Multi-Objective Optimization and K-Means Clustering Analysis of Green Hydrogen Production Routes via Biomass Gasification and Water Electrolysis
Abstract
1. Introduction
2. Methodology
- Modeling and simulation: the modeling and simulation of hydrogen production are implemented through two technological routes: biomass gasification and water electrolysis, using Aspen Plus™ V15 software. The models developed incorporate the main process units, material, and energy streams, as well as the necessary auxiliary operations, ensuring technically feasible operating conditions consistent with real industrial scenarios.
- Sensitivity analysis: in this stage, the influence of the main operating parameters on the technical and economic performance of the plants is evaluated. Based on these results, the key decision variables for each technological route are identified.
- Multi-objective optimization: this stage is formulated as a multi-objective optimization problem, simultaneously considering the maximization of green hydrogen production, the minimization of specific energy consumption, and the total annual cost. Optimization is implemented by integrating Aspen PlusTM with the Differential Evolution Tabu List (MODE) algorithm, using Visual Basic for Applications (VBA) in Microsoft ExcelTM as the integration platform. The results obtained are normalized using the Min-Max scaling technique to bring the target functions to a common scale. Based on these values, a Balance Score (BS) is calculated to identify the most balanced solution [37] to be identified by simultaneously considering the maximization of hydrogen production and the minimization of energy consumption and total annual cost.
- K-means clustering analysis: to deepen the interpretation of the solutions obtained, the K-means algorithm, an unsupervised machine learning clustering method, is applied to the results generated by MODE, using Python™ (version 3.14.x) as the programming language. Previously, the data were standardized using the Standard Scaler technique of the scikit-learn library, normalizing each variable according to its mean and standard deviation. Subsequently, the optimal number of clusters is determined using the elbow method, identifying three representative groups from the inflection point in the square Euclidean distances curve. Finally, the K-means algorithm is executed to segment the solutions, allowing configurations with similar behaviors in terms of hydrogen production, energy consumption, and total annual cost to be grouped. It is worth highlighting that clustering methods have a wide variety of applications, not only in multi-objective optimization, but also in Process Systems Engineering (PSE) for data classification to improve processes, operational monitoring, system failure detection, and time-dependent process modeling, among many other purposes.
2.1. Modeling and Simulation
2.1.1. Biomass Gasification
2.1.2. Water Electrolysis
2.2. Sensitivity Analysis
2.3. Multi-Objective Optimization
2.3.1. Integration of Simulation and Optimization Environments
2.3.2. Balance Score
2.3.3. Greenhouse Gas Emissions
2.4. K-Means Clustering Analysis
- Operational monitoring and system fault detection, assisting in distinguishing between various system states and detecting anomalies in complex processes [63].
- Design for sustainability, enabling environmentally conscious designs by classifying balanced high-performance alternatives [66].
- Modeling time-dependent processes, allowing dynamic data to be arranged into structured categories, which provide a basis for creating forecasting and decision-making models essential for real-time process optimization and control [67].
- The initial centroids () are selected arbitrarily, once a specific number of clusters () has been defined. The iteration number is denoted as, so that for the first iteration .
- For each point in the database () in the p-dimensional space (), the distance to each centroid () is calculated, using in this case the Euclidean distance as a dissimilarity metric, as presented in Equation (16). In addition, each dimension represents a feature of the dataset.
- Each point in the dataset () is assigned to the cluster () with the closest centroid () according to the Euclidean distance.
- The arithmetic mean of the members that make up each cluster is used to update the corresponding centroid, as described in Equation (17).
- Until the sum of the squares of the Euclidean distances (SED) is minimized, steps 2–4 are repeated. In this way, the objective function to be minimized is established as indicated in Equation (18).
3. Results and Discussion
- Biomass gasification. The model used was the PENG-ROB [29] due to its adequate ability to represent complex reactive systems at elevated temperatures, typical of the thermochemical conversion of biomass [71]. This model allows a more precise estimation of the phase equilibria and thermodynamic behavior of multicomponent mixtures that include light gases (H2, CO, CO2, CH4), water vapor, and unconventional compounds, ensuring numerical stability and consistency under severe operating conditions.
