On the Use of Starch in Emulsion Polymerizations
Abstract
1. Introduction
2. Polymer Latex
2.1. Emulsion Polymerization
2.2. Film Formation
3. Starch Properties and Modification
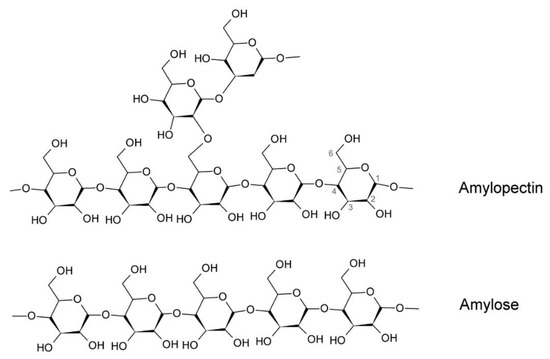
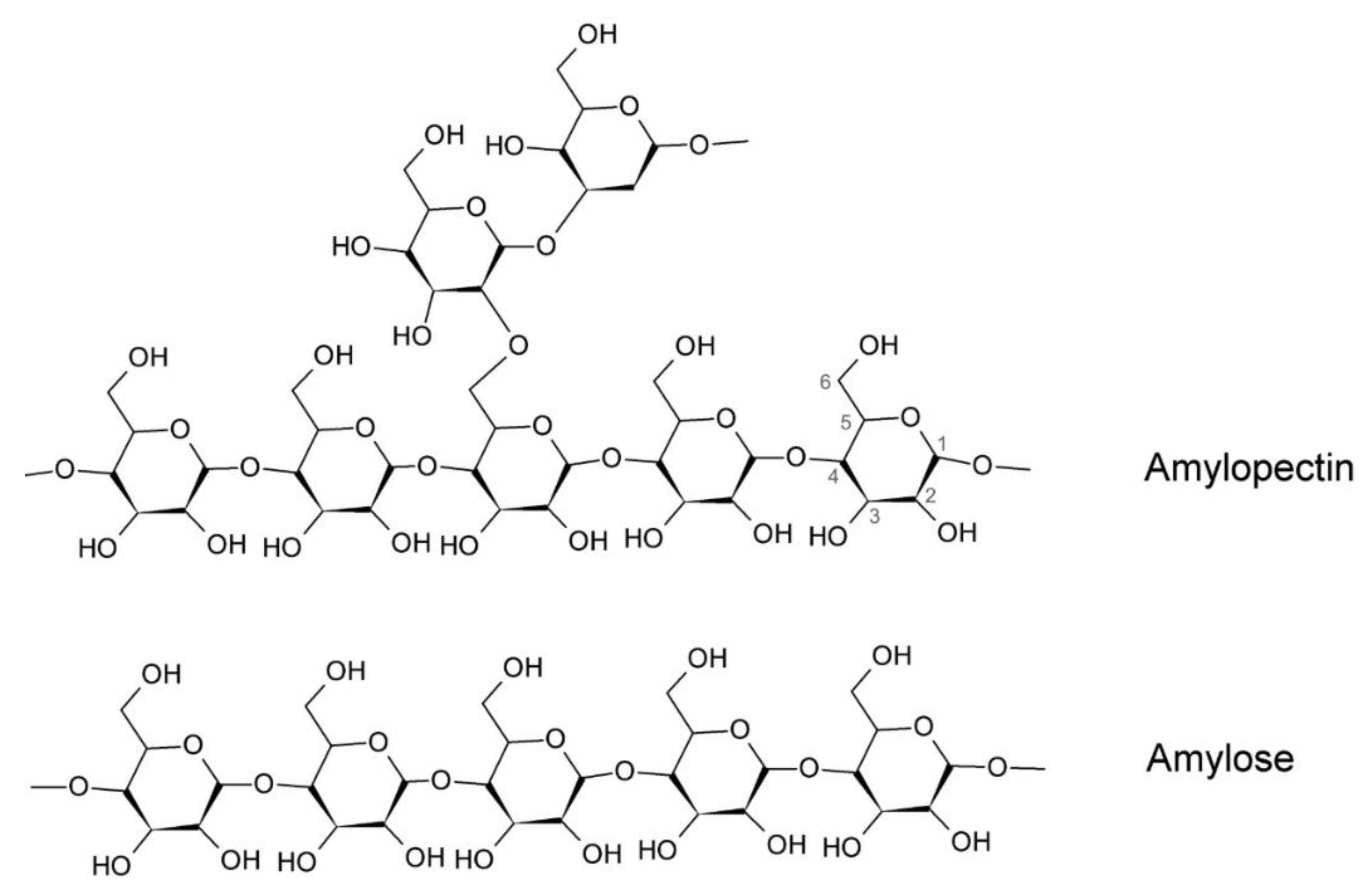
3.1. Structure and Properties
3.2. Physical and Chemical Treatment
3.3. Functionalization
4. Measuring Grafting Performance
4.1. Characterization of Polymer Products
4.2. Implicit Proof of Grafting
4.2.1. Latex Properties
4.2.2. Film Properties
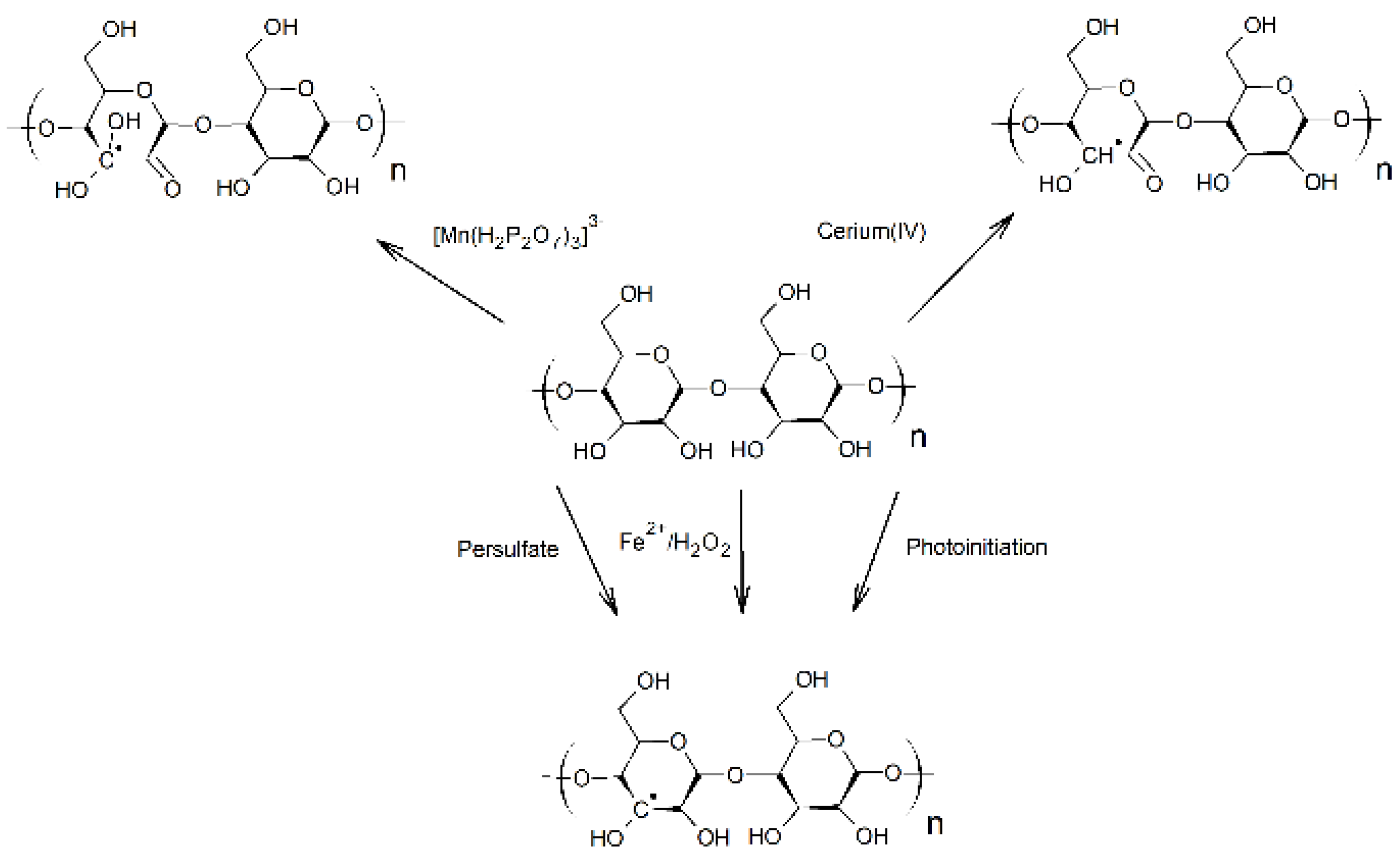
5. Grafting Mechanisms
5.1. Persulfates
5.2. Ceric ions
5.3. Manganic ions
5.4. Iron ions
5.5. AIBN
5.6. Other Initiators
5.7. Irradiation
6. Strategies for Starch Incorporation in Emulsion Polymerization
6.1. Initiator
6.2. Monomer
6.3. Surfactant/Stabilizer
6.4. Starch Type
6.5. Encapsulation
6.6. Starch Loading and Solids Content
7. Starch-Based Latex Applications
7.1. Starch
7.2. Starch-g-synthetic Latex
8. Conclusions and Future Perspectives
Author Contributions
Funding
Acknowledgments
Conflicts of Interest
Abbreviations
| 1H-NMR | proton nuclear magnetic resonance |
| 13C-NMR | carbon 13 nuclear magnetic resonance |
| AA | acrylic acid |
| AC | acetic anhydride |
| AIBN | azobisisobutyronitrile |
| AGU | anhydroglucose units |
| AM | acrylamide |
| AN | acrylonitrile |
| AO | add-on |
| APS | ammonium persulfate |
| ATRP | atom-transfer radical polymerization |
| BA | butyl acrylate |
| BAM | N-tert-butyl acrylamide |
| BMA | butyl methacrylate |
| BME | benzoin methyl ether |
| BP | benzophenone |
| CAN | ceric ammonium nitrate |
| CLSM | confocal laser scanning microscopy |
| CMC | critical micelle concentration |
| CP-MAS | cross polarized magic angle spinning |
| DADMAC/DMDAAC | diallyl dimethyl ammonium chloride |
| DAAM | diacetone acrylamide |
| DLS | dynamic light scattering |
| DMA | dynamic mechanical analysis |
| DMAEMA | 2-(dimethylamino)ethyl methacrylate |
| DMPA | dimethoxy-2-phenylacetophenone |
| DTAB | dodecyltrimethylammonium bromide |
| EA | ethyl acrylate |
| EMA | ethyl methacrylate |
| FTIR | Fourier-transform infrared |
| GE | grafting efficiency |
| GMA | glycidyl methacrylate |
| GPC | gel permeation chromatography |
| GR | grafting ratio |
| HDC | hydrodynamic chromatography |
| HPLC | high performance liquid chromatography |
| IA | itaconic acid |
| KPS | potassium persulfate |
| MA | methyl acrylate |
| MAA | methacrylic acid |
| MBA | N,N’-methylene-bisacrylamide |
| MFFT | minimum film formation temperature |
| MMA | methyl methacrylate |
| MW | molecular weight |
| NMA | N-methylol acrylamide |
| OSA | octenyl succinic anhydride |
| PG | percent grafting |
| PSD | particle size distribution |
| RAFT | reversible addition fragmentation chain transfer |
| RSNP | regenerated starch nano-particle |
| SEM | scanning electron microscopy |
| SMTP | sodium meta triphosphate |
| SNC | starch nano-crystal |
| SNP | starch nano-particle |
| St | styrene |
| TEM | transmission electron microscopy |
| TGA | thermogravimetric analysis |
| VAc | vinyl acetate |
| ULMW | ultra-low molecular weight |
| XRD | x-ray diffraction |
References
- Zhang, Y.; Dubé, M.A. Green Emulsion Polymerization Technology. Adv. Polym. Sci. 2017, 1–36. [Google Scholar]
- Marques, S.; Moreno, A.D.; Ballesteros, M.; Gírio, F. Biomass and Green Chemistry, 1st ed.; Vaz, S., Jr., Ed.; Springer: Cham, Switzerland, 2018; pp. 69–94. [Google Scholar]
- Laycock, B.G.; Halley, P.J. Starch Polymers, 1st ed.; Halley, P.J., Averous, L., Eds.; Elsevier: New York, NY, USA, 2014; pp. 381–419. [Google Scholar]
- Tadini, C.C. Starch-Based Materials in Food Packaging: Processing, Characterization and Applications, 1st ed.; Barbosa, S.E., Garcia, M.A., Castillo, L., Lopez, O.V., Vilar, M., Eds.; Academic Press: London, UK, 2017; pp. 19–36. [Google Scholar]
- Le Corre, D.; Dufresne, A. Preparation of Starch Nanoparticles. Biopolym. Nanocomposites Process. Prop. Appl. 2013, 153–180. [Google Scholar]
- Belgacem, M.N.; Gandini, A.; Silvestre, A.; Galbis, J.A.; García-Martín, M.G.; Benvegnu, T.; Plusquellec, D.; Lemiègre, L.; Pizzi, A.; Gellerstedt, G.; et al. Monomers, Polymers and Composites From Renewable Resources, 1st ed.; Belgacem, M.N., Gandini, A., Eds.; Elsevier: New York, NY, USA, 2008. [Google Scholar]
- Hansen, F.K.; van Herk, A.M.; Gilbert, R.G.; Leiza, J.R.; Meuldijk, J.; Charleux, B.; Monteiro, M.J.; Heuts, H.; Mercado, Y.R.; Akhmastkaya, E.; et al. Chemistry and Technology of Emulsion, 2nd ed.; van Herk, A.M., Ed.; John Wiley & Sons: West Sussex, UK, 2013. [Google Scholar]
- Anderson, C.D.; Daniels, E.S. Rapra Rev and Latex Applications. Rapra Rev. Rep. 2003, 14, 1–146. [Google Scholar]
- Guyot, A.; Chu, F.; Schneider, M.; Graillat, C.; McKenna, T.F. High Solids Content Latexes. Prog. Polym. Sci. 2002, 27, 1573–1615. [Google Scholar] [CrossRef]
- Rudin, A.; Choi, P. The Elements of Polymer Science & Engineering, 3rd ed.; Elsevier: New York, NY, USA, 2013; pp. 427–447. [Google Scholar]
- Odian, G. Principles of Polymerization, 4th ed.; John Wiley & Sons: Hoboken, NJ, USA, 2004; pp. 198–349. [Google Scholar]
- Dubé, M.A.; Salehpour, S. Applying the Principles of Green Chemistry to Polymer Production Technology. Macromol. React. Eng. 2014, 8, 7–28. [Google Scholar] [CrossRef]
- Ačkar, Đ.; Babić, J.; Jozinović, A.; Miličević, B.; Jokić, S.; Miličević, R.; Rajič, M.; Šubarić, D. Starch Modification by Organic Acids and Their Derivatives: A Review. Molecules 2015, 20, 19554–19570. [Google Scholar] [CrossRef] [PubMed]
- Kim, H.Y.; Park, S.S.; Lim, S.T. Preparation, Characterization and Utilization of Starch Nanoparticles. Colloids Surf. B Biointerfaces 2015, 126, 607–620. [Google Scholar] [CrossRef] [PubMed]
- Jyothi, A.N.; Carvalho, A.J.F. Polysaccharide Based Graft Copolymers, 1st ed.; Kalia, S., Sabaa, M., Eds.; Springer: Berlin/Heidelberg, Germany, 2013; pp. 59–110. [Google Scholar]
- Mollaahmad, M.A. Sustainable Fillers for Paper. Masters’s Thesis, Luleå University of Technology, Luleå, Sweden, 2008. [Google Scholar]
- Le Corre, D. Starch Nanocrystals: Preparation and Application to Bio-Based Flexible Packaging. Ph.D. Thesis, Université De Grenoble, Grenoble, France, 2011. [Google Scholar]
- Dudhani, A.R. Starch-Based Polymeric Materials and Nanocomposites, 1st ed.; Ahmed, J., Tiwari, B.K., Imam, S.H., Rao, M.A., Eds.; CRC Press: Boca Raton, FL, USA, 2012; pp. 361–372. [Google Scholar]
- Angellier, H.; Molina-Boisseau, S.; Dufresne, A. Mechanical Properties of Waxy Maize Starch Nanocrystal Reinforced Natural Rubber. Macromolecules 2005, 38, 9161–9170. [Google Scholar] [CrossRef]
- Dennenberg, R.J.; Abbott, T.P. Rapid Analysis of Starch Graft Copolymers. J. Polym. Sci. Polym. Lett. Ed. 1976, 14, 693–696. [Google Scholar] [CrossRef]
- Mehrotra, R.; Ranby, B. Graft Copolymerization Onto Starch. II. Grafting of Acrylonitrile to Granular Native Potato Starch by Manganic Pyrophosphate Initiation. Effect of Reaction Conditions on Grafting Parameters. J. Appl. Polym. Sci. 1977, 21, 3407–3415. [Google Scholar] [CrossRef]
- Mehrotra, R.; Ranby, B. Graft Copolymerization Onto Starch. III. Grafting of Acrylonitrile to Gelatinized Potato Starch by Manganic Pyrophosphate Initiation. J. Appl. Polym. Sci. 1978, 22, 2991–3001. [Google Scholar] [CrossRef]
