Adaptive Monitoring of Biotechnological Processes Kinetics
Abstract
1. Introduction
2. Monitoring of the Unknown Kinetics
2.1. New Formalization of the Process Kinetics
2.2. Structure of the General Software Sensor
2.3. Stability Analysis
2.3.1. Stability Analysis of the Fourth-Order System
+ λ((ω1ω2 − ψ2)(γ1 + γ2) − ψ2ω1 − γ1ω1ω2) + ω1γ1ψ2 − ω2γ2ψ1 − ψ2(γ1 + γ2)ω1,
2.3.2. Stability Analysis of the Fifth-Order System
(ω1 + ω2 + ω3)(γ1 + γ2 + γ3)) + λ2(ω1ω2ω3 + (ω2ω3 + ω1ω2 + ω1ω3)(γ1 + γ2 + γ3)) +
+ λ((ω1ω2ω3)(γ1+ γ2+ γ3) − ψ1γ2ω2 − ψ2γ3ω3) − ψ1γ2ω2ω3 − ψ2γ3ω1ω3.
= ω1ω2 + ω1ω3 + ω2ω3 + (ω1 + ω2 + ω3)(γ1 + γ2 + γ3) > 0,
= −ω1ω2ω3 − (ω2ω3 + ω1ω2 + ω1ω3)(γ1 + γ2 + γ3) < 0,
ω1ω2ω3(γ1 + γ2 + γ3) − ψ1γ2ω2 − ψ2γ3ω3 > 0,
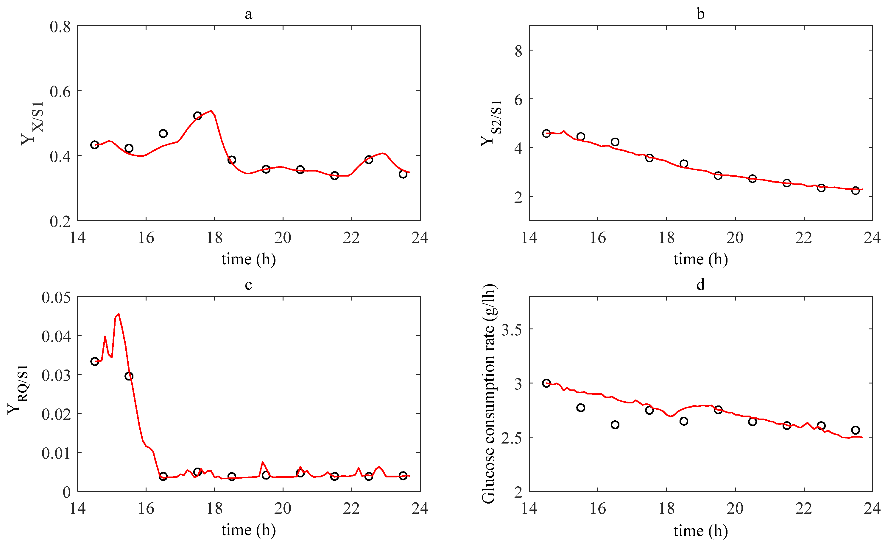
3. Results and Discussion
3.1. Structure of the General Software Sensor
3.2. Tuning Procedure
4. Conclusions
Author Contributions
Funding
Conflicts of Interest
References
- Hausmann, R.; Henkel, M.; Hecker, F.; Hitzmann, B. Present Status of Automation for Industrial Bioprocesses. In Current Developments in Biotechnology and Bioengineering; Larroche, C., Sanromán, M.Á., Du, G., Pandey, A., Eds.; Elsevier: Amsterdam, The Netherlands, 2017; pp. 725–757. [Google Scholar]
- Pörtner, R.; Barradas, O.P.; Frahm, B.; Hass, V.C. Advanced process and control strategies for bioreactors. In Current Developments in Biotechnology and Bioengineering; Larroche, C., Sanromán, M.Á., Du, G., Pandey, A., Eds.; Elsevier: Amsterdam, The Netherlands, 2017; pp. 463–493. [Google Scholar]
- Assis, A.; Filho, R.M. A new approach for designing model-based indirect sensors. Comp. Chem. Eng. 2000, 24, 1099–1103. [Google Scholar]
- Bastin, G.; Dochain, D. On-Line Estimation and Adaptive Control of Bioreactors; Elsevier: Amsterdam, The Netherlands, 1990. [Google Scholar]
- Soons, Z.; Voogt, J.A.; van Straten, G.; van Boxtel, A.J.B. Constant specific growth rate in fed-batch cultivation of Bordetella pertussis using adaptive control. J. Biotechnol. 2006, 125, 252–268. [Google Scholar] [CrossRef] [PubMed]
- Veloso, A.; Rocha, I.; Ferreira, E.C. Monitoring of fed-batch E. coli fermentations with software sensors. Bioprocess. Biosys. Eng. 2009, 32, 381–388. [Google Scholar] [CrossRef]
- Gonzalez, K.; Tebbani, S.; Lopes, F.; Thorigné, A.; Givry, S.; Dumur, D.; Pareau, D. Feedback linearizing controller coupled to an unscented Kalman filter for lactic acid regulation. In Proceedings of the IEEE 19th International Conference on System Theory, Control and Computing (ICSTCC), Cheile Gradistei, Romania, 14–16 October 2015; pp. 219–224. [Google Scholar]
- Hadj-Abdelkader, O.; Hadj-Abdelkader, A. Estimation of substrate and biomass concentrations in a chemostat using an extended Kalman filter. Int. J. Bioautomation 2019, 23, 215–232. [Google Scholar] [CrossRef]
- Valdés-González, H.; Flaus, J.M.; Acuña, G. Moving horizon state estimation with global convergence using interval techniques: Application to biotechnological processes. J. Proc. Contr. 2003, 13, 325–336. [Google Scholar] [CrossRef]
