Abstract
The stability of amorphous drug substances is a crucial issue in the pharmaceutical field. This study examines the influence of polyvinylpyrrolidone as an excipient on the stabilization of the amorphous drug substance bicalutamide. Solid dispersions of the active substance and the excipient were prepared in different weight ratios using ball milling, then packed into aluminum sachets and stored in a climate chamber for one year. The results indicate successful amorphization of bicalutamide, as confirmed by the absence of crystalline structure in the diffractograms and improved dissolution in the 1:1, 2:1, and 4:1 weight ratio systems. However, the 10:1 drug-to-excipient composition remained crystalline. Our findings demonstrate that PVP effectively stabilizes bicalutamide in its amorphous form. The solid dispersions prepared in weight ratios ranging from 1:1 to 4:1 remained stable under both tested storage conditions throughout the entire study period.
1. Introduction
A significant therapeutic obstacle is the limited water solubility and bioavailability of active pharmaceutical ingredients (APIs) [1]. A significant portion, over 70%, of these substances are poorly soluble in water. Furthermore, almost 40% of all APIs on the market have solubility of less than 100 µg/mL [2,3]. Solubility improvement is a significant challenge in pharmaceutical technology. One way is the formation of solid dispersions (SDs), where molecules of the drug substance are dispersed in the polymeric matrices [4]. Obtaining solid dispersions allows for the transformation of the highly ordered crystalline form of an active substance in the amorphous, disordered form [5]. The increase in molecular mobility and the lack of long-range order allowed for obtaining a supersaturated state and an increase in dissolution [6]. Thus, the amorphization of active drug substances is one of the routes that allows for improving both solubility and dissolution.
To obtain an active drug substance in the amorphous form, various techniques can be introduced. Amorphization methods can be based on solvent removal, such as spray drying [7], or on melting, such as hot melt extrusion [8]. The crystalline structure of amorphous substances can be destroyed by a milling process, especially when a planetary ball mill is used. By applying mechanical energy, milling not only reduces the particle size, but it can also destroy the internal crystal structure of an active drug substance. Such an effect has been observed, for instance, in amorphous solid dispersions containing substances like etodolac [9], resveratrol [10], ibuprofen [11], and others.
However, amorphous substances possess the tendency to recrystallize; therefore, selecting an appropriate manufacturing technique and a proper excipient is highly important. A detailed examination of how the API is stabilized and how it interacts with its carrier is always necessary, with special attention to the storage period [12]. It is a common practice to use hydrophilic polymers like macrogols, poloxamers, or polyvinylpyrrolidone (PVP) as excipients in the formulation of amorphous solid dispersions [13,14,15,16]. One of the advantageous properties of PVP is its high glass transition temperature (Tg = 167 °C), which reduces crystallization phenomena and inhibits molecular mobility of the drug substance [17,18], thus guaranteeing stabilization for a longer time period. This effect was observed for PVP in combination with indomethacin as a model drug substance [19]. Another property of PVP is its capacity to form hydrogen bonds with drug molecules. This action further prevents recrystallization and stabilizes the drug substance in its amorphous state. This was observed in the case of nifedipine [20]. The optimization of the drug-to-polymer ratio is a crucial issue that needs to be considered. In general, a higher content of PVP in the formulation provides better stabilization of the amorphous drug substance [21].
In the work presented herein, bicalutamide (BCL), CAS No. 90357-06-5, a poorly water-soluble model drug, was used to obtain solid dispersions with PVP K29/32 as the carrier. Bicalutamide possesses an antiandrogenic activity and inhibits the growth of prostate cancer by blocking the action of androgens on the surface of cancer cells [22,23,24]. Based on the fact that it is a substance practically insoluble in water, less than 4 µg/mL, bicalutamide belongs to Class II of the Biopharmaceutics Classification System (BCS) [25,26]. Bicalutamide, trade name Cassodex, produced by AstraZeneca, was approved by the Food and Drug Administration on 4 October 1995 [27]. The aim of our study was to evaluate the influence of PVP as a stabilizing excipient on the amorphous BCL obtained upon milling at various drug substance-to-carrier weight ratios, i.e., 1:1, 2:1, 4:1, and 10:1. The effectiveness of PVP as a stabilizing excipient was assessed during 12 months of storage under long-term (25 °C, 60% relative humidity) and accelerated conditions (40 °C, 75% RH). The bicalutamide to PVP K-29/32 weight ratios chosen to be tested in the aluminum sachets for one year stability were based on the previous results, which confirmed both the amorphization and dissolution improvement after ball milling [28].
