The Role of Blade Sinusoidal Tubercle Trailing Edge in a Centrifugal Pump with Low Specific Speed
Abstract
1. Introduction
2. Test Model Pump and Setup
2.1. Test Model Pump
2.2. Impeller Blade Trailing Edge
2.3. Experimental Setup
3. Numerical Investigation
3.1. Numerical Method
3.2. Computational Mesh
3.3. Monitoring Points Arrangement
4. Results and Analysis
4.1. Performance Analysis of Two Test Pumps
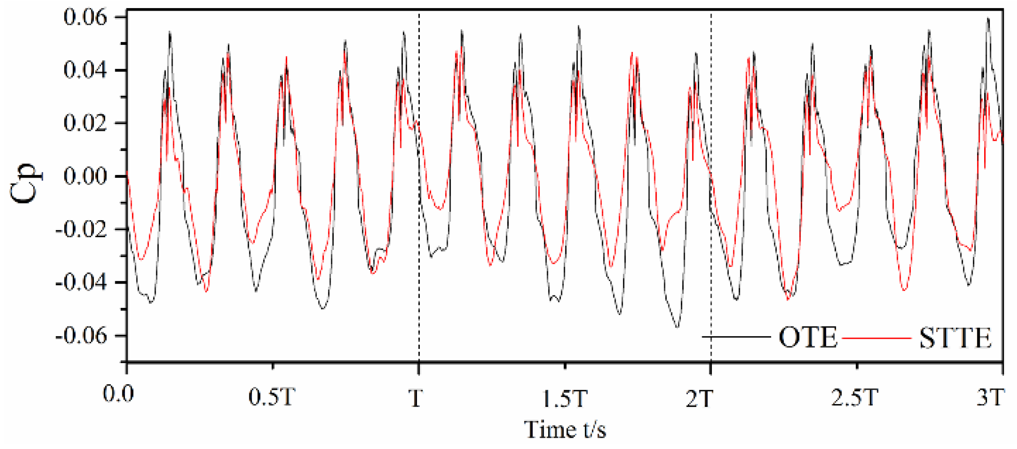
4.2. Pressure Pulsations for the Two Pumps
4.3. Flow Structures of Two Model Pumps
5. Conclusions
Author Contributions
Funding
Conflicts of Interest
Nomenclature
| D1 | Impeller entrance diameter [mm] |
| D2 | Impeller exit diameter [mm] |
| D3 | volute base circle diameter [mm] |
| Q | Nominal flow rate [m3/h] |
| H | Nominal head [m] |
| B1 | Impeller inlet width [mm] |
| B2 | peller exit width [mm] |
| N | Nominal rotating speed [rpm] |
| Z | Impeller blades number |
| Cp | Pressure coefficient [= (pi-)/(0.5 u22)] |
| u2 | circumferential speed at the impeller exit . |
| Ns | Specific speed |
| ρ | Fluid density [kg/m3] |
| Mean pressure coefficient | |
| φ | Flow coefficient [Q/(u2R22)] |
| ψ | Head coefficient [Hg/u22] |
| η | Efficiency [%] |
| pi | Monitoring point pressure value [Hg/u22] |
| BTE | blade trailing edge |
| STTE | sinusoidal tubercle trailing edge |
| β1 | Blade inlet angle [°] |
| β2 | Blade outlet angle [°] |
| φN | Nominal flow rate coefficient |
| ψN | Nominal head coefficient |
References
- Shankar, A.; Subramaniam, U.; Shanmugam, P.; Hanigovszki, N. A comprehensive review on energy efficiency enhancement initiatives in centrifugal pumping system. Appl. Energy 2016, 181, 495–513. [Google Scholar] [CrossRef]
- Majidi, K. Numerical Study of Unsteady Flow in a Centrifugal Pump. J. Turbomach. 2004, 127, 805–814. [Google Scholar]
- Li, X.; Jiang, Z.; Zhu, Z.; Si, Q.; Li, Y. Entropy generation analysis for the cavitating head-drop characteristic of a centrifugal pump. Proc. Inst. Mech. Eng. Part C 2018, 232, 4637–4646. [Google Scholar] [CrossRef]
- Bai, L.; Zhou, L.; Han, C.; Zhu, Y.; Shi, W. Numerical Study of Pressure Fluctuation and Unsteady Flow in a Centrifugal Pump. Processes 2019, 7, 354. [Google Scholar] [CrossRef]
- Fu, D.; Wang, F.; Zhou, P.; Xiao, R.; Yao, Z. Impact of Impeller Stagger Angles on Pressure Fluctuation for a Double-Suction Centrifugal Pump. Chin. J. Mech. Eng. 2018, 31, 10. [Google Scholar] [CrossRef]
- Wang, C.; Chen, X.; Qiu, N.; Yong, Z.; Shi, W. Numerical and experimental study on the pressure fluctuation, vibration, and noise of multistage pump with radial diffuser. J. Braz. Soc. Mech. Sci. Eng. 2018, 40, 481. [Google Scholar] [CrossRef]
- Fu, Q.; Yuan, S.; Zhu, R. Pressure Fluctuation of the Low Specific Speed Centrifugal Pump. Appl. Mech. Mater. 2012, 152–154, 935–939. [Google Scholar] [CrossRef]
- Cui, B.; Chen, D.; Xu, W.; Jin, Y.; Zhu, Z. Unsteady Flow Characteristic of Low-Specific-Speed Centrifugal Pump under Different Flow-Rate Conditions. J. Therm. Sci. 2015, 24, 17–23. [Google Scholar] [CrossRef]