3.1. Biomass Gasification Results
3.1.1. Optimization and Balance Score Results
3.1.2. K-Means Clustering Results
3.2. Water Electrolysis
3.2.1. Optimization and Balance Score Results
3.2.2. K-Means Clustering Results
3.3. General Results
4. Conclusions
Author Contributions
Funding
Data Availability Statement
Acknowledgments
Conflicts of Interest
Nomenclature
| Biomass gasification | |
| Specific energy, energy required by the process per unit mass (kWh/kg H2) | |
| Air flow rate (kg/h) | |
| Feed flow rate (kg/h) | |
| N2 flow rate (kg/h) | |
| Steam flow rate (kg/h) | |
| H2 production flow rate (kg/h) | |
| Heat exchanger energy requirement (kW) | |
| Decomposition reactor energy requirement (kW) | |
| Oxidation reactor energy requirement (kW) | |
| Total energy requirement (kW) | |
| Pyrolysis temperature (°C) | |
| Total annual cost (USD/yr) | |
| Water electrolysis | |
| Specific energy, energy required by the process per unit mass produced (kWh/kg H2) | |
| H2 production flow rate (kg/h) | |
| Efficiency fraction | |
| Flash Ca tank pressure (bar) | |
| Pump An energy requirement (kW) | |
| Pump 1 energy requirement (kW) | |
| Electrolyzer energy requirement (kWh) | |
| Heat exchanger 1 energy requirement (kW) | |
| Total energy requirement (kW) | |
| Flash Ca tank temperature (°C) | |
| Total annual cost (USD/yr) | |
| Object function | |
| Specific energy, energy required by the process per unit of normalized mass produced | |
| Normalized H2 production flow rate | |
| Normalized total annual cost | |
| K-means algorithm | |
| K-means algorithm | |
| Database point i | |
| Initial centroids of cluster k | |
| Recalculated centroids of cluster k | |
| Cluster k | |
| Square of Euclidean distances | |
References
- Davis, S.J.; Lewis, N.S.; Shaner, M.; Aggarwal, S.; Arent, D.; Azevedo, I.L.; Benson, S.M.; Bradley, T.; Brouwer, J.; Chiang, Y.-M.; et al. Net-zero emissions energy systems. Science 2018, 360, eaas9793. [Google Scholar] [CrossRef]
- Noyan, O.F.; Hasan, M.M.; Pala, N. A Global Review of the Hydrogen Energy Eco-System. Energies 2023, 16, 1484. [Google Scholar] [CrossRef]
- Kouchaki-Penchah, H.; Bahn, O.; Bashiri, H.; Bedard, S.; Bernier, E.; Elliot, T.; Hammache, A.; Vaillancourt, K.; Levasseur, A. The role of hydrogen in a net-zero emission economy under alternative policy scenarios. Int. J. Hydrogen Energy 2024, 49, 173–187. [Google Scholar] [CrossRef]
- Bianco, E.; Blanco, H. Green Hydrogen: A Guide to Policy Making; International Renewable Energy Agency: Abu Dhabi, United Arab Emirates, 2020. [Google Scholar]
- Wolfram, P.; Kyle, P.; Fuhrman, J.; O’rOurke, P.; McJeon, H. The hydrogen economy can reduce costs of climate change mitigation by up to 22%. One Earth 2024, 7, 885–895. [Google Scholar] [CrossRef]
- Hordvei, E.; Hummelen, S.E.; Petersen, M.; Backe, S.; del Granado, P.C. From policy to practice: Upper bound cost estimates of Europe ’s green hydrogen ambitions. Clean. Energy Syst. 2025, 12, 100206. [Google Scholar] [CrossRef]
- Schmidt, O.; Gambhir, A.; Staffell, I.; Hawkes, A.; Nelson, J.; Few, S. Future cost and performance of water electrolysis: An expert elicitation study. Int. J. Hydrogen Energy 2017, 42, 30470–30492. [Google Scholar] [CrossRef]
- Frieden, F.; Leker, J. Future costs of hydrogen: A quantitative review. Sustain. Energy Fuels 2024, 8, 1806–1822. [Google Scholar] [CrossRef]
- Glenk, G.; Reichelstein, S. Economics of converting renewable power to hydrogen. Nat. Energy 2019, 4, 216–222. [Google Scholar] [CrossRef]
- Buttler, A.; Spliethoff, H. Current status of water electrolysis for energy storage, grid balancing and sector coupling via power-to-gas and power-to-liquids: A review. Renew. Sustain. Energy Rev. 2018, 82, 2440–2454. [Google Scholar] [CrossRef]
- Sebbahi, S.; Assila, A.; Belghiti, A.A.; Laasri, S.; Kaya, S.; Hlil, E.K.; Rachidi, S.; Hajjaji, A. A comprehensive review of recent advances in alkaline water electrolysis for hydrogen production. Int. J. Hydrogen Energy 2024, 82, 583–599. [Google Scholar] [CrossRef]
- Acar, C.; Dincer, I. Review and evaluation of hydrogen production options for better environment. J. Clean. Prod. 2019, 218, 835–849. [Google Scholar] [CrossRef]