- Mehrotra, R.; Ranby, B. Graft Copolymerization Onto Starch. IV. Grafting of Methyl Methacrylate to Granular Native Potato Starch by Manganic Pyrophosphate Initiation. J. Appl. Polym. Sci. 1978, 22, 3003–3010. [Google Scholar] [CrossRef]
- Dufresne, A. Polysaccharides: Bioactivity and Biotechnology, 1st ed.; Ramawat, K.G., Merillon, J.-M., Eds.; Springer International Publishing: Basel, Switzerland, 2015; pp. 417–449. [Google Scholar]
- Heinze, T.; Koschella, A. Carboxymethyl Ethers of Cellulose and Starch—A Review. Macromol. Symp. 2005, 223, 13–39. [Google Scholar] [CrossRef]
- Le Corre, D.; Angellier-Coussy, H. Preparation and Application of Starch Nanoparticles for Nanocomposites: A Review. React. Funct. Polym. 2014, 85, 97–120. [Google Scholar] [CrossRef]
- Dufresne, A.; Castaño, J. Polysaccharide Nanomaterial Reinforced Starch Nanocomposites: A Review. Starch/Stärke 2016, 68, 1–19. [Google Scholar] [CrossRef]
- Carvalho, O.; Avérous, L.; Tadini, C. Mechanical Properties of Cassava Starch-Based Nano-Biocomposites. In Proceedings of the 11th International Confress of Engineering and Food, Athens, Greece, 22–26 May; Saravacos, G., Ed.; Elsevier Procedia: New York, NY, USA, 2011; pp. 111–112. [Google Scholar]
- Leja, K.; Lewandowicz, G. Polymer Biodegradation and Biodegradable Polymers—A Review. Polish J. Environ. Stud. 2010, 19, 255–266. [Google Scholar]
- Mose, B.R.; Maranga, S.M. A Review on Starch Based Nanocomposites for Bioplastic Materials. J. Mater. Sci. Eng. B 2011, 1, 239–245. [Google Scholar]
- Lu, D.R.; Xiao, C.M.; Xu, S.J. Starch-Based Completely Biodegradable Polymer Materials. Express Polym. Lett. 2009, 3, 366–375. [Google Scholar] [CrossRef]
- Athawale, V.D.; Rathi, S.C. Graft Polymerization: Starch as A Model Substrate. J. Macromol. Sci. Part C Polym. Rev. 1999, 39, 445–480. [Google Scholar] [CrossRef]
- Santana, Á.L.; Angela, M.; Meireles, A. New Starches Are the Trend for Industry Applications: A Review. Food Public Heal. 2014, 4, 229–241. [Google Scholar] [CrossRef]
- Meshram, M.W.; Patil, V.V.; Mhaske, S.T.; Thorat, B.N. Graft Copolymers of Starch and Its Application In Textiles. Carbohydr. Polym. 2009, 75, 71–78. [Google Scholar] [CrossRef]
- Li, M.C.; Ge, X.; Cho, U.R. Emulsion Grafting Vinyl Monomers Onto Starch for Reinforcement of Styrene-Butadiene Rubber. Macromol. Res. 2013, 21, 519–528. [Google Scholar] [CrossRef]
- van den Oever, M.; Molenveld, K. Replacing Fossil Based Plastic Performance Products by Bio-Based Plastic Products-Technical Feasibility. New Biotechnol. 2017, 37, 48–59. [Google Scholar] [CrossRef] [PubMed]
- Glavas, L. Starch and Protein Based Wood Adhesives. Masters’s Thesis, Kungluga Tekniska Högskolan, Stockholm, Sweden, 2011. [Google Scholar]
- Eutamene, M.; Benbakhti, A.; Khodja, M.; Jada, A. Preparation and Aqueous Properties of Starch-Grafted Polyacrylamide Copolymers. Starch/Staerke 2009, 61, 81–91. [Google Scholar] [CrossRef]
- Shin, J.Y.; Jones, N.; Lee, D.I.; Fleming, P.D.; Joyce, M.K.; Dejong, R.; Bloembergen, S. Rheological Properties of Starch Latex Dispersions and Starch Latex-Containing Coating Colors. In Proceedings of the“Growing the Future”, Proceedings of the Paper Conference and Trade Show, TAPPI Press, Peachtree Corners, GA, USA, 22–25 April 2012; pp. 1–25. [Google Scholar]
- Misman, M.A.; Azura, A.R.; Hamid, Z.A.A. The Physical and Degradation Properties of Starch-Graft-Acrylonitrile/Carboxylated Nitrile Butadiene Rubber Latex Films. Carbohydr. Polym. 2015, 128, 1–10. [Google Scholar] [CrossRef] [PubMed]
- Zhang, J.F.; Sun, X. Mechanical Properties of Poly(Lactic Acid)/Starch Composites Compatibilized by Maleic Anhydride. Biomacromolecules 2004, 5, 1446–1451. [Google Scholar] [CrossRef] [PubMed]
- Xiao, C.M.; Tan, J.; Xue, G.N. Synthesis and Properties of Starch-g-Poly(Maleic Anhydride-Co-Vinyl Acetate). Express Polym. Lett. 2010, 4, 9–16. [Google Scholar] [CrossRef]
- Wang, C.; Pan, Z.; Wu, M.; Zhao, P. Effect of Reaction Conditions on Grafting Ratio and Properties of Starch Nanocrystals-g-Polystyrene. J. Appl. Polym. Sci. 2014, 131, 1–7. [Google Scholar] [CrossRef]
- Noordergraaf, I.-W.; Fourie, T.K.; Raffa, P. Free-Radical Graft Polymerization Onto Starch as a Tool to Tune Properties in Relation to Potential Applications. A Review. Processes 2018, 6, 31. [Google Scholar] [CrossRef]
- Smeets, N.M.B.; Imbrogno, S.; Bloembergen, S. Carbohydrate Functionalized Hybrid Latex Particles. Carbohydr. Polym. 2017, 173, 233–252. [Google Scholar] [CrossRef] [PubMed]
- Asua, J.M. Emulsion Polymerization: From Fundamental Mechanisms to Process Developments. J. Polym. Sci. Part A Polym. Chem. 2004, 42, 1025–1041. [Google Scholar] [CrossRef]
- Steward, P.A.; Hearn, J.; Wilkinson, M.C. Overview of Polymer Latex Film for mation and Properties. Adv. Colloid Interface Sci. 2000, 86, 195–267. [Google Scholar] [CrossRef]
- Okubo, M.; Yamada, A.; Matsumoto, T. Estimation of Morphology of Composite Polymer Emulsion Particles by the Soap Titration Method. J. Polym. Sci. Polym. Chem. Ed. 1980, 18, 3219–3228. [Google Scholar] [CrossRef]
- Okubo, M.; Katsuta, Y.; Matsumoto, T. Studies on Suspension and Emulsion. LI. Peculiar Morphology of Composite Polymer Particles Produced by Seeded Emulsion Polymerization. J. Polym. Sci. Polym. Lett. Ed. 1982, 20, 45–51. [Google Scholar] [CrossRef]
- Sundberg, D.C.; Durant, Y.G. Latex Particle Morphology, Fundamental Aspects: A Review. Polym. React. Eng. 2003, 11, 379–432. [Google Scholar] [CrossRef]
- Singh, K.B. Understanding Film for mation Mechanism In Latex Dispersions. Ph.D. Thesis, Indian Institute of Technology Bombay, Mumbai, India, 2008. [Google Scholar]
- Dalnoki-Veress, K.; Dutcher, J.R.; for rest, J.A. Dynamics and Pattern for mation in Thin Polymer Films. Phys. Can. 2003, 59, 75–84. [Google Scholar]
- Keddie, J.L. Film for mation of Latex. Mater. Sci. Eng. 1997, 21, 101–170. [Google Scholar] [CrossRef]
- Ranum, P.; Peña-Rosas, J.P.; Garcia-Casal, M.N. Global Maize Production, Utilization, and Consumption. Ann. N. Y. Acad. Sci. 2014, 1312, 105–112. [Google Scholar] [CrossRef] [PubMed]
- Rudin, A.; Choi, P. The Elements of Polymer Science & Engineering, 3rd ed.; Elsevier: New York, NY, USA, 2013; pp. 521–535. [Google Scholar]
- Olsson, E. Effects of Citric Acid on Starch-Based Barrier Coatings. Ph.D. Thesis, Karlstad University, Karlstad, Sweden, 2013. [Google Scholar]
- Li, M.; Witt, T.; Xie, F.; Warren, F.J.; Halley, P.J.; Gilbert, R.G. Biodegradation of Starch Films: The Roles of Molecular and Crystalline Structure. Carbohydr. Polym. 2015, 122, 115–122. [Google Scholar] [CrossRef] [PubMed]
- Gallant, D.J.; Bouchet, B.; Baldwin, P.M. Microscopy of Starch: Evidence of A New Level of Granule Organization. Carbohydr. Polym. 1997, 32, 177–191. [Google Scholar] [CrossRef]
- Le Corre, D.; Bras, J.; Dufresne, A. Starch Nanoparticles: A Review. Biomacromolecules 2010, 11, 1139–1153. [Google Scholar] [CrossRef] [PubMed]
- Singh, N.; Singh, J.; Kaur, L.; Sodhi, N.S.; Gill, B.S. Morphological, Thermal and Rheological Properties of Starches From Different Botanical Sources. Food Chem. 2003, 81, 219–231. [Google Scholar] [CrossRef]
- Namazi, H.; Fathi, F.; Heydari, A. The Delivery of Nanoparticles, 1st ed.; Hashim, A.A., Ed.; Intech: London, UK, 2012; pp. 149–184. [Google Scholar]
- Daniel-da-Silva, A.L.; Trindade, T. Advances in Nanocomposite Technology, 1st ed.; Hashim, A.A., Ed.; Intech: London, UK, 2011; pp. 275–291. [Google Scholar]