2. Materials and Methods
2.1. Materials
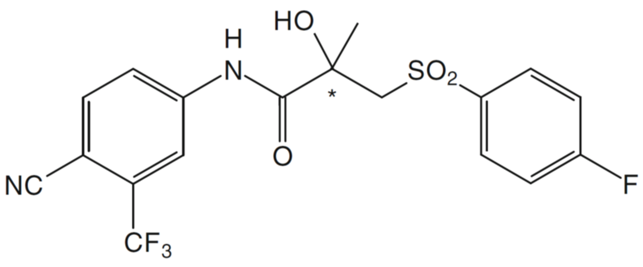
Bicalutamide (BCL, 99.8%, Hangzhou Hyper Chemicals Limited, Hangzhou, Zhejiang, China) was used as a model drug substance (Figure 1), and PVP K-29/32 (Ashland, Covington, KY, USA) (Figure 2) was used as a carrier. Based on the certificate of analysis provided by the producer, the detailed properties of the carrier used are as follows: moisture content 4.3%, pH 3.9, K-value (viscosity of 1% solids w/v aqueous solution) 30. To prepare the medium for the dissolution studies, sodium lauryl sulfate (SLS, BASF, Ludwigshafen am Rhein, Germany) was used.
Figure 1.
The molecular structure of Bicalutamide [29] (the asterisk on the molecule indicates a chiral center).
Figure 2.
The molecular structure of a unit of PVP [17].
2.2. Methods
2.2.1. Ball Milling
To create solid dispersions, Bicalutamide and PVP K-29/32 were combined in these weight ratios: 1:1, 2:1, 4:1, and 10:1. A Pulverisette 7 Classic Line planetary ball mill (Fritsch, Weimar, Germany) was used to mill the substances. The milling process involved two zirconium oxide milling jars (45 mL each) containing seven zirconium oxide balls (15 mm diameter). Four grams of the BCL and carrier mixture were placed in each jar. The milling was performed at room temperature with the following settings: 400 rpm, 20-min milling periods, and reverse mode. To prevent the materials from overheating 10-min pauses were included. The process consisted of 35 milling cycles, for a total milling time of 17.5 h.
2.2.2. Stability Studies of Solid Dispersions
The solid dispersions were packed in aluminum sachets and stored in Memmert HPP-type climate chambers (Memmert GmbH + Co.KG, Büchenbach, Germany). The storage conditions included both long-term stability (25 °C, 60% RH) and accelerated stability (40 °C, 75% RH). The stability of the samples was monitored by conducting both visual and instrumental analyses at four time points: initial preparation, and after three, six, and twelve months.
2.2.3. Visual Inspection of the Sample
The powdered samples were visually inspected right after it was prepared (milled) and after being taken out of the climate chamber. The inspection focused on detecting changes in color and agglomeration.
2.2.4. Powder X-Ray Diffraction
Sample’s crystallinity was determined using a Rigaku Mini Flex II diffractometer (Tokyo, Japan) The scans were performed at room temperature with a range of 3° to 43° and a scan speed of 5°/min. The instrument used monochromatic Cu Kα radiation (λ = 1.5418 Å).
2.2.5. Dissolution Studies
Dissolution studies of bicalutamide from solid dispersions were conducted following the FDA-recommended procedure for BCL tablets. The analysis used a Ph. Eur. No. 2 paddle apparatus, Vision G2 Elite8 (Teledyne Hanson Research, Chatsworth, CA, USA) equipped with a Vision G2 AutoPlus autosampler. The dissolution medium was 1000 mL of 1% SLS, maintained at 37 °C ± 0.5 °C, with a paddle speed of 50 rpm. Each sample, containing 50 mg of the drug substance, was placed in a beaker. Samples were collected at 5, 15, 30, 45, and 60 min. Samples were analyzed just after collection; no pre-analytical sample treatment was needed. Sink conditions were maintained through the dissolution study, as bicalutamide solubility in 1% SLS is approximately 150 µg/mL. The amount of dissolved bicalutamide was determined online at 272 nm using a UV-1800 spectrophotometer (Shimadzu Corporation, Kyoto, Japan) with flow-through cuvettes. The amount of the dissolved bicalutamide was established based on the UV calibration data, using the equation y = 0.05296x, R2 = 0.99945. The results were presented as the average from three measurements (n = 3) with their standard deviations (mean ± SD).