- Zhang, W.; Yu, Y.; Zhu, S. Characteristic analysis on the pressure fluctuation in the impeller of a low specific speed mixed flow pump. IOP Mater. Sci. Eng. 2016, 129, 012035. [Google Scholar] [CrossRef]
- Fu, Y.X.; Yuan, J.P.; Yuan, S.Q.; Pace, G. Numerical and Experimental Analysis of Flow Phenomena in a Centrifugal Pump Operating Under Low Flow Rates. J. Fluids Eng. 2014, 137, 011102. [Google Scholar] [CrossRef]
- Pei, J.; Wang, W.J.; Yuan, S.Q. Statistical analysis of pressure fluctuations during unsteady flow for low-specific-speed centrifugal pumps. J. Cent South Univ. 2014, 21, 1017–1024. [Google Scholar] [CrossRef]
- Jafarzadeh, B.; Hajari, A.; Alishahi, M.M.; Akbari, M.H. The flow simulation of a low-specific-speed high-speed centrifugal pump. Appl. Math. Model. 2010, 35, 242–249. [Google Scholar] [CrossRef]
- Chu, S.; Dong, R.; Katz, J. Relation between Unsteady Flow, Pressure Fluctuations, and Noise in a Centrifugal Pump-Part B: Effects of Blade-tongue Interactions. J. Fluids Eng.-Trans. ASME 1997, 117, 30–35. [Google Scholar] [CrossRef]
- Chu, S.; Dong, R.; Katz, J. Relation between Unsteady Flow, Pressure Fluctuations, and Noise in a Centrifugal Pump-Part A: Use of PDV Date to Compute the Pressure Field. J. Fluids Eng.-Trans. ASME 1997, 117, 24–29. [Google Scholar] [CrossRef]
- Keller, J.; Blanco, E.; Barrio, R.; Parrondo, J. PIV Measurements of the Unsteady Flow Structures in a Volute Centrifugal Pump at a High Flow Rate. Exp. Fluids 2014, 55, 1820. [Google Scholar] [CrossRef]
- Jia, X.; Cui, B.; Zhu, Z.; Yu, X. Numerical Investigation of Pressure Distribution in a Low Specific Speed Centrifugal Pump. J. Therm. Sci. 2018, 27, 25–33. [Google Scholar] [CrossRef]
- Heskestad, G.; Olberts, D.R. Influence of Trailing-Edge Geometry on Hydraulic-Turbine-Blade Vibration Resulting From Vortex Excitation. J. Eng. Power 1960, 82, 103. [Google Scholar] [CrossRef]
- Gao, B.; Zhang, N.; Li, Z.; Ni, D.; Yang, M. Influence of the Blade Trailing Edge Profile on the Performance and Unsteady Pressure Pulsations in a Low Specific Speed Centrifugal Pump. J. Fluids Eng.-Trans. ASME 2016, 138, 051106. [Google Scholar] [CrossRef]
- Spence, H.; Aaral-Teixeira, I. Investigation into pressure pulsations in a centrifugal pump using numerical methods supported by industrial tests. Comput. Fluids 2008, 37, 690–704. [Google Scholar] [CrossRef]
- Solis, M.; Bakir, F.; Khelladi, S.; Noguera, R. Numerical Study on Pressure Fluctuations Reduction in Centrifugal Pumps: Influence of Radial Gap and Splitter Blades. ISRN Mech. Eng. 2011, 2011, 479594. [Google Scholar] [CrossRef]
- Amir, J.; Hossein, A. Impeller and volute design and optimization of the centrifugal pump with low specific speed in order to extract performance curves. JCAMECH 2018, 49, 359–366. [Google Scholar]
- Zhu, B.; Chen, H. Cavitation suppression of low specific speed centrifugal pump with gap drainage blades. J. Hydrodyn. 2012, 24, 729–736. [Google Scholar] [CrossRef]