- Cruz-Bournazou, M.N.; Barz, T.; Nickel, D.; Glauche, F.; Knepper, A.; Neubauer, P. Online optimal experimental re-design in robotic parallel fed-batch cultivation facilities for validation of macro-kinetic growth models at the example of E. coli. Biotechnol. Bioengin. 2017, 114, 610–619. [Google Scholar] [CrossRef] [PubMed]
- Georgieva, P.; de Azevedo, S.F. Novel computational methods for modeling and control in chemical and biochemical process systems. In Computational Intelligence Techniques for Bioprocess Modelling, Supervision and Control; Nicoletti, M., Lakhmi, C.J., Eds.; Springer: Berlin/Heidelberg, Germany, 2009; pp. 99–125. [Google Scholar]
- Selişteanu, D.; Petre, E.; Roman, M.; Şendrescu, D. Estimation of kinetic rates in a baker’s yeast fed-batch bioprocess by using non-linear observers. IET Control. Theory A 2012, 6, 243–253. [Google Scholar] [CrossRef]
- Lyubenova, V.; Ignatova, M.; Salonen, K.; Kiviharju, K.; Eerikäinen, T. Control of α-amylase production by Bacillus subtilis. Bioproc. Biosyst. Eng. 2011, 34, 367–374. [Google Scholar] [CrossRef]
- Nuñez, S.; Garelli, F.; De Battista, H. Product-based sliding mode observer for biomass and growth rate estimation in Luedeking-Piret like processes. Chem. Eng. Res. Des. 2016, 105, 24–30. [Google Scholar] [CrossRef]
- Battista, H.; Picó, J.; Garelli, F.; Navarro, J.L. Reaction rate reconstruction from biomass concentration measurement in bioreactors using modified second-order sliding mode algorithms. Bioproc. Biosyst. Eng. 2012, 35, 1615–1625. [Google Scholar] [CrossRef]
- Petre, E.; Selişteanu, D.; Roman, M. Nonlinear robust adaptive control strategies for a lactic fermentation process. J. Chem. Technol. Biot. 2018, 93, 518–526. [Google Scholar] [CrossRef]
- Hajji, M.; Rapaport, A. Design of a cascade observer for a model of bacterial batch culture with nutrient recycling. In Biomass Now—Cultivation and Utilization; Matovic, M.D., Ed.; InTech Open: London, UK, 2013; pp. 97–112. [Google Scholar]
- Lyubenova, V.; Ignatova, M. Cascade software sensors for monitoring of activated sludge wastewater treatment processes. Compt. Rend. Acad. Bulg. Sci. 2011, 64, 395–404. [Google Scholar]
- Zlatkova, A.; Lyubenova, V. Dynamics monitoring of fed-batch E. coli fermentation. Int. J. Bioautomation 2017, 21, 121–132. [Google Scholar]
- Bezzaoucha, S.; Marx, B.; Maquin, D.; Ragot, J. Nonlinear joint state and parameter estimation: Application to a wastewater treatment plant. Contr. Eng. Pract. 2013, 21, 1377–1385. [Google Scholar] [CrossRef]
- Patarinska, T.; Trenev, V.; Popova, S. Software sensors design for a class of aerobic fermentation processes. Int. J. Bioautomation 2010, 14, 99–118. [Google Scholar]
- Lyubenova, V.; Junne, S.; Ignatova, M.; Neubauer, P. Software sensor design considering oscillating conditions as present in industrial scale fed-batch cultivations. Biotech. Bioeng. 2013, 110, 1945–1955. [Google Scholar] [CrossRef]
