faridnia, N.; Habibi, D.; Lachowicz, S. Optimal scheduling in a microgrid with tidal generation. Energy 2019, 171, 435–443. [Google Scholar] [CrossRef]
- Roy, A.W.; Michael, R.T.; Clayton, E.H. Estimation of tidal power potential. Renew. Energy 2013, 51, 255–262. [Google Scholar]
- El Tawil, T.; Charpentier, J.F.; Benbouzid, M. Tidal energy site characterization for marine turbine optimal installation: Case of the Ouessant Island in France. Int. J. Mar. Energy 2017, 18, 57–64. [Google Scholar] [CrossRef]
- Morstyn, T.; Hredzak, B.; Agelidis, V.G. Control strategies for microgrids with distributed energy storage systems: An overview. IEEE Trans. Smart Grid 2018, 9, 3652–3666. [Google Scholar] [CrossRef]
- Bahmani-Firouzi, B.; Azizipanah-Abarghooee, R. Optimal sizing of battery energy storage for micro-grid operation management using a new improved bat algorithm. Int. J. Electr. Power Energy Syst. 2014, 56, 42–54. [Google Scholar] [CrossRef]
- Zhang, Y.; Lundblad, A.; Campana, P.E.; Benavente, F.; Yan, J. Battery sizing and rule-based operation of grid-connected photovoltaic-battery system: A case study in Sweden. Energy Convers. Manag. 2017, 133, 249–263. [Google Scholar] [CrossRef]
- Suresh, M.; Meenakumari, R. An improved genetic algorithm based optimal sizing of Solar Photovoltaic/ Wind Turbine Generator/ Diesel Generator/ Battery connected Hybrid Energy Systems for standalone applications. Int. J. Ambient. Energy 2019, 1, 20. [Google Scholar] [CrossRef]
- Ogunjuyigbe, A.S.O.; Ayodele, T.R.; Akinola, O.A. Optimal allocation and sizing of PV/Wind/Split-diesel/Battery hybrid energy system for minimizing life cycle cost, carbon emission and dump energy of remote residential building. Appl. Energy 2016, 171, 153–171. [Google Scholar] [CrossRef]
- Guo, Y.; Dai, X.; Jermsittiparsert, K.; Razmjooy, N. An optimal configuration for a battery and PEM fuel cell-based hybrid energy system using developed Krill herd optimization algorithm for locomotive application. Energy Rep. 2020, 6, 885–894. [Google Scholar] [CrossRef]
- Guo, L.; Fu, X.; Li, X.; Wang, C. Coordinated control of battery storage and diesel generators in isolated ac microgrid systems. Proc. CSEE 2012, 25, 70–78. [Google Scholar]
- Abdelhamid, K.; Rachid, I. Techno-economic optimization of hybrid photovoltaic/wind/diesel/ battery generation in a stand-alone power system. Sol. Energy 2014, 103, 171–182. [Google Scholar]
- Sanajaoba, S.; Fernandez, E. Maiden application of Cuckoo Search algorithm for optimal sizing of a remote hybrid renewable energy System. Renew. Energy 2016, 96, 1–10. [Google Scholar] [CrossRef]
- Al-Shamma’A, A.A.; Addoweesh, K.E. Optimum sizing of hybrid PV/wind/battery/diesel system considering wind turbine parameters using Genetic Algorithm. In Proceedings of the 2012 IEEE International Conference on Power and Energy (PECon), Kota Kinabalu Sabah, Malaysia, 2–5 December 2012; pp. 121–126. [Google Scholar]
- Kasereka, N.; Jackson, G.N.; Evan, M.W. Multi-objective optimal sizing of grid connected photovoltaic batteryless system minimizing the total life cycle cost and the grid energy. Renew. Energy 2019, 148, 1256–1265. [Google Scholar]
- Mirjalili, S.; Mirjalili, S.M.; Lewis, A. Grey wolf optimizer. Adv. Eng. Softw. 2014, 69, 46–61. [Google Scholar] [CrossRef]
- Mirjalili, S.; Saremi, S.; Mirjalili, S.M.; Coelho, L.D.S. Multi-objective grey wolf optimizer: A novel algorithm for multi-criterion optimization. Expert Syst. Appl. 2016, 47, 106–119. [Google Scholar] [CrossRef]
- Storn, R.; Price, K. Differential evolution—A simple and efficient heuristic for global optimization over continuous spaces. J. Glob. Optim. 1997, 11, 341–359. [Google Scholar] [CrossRef]
- Zhang, Q.; Zhou, A.; Zhao, S.; Suganthan, P.; Liu, W.; Tiwari, S. Multi-Objective Optimization Test Instances for the CEC 2009 Special Session and Competition; Technical Report CES-487; Mechanical Engineering: New York, NY, USA, 2008. [Google Scholar]
- Data Access of National Centers for Environmental Information. Available online: https://www.ncei.noaa.gov/ (accessed on 10 June 2020).