2.2.6. Similarity Factor Calculation
The similarity factor was calculated based on the equation [30]:
where:
n is the number of time points
R(t) is the mean percent reference drug dissolved at time t after initiation of the study
T(t) is the mean percent test drug dissolved at time t after initiation of the study
3. Results and Discussion
3.1. Visual Inspection of the Samples
The obtained solid dispersion samples were visually analyzed immediately after preparation. Regardless of the composition, i.e., the bicalutamide-to-carrier weight ratio, each sample remained a white, free-flowing powder. No agglomeration or sticking between the powder particles was observed. The appearance of the samples subjected to different environmental conditions during the stability testing was checked immediately after removal from the stability chambers at each time point. After storage in both long-term and accelerated conditions, all the samples remained white and free-flowing powder. Therefore, no impact of temperature and humidity on the appearance of the samples was noticed, confirming that aluminum sachets act as a barrier material that provides effective protection against humidity. These results indicate that PVP is an efficient stabilizing agent in all formulations, regardless of the drug-to-carrier weight ratio. The excipient effectively protected the solid dispersions from the temperature- and moisture-related influences.
3.2. X-Ray Analysis
The analysis of diffraction patterns was conducted to examine the impact of both the carrier used and storage conditions on the molecular order of the obtained samples. The diffractogram of untreated, raw drug substance indicated by numerous distinctive Braggs peaks confirms that bicalutamide is present in an ordered arrangement at a molecular lever. The results confirmed that BCL existed in the form of polymorph I (according to the 2014 Cambridge Crystallographic Data Center (CCDC)) [31,32,33]. The results showed that amorphization occurred during the milling of BCL and PVP at weight ratios of 1:1, 2:1, and 4:1 (Figure 3). In these samples, no Bragg peaks characteristic of the crystalline active substance were visible. Instead, an amorphous halo was registered. Interestingly, amorphization of BCL was achieved even at a weight ratio of 4:1, confirming the high potential of PVP as a stabilizing agent for amorphous substances. Only in the 10:1 sample did BCL retain its crystalline structure after milling, as evidenced by the presence of distinct Bragg peaks corresponding to crystalline BCL (Figure 3). After 12 months of storage under long-term conditions, the drug substance remained amorphous in the 1:1, 2:1, and 4:1 samples (Figure 4). Under harsher conditions, the amorphous form of BCL was maintained throughout the entire storage period in sample 1:1. In the 2:1 and 4:1 samples, Bragg peaks occurred after three months. However, their intensity was lower than that in the 10:1 sample and remained unchanged for the rest of the storage period. These results indicate that PVP efficiently stabilizes amorphous bicalutamide at 1:1 and 2:1 weight ratios under long-term conditions, ensuring satisfactory stability over 12 months. The stabilizing effect is attributed to the high glass-transition temperature of PVP, which ensures protection from nucleation and crystal growth [34,35]. Furthermore, the aluminum sachets used as packaging material provided satisfactory protection against humidity from climatic chambers [36,37,38]. The plasticizing effect of water on glassy substances is well known, and it usually leads to physical instability and restoration of the crystal structure. Due to the barrier properties of the sachets, bicalutamide crystallization is inhibited. Additionally, the results of X-ray analysis correspond to the dissolution characteristics discussed in the following section.
Figure 3.
X-ray of 1:1, 2:1, 4:1, 10:1 bicalutamide and PVP K29/32 solid dispersions and pure bicalutamide. The solid dispersion samples were analyzed immediately after preparation [7].
Figure 4.
X-ray of 1:1, 2:1, 4:1, 10:1 bicalutamide and PVP K29/32 solid dispersions after stability study in long-term (25 °C 60% RH (left panel)) and accelerated (40 °C 75% RH (right panel)) conditions for three, six, and twelve months.