- Kandel, M.R.; Dhakal, P.P.; Chapagain, K.R.; Thapa, J.R.; Kandel, L.; Bhatt, T.D.; Karki, B.; Ghimire, M.; Bhandari, D. Recent advances in HER electrocatalysis derived from Fe, Co, Ni, and Mo-based phosphides. Discov. Electrochem. 2026, 3, 8. [Google Scholar] [CrossRef]
- Bratovčić, A.; Tomašić, V. Hydrogen Production Through Newly Developed Photocatalytic Nanostructures and Composite Materials. Processes 2025, 13, 1813. [Google Scholar] [CrossRef]
- Ullah, I.; Habib, S.; Lu, X.-J.; Li, J.-H.; Chen, S.; Habib, A.; Xu, A.-W. Bimetallic nitride NiMoN loaded on graphitic carbon nitride for plasmon-enhanced visible light-driven photocatalytic hydrogen evolution from water splitting. Catal. Sci. Technol. 2024, 14, 912–918. [Google Scholar] [CrossRef]
- Lu, X.-J.; Ullah, I.; Li, J.-H.; Chen, S.; Yuan, C.-Z.; Xu, A.-W. A bimetallic CoZn metal–organic-framework derived CoZnS@NSC Co-catalyst loaded on g-C3N4 for significantly augmented photocatalytic H2 evolution. Inorg. Chem. Front. 2024, 11, 3435–3445. [Google Scholar] [CrossRef]
- Rubinsin, N.J.; Karim, N.A.; Timmiati, S.N.; Lim, K.L.; Isahak, W.N.R.W.; Pudukudy, M. An overview of the enhanced biomass gasification for hydrogen production. Int. J. Hydrogen Energy 2024, 49, 1139–1164. [Google Scholar] [CrossRef]
- Kim, S.-H.; Kumar, G.; Chen, W.-H.; Khanal, S.K. Renewable hydrogen production from biomass and wastes (ReBioH2-2020). Bioresour. Technol. 2021, 331, 125024. [Google Scholar] [CrossRef]
- Yan, M.; Afxentiou, N.; Fokaides, P.A. The State of the Art Overview of the Biomass Gasification Technology. Curr. Sustain./Renew. Energy Rep. 2021, 8, 282–295. [Google Scholar] [CrossRef]
- Lapuerta, M.; Hernández, J.J.; Pazo, A.; López, J. Gasification and co-gasification of biomass wastes: Effect of the biomass origin and the gasifier operating conditions. Fuel Process. Technol. 2008, 89, 828–837. [Google Scholar] [CrossRef]
- Erdem, K.; Han, D.G.; Midilli, A. A parametric study on hydrogen production by fluidized bed co-gasification of biomass and waste plastics. Int. J. Hydrogen Energy 2024, 52, 1434–1444. [Google Scholar] [CrossRef]
- Alcocer-García, H.; Sánchez-Ramírez, E.; García-García, E.; Ramírez-Márquez, C.; Ponce-Ortega, J.M. Unlocking the potential of biomass resources: A review on sustainable process design and intensification. Resources 2025, 14, 143. [Google Scholar] [CrossRef]
- Babatabar, M.A.; Saidi, M. Hydrogen production via integrated configuration of steam gasification process of biomass and water-gas shift reaction: Process simulation and optimization. Int. J. Energy Res. 2021, 45, 19378–19394. [Google Scholar] [CrossRef]
- Patra, N.; Banu, S.S. Emerging Approaches in Hydrogen Production from Biomass. In Engineering Materials; Springer Science and Business Media Deutschland GmbH: Berlin/Heidelberg, Germany, 2025; pp. 117–135. [Google Scholar] [CrossRef]
- Kumar, S.; Palange, R.; De Blasio, C. Advancements in gasification technologies: Insights into modeling studies, power-to-X applications and sustainability assessments. Sustain. Energy Fuels 2025, 9, 4793–4831. [Google Scholar] [CrossRef]
- Jena, M.K.; Vuthaluru, H.B. Gasification Technology: Transforming Waste into Clean Energy; Springer Nature: Durham, NC, USA, 2024. [Google Scholar] [CrossRef]
- Kaur, P.; Kaur, G.; Singh, A.; Kaur, K.; Bhatia, B.; Singh, S. Process of biomass gasification: A review. AIP Conf. Proc. 2025, 3261, 020009. [Google Scholar]
- Guler, N.U.; Yumurtaci, Z. Techno-economic evaluation of hydrogen production via biomass gasification: The role of carbon capture and storage in steam and oxygen gasification routes. Int. J. Hydrogen Energy 2025, 188, 152134. [Google Scholar] [CrossRef]
- Mutlu, Ö.Ç.; Zeng, T. Challenges and opportunities of modeling biomass gasification in Aspen Plus: A review. Chem. Eng. Technol. 2020, 43, 1674–1689. [Google Scholar] [CrossRef]
- Bhuiyan, S.M.Y.; Chowdhury, A.; Hossain, M.S.; Mobin, S.M.; Parvez, I. AI-driven optimization in renewable hydrogen production: A review. Am. J. Interdiscip. Stud. 2025, 6, 76–94. [Google Scholar] [CrossRef]