- Davidson, R.L. Handbook of Water-Soluble Gums and Resins, 1st ed.; Davidson, R.L., Ed.; McGraw-Hill: New York, NY, USA, 1980. [Google Scholar]
- Rindlav-Westling, A.; Stading, M.; Hermansson, A.-M.; Gatenholm, P. Structure, Mechanical and Barrier Properties of Amylose and Amylopectin Films. Carbohydr. Polym. 1998, 36, 217–224. [Google Scholar] [CrossRef]
- Lu, S.; Lin, S.; Yao, K. Study on The Synthesis and Application of Starch-Graft-Poly(AM-Co-DADMAC) by Using A Complex Initiation System of CS-KPS. Starch/Stärke 2004, 56, 138–143. [Google Scholar] [CrossRef]
- Meimoun, J.; Wiatz, V.; Saint-Loup, R.; Parcq, J.; Favrelle, A.; Bonnet, F.; Zinck, P. Modification of Starch by Graft Copolymerization. Starch/Stärke 2018, 70, 1–23. [Google Scholar] [CrossRef]
- Liu, W.C.; Halley, P.J.; Gilbert, R.G. Mechanism of Degradation of Starch, a Highly Branched Polymer, during Extrusion. Macromolecules 2010, 43, 2855–2864. [Google Scholar] [CrossRef]
- Liu, D.; Wu, Q.; Chen, H.; Chang, P.R. Transitional Properties of Starch Colloid with Particle Size Reduction from Micro- to Nanometer. J. Colloid Interface Sci. 2009, 339, 117–124. [Google Scholar] [CrossRef] [PubMed]
- Shah, U.; Naqash, F.; Gani, A.; Masoodi, F.A. Art and Science behind Modified Starch Edible Films and Coatings: A Review. Compr. Rev. Food Sci. Food Saf. 2016, 15, 568–580. [Google Scholar] [CrossRef]
- Zhu, F. Composition, Structure, Physicochemical Properties, and Modifications of Cassava Starch. Carbohydr. Polym. 2015, 122, 456–480. [Google Scholar] [CrossRef] [PubMed]
- Shi, A.M.; Li, D.; Wang, L.J.; Li, B.Z.; Adhikari, B. Preparation of Starch-Based Nanoparticles through High-Pressure Homogenization and Miniemulsion Cross-Linking: Influence of Various Process Parameters on Particle Size and Stability. Carbohydr. Polym. 2011, 83, 1604–1610. [Google Scholar] [CrossRef]
- Li, W.; Cao, F.; Fan, J.; Ouyang, S.; Luo, Q.; Zheng, J.; Zhang, G. Physically Modified Common Buckweat Starch and Their Physicochemical and Structural Properties. Food Hydrocoll. 2014, 40. [Google Scholar] [CrossRef]
- Bel Haaj, S.; Thielemans, W.; Magnin, A.; Boufi, S. Starch Nanocrystals and Starch Nanoparticles from Waxy Maize as Nanoreinforcement: A Comparative Study. Carbohydr. Polym. 2016, 143, 310–317. [Google Scholar] [CrossRef] [PubMed]
- Zondag, M.D. Effect of Microwave Heat-Moisture and Annealing Treatments on Buckwheat Starch Characteristics. Masters’s Thesis, University of Wisconsin, Madison, WI, USA, 2003. [Google Scholar]
- Liu, X.; Wang, Y.; Yu, L.; Tong, Z.; Chen, L.; Liu, H.; Li, X. Thermal Degradation and Stability of Starch under Different Processing Conditions. Starch/Staerke 2013, 65, 48–60. [Google Scholar] [CrossRef]
- Šárka, E.; Dvořáček, V. New Processing and Applications of Waxy Starch (A Review). J. Food Eng. 2017, 206, 77–87. [Google Scholar] [CrossRef]
- Kim, H.Y.; Lee, J.H.; Kim, J.Y.; Lim, W.J.; Lim, S.T. Characterization of Nanoparticles Prepared by Acid Hydrolysis of Various Starches. Starch/Stärke 2012, 64, 367–373. [Google Scholar] [CrossRef]
- Kim, J.Y.; Yoon, J.W.; Lim, S.T. Formation and Isolation of Nanocrystal Complexes between Dextrins and N-Butanol. Carbohydr. Polym. 2009, 78, 626–632. [Google Scholar] [CrossRef]
- Saari, H.; Fuentes, C.; Sjöö, M.; Rayner, M.; Wahlgren, M. Production of Starch Nanoparticles by Dissolution and Non-Solvent Precipitation for Use in Food-Grade Pickering Emulsions. Carbohydr. Polym. 2017, 157, 558–566. [Google Scholar] [CrossRef] [PubMed]
- Song, D.; Thio, Y.S.; Deng, Y. Starch Nanoparticle for mation Via Reactive Extrusion and Related Mechanism Study. Carbohydr. Polym. 2011, 85, 208–214. [Google Scholar] [CrossRef]
- Kim, J.Y.; Park, D.J.; Lim, S.T. Fragmentation of Waxy Rice Starch Granules by Enzymatic Hydrolysis. Cereal Chem. 2008, 85, 182–187. [Google Scholar] [CrossRef]
- Song, D. Starch Crosslinking for Cellulose Fiber Modification and Starch Nanoparticle for Mation. Ph.D. Thesis, Georgia Institute of Technology, Atlanta, GA, USA, 2011. [Google Scholar]
- Lin, N.; Huang, J.; Chang, P.R.; Anderson, D.P.; Yu, J. Preparation, Modification, and Application of Starch Nanocrystals In Nanomaterials: A Review. J. Nanomater. 2011, 2011, 1–13. [Google Scholar] [CrossRef]
- Hui, R.; Qi-he, C.; Ming-liang, F.; Qiong, X.; Guo-qing, H. Preparation and Properties of Octenyl Succinic Anhydride Modified Potato Starch. Food Chem. 2009, 114, 81–86. [Google Scholar] [CrossRef]
- Rzayev, Z.M.O. Graft Copolymers of Maleic Anhydride and Its Isostructural Analogues: High Performance Engineering Materials. Int. Rev. Chem. Eng. 2011, 3, 1689–1699. [Google Scholar]
- Xu, Y.; Ding, W.; Liu, J.; Li, Y.; Kennedy, J.F.; Gu, Q.; Shao, S. Preparation and Characterization of Organic-Soluble Acetylated Starch Nanocrystals. Carbohydr. Polym. 2010, 80, 1078–1084. [Google Scholar] [CrossRef]
- Chakraborty, S.; Sahoo, B.; Teraoka, I.; Miller, L.M.; Gross, R.A. Enzyme-Catalyzed Regioselective Modification of Starch Nanoparticles. Macromolecules 2005, 38, 61–68. [Google Scholar] [CrossRef]
- Cheng, S.; Zhao, W.; Wu, Y. Optimization of Synthesis and Characterization of Oxidized Starch-Graft-Poly(Styrene-Butyl Acrylate) Latex for Paper Coating. Starch/Stärke 2015, 67, 493–501. [Google Scholar] [CrossRef]
- Cummings, S. The Incorporation of Vinyl Modified Regenerated Starch Nanoparticles in Emulsion Polymerizations. Ph.D. Thesis, University of Ottawa, Ottawa, ON, Canada, 2017. [Google Scholar]
- Li, M.; Mun, Y.; Cho, U.R. Synthesis of Environmental-Friendly Starch-Acrylic Coating Sols by Emulsion Polymerization. Elastom. Compos. 2010, 45, 272–279. [Google Scholar]
- Mou, J.; Li, X.; Wang, H.; Fei, G.; Liu, Q. Preparation, Characterization, and Water Resistance of Cationic Acetylated Starch-g-Poly(Styrene-Butyl Acrylate) Surfactant-Free Emulsion. Starch/Stärke 2012, 64, 826–834. [Google Scholar] [CrossRef]
- Song, S.; Wang, C.; Pan, Z.; Wang, X. Preparation and Characterization of Amphiphilic Starch Nanocrystals. J. Appl. Polym. Sci. 2008, 107, 418–422. [Google Scholar] [CrossRef]
- Gao, J.-P.; Tian, R.-C.; Yu, J.-G.; Duan, M.-L. Graft Copolymers of Methy Methacrylate onto Canna Starch Using Manganic Pyrophosphate as an Initiator. J. Appl. Polym. Sci. 1994, 53, 1091–1102. [Google Scholar] [CrossRef]
- Wyatt, V.T.; Strahan, G.D. Degree of Branching in Hyperbranched Poly(Glycerol-Co-Diacid)s Synthesized in Toluene. Polymers 2012, 4, 396–407. [Google Scholar] [CrossRef]
- Nilsson, G.S.; Bergquist, K.-E.; Nilsson, U.; Gorton, L. Determination of the Degree of Branching in Normal and Amylopectin Tye Potato Starch with 1H-NMR: Improved Resolution and Two-Dimensional Spectroscopy. Starch/Stärke 1996, 10, 352–357. [Google Scholar] [CrossRef]
- Zhu, X.; Chen, L.; Chen, Y.; Yan, D. Using 2D NMR to Determine the Degree of Branching of Complicated Hyperbranched Polymers. Sci. China Ser. B Chem. 2008, 51, 1057–1065. [Google Scholar] [CrossRef]
- Markoski, L.J.; Thompson, J.L.; Moore, J.S. Indirect Method for Determining Degree of Branching in Hyperbranched Polymers. Macromolecules 2002, 35, 1599–1603. [Google Scholar] [CrossRef]
- Liu, J.M.; Chang, C.S.; Tsiang, R.C.C. Method of Determining the Degree of Branching from the Gel Permeation Chromatogram for Star-Shaped SBS Thermoplastic Block Copolymers. J. Polym. Sci. Part A Polym. Chem. 1997, 35, 3393–3401. [Google Scholar] [CrossRef]