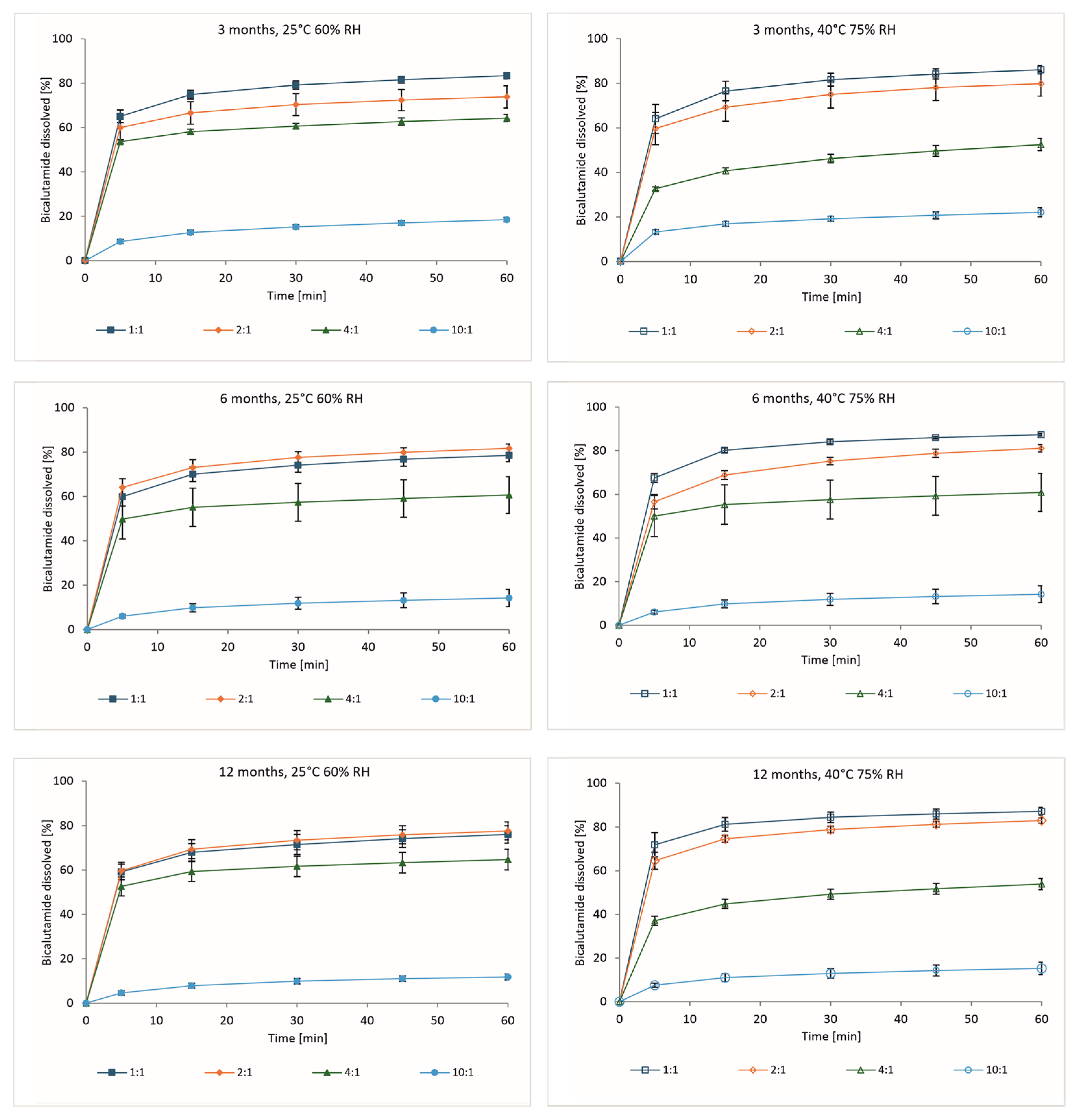
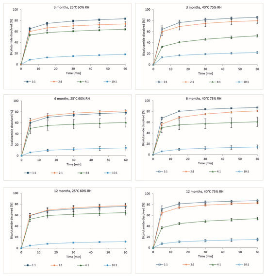
3.3. Dissolution of Bicalutamide from Solid Dispersions
Amorphization is one of the methods used to improve the dissolution of poorly water-soluble active drug substances [39]. As noted earlier, the miscibility of the drug substance with polymers is often limited, and a relatively high amount of carrier is typically required to achieve favorable dissolution characteristics [40]. In this study, we aimed to observe how increasing the excipient (carrier) content in bicalutamide to solid dispersions influences the drug’s dissolution characteristics over storage. The dissolution results directly align with the changes observed in the crystalline structure during storage under varying environmental conditions. Analysis of the BCL dissolution rate when milled with PVP) showed a significant improvement compared to unprocessed, crystalline bicalutamide (Figure 5). An increased amount of dissolved BCL was also evident when compared to milled bicalutamide alone and appropriate physical mixtures (Figure 6) of drug substance and the carrier. Samples with 1:1, 2:1, and 4:1 weight ratios, analyzed immediately after preparation, exhibited an approximate 10-fold improvement, with about 80% dissolution achieved in all samples after one hour (Figure 5). Crucially, bicalutamide in these solid dispersion formulations was amorphous. Interestingly, even in the 10:1 BCL-to-PVP weight ratio, where the BCL retained its crystalline structure, the dissolution improvement was approximately 5-fold compared to the raw drug, with about 43% of the substance dissolved after one hour. This was achieved due to the hydrophilic properties of PVP [17,34,35]. The 1:1 and 2:1 solid dispersions were the most resilient under storage conditions. After 12 months of being stored under both long-term and accelerated conditions, the amount of bicalutamide dissolved remained constant (Figure 7). This confirms the excellent stabilizing properties of PVP as a carrier [41,42].
Figure 5.
Dissolution profiles of 1:1, 2:1, 4:1, 10:1 bicalutamide and PVP K29/32 solid dispersions. The samples were analyzed immediately after preparation [43].