- Nogueira Nakashima, R.; Oliveira, S., Jr. Multi-objective optimization of biogas systems producing hydrogen and electricity with solid oxide fuel cells. Int. J. Hydrogen Energy 2023, 48, 11806–11822. [Google Scholar] [CrossRef]
- Rangaiah, G.P.; Feng, Z.; Hoadley, A.F. Multi-objective optimization applications in chemical process engineering: Tutorial and review. Processes 2020, 8, 508. [Google Scholar] [CrossRef]
- Eltaeib, T.; Mahmood, A. Differential Evolution: A Survey and Analysis. Appl. Sci. 2018, 8, 1945. [Google Scholar] [CrossRef]
- Ahmad, M.F.; Isa, N.A.M.; Lim, W.H.; Ang, K.M. Differential evolution: A recent review based on state-of-the-art works. Alex. Eng. J. 2022, 61, 3831–3872. [Google Scholar] [CrossRef]
- Alcocer-García, H.; Segovia-Hernández, J.G.; Sánchez-Ramírez, E.; Caceres-Barrera, C.R.; Hernández, S. Sequential synthesis methodology in the design and optimization of sustainable distillation sequences for Levulinic Acid purification. BioEnergy Res. 2024, 17, 1724–1738. [Google Scholar] [CrossRef]
- Sánchez-Ramírez, E.; Sun, S.; Sim, J.Y.; Yang, A.; Kong, Z.Y.; Segovia-Hernández, J.G. A more appropriate way to optimize the hybrid reactive-extractive distillation system. Sep. Purif. Technol. 2024, 344, 127184. [Google Scholar] [CrossRef]
- Zamora-Aguirre, B.T.; López-Flores, F.J.; Ramírez-Márquez, C.; Nápoles-Rivera, F.; Ponce-Ortega, J.M. Modeling and optimization of an integrated system for the green dimethyl ether production: Process simulation, modeling with artificial intelligence, and optimization methods. Chem. Eng. Process.-Process. Intensif. 2025, 216, 110383. [Google Scholar] [CrossRef]
- Zina, J.; Gogoro, G.B. Sensitivity analysis of biomass gasification reactors using Aspen Plus. Int. J. Res. Innov. Appl. Sci. 2025, 10, 117–130. [Google Scholar] [CrossRef]
- Serrano-Arévalo, T.I.; Padilla-Esquivel, C.A.; Hernández-Pérez, L.G.; Díaz-Alvarado, F.A.; Ramírez-Márquez, C.; Ponce-Ortega, J.M. Green ammonia production: The performance of global systems in eco-indicator 99 and circular economy metrics. ACS Sustain. Chem. Eng. 2024, 12, 12652–12669. [Google Scholar] [CrossRef]
- Padilla-Esquivel, C.A.; Lopéz-Flores, F.J.; Hernández-Pérez, L.G.; Rubio-Castro, E.; Ponce-Ortega, J.M. Optimizing green urea production: Integration of process simulation, artificial intelligence, and sustainable technologies. J. Clean. Prod. 2025, 501, 145371. [Google Scholar] [CrossRef]
- Aguado, R.; Vera, D.; López-García, D.A.; Torreglosa, J.P.; Jurado, F. Techno-economic assessment of a gasification plant for distributed cogeneration in the agrifood sector. Appl. Sci. 2021, 11, 660. [Google Scholar] [CrossRef]
- Boujjat, H.; Rodat, S.; Abanades, S.; Pereira Nobre, C.; Rebello de Aguiar, T., Jr. Techno-economic assessment of solar-driven steam gasification of biomass for large-scale hydrogen production. Processes 2021, 9, 462. [Google Scholar] [CrossRef]
- Zupok, S.; Chomać-Pierzecka, E.; Dmowski, A.; Dyrka, S.; Hordyj, A. A review of key factors shaping the development of the U.S. wind energy market in the context of contemporary challenges. Energies 2025, 18, 4224. [Google Scholar] [CrossRef]
- Manzolini, G.; Gentile, G.; Pilotti, L.; Martelli, E.; Picotti, G.; Binotti, M.; Cholette, M.E. Limitations of using LCOE as economic indicator for solar power plants. Renew. Sustain. Energy Rev. 2025, 209, 115087. [Google Scholar] [CrossRef]
- Cristea, M.; Cristea, C.; Tîrnovan, R.-A.; Mioara, F.S. Levelized cost of energy (LCOE) of different photovoltaic technologies. Appl. Sci. 2025, 15, 6710. [Google Scholar] [CrossRef]
- Kim, Y.; Yang, H. Hydrogen purity: Influence of production methods, purification techniques, and analytical approaches. Energies 2025, 18, 741. [Google Scholar] [CrossRef]
- Sharma, S.; Rangaiah, G. A hybrid multi-objective optimization algorithm. In Proceedings of the 5th International Symposium on Design, Operation, and Control of Chemical Processes, Singapore, 25–28 July 2010; pp. 1494–1503. [Google Scholar]