- Mange, S.; Dever, C.; De Bruyn, H.; Gaborieau, M.; Castignolles, P.; Gilbert, R.G. Grafting of Oligosaccharides Onto Synthetic Polymer Colloids. Biomacromolecules 2007, 8, 1816–1823. [Google Scholar] [CrossRef] [PubMed]
- Baijun, W.; Hui, X.; Yonghong, Z. Study on Graft Emulsion Copolymerization of Styrene/Butyl Acrylate Onto Starch. Spec. Petrochem. 2005, 2. [Google Scholar]
- Hwang, J.H.; Ryu, H.; Cho, U.R. A Study on Starch-Acrylic Graft Copolymerization by Emulsion Polymerization. Elastomer 2008, 43, 221–229. [Google Scholar]
- Chu, H.J.; Wei, H.L.; Zhu, J. Ultrasound Enhanced Radical Graft Polymerization of Starch and Butyl Acrylate. Chem. Eng. Process. Process Intensif. 2015, 90, 1–5. [Google Scholar] [CrossRef]
- Peng, B.L.; Dhar, N.; Liu, H.L.; Tam, K.C. Chemistry and Applications of Nanocrystalline Cellulose and its Derivatives: A Nanotechnology Perspective. Can. J. Chem. Eng. 2011, 89, 1191–1206. [Google Scholar] [CrossRef]
- Kweon, M.; Slade, L.; Levine, H. Role of Glassy and Crystalline Transitions in the Responses of Corn Starches to Heat and High Pressure Treatments: Prediction of Solute-Induced Barostability from Solute-Induced Thermostability. Carbohydr. Polym. 2008, 72, 293–299. [Google Scholar] [CrossRef]
- Cranston, E.D.; Gray, D.G. Birefringence in Spin-Coated Films Containing Cellulose Nanocrystals. Colloids Surfaces A Physicochem. Eng. Asp. 2008, 325, 44–51. [Google Scholar] [CrossRef]
- Cheng, S.; Zhang, Y.; Wu, Y. Preparation and Characterization of Enzymatically Degraded Starch-g-Poly(Styrene-Co-Butyl Acrylate) Latex for Paper Coating. Polym. Plast. Technol. Eng. 2014, 53, 1811–1816. [Google Scholar] [CrossRef]
- Nikfarjam, N.; Taheri Qazvini, N.; Deng, Y. Cross-Linked Starch Nanoparticles Stabilized Pickering Emulsion Polymerization of Styrene In W/O/W System. Colloid Polym. Sci. 2014, 292, 599–612. [Google Scholar] [CrossRef]
- Jiang, B.; Tsavalas, J.G.; Sundberg, D.C. Water Whitening of Polymer Films: Mechanistic Studies and Comparisons Between Water and Solvent Borne Films. Prog. Org. Coat. 2017, 105, 56–66. [Google Scholar] [CrossRef]
- Rodehed, C.; Rånby, B. Structure and Molecular Properties of Saponified Starch–Graft-polyacrylonitrile. J. Appl. Polym. Sci. 1986, 32, 3323–3333. [Google Scholar] [CrossRef]
- Glenn, G.M.; Orts, W.; Imam, S.; Chiou, B.; Wood, D.F. Starch Polymers, 1st ed.; Halley, P., Averous, L., Eds.; Elsevier: New York, NY, USA, 2014; pp. 421–452. [Google Scholar]
- Mostafa, K.M. Graft Polymerization of Acrylic Acid Onto Starch Using Potassium Permanganate Acid (Redox System). J. Appl. Polym. Sci. 1995, 56, 263–269. [Google Scholar] [CrossRef]
- Cheng, S.; Xu, J.; Wu, Y. Preparation and Characterization of Oxidized Starch-graft-Poly(styrene-butyl acrylate) Latex Via Emulsion Polymerization. J. Polym. Eng. 2014, 34, 611–616. [Google Scholar] [CrossRef]
- Jiang, S.; Dai, L.; Xiong, L.; Sun, Q. Preparation and Characterization of Octenyl Succinic Anhydride Modified Taro Starch Nanoparticles. PLoS ONE 2016, 11, e0150043. [Google Scholar] [CrossRef] [PubMed]
- Ortega-Toro, R.; Bonilla, J.; Talens, P.; Chiralt, A. Starch-Based Materials in Food Packaging: Processing, Characterization and Applications, 1st ed.; Villar, M.A., Barbosa, S.E., Garcia, A.M., Castillo, L.A., López, O.V., Eds.; Academic Press: London, UK, 2017; pp. 257–312. [Google Scholar]
- Ulu, A.; Koytepe, S.; Ates, B. Design of Starch Functionalized Biodegradable P(MMA-co-MMA) as Carrier Matrix for l-asparaginase Immobilization. Carbohydr. Polym. 2016, 153, 559–572. [Google Scholar] [CrossRef] [PubMed]
- Ulu, A.; Koytepe, S.; Ates, B. Synthesis and Characterization of Biodegradable pHEMA-starc Composites for Immobilization of l-asparaginase. Polym. Bull. 2016, 73, 1891. [Google Scholar] [CrossRef]
- Garcia-Valdez, O.; Champagne, P.; Cunningham, M.F. Graft Modification of Natural Polysaccharides via Reversible Deactivation Radical Polymerization. Prog. Polym. Sci. 2018, 76, 151–173. [Google Scholar] [CrossRef]
- Glasing, J.; Champagne, P.; Cunningham, M.F. Graft Modification of Chitosan, Cellulose and Alginate Using Reversible Deactivation Radical Polymerization (RDRP). Curr. Opin. Green Sustain. Chem. 2016, 2, 15–21. [Google Scholar] [CrossRef]
- Chen, Q.; Yu, H.; Wang, L.; Ul Abdin, Z.; Chen, Y.; Wang, J.; Zhou, W.; Yang, X.; Khan, R.U.; Zhang, H.; et al. Recent Progress in Chemical Modification of Starch and Its Applications. RSC Adv. 2015, 5, 67459–67474. [Google Scholar] [CrossRef]
- Lu, D.; Duan, P.; Guo, R.; Yang, L.; Zhang, H. Synthesis and Characterization of Starch Graft Biodegradable Polyester and Polyesteramide by Direct Polycondensation. Polym. Plast. Technol. Eng. 2013, 52, 200–205. [Google Scholar] [CrossRef]
- Maiti, S.; Ranjit, S.; Sa, B. Polysaccharide-Based Graft Copolymers in Controlled Drug Delivery. Int. J. 2010, 2, 1350–1358. [Google Scholar]
- Djordjevic, S.; Nikolic, L.; Kovacevic, S.; Miljkovic, M.; Djordjevic, D. Graft Copolymerization of Acrylic Acid Onto Hydrolyzed Potato Starch Using Various Initiators. Period. Polytech. Chem. Eng. 2013, 57, 55–61. [Google Scholar] [CrossRef]
- Lai, S.M.; Don, T.M.; Liu, Y.H.; Chiu, W.Y. Graft Polymerization of Vinyl Acetate Onto Granular Starch: Comparison on The Potassium Persulfate and Ceric Ammonium Nitrate Initiated System. J. Appl. Polym. Sci. 2006, 102, 3017–3027. [Google Scholar] [CrossRef]
- Lanthong, P.; Nuisin, R.; Kiatkamjornwong, S. Graft Copolymerization, Characterization, and Degradation of Cassava Starch-g-Acrylamide/Itaconic Acid Superabsorbents. Carbohydr. Polym. 2006, 66, 229–245. [Google Scholar] [CrossRef]
- Shi, Z.; Reddy, N.; Shen, L.; Hou, X.; Yang, Y. Effects of Monomers and Homopolymer Contents on the Dry and Wet Tensile Properties of Starch Films Grafted with Various Methacrylates. J. Agric. Food Chem. 2014, 62, 4668–4676. [Google Scholar] [CrossRef] [PubMed]
- Wu, Y.B.; Lv, C.F.; Han, M.N. Synthesis and Performance Study of Polybasic Starch Graft Copolymerization Function Materials. Adv. Mater. Res. 2009, 79–82, 43–46. [Google Scholar] [CrossRef]
- Xue, Y.; Cheng, S.; We, Y. Study on Preparation of Graft Copolymer Emulsion of Zymolytic Starch-Styrene/Butyl Acrylate. Appl. Chem. Ind. 2012, 2. [Google Scholar]
- Lee, M.; Ryu, H.; Cho, U.R. A Study on The Synthesis of Starch-Acrylic Polymer by Emulsion Polymerization. Polymer 2010, 34, 58–62. [Google Scholar] [CrossRef]
- Haaj, S.B.; Bou, S. Starch Nanoparticles Produced Via Ultrasonication As A Sustainable Stabilizer In Pickering Emulsion Polymerization. RSC Adv. 2014, 4, 42638–42646. [Google Scholar] [CrossRef]
- Pei, X.; Tan, Y.; Xu, K.; Liu, C.; Lu, C.; Wang, P. Pickering Polymerization of Styrene Stabilized by Starch-Based Nanospheres. Polym. Chem. 2016, 7, 3325–3333. [Google Scholar] [CrossRef]
- Haaj, S.B.; Thielemans, W.; Magnin, A.; Boufi, S. Starch Nanocrystal Stabilized Pickering Emulsion Polymerization for Nanocomposites with Improved Performance. ACS Appl. Mater. Interfaces 2014, 6, 8263–8273. [Google Scholar] [CrossRef] [PubMed]
- Angellier, H.; Choisnard, L.; Molina-Boisseau, S.; Ozil, P.; Dufresne, A. Optimization of the Preparation of Aqueous Suspensions of Waxy Maize Starch Nanocrystals Using a Response Surface Methodology. Biomacromolecules 2004, 5, 1545–1551. [Google Scholar] [CrossRef] [PubMed]
- Namazi, H.; Dadkhah, A.; Mosadegh, M. New Biopolymer Nanocomposite of Starch-Graft Polystyrene/Montmorillonite Clay Prepared Through Emulsion Polymerization Method. J. Polym. Environ. 2012, 20, 794–800. [Google Scholar] [CrossRef]