- Khalifa, A.E. Effect of Blade Exit Shape on Performance and Vibration of a Double Volute Centrifugal Pump. Int. J. Mater. Mech. Manuf. 2014, 2, 261–264. [Google Scholar] [CrossRef]
- Binama, M.; Su, W.; Cai, W.; Li, B.; Alexis, M.; Li, B.; Emmanuel, B. Blade trailing edge position influencing pump as turbine (PAT) pressure field under part-load conditions. Renew. Energy 2019, 136, 33–47. [Google Scholar] [CrossRef]
- Xue, G.; Liu, Y.; Zhang, M.; Ding, H. Numerical Analysis of Hydrodynamics for Bionic Oscillating Hydrofoil Based on Panel Method. Appl. Bionics Biomech. 2016, 2016, 6909745. [Google Scholar] [CrossRef] [PubMed]
- Xin, H.; Zhang, C.; Wei, J.; Hu, X.; Wei, H. Wind turbine bionic blade design and performance analysis. J. Vis. Commun. Image Represent. 2019, 60, 258–265. [Google Scholar]
- Yang, Z.; Li, G.; Song, Y.; Bai, Y. Effects of setting angle and chord length on performance of four blades bionic wind turbine. IOP Earth Environ. Sci. 2017, 93, 012041. [Google Scholar] [CrossRef]
- Shi, W.; Atlar, M.; Norman, R.; Aktas, B.; Turkmen, S. Numerical optimization and experimental validation for a tidal turbine blade with leading-edge tubercles. Renew. Energy 2016, 96, 42–55. [Google Scholar] [CrossRef]
- Gu, Y.; Pei, J.; Yuan, S. Clocking effect of vaned diffuser on hydraulic performance of high-power pump by using the numerical flow loss visualization method. Energy 2019, 170, 986–997. [Google Scholar] [CrossRef]
- Cheng, H.Y.; Bai, X.R.; Long, X.P.; Ji, B.; Peng, X.X.; Farhat, M. Large eddy simulation of the tip-leakage cavitating flow with an insight on how cavitation influences vorticity and turbulence. Appl. Math. Model. 2019, 77, 788–809. [Google Scholar] [CrossRef]
- Wang, C.; Shi, W.; Wang, X. Optimal design of multistage centrifugal pump based on the combined energy loss model and computational fluid dynamics. Appl. Energy 2017, 187, 10–26. [Google Scholar] [CrossRef]
- Li, D.; Fu, X.; Zuo, Z.; Wang, H.; Li, Z.; Liu, S.; Wei, X. Investigation methods for analysis of transient phenomena concerning design and operation of hydraulic-machine systems-A review. Renew. Sustain. Energ Rev. 2019, 101, 26–46. [Google Scholar] [CrossRef]
- Zhang, Y.; Chen, T.; Li, J.; Yu, J. Experimental study of load variations on pressure fluctuations in a prototype reversible pump turbine in generating mode. ASME J. Fluids Eng. 2017, 139, 074501. [Google Scholar] [CrossRef]
- Liu, M.; Tan, L.; Cao, S. Cavitation–vortex–turbulence interaction and one-dimensional model prediction of pressure for hydrofoil ALE15 by large eddy simulation. ASME J. Fluids Eng. 2019, 141, 021103. [Google Scholar] [CrossRef]
- Huang, B.; Qiu, S.; Li, X.; Wu, Q.; Wang, G. A review of transient flow structure and unsteady mechanism of cavitating flow. J. Hydrodyn. 2019, 31, 429–444. [Google Scholar] [CrossRef]
- Yousefi, H.; Noorollahi, Y.; Tahani, M.; Fahimi, R.; Saremian, S. Numerical simulation for obtaining optimal impeller’s blade parameters of a centrifugal pump for high-viscosity fluid pumping. Sustain. Energy Technol. Assess. 2019, 34, 16–26. [Google Scholar] [CrossRef]