- Quiroz-Ramírez, J.J.; Sánchez-Ramírez, E.; Segovia-Hernández, J.G. Energy, exergy and techno-economic analysis for biobutanol production: A multi-objective optimization approach based on economic and environmental criteria. Clean Technol. Environ. Policy 2018, 20, 1663–1684. [Google Scholar] [CrossRef]
- Errico, M.; Sanchez-Ramirez, E.; Quiroz-Ramírez, J.J.; Segovia-Hernandez, J.G.; Rong, B.-G. Synthesis and design of new hybrid configurations for biobutanol purification. Comput. Chem. Eng. 2016, 84, 482–492. [Google Scholar] [CrossRef]
- Martínez-Lomovskoi, A.; Romero-García, A.G.; Sánchez-Ramírez, E.; Segovia-Hernández, J.G. Design and multi-objective optimization of a CO2 capture plant using deep eutectic solvents. Chem. Eng. Res. Des. 2023, 192, 570–581. [Google Scholar] [CrossRef]
- Monsef, H.; Naghashzadegan, M.; Jamali, A.; Farmani, R. Comparison of evolutionary multi objective optimization algorithms in optimum design of water distribution network. Ain Shams Eng. J. 2019, 10, 103–111. [Google Scholar] [CrossRef]
- El Dor, A.; Fakhfakh, M.; Siarry, P. Multiobjective Differential Evolution algorithm using crowding distance for the optimal design of analog circuits. J. Electr. Syst. 2016, 12, 612–622. [Google Scholar]
- Caceres-Barrera, C.R.; Sánchez-Ramírez, E.; Juárez-García, M.; Alcocer-García, H.; Segovia-Hernández, J.G. Optimization of separation processes in multiproduct biorefinery design to produce furan-based compounds and their derivatives using performance indicators. Ind. Eng. Chem. Res. 2024, 63, 20950–20962. [Google Scholar] [CrossRef]
- Contreras-Zarazúa, G.; Vázquez-Castillo, J.A.; Ramírez-Márquez, C.; Segovia-Hernández, J.G.; Alcántara-Ávila, J.R. Multi-objective optimization involving cost and control properties in reactive distillation processes to produce diphenyl carbonate. Comput. Chem. Eng. 2017, 105, 185–196. [Google Scholar] [CrossRef]
- Alcocer-García, H.; Segovia-Hernández, J.G.; Prado-Rubio, O.A.; Sánchez-Ramírez, E.; Quiroz-Ramírez, J.J. Multi-objective optimization of intensified processes for the purification of levulinic acid involving economic and environmental objectives. Chem. Eng. Process.-Process. Intensif. 2019, 136, 123–137. [Google Scholar] [CrossRef]
- Hernandez-Perez, L.G.; Alsuhaibani, A.S.; Radwan, N.; El-Halwagi, M.M.; Ponce-Ortega, J.M. Structural and operating optimization of the methanol process using a metaheuristic technique. ACS Sustain. Chem. Eng. 2020, 8, 3135–3150. [Google Scholar] [CrossRef]
- Rezaei, M.; Naghdi-Khozani, N.; Jafari, N. Wind energy utilization for hydrogen production in an underdeveloped country: An economic investigation. Renew. Energy 2020, 147, 1044–1057. [Google Scholar] [CrossRef]
- Klaimi, R.; Alnouri, S.Y.; Miladinović, A.; Stijepović, M. Decarbonizing ethylene production via renewable energy electrification: A techno-economic and environmental assessment. Case Stud. Chem. Environ. Eng. 2026, 13, 101323. [Google Scholar] [CrossRef]
- Miraftabzadeh, S.M.; Colombo, C.G.; Longo, M.; Foiadelli, F. K-means and alternative clustering methods in modern power systems. IEEE Access 2023, 11, 119596–119633. [Google Scholar] [CrossRef]
- Ikotun, A.M.; Ezugwu, A.E.; Abualigah, L.; Abuhaija, B.; Heming, J. K-means clustering algorithms: A comprehensive review, variants analysis, and advances in the era of big data. Inf. Sci. 2023, 622, 178–210. [Google Scholar] [CrossRef]
- Quiñones-Grueiro, M.; Prieto-Moreno, A.; Verde, C.; Llanes-Santiago, O. Data-driven monitoring of multimode continuous processes: A review. Chemom. Intell. Lab. Syst. 2019, 189, 56–71. [Google Scholar] [CrossRef]
- Valencia-Marquez, D.; Ortiz-Munguia, J.A.; Maldonado-López, E.; Quintana-Hernández, P.A.; Louvier-Hernández, J.F.; Fuentes-Cortés, L.F. Multi-objective and machine learning strategies for addressing the Water–Energy–Waste nexus in the design of energy systems. Sustain. Energy Technol. Assess. 2023, 60, 103445. [Google Scholar] [CrossRef]
- Rahoma, A.; Imtiaz, S.; Ahmed, S.; Khan, F. Detection and diagnosis of process fault using unsupervised learning methods and unlabeled data. Int. J. Adv. Eng. Sci. Appl. Math. 2023, 15, 24–36. [Google Scholar] [CrossRef]