- Ulu, A.; Koytepe, S.; Ates, B. Synthesis and Characterization of PMMA Composites Activated With Starch for Immobilization of L-Asparaginase. J. Appl. Polym. Sci. 2016, 133, 1–11. [Google Scholar] [CrossRef]
- Xu, J.; Long, L.; Hu, H. Preparation of Starch-Based Styrene Acrylate Emulsion Used As Surface-Treatment Agent for Decorative Base Paper. J. Polym. Eng. 2013, 33, 323–330. [Google Scholar] [CrossRef]
- Wang, R.-M.; Wang, X.-W.; Guo, J.-F.; He, Y.-F.; Jiang, M.-L. Crosslinkable Potato Starch-Based Graft Copolymer Emulsion for Humidity Controlling Coatings. Mater. Res. 2013, 16, 1246–1253. [Google Scholar] [CrossRef]
- Terpstra, R. Potato Starch Stabilized Synthetic Latexes. Ph.D. Thesis, University of Groningen, Groningen, The Netherlands, 2015. [Google Scholar]
- Brockway, C.E.; Seaberg, P.A. Grafting of Polyacrylonitrile to Granular Corn Starch. J. Polym. Sci. Part A-1 1967, 5, 1313–1326. [Google Scholar] [CrossRef]
- Misra, B.N.; Dogra, R.; Kaur, I.; Sood, D. Grafting onto Starch. II. Graft Copolymerization of Vinyl Acetate on to Starch by Radical Initiator. J. Polym. Sci. Polym. Chem. Ed. 1980, 18, 341–344. [Google Scholar] [CrossRef]
- Misra, B.N.; Dogra, R. Grafting onto Starch. IV. Graft Copolymerization of Methyl Methacrylate by Use of AIBN as Radical Initiator. J. Macromol. Sci. 2006, 14, 763–770. [Google Scholar] [CrossRef]
- Pei, X.; Zhai, K.; Tan, Y.; Xu, K.; Lu, C.; Wang, P.; Wang, T.; Chen, C.; Tao, Y.; Dai, L.; et al. Synthesis of Monodisperse Starch-Polystyrene Core-Shell Nanoparticles Via Seeded Emulsion Polymerization without Stabilizer. Polymer 2016, 108, 78–86. [Google Scholar] [CrossRef]
- Abo-Shosha, M.H.; Ibrahim, N.A. Synthesis and Characterization of Starch-Glycidyl Methacrylate-Acrylic Acid Cation Exchange Composites. Starch/Stärke 1992, 44, 466–471. [Google Scholar] [CrossRef]
- Wu, G.; Limei, Z. Study on KPS-Na2S2O3 Initiated Graft Copolymerization of Butyl Acrylate Onto Corn Starch. Petrochemical Technol. 1993, 5. [Google Scholar]
- Hebeish, A.; Beliakova, M.K.; Bayazeed, A. Improved Synthesis of Poly (MAA)—Starch. Jourbal Appl. Polym. Sci. 1997, 68, 1709–1715. [Google Scholar] [CrossRef]
- Beliakova, M.K.; Aly, A.A.; Abdel-Mohdy, F.A. Grafting of Poly(Methacrylic Acid) on Starch and Poly(Vinyl Alcohol). Starch/Stärke 2004, 56, 407–412. [Google Scholar] [CrossRef]
- Ikhuoria, E.U.; Folayan, A.S.; Okieimen, F.E. Studies in the Graft Copolymerization of Acrylonitrile onto Cassava Starch by Ceric Ion Induced Initiation. Int. J. Biotechnol. Mol. Biol. Res. 2010, 1, 10–14. [Google Scholar]
- Burr, R.C.; Fanta, G.F.; Russell, C.R.; Rist, C.E. Influence of Swelling and Disruption of The Starch Granule on The Composition of The Starch-Polyacrylonitrile Copolymer. J. Macromol. Sci. Part A Chem. 1967, 7, 1381–1385. [Google Scholar] [CrossRef]
- Fanta, G.F.; Burr, R.C.; Russell, C.R.; Rist, C.E. Copolymers of Starch and Polyacrylonitrile. Influence of Granule Swelling on Copolymer Composition under Various Reaction Conditions. J. Macromol. Sci. Part A Chem. 1970, 4, 331–339. [Google Scholar] [CrossRef]
- Han, T.L.; Kumar, R.N.; Rozman, H.D.; Noor, M.A.M. GMA Grafted Sago Starch as a Reactive Component in Ultra Violet Radiation Curable Coatings. Carbohydr. Polym. 2003, 54, 509–516. [Google Scholar] [CrossRef]
- Zhu, Z.; Zhuo, R. Controlled Release of Carboxylic-Containing Herbicides by Starch-g-Poly(Butyl Acrylate). J. Appl. Polym. Sci. 2001, 81, 1535–1543. [Google Scholar] [CrossRef]
- Li, M.-C.; Lee, J.K.; Cho, U.R. Synthesis, Characterization, and Enzymatic Degradation of Starch-Grafted Poly(Methyl Methacrylate) Copolymer Films. Polym. Polym. Compos. 2013, 21, 449–456. [Google Scholar] [CrossRef]
- Sangramsingh, N.M.; Patra, B.N.; Singh, B.C.; Patra, C.M. Graft Copolymerization of Methyl Methacrylate onto Starch Using a Ce (IV)—Glucose Initiator System. J. Appl. Ploymer Sci. 2003, 91, 981–990. [Google Scholar] [CrossRef]
- Okieimen, F.E.; Said, O.B. Studies on The Graft Copolymerization of Methyl Mathacrylate onto Starch. Acta Polym. 1989, 40, 708–710. [Google Scholar] [CrossRef]
- Ray-Chaudhuri, D.K. Grafted Starch Acrylates and Their Properties. Starch/Stärke 1969, 21, 47–52. [Google Scholar] [CrossRef]
- Fares, M.M.; El-Faqeeh, A.S.; Osman, M.E. Graft Copolymerization onto Starch-I. Synthesis and Optimization of Starch Grafted with N-Tert-Butylacrylamide Copolymer and Its Hydrogels. J. Polym. Res. 2003, 10, 119–125. [Google Scholar] [CrossRef]
- Zou, W.; Yu, L.; Liu, X.; Chen, L.; Zhang, X.; Qiao, D.; Zhang, R. Effects of Amylose/Amylopectin Ratio on Starch-Based Superabsorbent Polymers. Carbohydr. Polym. 2012, 87, 1583–1588. [Google Scholar] [CrossRef]
- Singh, O.P.; Sandle, N.K.; Varma, I.K. Graft-Copolymerization of Starch With Acrylamide, III. Physical Properties and Enzymatic Degradation. Die Angew. Makromol. Chemie 1984, 122, 193–201. [Google Scholar] [CrossRef]
- Gugliemelli, L.A.; Doane, W.M.; Russell, C.R. Preparation of Soapless Latexes by Sonification of Starch-based Poly(Isoprene–Co–Acrylonitrile) Graft Reaction Mixtures. J. Appl. Polym. Sci. 1979, 23, 635–644. [Google Scholar] [CrossRef]
- Weaver, M.O. Starch-g-Poly(Methyl Acrylate) Latexes for Stabilizing Soil to Water Erosion: Extending the Range of Polymer Add-On. Starch/Stärke 1989, 41, 106–110. [Google Scholar] [CrossRef]
- Gaborieau, M.; de Bruyn, H.; Mange, S.; Castignolles, P.; Brockmeyer, A.; Gilbert, R.G. Synthesis and Characterization of Synthetic Polymer Colloids Colloidally Stabilized by Cationized Starch Oligomers. J. Polym. Sci. Part A 2009, 47, 1836–1852. [Google Scholar] [CrossRef]
- Gugliemelli, L.A.; Swanson, C.L.; Baker, F.L.; Doane, W.M.; Russell, C.R. Cationic Starch-Polyacrylonitrile Graft. J. Polym. Sci. Polym. Chem. Ed. 1974, 12, 2683–2692. [Google Scholar] [CrossRef]
- Patel, N.; Patel, K.C.; Patel, R.D. The Effect of Acrylonitrile on Starch Gelatinization. Morphological Study. Starch/Stärke 1985, 37, 201–205. [Google Scholar] [CrossRef]
- Ghosh, P.; Paul, S.K. Graft Copolymerization of Methyl Methacrylate on Potato Starch Using Potassium Trioxalatomanganate, K3[Mn(C2O4)3], as Initiator. J. Macromol. Sci. 2006, 20, 179–188. [Google Scholar] [CrossRef]
- Carlsohn, H.; Hartmann, M. Mangan(1V)-Initiierte Pfropfcopolymerisation von Methylmethacrylat Und Anderen Acrylmonomeren Auf Starke Und Dextran. Acta Polym. 1982, 33, 640–643. [Google Scholar] [CrossRef]
- Mehrotra, R.; Ranby, B. Graft Copolymerization onto Starch. I. Complexes of Mn3 as Initiators. J. Appl. Polym. Sci. 1977, 21, 1647–1654. [Google Scholar] [CrossRef]
- Qu, B.; Li, H.; Niu, Y. Graft Copolymerization of Poly(Vinyl Acetate) onto Starch Using KMnO4-H2SO4 Redox System. J. Polym. Eng. 2013, 33, 521–526. [Google Scholar] [CrossRef]
- Xiao, L.; Huigen, Y.; Shunying, T.; Qiyun, Z.; Renyun, P. Study on the Graft Copolymerization of Styrene and Binary Monomers Onto Corn Starch by Manganese Pyrophosphate Initiation. China Synth. Resin Plast. 1995, 3. [Google Scholar]
- Chen, S.; Tang, G.D. Emulsion Graft Copolymerization of St/MMA Onto Starch. J. Nanjing Univ. 2001, 6. [Google Scholar]
- Tian, X.; Huang, K.; Ma, T. Study on Graft Copolymerization of Styrene on Corn Starch with Manganese Pyrophosphate as Initiator. Chem. Adhes. 2004, 3. [Google Scholar]