Figure 6.
Dissolution profiles of crystalline bicalutamide and 1:1, 2:1, 4:1, 10:1 bicalutamide and PVP K29/32 physical mixture [28].
Figure 7.
Dissolution of 1:1, 2:1, 4:1, 10:1 bicalutamide and PVP K29/32 solid dispersions after stability study in long-term (25 °C 60% RH, (left panel)) and accelerated (40 °C 75% RH, (right panel)) conditions for three, six, and twelve months.
The similarity of the dissolution characteristics was confirmed by the calculation of the f2 statistic (Table 1). The f2 values were 62.4 and 67.6 for the 1:1 and 2:1 weight ratios, respectively, stored under long-term conditions. For samples stored under accelerated conditions, the calculated f2 values were 53.7 and 86.7 for 1:1 and 2:1 samples, respectively. In contrast, a decrease in the amount of dissolved BCL was observed in the 4:1 and 10:1 formulations under both storage conditions. After 12 months, approximately 60% and 50% of BCL dissolved from the 4:1 formulation under long-term and accelerated conditions, respectively. The 10:1 solid dispersion was not resistant to storage conditions. A decrease in the dissolved amount of BCL was registered after three months of storage, and after 12 months, the amount of BCL dissolved was comparable to that of the raw BCL. The influence of the storage conditions on the dissolution was confirmed by the f2 statistic. The f2 values for these samples were less than 50, which indicated significant differences between 4:1 and 10:1 stored samples compared to freshly analyzed ones, and suggested the influence of storage conditions on dissolution performance. The dissolution data are consistent with the XRD findings. Amorphization of BCL significantly enhanced its dissolution, and the incorporation of PVP enabled the formation of stable amorphous solid dispersions.
Table 1.
The f2 values of 1:1, 2:1, 4:1, 10:1 bicalutamide and PVP K29/32 solid dispersions after stability studies.
4. Conclusions
The study has examined the stability of solid dispersions of bicalutamide and PVP K-29/32 at different weight ratios, 1:1, 2:1, 4:1, and 10:1, packed into aluminum sachets and stored for 12 months in climate chambers.