- Rovira, M.; Engvall, K.; Duwig, C. Identifying key features in reactive flows: A tutorial on combining dimensionality reduction, unsupervised clustering, and feature correlation. Chem. Eng. J. 2022, 438, 135250. [Google Scholar] [CrossRef]
- Rastgoo, R.; Amjady, N.; Zareipour, H. A deep generative model for selecting representative periods in renewable energy-integrated power systems. Appl. Soft Comput. 2024, 165, 112107. [Google Scholar] [CrossRef]
- Morlet-Espinosa, J.; Flores-Tlacuahuac, A.; Fuentes-Cortes, L.F. A combined variational encoding and optimization framework for design of the water–energy–food nexus. Comput. Chem. Eng. 2023, 170, 108076. [Google Scholar] [CrossRef]
- Muñoz López, C.A.; Bhonsale, S.; Peeters, K.; Van Impe, J.F.M. Manifold learning and clustering for automated phase identification and alignment in data driven modeling of batch processes. Front. Chem. Eng. 2020, 2, 582126. [Google Scholar] [CrossRef]
- López-Flores, F.J.; Ochoa-Barragán, R.; Raya-Tapia, A.Y.; Ramírez-Márquez, C.; Ponce-Ortega, J.M. Machine Learning Tools for Chemical Engineering: Methodologies and Applications; Elsevier: Amsterdam, The Netherlands, 2025. [Google Scholar]
- Wu, J. Cluster Analysis and K-Means Clustering: An Introduction; Springer: Berlin/Heidelberg, Germany, 2012; pp. 1–16. [Google Scholar] [CrossRef]
- Raya-Tapia, A.Y.; Sánchez-Zarco, X.G.; Cansino-Loeza, B.; Ramírez-Márquez, C.; Ponce-Ortega, J.M. A typology country framework to evaluate the SDG progress and food waste reduction based on clustering analysis. Trends Food Sci. Technol. 2024, 143, 104304. [Google Scholar] [CrossRef]
- Fernandez-Lopez, M.; Pedroche, J.; Valverde, J.; Sanchez-Silva, L. Simulation of the gasification of animal wastes in a dual gasifier using Aspen Plus®. Energy Convers. Manag. 2017, 140, 211–217. [Google Scholar] [CrossRef]
- Omoarukhe, F.O.; Epelle, E.I.; Ogbaga, C.C.; Okolie, J.A. Stochastic economic evaluation of different production pathways for renewable propylene glycol production via catalytic hydrogenolysis of glycerol. React. Chem. Eng. 2023, 8, 184–198. [Google Scholar] [CrossRef]
- Simoni, L.D.; Lin, Y.; Brennecke, J.F.; Stadtherr, M.A. Modeling liquid−liquid equilibrium of ionic liquid systems with NRTL, Electrolyte-NRTL, and UNIQUAC. Ind. Eng. Chem. Res. 2007, 47, 256–272. [Google Scholar] [CrossRef]
- Spatolisano, E.; Pellegrini, L.A. A technical analysis of the H2 purification trains downstream of alkaline electrolyzers. Energies 2025, 18, 2886. [Google Scholar] [CrossRef]
- Sreejith, C.C.; Muraleedharan, C.; Arun, P. Performance prediction of steam gasification of wood using an ASPEN PLUS thermodynamic equilibrium model. Int. J. Sustain. Energy 2014, 33, 416–434. [Google Scholar] [CrossRef]
- Kombe, E.Y.; Lang’at, N.; Njogu, P.; Malessa, R.; Weber, C.-T.; Njoka, F.; Krause, U. Numerical investigation of sugarcane bagasse gasification using Aspen Plus and response surface methodology. Energy Convers. Manag. 2022, 254, 115198. [Google Scholar] [CrossRef]
- Gao, N.; Chen, C.; Magdziarz, A.; Zhang, L.; Quan, C. Modeling and simulation of pine sawdust gasification considering gas mixture reflux. J. Anal. Appl. Pyrolysis 2021, 155, 105094. [Google Scholar] [CrossRef]
- Jang, D.; Cho, H.-S.; Kang, S. Numerical modeling and analysis of the effect of pressure on the performance of an alkaline water electrolysis system. Appl. Energy 2021, 287, 116554. [Google Scholar] [CrossRef]
- Gonçalves, J.R.M.; Cecílio, D.M.; Oliveira, R.C.P.; Mateus, M.M.; Santos, D.M.F. Development of an Aspen Plus® model for the process of hydrogen production by black liquor electrolysis. Symmetry 2022, 14, 1676. [Google Scholar] [CrossRef]
- Deb, K.; Pratap, A.; Agarwal, S.; Meyarivan, T. A fast and elitist multiobjective genetic algorithm: NSGA-II. IEEE Trans. Evol. Comput. 2002, 6, 182–197. [Google Scholar] [CrossRef]
- Coello Coello, C.A.; Lamont, G.B.; Van Valdhuizen, D.A. Evolutionary Algorithms for Solving Multiobjective Problems; Springer: New York, NY, USA, 2007. [Google Scholar] [CrossRef]