- Hou, F.; Yu, H.M.; Bao, X.W.; Wu, H. Analysis of tidal current energy in Zhoushan sea area based on high resolution numerical modeling. Acta Energ. Sol. Sin. 2014, 35, 125–133. [Google Scholar]















| Name | Mathematical Formulation |
|---|---|
| UF1 | |
| UF2 | |
| UF4 | |
| UF6 |
| Names | Average | ||
|---|---|---|---|
| IMOGWO | MOGWO | MOPSO | |
| UF1 | 0.0355 | 0.0729 | 0.1290 |
| UF2 | 0.0512 | 0.0872 | 0.1065 |
| UF4 | 0.0464 | 0.0861 | 0.1275 |
| UF6 | 0.0896 | 0.1810 | 0.2904 |
| Sources | Parameters | Values | Units |
|---|---|---|---|
| PV | Lifespan | 20 | Years |
| Rated capacity | 1 | kW | |
| Efficiency | 95 | % | |
| Initial cost | 3600 | $/kW | |
| Running cost | 2 | % | |
| WT | Lifespan | 20 | Years |
| Rated capacity | 80 | kW | |
| Efficiency | 95 | % | |
| Initial cost | 3950 | $/kW | |
| Running cost | 2 | % | |
| Cut-in speed | 2.5 | m/s | |
| Cut-out speed | 18 | m/s | |
| Rated speed | 12 | m/s | |
| TCT | Lifespan | 20 | Years |
| Rated capacity | 70 | kW | |
| Efficiency | 95 | % | |
| Initial cost | 4300 | $/kW | |
| Running cost | 2 | % | |
| Cut-in speed | 1 | m/s | |
| Cut-out speed | 5 | m/s | |
| Rated speed | 2.25 | m/s | |
| DG | Lifespan | 20 | Years |
| Rated capacity | 100 | kW | |
| Efficiency | 90 | % | |
| Initial cost | 800 | $/kW | |
| Fuel cost | 1.8 | $/kWh | |
| Running cost | 2 | % | |
| BSS | Lifespan | 5 | Years |
| Rated capacity | 100 | kWh | |
| Efficiency | 90 | % | |
| Initial cost | 280 | $/kW | |
| Running cost | 2 | % |
| Parameters | Values | Parameters | Values | Parameters | Values |
|---|---|---|---|---|---|
| GreyWolves_num | 200 | alpha | 0.1 | nGrid | 10 |
| MaxIt | 1000 | beta | 4 | u | 0.88 |
| Archive_size | 100 | gamma | 2 | k | 0.08 |
| Solutions | PV | WT | TID | BAT | DG | CACS (106 $) | DPSP (%) |
|---|---|---|---|---|---|---|---|
| 1 | 960 | 13 | 15 | 10 | 5 | 1.87 | 0.4 |
| 2 | 358 | 12 | 14 | 10 | 5 | 1.51 | 0.5 |
| 3 | 155 | 7 | 12 | 10 | 5 | 1.13 | 1.0 |
| 4 | 58 | 4 | 10 | 10 | 5 | 0.97 | 2.7 |
| DPSP | CACS (106 $) | ||
|---|---|---|---|
| With TCTs | Without TCTs | Multiple | |
| 2% | 0.98 | 1.94 | 1.98 |
| 1% | 1.13 | 2.36 | 2.09 |
| 0.5% | 1.51 | 3.17 | 2.10 |
| Parameters | Average | Minimum | Maximum |
|---|---|---|---|
| Load () | 193.22 | 77.89 | 585.38 |
| Irradiance () | 0.25 | 0 | 1.71 |
| Wind speed () | 8.89 | 0.08 | 29.37 |
| Tidal current speed () | 1.46 | 0 | 3.02 |
| Solutions | PV | WT | TID | BAT | DG | CACS (106 $) | DPSP (%) |
|---|---|---|---|---|---|---|---|
| 1 | 539 | 8 | 9 | 8 | 3 | 1.07 | 0.1 |
| 2 | 330 | 6 | 7 | 8 | 3 | 0.85 | 0.2 |
| 3 | 204 | 5 | 6 | 7 | 3 | 0.67 | 0.5 |
| 4 | 125 | 4 | 5 | 7 | 2 | 0.61 | 1.1 |
| Components | Generation Proportions | CACS Proportions |
|---|---|---|
| PV | 15.67% | 19.46% |
| WT | 42.91% | 32.39% |
| TCT | 36.64% | 27.98% |
| BAT | 4.21% | 12.18% |
| DG | 0.57% | 7.99% |
Publisher’s Note: MDPI stays neutral with regard to jurisdictional claims in published maps and institutional affiliations. |
© 2020 by the authors. Licensee MDPI, Basel, Switzerland. This article is an open access article distributed under the terms and conditions of the Creative Commons Attribution (CC BY) license (http://creativecommons.org/licenses/by/4.0/).
Share and Cite
Zhu, W.; Guo, J.; Zhao, G.; Zeng, B. Optimal Sizing of an Island Hybrid Microgrid Based on Improved Multi-Objective Grey Wolf Optimizer. Processes 2020, 8, 1581. https://doi.org/10.3390/pr8121581
Zhu W, Guo J, Zhao G, Zeng B. Optimal Sizing of an Island Hybrid Microgrid Based on Improved Multi-Objective Grey Wolf Optimizer. Processes. 2020; 8(12):1581. https://doi.org/10.3390/pr8121581
Chicago/Turabian StyleZhu, Wenqiang, Jiang Guo, Guo Zhao, and Bing Zeng. 2020. "Optimal Sizing of an Island Hybrid Microgrid Based on Improved Multi-Objective Grey Wolf Optimizer" Processes 8, no. 12: 1581. https://doi.org/10.3390/pr8121581
APA StyleZhu, W., Guo, J., Zhao, G., & Zeng, B. (2020). Optimal Sizing of an Island Hybrid Microgrid Based on Improved Multi-Objective Grey Wolf Optimizer. Processes, 8(12), 1581. https://doi.org/10.3390/pr8121581