The results showed that the active substance was amorphized after milling when mixed with the carrier in 1:1, 2:1, and 4:1. Only at the 10:1 weight ratio did bicalutamide remain in a crystalline state. Amorphization of active drug substance led to a 10-fold improvement in dissolution in comparison to unmilled bicalutamide, which indicates the solubilizing effect of PVP used.
Analysis of diffractograms of solid dispersions stored in a climate chamber under long-term conditions demonstrated the influence of stabilizing carrier properties as well as packaging material. Through 12 months of storage, the drug substance remained amorphous in the 1:1, 2:1, and 4:1 samples. Elevated temperature and humidity (accelerated conditions) allowed amorphous bicalutamide to be maintained in sample 1:1 through 12 months of store.
The X-ray analysis is in accordance with the dissolution data. An improvement in dissolution was achieved after milling. Storage in long-term conditions practically had no impact on dissolution properties.
The PVP K29-32 acts as an efficient stabilizing excipient in solid dispersions containing bicalutamide as a poorly water-soluble drug substance.
Author Contributions
Conceptualization, A.A.-R. and J.S.-S.; methodology, A.A.-R. and J.S.-S.; software, A.A.-R.; validation, A.A.-R., J.S.-S. and K.G.; formal analysis, A.A.-R., J.S.-S. and K.G.; investigation, A.A.-R. and J.S.-S.; resources, A.A.-R. and J.S.-S.; data curation, A.A.-R., J.S.-S. and K.G.; writing—original draft preparation, A.A.-R.; writing—review and editing, A.M. and J.S.-S.; visualization, A.A.-R.; supervision, A.M.; project administration, A.M.; funding acquisition, A.M. All authors have read and agreed to the published version of the manuscript.
Funding
This research was funded by the Polish National Science Centre, grant number Symfonia 3 no 2015/16/W/NZ7/00404.
Data Availability Statement
The original contributions presented in this study are included in the article material. Further inquiries can be directed to the corresponding author.
Conflicts of Interest
Author Joanna Szafraniec-Szczęsny was employed by the CHDE Polska S.A. The remaining authors declare that the research was conducted in the absence of any commercial or financial relationships that could be construed as a potential conflict of interest.
References
- Long, B.; Ryan, K.M.; Padrela, L. From batch to continuous—New opportunities for supercritical CO2 technology in pharmaceutical manufacturing. Eur. J. Pharm. Sci. 2019, 137, 104971. [Google Scholar] [CrossRef]
- Thiry, J.; Kok, M.G.; Collard, L.; Frère, A.; Krier, F.; Fillet, M.; Evrard, B. Bioavailability enhancement of itraconazole-based solid dispersions produced by hot melt extrusion in the framework of the Three Rs rule. Eur. J. Pharm. Sci. 2017, 99, 1–8. [Google Scholar] [CrossRef]
- Patel, S.; Kou, X.; Hou, H.H.; Huang, Y.B.; Strong, J.C.; Zhang, G.G.Z.; Sun, C.C. Mechanical Properties and Tableting Behavior of Amorphous Solid Dispersions. J. Pharm. Sci. 2017, 106, 217–223. [Google Scholar] [CrossRef]
- Sruti, J.; Patra, C.N.; Swain, S.; Panigrahi, K.C.; Patro, A.P.; Beg, S.; Dinda, S.C.; Rao, M.E.B. Improvement in the dissolution rate and tableting properties of cefuroxime axetil by melt-granulated dispersion and surface adsorption. Acta Pharm. Sin. B 2013, 3, 113–122. [Google Scholar] [CrossRef]
- Baghel, S.; Cathcart, H.; O’Reilly, N.J. Polymeric Amorphous Solid Dispersions: A Review of Amorphization, Crystallization, Stabilization, Solid-State Characterization, and Aqueous Solubilization of Biopharmaceutical Classification System Class II Drugs. J. Pharm. Sci. 2016, 105, 2527–2544. [Google Scholar] [CrossRef]