- Lemoine, A.; Delvigne, F.; Bockisch, A.; Neubauer, P.; Junne, S. Tools for the determination of population heterogeneity caused by inhomogeneous cultivation conditions. J. Biotechnol. 2017, 251, 84–93. [Google Scholar] [CrossRef]
- Delvigne, F.; Zacchetti, B.; Fickers, P.; Fifani, B.; Roulling, F.; Lefebvre, C.; Neubauer, P.; Junne, S. Improving controllability of microbial cell factories: From single cell to large-scale bioproduction. FEMS Microbiol. Lett. 2018, 365. [Google Scholar] [CrossRef]
- Lin, H.Y.; Mathiszik, B.; Xu, B.; Enfors, S.O.; Neubauer, P. Determination of the maximum specific uptake capacities for glucose and oxygen in glucose limited fed-batch cultivations of Escherichia coli. Biotechnol. Bioeng. 2001, 73, 347–357. [Google Scholar] [CrossRef]
- Neubauer, P.; Lin, H.Y.; Mathiszik, B. Metabolic load of recombinant protein production: Inhibition of cellular capacities for glucose uptake and respiration after induction of heterologous genes in Escherichia coli. Biotechnol. Bioeng. 2003, 83, 53–64. [Google Scholar] [CrossRef]
- Lubenova, V. Stable adaptive algorithm for simultaneous estimation of time-varying parameters and state variables in aerobic bioprocesses. Biopr. Eng. 1999, 21, 219–226. [Google Scholar] [CrossRef]
- Damm, T.; Ethington, C. Detectability, observability, and asymptotic reconstructability of positive systems. Lect. Notes Control. Inf. Sci. 2009, 389, 63–70. [Google Scholar]
- Birkhoff, G.; Mac Lane, S. A Survey of Modern Algebra, 5th ed.; Macmillan: New York, NY, USA, 1996; pp. 418–421. [Google Scholar]
- Junne, S.; Klingner, A.; Kabisch, J.; Schweder, T.; Neubauer, P. A two-compartment bioreactor system made of commercial parts for bioprocess scale-down studies: Impact of oscillations on Bacillus subtilis fed-batch cultivations. Biotech. J. 2011, 6, 1009–1017. [Google Scholar] [CrossRef] [PubMed]





Publisher’s Note: MDPI stays neutral with regard to jurisdictional claims in published maps and institutional affiliations. |
© 2020 by the authors. Licensee MDPI, Basel, Switzerland. This article is an open access article distributed under the terms and conditions of the Creative Commons Attribution (CC BY) license (http://creativecommons.org/licenses/by/4.0/).
Share and Cite
Lyubenova, V.; Ignatova, M.; Roeva, O.; Junne, S.; Neubauer, P. Adaptive Monitoring of Biotechnological Processes Kinetics. Processes 2020, 8, 1307. https://doi.org/10.3390/pr8101307
Lyubenova V, Ignatova M, Roeva O, Junne S, Neubauer P. Adaptive Monitoring of Biotechnological Processes Kinetics. Processes. 2020; 8(10):1307. https://doi.org/10.3390/pr8101307
Chicago/Turabian StyleLyubenova, Velislava, Maya Ignatova, Olympia Roeva, Stefan Junne, and Peter Neubauer. 2020. "Adaptive Monitoring of Biotechnological Processes Kinetics" Processes 8, no. 10: 1307. https://doi.org/10.3390/pr8101307
APA StyleLyubenova, V., Ignatova, M., Roeva, O., Junne, S., & Neubauer, P. (2020). Adaptive Monitoring of Biotechnological Processes Kinetics. Processes, 8(10), 1307. https://doi.org/10.3390/pr8101307