- de Medeiros, E.M.; Noorman, H.; Filho, R.M.; Posada, J.A. Multi-objective sustainability optimization of biomass residues to ethanol via gasification and syngas fermentation: Trade-offs between profitability, energy efficiency, and carbon emissions. Fermentation 2021, 7, 201. [Google Scholar] [CrossRef]
- Detchusananard, T.; Sharma, S.; Maréchal, F.; Arpornwichanop, A. Multi-objective optimization of sorption enhanced steam biomass gasification with solid oxide fuel cell. Energy Convers. Manag. 2019, 182, 412–429. [Google Scholar] [CrossRef]
- Zhang, C.; Shan, Y.; Lian, J.; Zhang, C.; Li, M. Optimizing hydrogen production for sustainable fuel cell electric vehicles: Grid impacts in the WECC region. Sustainability 2025, 17, 1129. [Google Scholar] [CrossRef]
- Fragiacomo, P.; Genovese, M. Numerical simulations of the energy performance of a PEM water electrolysis based high-pressure hydrogen refueling station. Int. J. Hydrogen Energy 2020, 45, 27457–27470. [Google Scholar] [CrossRef]
- Arunachalam, M.; Han, D.S. Efficient solar-powered PEM electrolysis for sustainable hydrogen production: An integrated approach. Emergent Mater. 2024, 7, 1401–1415. [Google Scholar] [CrossRef]
- Tavares Borges, P.; Silva Lora, E.E.; Venturini, O.J.; Errera, M.R.; Yepes Maya, D.M.; Makarfi Isa, Y.; Kozlov, A.; Zhang, S. A comprehensive technical, environmental, economic, and bibliometric assessment of hydrogen production through biomass gasification, including global and brazilian potentials. Sustainability 2024, 16, 9213. [Google Scholar] [CrossRef]
- Nan, Y.; Liu, Q.; Zhong, W.; Dong, W. Optimization and energy efficiency analysis of hydrogen production from refractory organic solid waste by plasma gasification. Fuel 2026, 407, 137357. [Google Scholar] [CrossRef]
- Niu, B.; Han, X.; Ding, J.; Yan, B.; Chen, G.; Yao, J. Energy, efficiency, economy, environmental assessment of hydrogen production via solar-driven steam gasification of fresh cow manure using Aspen Plus simulation model. Int. J. Hydrogen Energy 2025, 98, 308–320. [Google Scholar] [CrossRef]











| Process | Variables | Units | Symbols | Values |
|---|---|---|---|---|
| Biomass gasification | Feed flow | kg/h | 65,400–73,301 | |
| N2 flow | kg/h | 100–185,990 | ||
| Pyrolysis temperature | °C | 700–785 | ||
| Steam flow | kg/h | 100–185,920 | ||
| Air flow | kg/h | 100–185,920 | ||
| Water electrolysis | Energy requirement of the electrolyzer | kWh | 50,000–300,000 | |
| Efficiency fraction | - | 0.59–0.61 | ||
| Ca Flash temperature | °C | 60–85 | ||
| Ca Flash pressure | bar | 7–10 |
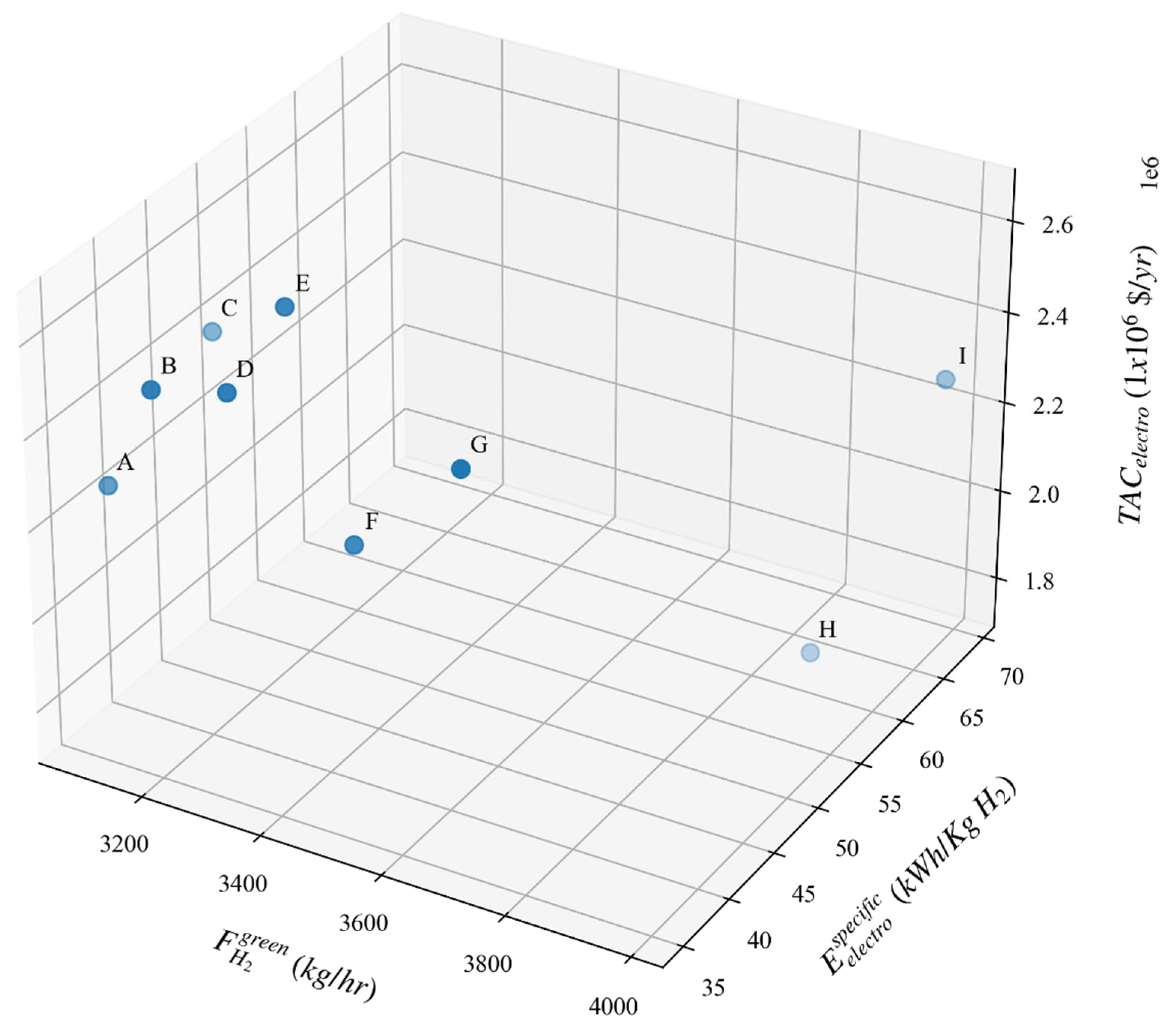
| Case | (kg/h) | (kWh/kg H2) | (MUSD/yr) | |
|---|---|---|---|---|
| A | 3089.03 | 36.88 | 2.26 | 0.57 |
| B | 3196.72 | 35.27 | 2.53 | 0.64 |
| C | 3099.49 | 46.74 | 2.43 | 0.51 |
| D | 3296.82 | 36.72 | 2.54 | 0.47 |
| E | 3315.24 | 41.38 | 2.65 | 0.50 |
| F | 3470.56 | 38.47 | 2.25 | 0.40 |
| G | 3625.95 | 39.63 | 2.45 | 0.33 |
| H | 3881.35 | 61.09 | 1.75 | 0.36 |
| I | 3984.49 | 68.88 | 2.27 | 0.36 |
| Cases | (kg/h) | (°C) | (kg/h) | (kg/h) | (kg/h) | (kW) | (kW) | (kW) |
|---|---|---|---|---|---|---|---|---|
| A | 65,896.49 | 708.8 | 155,074.61 | 19,963.17 | 21,403.86 | 20,395,171.60 | 6,835,954.31 | −13,487,791.70 |
| B | 65,411.87 | 727.6 | 52,438.16 | 19,887.02 | 22,879.31 | 20,245,180.20 | 6,709,969.36 | −13,379,437.90 |
| C | 66,302.71 | 707.6 | 90,909.65 | 44,681.14 | 38,553.79 | 20,520,899.20 | 14,108,418.20 | −21,255,526.70 |
| D | 67,467.41 | 727.5 | 163,612.63 | 28,278.96 | 6751.47 | 20,881,374.80 | 8,059,047.84 | −15,064,793.20 |
| E | 70,880.40 | 707.8 | 132,103.25 | 24,326.39 | 74,021.12 | 21,937,707.80 | 10,857,102.40 | −17,962,278.70 |
| F | 69,356.16 | 739.8 | 7535.53 | 25,395.97 | 67,579.45 | 21,465,948.90 | 10,444,753.80 | −17,563,653.20 |
| G | 67,987.72 | 782.0 | 130,024.29 | 51,863.15 | 724.47 | 21,042,415.20 | 13,302,287.00 | −21,042,172.70 |
| H | 75,495.70 | 755.6 | 55,352.05 | 126,296.48 | 16,583.27 | 23,366,156.40 | 33,313,887.80 | −43,286,474.20 |
| I | 74,875.31 | 780.1 | 121,752.17 | 156,106.90 | 50,912.24 | 23,174,145.30 | 42,428,980.00 | −53,124,135.40 |
| Cluster | (kg/h) | (°C) | (kg/h) | (kg/h) | (kg/h) | (kW) | (kW) | (kW) | (kW) | (kg/h) | (kWh/kg H2) | (MUSD/yr) |