- Trimnell, D.; Fanta, G.F.; Salch, J.H. Graft Polymerization of Methyl Acrylate onto Granular Starch: Comparison of the Fe+2/H2O2 and Ceric Initiating Systems. J. Appl. Polym. Sci. 1996, 60, 285–292. [Google Scholar] [CrossRef]
- Aravindakshan, P.; Bhatt, A.; Kumar, V.G. Matrix-Induced Variation in Kinetics and Control of Molecular Weight of Methacrylic Acid Polymers During Graft Copolymerization with Starch. J. Appl. Polym. Sci. 1997, 66, 397–403. [Google Scholar] [CrossRef]
- Fanta, G.F.; Burr, R.C.; Doane, W.M.; Russell, C.R. Graft Copolymers of Starch with Mixtures of Acrylamide and the Nitric Acid Salt of Dimethylaminoethyl Methacrylate. J. Appl. Polym. Sci. 1972, 16, 2835–2845. [Google Scholar] [CrossRef]
- Witono, J.R.; Noordergraaf, I.W.; Heeres, H.J.; Janssen, L.P.B.M. Graft Copolymerization of Acrylic Acid to Cassava Starch—Evaluation of The Influences of Process Parameters by an Experimental Design Method. Carbohydr. Polym. 2012, 90, 1522–1529. [Google Scholar] [CrossRef] [PubMed]
- Herold, B.R.; Fouassier, J. Photochemical Grafting of Vinyl Monomers Onto Starch. Starch/Stärke 1981, 33, 90–97. [Google Scholar] [CrossRef]
- Kaur, I.; Sharma, M. Synthesis, Characterization and Applications of Graft Copolymers of Sago and Acrylamide. Trends Carbohydr. Res. 2014, 6, 51–66. [Google Scholar]
- El-Sayed, M.M.; Sorour, M.H.; Abd El Moneem, N.; Shalaan, H.; El Marsafy, S. Grafting of Acrylamide onto Polysaccharides Blend Using Photo-Initiators. J. Polym. Environ. 2017, 25, 402–407. [Google Scholar] [CrossRef]
- Comer, C.; Jessop, J. Photoinitiated Emulsion Graft Polymerization of Synthetic Monomers to Starch. In Proceedings of the RadTech Conference & Exhibition, The Hague, The Netherlands, 14–15 September 2006. [Google Scholar]
- Comer, C.M.; Jessop, J.L.P. Evaluation of Novel Back-Flush Filtration for Removal of Homopolymer From Starch-g-PMMA. Starch/Stärke 2008, 60, 335–339. [Google Scholar] [CrossRef]
- Suwanmala, P.; Hemvichian, K.; Hoshina, H.; Srinuttrakul, W.; Seko, N. Preparation of Metal Adsorbent from Poly(Methyl Acrylate)-Grafted-Cassava Starch via Gamma Irradiation. Radiat. Phys. Chem. 2012, 81, 982–985. [Google Scholar] [CrossRef]
- Kaur, I.; Sharma, M. Synthesis and Characterization of Graft Copolymers of Sago Starch and Acrylic Acid. Starch/Stärke 2012, 64, 441–451. [Google Scholar] [CrossRef]
- Zhang, Y.N.; Xu, S.A. Effects of Amylose/Amylopectin Starch on Starch-Based Superabsorbent Polymers Prepared by γ-Radiation. Starch/Stärke 2017, 69, 1–9. [Google Scholar] [CrossRef]
- Zhang, S.; Wang, W.; Wang, H.; Qi, W.; Yue, L.; Ye, Q. Synthesis and Characterisation of Starch Grafted Superabsorbent via 10 MeV Electron-Beam Irradiation. Carbohydr. Polym. 2014, 101, 798–803. [Google Scholar] [CrossRef] [PubMed]
- Zhang, Y.; Cunningham, M.F.; Smeets, N.M.B.; Dubé, M.A. Starch Nanoparticle Incorporation in Latex-Based Adhesives. Eur. Polym. J. 2018, 106, 128–138. [Google Scholar] [CrossRef]
- Nikolic, V.; Velickovic, S.; Antonovic, D.; Popovic, A. Biodegradation of Starch-Graft-Polystyrene and Starch-Graft- Poly(Methacrylic Acid) Copolymers in Model River Water. J. Serbian Chem. Soc. 2013, 78, 1425–1441. [Google Scholar] [CrossRef]
- Samaha, S.H.; Nasr, H.E.; Hebeish, A. Synthesis and Characterization of Starch-Poly(Vinyl Acetate) Graft Copolymers and Their Saponified for m. J. Polym. Res. 2005, 12, 343–353. [Google Scholar] [CrossRef]
- De Graaf, R.A.; Janssen, L.P.B.M. Production of a New Partially Biodegradable Starch Plastic by Reactive Extrusion. Polym. Eng. Sci. 2000, 40, 2086–2094. [Google Scholar] [CrossRef]
- McDowall, D.J.; Gupta, B.S.; Stannett, V.T. Grafting of Vinyl Monomers to Cellulose by Ceric Ion Initiation. Prog. Polym. Sci. 1984, 10, 1–50. [Google Scholar] [CrossRef]
- Kalia, S.; Sabaa, M.W. Polysaccharide Based Graft Copolymers, 1st ed.; Kalia, S., Sabaa, M.W., Eds.; Springer: Berlin/Heidelberg, Germany, 2013. [Google Scholar]
- De Bruyn, H.; Sprong, E.; Gaborieau, M.; David, G.; Roper, J.A., III; Gilbert, R.G. Starch-Graft-Copolymer Latexes Initiated and Stabilized by Ozonolyzed Amylopectin. J. Polym. Sci. Part A Polym. Chem. 2006, 44, 5832–5845. [Google Scholar] [CrossRef]
- de Bruyn, H.; Sprong, E.; Gaborieau, M.; Roper III, J.A.; Gilbert, R.G. Starch-graft-(synthetic copolymer) Latexes Initiated with Ce4+ and Stabilized by Amylopectin. J. Polym. Sci. Part A Polym. Chem. 2007, 45, 4185–4192. [Google Scholar] [CrossRef]
- Nikolic, V.; Velickovic, S.; Popovic, A. Influence of Amine Activators and Reaction Parameters on Grafting Reaction Between Polystyrene and Starch. J. Polym. Res. 2014, 21, 363. [Google Scholar] [CrossRef]
- BelHaaj, S.; Ben Mabrouk, A.; Thielemans, W.; Boufi, S. A One-Step Miniemulsion Polymerization Route Towards The Synthesis of Nanocrystal Reinforced Acrylic Nanocomposites. Soft Matter 2013, 9, 1975–1984. [Google Scholar] [CrossRef]
- Lu, D.; Xiao, C.; Sun, F. Controlled Grafting of Poly(Vinyl Acetate) onto Starch via RAFT Polymerization. J. Appl. Polym. Sci. 2012, 124, 3450–3455. [Google Scholar] [CrossRef]
- Rotureau, E.; Raynaud, J.; Choquenet, B.; Marie, E.; Nouvel, C.; Six, J.L.; Dellacherie, E.; Durand, A. Application of Amphiphilic Polysaccharides as Stabilizers in Direct and Inverse Free-Radical Miniemulsion Polymerization. Colloids Surf. A Physicochem. Eng. Asp. 2008, 331, 84–90. [Google Scholar] [CrossRef]
- Wang, S.; Xu, J.; Wang, Q.; Fan, X.; Yu, Y.; Wang, P.; Zhang, Y.; Yuan, J.; Cavaco-Paulo, A. Preparation and Rheological Properties of Starch-g-Poly(Butyl Acrylate) Catalyzed by Horseradish Peroxidase. Process Biochem. 2017, 59, 104–110. [Google Scholar] [CrossRef]
- Wang, S.; Wang, Q.; Fan, X.; Xu, J.; Zhang, Y.; Yuan, J.; Jin, H.; Cavaco-Paulo, A. Synthesis and Characterization of Starch-Poly(Methyl Acrylate) Graft Copolymers Using Horseradish Peroxidase. Carbohydr. Polym. 2016, 136, 1010–1016. [Google Scholar] [CrossRef] [PubMed]
- Shogren, R.L.; Willett, J.L.; Biswas, A. HRP-Mediated Synthesis of Starch-Polyacrylamide Graft Copolymers. Carbohydr. Polym. 2009, 75, 189–191. [Google Scholar] [CrossRef]
- Lv, S.; Sun, T.; Zhou, Q.; Liu, J.; Ding, H. Synthesis of Starch-g-p(DMDAAC) Using HRP Initiation and the Correlation of Its Structure and Sludge Dewaterability. Carbohydr. Polym. 2014, 103, 285–293. [Google Scholar] [CrossRef] [PubMed]
- Kalra, B.; Gross, R.A. HRP-Mediated Polymerizations of Acrylamide and Sodium Acrylate. Green Chem. 2002, 4, 174–178. [Google Scholar] [CrossRef]
- Pino-Ramos, V.; Meléndez-Ortiz, I.; Ramos-Ballesteros, A.; Bucio, E. Biopolymer Grafting: Applications, 1st ed.; Thakur, V.K., Ed.; Elsevier Inc.: London, UK, 2018; pp. 205–250. [Google Scholar]
- Dao, V.H.; Cameron, N.R.; Saito, K. Synthesis, Properties and Performance of Organic Polymers Employed in Flocculation Applications. Polym. Chem. 2016, 7, 11–25. [Google Scholar] [CrossRef]
- Mishra, S.; Mukul, A.; Sen, G.; Jha, U. Microwave Assisted Synthesis of Polyacrylamide Grafted Starch (St-g-PAM) and Its Applicability as Flocculant for Water Treatment. Int. J. Biol. Macromol. 2011, 48, 106–111. [Google Scholar] [CrossRef] [PubMed]
- Singh, A.V.; Nath, L.K.; Guha, M. Microwave Assisted Synthesis and Characterization of Sago Starch-g-Acrylamide. Starch/Stärke 2011, 63, 740–745. [Google Scholar] [CrossRef]
- Singh, V.; Tiwari, A.; Pandey, S.; Singh, S.K. Peroxydisulfate Initiated Synthesis of Potato Starch-Graft-Poly(Acrylonitrile) Under Microwave Irradiation. Express Polym. Lett. 2007, 1, 51–58. [Google Scholar] [CrossRef]