- Yi, S.; Zhu, H.; Zhang, J. Experiment and numerical study of a new generation three-stage multiphase pump. J. Pet. Sci. Eng. 2018, 169, 471–484. [Google Scholar]
- Pei, J.; Zhang, F.; Appiah, D.; Hu, B.; Yuan, S.; Chen, K.; Asomani, S.N. Performance Prediction Based on Effects of Wrapping Angle of a Side Channel Pump. Energies 2019, 12, 139. [Google Scholar] [CrossRef]
- Wang, C.; Hu, B.; Zhu, Y.; Wang, X.; Luo, C.; Cheng, L. Numerical Study on the Gas-Water Two-Phase Flow in the Self-Priming Process of Self-Priming Centrifugal Pump. Processes 2019, 7, 330. [Google Scholar] [CrossRef]
- Li, X.; Gao, P.; Zhu, Z.; Li, Y. Effect of the blade loading distribution on hydrodynamic performance of a centrifugal pump with cylindrical blades. J. Mech. Sci. Technol. 2018, 32, 1161–1170. [Google Scholar] [CrossRef]
- Xu, C.; Chen, L.; Lu, X. Large-eddy and detached-eddy simulations of the separated flow around a circular cylinder. J. Hydrodyn. 2007, B19, 559–563. [Google Scholar] [CrossRef]
- Lin, D.; Su, X.; Yuan, X. DDES Analysis of the Wake Vortex Related Unsteadiness and Losses in the Environment of a High-Pressure Turbine Stage. ASME J. Turbomach. 2018, 140, 041001. [Google Scholar] [CrossRef]
- Wei, Y.; Yang, H.; Lin, Z.; Wang, Z.; Qian, Y. A novel two-dimensional coupled lattice Boltzmann model for thermal incompressible flows. Appl. Math. Comput. 2018, 339, 556–567. [Google Scholar] [CrossRef]
- Liu, Q.; Ye, J.; Zhang, G.; Lin, Z.; Xu, H.; Zhu, Z. Metrological performance investigation of swirl flowmeter affected by vortex inflow. J. Mech. Sci. Technol. 2019, 33, 1–10. [Google Scholar] [CrossRef]
- Zhang, W.; Li, X.; Zhu, Z. Quantification of wake unsteadiness for low-Re flow across two staggered cylinders. Proc. Inst. Mech. Eng. Part C JMES 2019, 233, 0954406219866478. [Google Scholar] [CrossRef]
- Zhang, S.; Li, X.; Hu, B.; Liu, Y.; Zhu, Z. Numerical investigation of attached cavitating flow in thermo-sensitive fluid with special emphasis on thermal effect and shedding dynamics. Int. J. Hydrog. Energy 2019, 44, 3170–3184. [Google Scholar] [CrossRef]
- Liu, Q.; Ye, J.; Zhang, G.; Lin, Z. Study on the metrological performance of a swirlmeter affected by flow regulation with a sleeve valve. Flow Meas. Instrum. 2019, 67, 83–94. [Google Scholar] [CrossRef]
- Wang, W.; Osman, M.K.; Pei, J.; Gan, X.; Yin, T. Artificial Neural Networks Approach for a Multi-Objective Cavitation Optimization Design in a Double-Suction Centrifugal Pump. Processes 2019, 7, 246. [Google Scholar] [CrossRef]
- Zhang, N.; Liu, X.; Gao, B.; Xia, B. DDES analysis of the unsteady wake flow and its evolution of a centrifugal pump. Renew. Energy 2019, 141, 570–582. [Google Scholar] [CrossRef]
- Wang, C.; He, X.; Shi, W.; Wang, X.; Wang, X.L.; Qiu, N. Numerical study on pressure fluctuation of a multistage centrifugal pump based on whole flow field. AIP Adv. 2019, 9, 035118. [Google Scholar] [CrossRef]