|---|---|---|---|---|---|---|---|---|---|---|---|---|
| Blue | 75,500.03 | 774.95 | 89,532.63 | 17,355.29 | 53,112.16 | 97,835.05 | 30,502.96 | 62,985.26 | 128,252.17 | 3984.22 | 32.22 | 2.50 |
| Red | 74,430.92 | 768.73 | 91,876.52 | 116,051.79 | 80,265.71 | 96,449.64 | 142,090.57 | 182,607.58 | 238,380.70 | 3892.35 | 61.46 | 2.27 |
| Green | 69,455.37 | 757.59 | 92,594.01 | 31,718.31 | 68,530.86 | 90,002.22 | 49,950.07 | 80,789.50 | 139,858.69 | 3565.45 | 39.40 | 2.24 |
| Case | (kg/h) | (kWh/kg H2) | (MUSD/yr) | |
|---|---|---|---|---|
| A | 3156.78 | 68.90 | 3.72 | 0.58 |
| B | 3155.81 | 68.93 | 3.71 | 0.59 |
| C | 3173.90 | 68.94 | 3.74 | 0.59 |
| D | 3362.78 | 68.93 | 3.78 | 0.49 |
| E | 3480.83 | 68.83 | 3.69 | 0.41 |
| F | 3673.75 | 68.75 | 3.72 | 0.29 |
| G | 3695.15 | 68.71 | 3.77 | 0.27 |
| H | 3708.59 | 68.80 | 3.70 | 0.29 |
| I | 3783.83 | 68.80 | 3.72 | 0.25 |
| Casos | (kWh) | (°C) | (bar) | (kW) | (kW) | (kW) | |
|---|---|---|---|---|---|---|---|
| A | 207,542.37 | 0.61 | 73.3 | 10 | 13.24 | 6806.28 | 1.76 |
| B | 207,542.37 | 0.61 | 68.9 | 7 | 13.24 | 6817.20 | 1.76 |
| C | 208,813.56 | 0.61 | 66.7 | 7 | 13.24 | 6820.69 | 1.74 |
| D | 221,525.42 | 0.59 | 80.0 | 7 | 13.24 | 6919.61 | 1.65 |
| E | 229,152.54 | 0.6 | 73.3 | 10 | 13.24 | 6952.02 | 1.46 |
| F | 241,864.41 | 0.6 | 64.4 | 8.5 | 13.24 | 7039.45 | 1.24 |
| G | 243,135.59 | 0.6 | 77.8 | 10 | 13.24 | 7079.12 | 1.22 |
| H | 244,406.78 | 0.59 | 68.9 | 10 | 13.24 | 7029.46 | 1.27 |
| I | 249,491.53 | 0.59 | 64.4 | 8.5 | 13.24 | 7067.10 | 1.18 |
| Cluster | (kWh) | (°C) | (bar) | (kW) | (kW) | (kW) | (kW) | (kg/h) | (kWh/kg H2) | (MUSD/yr) | |
|---|---|---|---|---|---|---|---|---|---|---|---|
| Red | 221,560.00 | 0.5933 | 69.8574 | 8.6203 | 13.2416 | 6874.18 | 1.6272 | 231,775.54 | 3326.50 | 69.6723 | 3.72 |
| Green | 259,559.98 | 0.5999 | 70.1304 | 8.3981 | 13.2404 | 7203.11 | 0.9299 | 270,721.24 | 3943.98 | 68.6544 | 3.68 |
| Blue | 227,487.57 | 0.6068 | 69.8898 | 8.5332 | 13.2412 | 6963.68 | 1.4404 | 237,960.48 | 3494.56 | 68.0934 | 3.70 |
| Biomass Gasification | Water Electrolysis | |
|---|---|---|
| Case G | Case I | |
| (kg/h) | 3625.95 | 3783.83 |
| (kWh/kg H2) | 39.63 | 68.8 |
| (MUSD/yr) | 2.45 | 3.72 |
| (kg CO2-equation/kg H2) | 1.17 | 2.03 |
Disclaimer/Publisher’s Note: The statements, opinions and data contained in all publications are solely those of the individual author(s) and contributor(s) and not of MDPI and/or the editor(s). MDPI and/or the editor(s) disclaim responsibility for any injury to people or property resulting from any ideas, methods, instructions or products referred to in the content. |
© 2026 by the authors. Licensee MDPI, Basel, Switzerland. This article is an open access article distributed under the terms and conditions of the Creative Commons Attribution (CC BY) license.
Share and Cite
Padilla-Esquivel, C.A.; Posadas-Paredes, T.; Alcocer-García, H.; Ramírez-Márquez, C.; Ponce-Ortega, J.M. Multi-Objective Optimization and K-Means Clustering Analysis of Green Hydrogen Production Routes via Biomass Gasification and Water Electrolysis. Processes 2026, 14, 946. https://doi.org/10.3390/pr14060946
Padilla-Esquivel CA, Posadas-Paredes T, Alcocer-García H, Ramírez-Márquez C, Ponce-Ortega JM. Multi-Objective Optimization and K-Means Clustering Analysis of Green Hydrogen Production Routes via Biomass Gasification and Water Electrolysis. Processes. 2026; 14(6):946. https://doi.org/10.3390/pr14060946
Chicago/Turabian StylePadilla-Esquivel, Carlos Antonio, Thelma Posadas-Paredes, Heriberto Alcocer-García, César Ramírez-Márquez, and José María Ponce-Ortega. 2026. "Multi-Objective Optimization and K-Means Clustering Analysis of Green Hydrogen Production Routes via Biomass Gasification and Water Electrolysis" Processes 14, no. 6: 946. https://doi.org/10.3390/pr14060946
APA StylePadilla-Esquivel, C. A., Posadas-Paredes, T., Alcocer-García, H., Ramírez-Márquez, C., & Ponce-Ortega, J. M. (2026). Multi-Objective Optimization and K-Means Clustering Analysis of Green Hydrogen Production Routes via Biomass Gasification and Water Electrolysis. Processes, 14(6), 946. https://doi.org/10.3390/pr14060946