- Singh, V.; Tiwari, A.; Pandey, S.; Singh, S.K. Microwave Accelerated Synthesis and Characterization of Potato Starch-g-Poly(Acrylamide). Starch/Stärke 2006, 58, 536–543. [Google Scholar] [CrossRef]
- Cummings, S.; Cunningham, M.; Dubé, M.A. The Use of Amylose-Rich Starch Nanoparticles In Emulsion Polymerization. J. Appl. Polym. Sci. 2018, 135, 46485. [Google Scholar] [CrossRef]
- Cummings, S.; Trevino, E.; Zhang, Y.; Cunningham, M.; Dubé, M.A. Incorporation of Modified Regenerated Starch Nanoparticles in Emulsion Polymer Latexes. Starch/Stärke 2018. [Google Scholar] [CrossRef]
- Pei, X.; Zhai, K.; Liang, X.; Deng, Y.; Xu, K.; Tan, Y.; Yao, X.; Wang, P. Fabrication of Shape-Tunable Macroparticles by Seeded Polymerization of Styrene Using Non-Cross-Linked Starch-Based Seed. J. Colloid Interface Sci. 2018, 512, 600–608. [Google Scholar] [CrossRef] [PubMed]
- Rotureau, E.; Marie, E.; Dellacherie, E.; Durand, A. From Polymeric Surfactants to Colloidal Systems (3): Neutral and Anionic Polymeric Surfactants Derived from Dextran. Colloids Surf. A Physicochem. Eng. Asp. 2007, 301, 229–238. [Google Scholar] [CrossRef]
- Agama-Acevedo, E.; Bello-Perez, L.A. Starch as an Emulsions Stability: The Case of Octenyl Succinic Anhydride (OSA) Starch. Curr. Opin. Food Sci. 2017, 13, 78–83. [Google Scholar] [CrossRef]
- Fu, X.; Zhang, G.; Wang, P.; Guo, L.; Qu, Q.; Li, J.; Wu, G. Preparation and Characterization of Starch Graft Soap-Free Styrene-Acrylate Copolymer Emulsion. Trans. China Pulp Pap. 2013, 28, 32–37. [Google Scholar]
- Ortega-Ojeda, F.E.; Larsson, H.; Eliasson, A.C. Gel for mation in Mixtures of Hydrophobically Modified Potato and High Amylopectin Potato Starch. Carbohydr. Polym. 2005, 59, 313–327. [Google Scholar] [CrossRef]
- Jonhed, A.; Järnström, L. Influence of Polymer Charge, Temperature, and Surfactants on Surface Sizing of Liner and Greaseproof Paper with Hydrophobically Modified Starch. Tappi J. 2009, 33–38. [Google Scholar]
- Cheng, L.; Guo, H.; Gu, Z.; Li, Z.; Hong, Y. Effects of Compound Emulsifiers on Properties of Wood Adhesive With High Starch Content. Int. J. Adhes. Adhes. 2017, 72, 92–97. [Google Scholar] [CrossRef]
- Jovanović, R.; Dubé, M.A. Emulsion-Based Pressure-Sensitive Adhesives: A Review. J. Macromol. Sci. Part C Polym. Rev. 2004, 44, 1–51. [Google Scholar] [CrossRef]
- Ye, F.; Miao, M.; Jiang, B.; Hamaker, B.R.; Jin, Z.; Zhang, T. Characterizations of Oil-in-Water Emulsion Stabilized by Different Hydrophobic Maize Starches. Carbohydr. Polym. 2017, 166, 195–201. [Google Scholar] [CrossRef] [PubMed]
- Lu, X.; Xiao, J.; Huang, Q. Pickering Emulsions Stabilized by Media-Milled Starch Particles. Food Res. Int. 2018, 105, 140–149. [Google Scholar] [CrossRef] [PubMed]
- Ettelaie, R.; Holmes, M.; Chen, J.; Farshchi, A. Steric Stabilising Properties of Hydrophobically Modified Starch: Amylose vs. Amylopectin. Food Hydrocoll. 2016, 58, 364–377. [Google Scholar] [CrossRef]
- Kraak, A. Industrial Applications of Potato Starch Products. Ind. Crops Prod. 1993, 1, 107–112. [Google Scholar] [CrossRef]
- Athawale, V.D.; Lele, V. Recent Trends in Hydrogels Based on Starch-Graft-Acrylic Acid: A Review. Starch/Stärke 2001, 53, 7–13. [Google Scholar] [CrossRef]
- Guo, C.; Zhou, L.; Lv, J. Effects of Expandable Graphite and Modified Ammonium Polyphosphate on the Flame-Retardant and Mechanical Properties of Wood Flour-Polypropylene Composites. Polym. Polym. Compos. 2013, 21, 449–456. [Google Scholar] [CrossRef]
- Labet, M.; Thielemans, W.; Dufresne, A. Polymer Grafting onto Starch Nanocrystals. Biomacromolecules 2007, 8, 2916–2927. [Google Scholar] [CrossRef] [PubMed]
- Yu, J.; Ai, F.; Dufresne, A.; Gao, S.; Huang, J.; Chang, P.R. Structure and Mechanical Properties of Poly(Lactic Acid) Filled with (Starch Nanocrystal)-Graft-Poly(ε-Caprolactone). Macromol. Mater. Eng. 2008, 293, 763–770. [Google Scholar] [CrossRef]
- Brune, D.; Eben-Worllée, R. Von. Starch-Based Graft Polymer, Process for Its Preparation, and Use Thereof In Printing Inks and Operprint Varnishes. U.S. Patent 6,423,775, 23 July 2002. [Google Scholar]
- Baruch-Teblum, E.; Mastai, Y.; Landfester, K. Miniemulsion Polymerization of Cyclodextrin Nanospheres for Water Purification from Organic Pollutants. Eur. Polym. J. 2010, 46, 1671–1678. [Google Scholar] [CrossRef]
- Satheesh Kumar, M.N.; Siddaramaiah. Studies on Corn Starch Filled Poly (Styrene-Co-Butyl Acrylate) Latex Reinforced Polyester Nonwoven Fabric Composites. Autex Res. J. 2005, 5, 227–234. [Google Scholar]
- Liu, G.; Gu, Z.; Hong, Y.; Cheng, L.; Li, C. Trends in Food Science & Technology Structure, Functionality and Applications of Debranched Starch: A Review. Trends Food Sci. Technol. 2017, 63, 70–79. [Google Scholar]
- Alcázar-alay, S.C.; Angela, M.; Meireles, A. Physicochemical Properties, Modifications and Applications of Starches from Different Botanical Sources. Food Sci. Technol (Campinas) 2015, 35, 215–236. [Google Scholar] [CrossRef]
- Versino, F.; Lopez, O.V.; Garcia, M.A.; Zaritzky, N.E. Starch-Based Films and Food Coatings: An Overview. Starch/Stärke 2016, 1026–1037. [Google Scholar] [CrossRef]
- Li, G.; Zhu, F. Quinoa Starch: Structure, Properties, and Applications. Carbohydr. Polym. 2018, 181, 851–861. [Google Scholar] [CrossRef] [PubMed]
- Dufresne, A. Processing of Polymer Nanocomposites Reinforced With Polysaccharide Nanocrystals. Molecules 2010, 15, 4111–4128. [Google Scholar] [CrossRef] [PubMed]
- Samsudin, H.; Hani, N.M. Use of Starch in Food Packaging. Starch-Based Mater. Food Packag. Process. Charact. Appl. 2017, 2019, 229–256. [Google Scholar]
- Shevkani, K.; Singh, N.; Bajaj, R.; Kaur, A. Wheat Starch Production, Structure, Functionality and Applications-A Review. Int. J. Food Sci. Technol. 2017, 52, 38–58. [Google Scholar] [CrossRef]
- Masina, N.; Choonara, Y.E.; Kumar, P.; du Toit, L.C.; Govender, M.; Indermun, S.; Pillay, V. A Review of the Chemical Modification Techniques of Starch. Carbohydr. Polym. 2017, 157, 1226–1236. [Google Scholar] [CrossRef] [PubMed]
- Bloembergen, S.; McLennan, I.J.; Lee, D.I. Use of Biobased Sugar Monomers in Vinyl Copolymers as Latex Binders and Compositions Based Thereon. U.S. Patent 9,080,290, 14 July 2015. [Google Scholar]
















| Method | Pathways | Primary Modificationa | Product |
|---|---|---|---|
| Physical | |||
| Mechanical extrusion [67] | Heat treatment and mechanical work | Molecular weight | Amorphous pre-gelatinized starch |
| Microfluidization [68] | / | / | SNPb |
| Electric field [69] | / | Crystallinity | Amorphous pre-gelatinized starch |
| High pressure [70,71] | Hydrostatic processing | Crystallinity | Amorphous gelatinized starch |
| Supercritical medium | |||
| Homogenization | |||
| Microfluidization | |||
| Irradiation [14,69] | UV | Molecular weight | Lower molecular weight starch |
| λ | |||
| γ | |||
| Microwave | |||
| Ball milling [72] | / | Crystallinity Particle size | Amorphous partially gelatinized starch granules |
| Ultrasonication [73] | 24kHz treatment of starch aqueous solution | Crystallinity | Partially amorphous starch granules |
| Microwave [74] | Treatment of starch paste | Crystallinity | Partially amorphous starch granules |
| Thermal degradation [75] | Treatment of dried starch | Molecular weight | Lower molecular weight starch |