- Li, D.; Wang, H.; Qin, Y. Mechanism of High Amplitude Low Frequency Fluctuations in a Pump-Turbine in Pump Mode. Renew. Energy 2018, 126, 668–680. [Google Scholar] [CrossRef]
- Liu, Y.; Tan, L. Tip clearance on pressure fluctuation intensity and vortex characteristic of a mixed flow pump as turbine at pump mode. Renew. Energy 2018, 129, 606–615. [Google Scholar] [CrossRef]
- Lun, Y.; Lin, L.; He, H.; Zhu, Z.; Wei, Y. Effects of Vortex Structure on Performance Characteristics of a Multiblade Fan with Inclined tongue. Proc. Inst. Mech. Eng. Part A J. Power Energy 2019, 233, 0957650919840964. [Google Scholar] [CrossRef]
















| Main Parameters | Signs | Values |
|---|---|---|
| Nominal rotating speed (rpm) | n | 3000 |
| Nominal flow rate (m3/h) | QN | 10 |
| Nominal head (m) | H | 35 |
| Specific speed | Ns | 40.1 |
| Impeller blades number | Z | 5 |
| Impeller inlet diameter (mm) | D1 | 50 |
| Impeller exit diameter (mm) | D2 | 160 |
| Impeller exit width (mm) | B2 | 10 |
| Impeller inlet width (mm) | B1 | 19 |
| volute base circle diameter(mm) | D3 | 165 |
| volute exit diameter (mm) | D4 | 40 |
| Blade inlet angle | β1 | 23 |
| Blade outlet angle | β2 | 23 |
| Nominal flow rate coefficient | φN | 0.017 |
| Nominal head coefficient | ψN | 0.622 |
| Roughness in impeller passage(μm) | Ra1 | 0.4 |
| Roughness in volute(μm) | Ra2 | 1.6 |
| Inlet Reynolds number | Re | 70396 |
| Components | Impeller | Volute | Back Chamber | Front Chamber | Inlet Extension | Outlet Extension |
|---|---|---|---|---|---|---|
| Number | 7,636,570 | 932,106 | 391,136 | 390,150 | 365,792 | 228,096 |
| Monitoring Points | Cp of OTE Profile | Cp of STTE Profile | Reduction (%) |
|---|---|---|---|
| T1 | 0.0316 | 0.028 | 10.4 |
| T2 | 0.0281 | 0.0266 | 5.3 |
| T3 | 0.081 | 0.0745 | 8.2 |
| T4 | 0.0577 | 0.0558 | 3.3 |
| T5 | 0.065 | 0.0623 | 5.5 |
© 2019 by the authors. Licensee MDPI, Basel, Switzerland. This article is an open access article distributed under the terms and conditions of the Creative Commons Attribution (CC BY) license (http://creativecommons.org/licenses/by/4.0/).
Share and Cite
Li, B.; Li, X.; Jia, X.; Chen, F.; Fang, H. The Role of Blade Sinusoidal Tubercle Trailing Edge in a Centrifugal Pump with Low Specific Speed. Processes 2019, 7, 625. https://doi.org/10.3390/pr7090625
Li B, Li X, Jia X, Chen F, Fang H. The Role of Blade Sinusoidal Tubercle Trailing Edge in a Centrifugal Pump with Low Specific Speed. Processes. 2019; 7(9):625. https://doi.org/10.3390/pr7090625
Chicago/Turabian StyleLi, Bowen, Xiaojun Li, Xiaoqi Jia, Feng Chen, and Hua Fang. 2019. "The Role of Blade Sinusoidal Tubercle Trailing Edge in a Centrifugal Pump with Low Specific Speed" Processes 7, no. 9: 625. https://doi.org/10.3390/pr7090625
APA StyleLi, B., Li, X., Jia, X., Chen, F., & Fang, H. (2019). The Role of Blade Sinusoidal Tubercle Trailing Edge in a Centrifugal Pump with Low Specific Speed. Processes, 7(9), 625. https://doi.org/10.3390/pr7090625