| Re-crystallization [76] | Hydrothermal | Crystallinity | Crystalline “resistant” starch |
| Heat-moisture treatment | SNCc | ||
| Chemical | |||
| Acid Hydrolysis [77] | Acid | Crystallinity Branching | SNC Debranched starch |
| Emulsion precipitation | Butanol complexing co-crystallization [78] | Crystallinity | SNC |
| Non-solvent precipitation crosslinking [79] | Degree of crosslinking | SNP | |
| Reactive extrusion [80] | Water-phase crosslinking | Crystallinity Molecular weight Crosslink density | SNP |
| Alkaline Treatment [72] | NaOH | Molecular weight | Low amylose content, lower molecular weight starch |
| Enzymatic | |||
| Hydrolysis [81] | Enzymatic | Crystallinity Branching | SNC Debranched starch |
| Re-crystallization [76] | Enzymatic/melt/crystallization | Crystallinity | SNC |
| Variable/Characteristic | Results | Extraction Methods | Analysis Methods |
|---|---|---|---|
| Grafting efficiency | wt.% of grafted polymer in total formulation | Soxhlet extraction Centrifugal solvent extraction Hydrolysis | FTIR 13C-NMR 1H-NMR Gravimetry |
| Percent Grafting (Ratio) | wt.% ratio of synthetic grafts to the starch to which they are bonded | ||
| Percent Grafting (Add-on) | wt.% of synthetic polymer in total grafted polymer | ||
| Homopolymerization ratio | wt.% of synthetic monomer that resulted only in homopolymer | ||
| Molecular weight of grafts | Weight or number average g/mol of the grafted synthetic polymer chains | Enzyme or acid hydrolysis of starch within extracted graft polymer will release the grafted synthetic chains | GPC |
| Sample Type | Characteristic | Method | Typical Goal of Study |
|---|---|---|---|
| Graft polymer | Composition | Gravimetry IR/NMR | Achieve target grafting performance or create a new hybrid starch-synthetic particle. |
| Morphology | (cryo)TEM/SEM | ||
| Crystallinity | XRD | ||
| Degree of substitution (max of 3.0) | Titration Elemental analysis 1H-NMR TGA-IR | ||
| MW of grafted chains | GPC | ||
| Homopolymer | Molecular weight Degree of branching | GPC HPLC | Effect of reaction variables, formulation or procedure on kinetics of homopolymerization in the presence of starch. |
| Unreacted starch | Morphology Crystallinity Particle size/density Molecular weight | TEM/SEM XRD Flow fractionation DLS GPC | Effect of reaction variables, formulation or procedure on structure of starch in the presence of initiator and vinyl monomer. |
| Characteristic | Analysis Method |
|---|---|
| Viscosity | Viscometry |
| Particle size | Asymmetric flow field-flow fractionation coupled with DLS |
| Birefringence | Angle dependent optical reflectometry |
| pH | Electrical potential |
| Conductivity | |
| Zeta Potential | Electrophoretic light-scattering |
| Film formation | Minimum film formation temperature (MFFT) Visual |
| Shelf life | Visual |
| Grit | Gravimetry |
| Characteristic | Analysis Method |
|---|---|
| Hydrophobicity | Contact angle |
| Adhesive Properties | Tack, peel and shear |
| Opacity | Spectrophotometry |
| Water whitening | Spectrophotometry |
| Gel content | Solvent swelling, extraction, gravimetry |
| Solubility | Solvent swelling, extraction, gravimetry |
| Tensile strength | Instron tensile strength |
| Elasticity | |
| Water/oxygen barrier | Water and oxygen permeation |
| Glass transition temperature | DSC |
| Melting temperature | |
| Thermal stability | TGA |
| Biodegradability | Enzyme, culture, composting |
| Initiator | Maximum Grafting Efficiency (%) | Maximum Percentage Graftinga (%) | Monomers |
|---|---|---|---|
| Persulfate | Solution | ||
| 64 | 30 | Acrylic acid (AA) [122] | |
| 9 | GR = 17 | Vinyl acetate (VAc) [123] | |
| 84 | AO = 60 GR = 150 | Acrylamide (AM)/itaconic acid (IA) [124] | |
| 69 | - | Methyl methacrylate (MMA) [125] | |
| 65 | - | Ethyl methacrylate (EMA) [125] | |
| 60 | - | Butyl methacrylate (BMA) [125] | |
| 79 | 84 | Butyl acrylate (BA)/VAc [126] | |
| Emulsion | |||
| 37–74 | 104–301 | BA/St [88,100,127] | |
| - | - | 2-ethylhexyl acrylate (EHA) [101,128] | |
| - | - | Methacrylic acid (MAA) [101] | |
| 68 | 49 | BA [102,128] | |
| - | - | AA [101,128] | |
| - | - | BMA [129,130,131] | |
| 59–60 | PG = 60, GR = 57 | Styrene (St) [43,132,133] | |
| - | - | MMA [134,135] | |
| - | 350 | BA/MMA/diacetone acrylamide (DAAM) [136] | |
| - | - | BA/MMA/AA/ethyl acrylate (EA) [90] | |
| 52 | - | VAc [137] | |
| - | - | EA [135] | |
| AIBN (Azobisisobutyronitrile) | Solution | ||
| - | - | Acrylonitrile (AN) [138] | |
| 5 | 24 | VAc [139] | |
| 8 | 73 | MMA [140] | |
| 57 | 27 | AA [122] | |
| Emulsion | |||
| - | - | St [141] | |
| Thiosulfate + persulfate | Solution | ||
| 99 | - | N-Methylol acrylamide (NMA) [142] | |
| - | - | BA [143] | |
| 86 | - | Methyl acrylate (MA)/NMA [142] | |
| 68 | - | MA [142] | |
| - | GR = 30 | MAA [144,145] | |
| 41 | - | VAc [137] | |
| Emulsion | |||
| - | - | - | |
| Ceric | Solution | ||
| - | GR = 42 | AN [146,147,148] | |
| 99 | 50 | Glycidyl methacrylate (GMA) [149] | |
| 69 | 10 | BA [150] | |
| 65–95 | 75–110 | MMA [151,152,153] | |
| - | - | MA [154] | |
| - | - | EA [154] | |
| - | - | MAA [154] | |
| 33 | - | N-tert-butyl acrylamide (BAM) [155] | |
| 81 | GR = 162 | AM [156,157] | |
| 37 | 20 | VAc [123] | |
| Emulsion | |||
| - | - | AN/isoprene [158] | |
| - | AO = 45 | MA [159] | |
| 65 | - | MMA [160] | |
| Manganese | Solution | ||
| 96 | AO = 45−49 | AN [21,22,161,162] | |
| 8.5−100 | GR = 120 AO = 36−253 | MMA [23,93,99,163,164,165] | |
| 59 | AO = 19 | AM [165] | |
| <9 | AO = 38 | VAc [166] | |
| - | - | AA [111] | |
| Emulsion | |||
| 30−50 | - | St/AN [167] | |
| 30−50 | - | St/EA [167] | |
| 77 | 52 | St/MMA [168] | |
| 90 | 200 | St [167,169] | |
| Ferrous | Solution | ||
| 96 | - | AN [138] | |
| 98 | AO = 54 | MMA [138] | |
| 85 | - | MA [170] | |
| 85 | AO = 20 | MAA [171] | |
| 53 | AO = 18 | DMAEMA/AM [172] | |
| 44 | 17 | AA [173] | |
| 49 | 35 | St/BA [34] | |
| 44 | 20 | St/MMA [34] | |
| Emulsion | |||
| 36 | 59 | St/BA [91] | |
| Photoinitiator | Solution | ||
| - | 260 | MMA [174] | |
| - | 190 | AN [174] | |
| - | 30 | St [174] | |
| 72 | 91−907 | AM [174,175,176] | |
| - | ~350 | AA [174] | |
| - | 420 | MAA [174] | |
| Emulsion | |||
| 13 | - | Styrene [177] | |
| 81 | - | BA [177] | |
| 30 | - | MMA [178] | |
| Irradiation | Solution | ||
| - | 135 | MA [179] | |
| >99 | 158−243 | AA [180,181] | |
| ~85 | 200 | AM [182] | |
| Emulsion | |||
| - | - | - |
© 2019 by the authors. Licensee MDPI, Basel, Switzerland. This article is an open access article distributed under the terms and conditions of the Creative Commons Attribution (CC BY) license (http://creativecommons.org/licenses/by/4.0/).
Share and Cite
Cummings, S.; Zhang, Y.; Smeets, N.; Cunningham, M.; Dubé, M.A. On the Use of Starch in Emulsion Polymerizations. Processes 2019, 7, 140. https://doi.org/10.3390/pr7030140
Cummings S, Zhang Y, Smeets N, Cunningham M, Dubé MA. On the Use of Starch in Emulsion Polymerizations. Processes. 2019; 7(3):140. https://doi.org/10.3390/pr7030140
Chicago/Turabian StyleCummings, Shidan, Yujie Zhang, Niels Smeets, Michael Cunningham, and Marc A. Dubé. 2019. "On the Use of Starch in Emulsion Polymerizations" Processes 7, no. 3: 140. https://doi.org/10.3390/pr7030140
APA StyleCummings, S., Zhang, Y., Smeets, N., Cunningham, M., & Dubé, M. A. (2019). On the Use of Starch in Emulsion Polymerizations. Processes, 7(3), 140. https://doi.org/10.3390/pr7030140