- Rams-Baron, M.; Jachowicz, R.; Boldyreva, E.; Zhou, D.; Jamroz, W.; Paluch, M. Amorphous Drugs; Springer International Publishing: Cham, Switzerland, 2018. [Google Scholar] [CrossRef]
- Autzen Virtanen, A.; Myślińska, M.; Healy, A.M.; Power, E.; Madi, A.; Sivén, M. The challenge of downstream processing of spray dried amorphous solid dispersions into minitablets designed for the paediatric population—A sustainable product development approach. Eur. J. Pharm. Sci. 2024, 196, 106752. [Google Scholar] [CrossRef]
- Trenkenschuh, E.; Blattner, S.M.; Hirsh, D.; Hoffmann, R.; Luebbert, C.; Schaefer, K. Development of Ternary Amorphous Solid Dispersions Manufactured by Hot-Melt Extrusion and Spray-Drying─Comparison of In Vitro and In Vivo Performance. Mol. Pharm. 2024, 21, 1309–1320. [Google Scholar] [CrossRef]
- Czajkowska-Kośnik, A.; Misztalewska-Turkowicz, I.; Wilczewska, A.Z.; Basa, A.; Winnicka, K. Solid Dispersions Obtained by Ball Milling as Delivery Platform of Etodolac, a Model Poorly Soluble Drug. Materials 2024, 17, 3923. [Google Scholar] [CrossRef] [PubMed]
- Fan, W.; Zhu, W.; Zhang, X.; Xu, Y.; Di, L. Application of the combination of ball-milling and hot-melt extrusion in the development of an amorphous solid dispersion of a poorly water-soluble drug with high melting point. RSC Adv. 2019, 9, 22263–22273. [Google Scholar] [CrossRef] [PubMed]
- Mallick, S.; Pattnaik, S.; Swain, K.; De, P.K.; Saha, A.; Mazumdar, P.; Ghoshal, G. Physicochemical Characterization of Interaction of Ibuprofen by Solid-State Milling with Aluminum Hydroxide. Drug Dev. Ind. Pharm. 2008, 34, 726–734. [Google Scholar] [CrossRef] [PubMed]
- Mendonsa, N.; Almutairy, B.; Kallakunta, V.R.; Sarabu, S.; Thipsay, P.; Bandari, S.; Repka, M.A. Manufacturing strategies to develop amorphous solid dispersions: An overview. J. Drug Deliv. Sci. Technol. 2020, 55, 101459. [Google Scholar] [CrossRef]
- Chutimaworapan, S.; Ritthidej, G.C.; Yonemochi, E.; Oguchi, T.; Yamamoto, K. Effect of Water-Soluble Carriers on Dissolution Characteristics of Nifedipine Solid Dispersions. Drug Dev. Ind. Pharm. 2000, 26, 1141–1150. [Google Scholar] [CrossRef]
- Betageri, G. Enhancement of dissolution of glyburide by solid dispersion and lyophilization techniques. Int. J. Pharm. 1995, 126, 155–160. [Google Scholar] [CrossRef]
- Bley, H.; Fussnegger, B.; Bodmeier, R. Characterization and stability of solid dispersions based on PEG/polymer blends. Int. J. Pharm. 2010, 390, 165–173. [Google Scholar] [CrossRef]
- Ghanavati, R.; Taheri, A.; Homayouni, A. Anomalous dissolution behavior of celecoxib in PVP/Isomalt solid dispersions prepared using spray drier. Mater. Sci. Eng. C 2017, 72, 501–511. [Google Scholar] [CrossRef] [PubMed]
- Wang, B.; Wang, D.; Zhao, S.; Huang, X.; Zhang, J.; Lv, Y.; Liu, X.; Lv, G.; Ma, X. Evaluate the ability of PVP to inhibit crystallization of amorphous solid dispersions by density functional theory and experimental verify. Eur. J. Pharm. Sci. 2017, 96, 45–52. [Google Scholar] [CrossRef]
- Luebbert, C.; Stoyanov, E.; Sadowski, G. Phase behavior of ASDs based on hydroxypropyl cellulose. Int. J. Pharm. X 2021, 3, 100070. [Google Scholar] [CrossRef]
- Doreth, M.; Löbmann, K.; Priemel, P.; Grohganz, H.; Taylor, R.; Holm, R.; de Diego, H.L.; Rades, T. Influence of PVP molecular weight on the microwave assisted in situ amorphization of indomethacin. Eur. J. Pharm. Biopharm. 2018, 122, 62–69. [Google Scholar] [CrossRef] [PubMed]
- Alqurshi, A.; Chan, K.L.A.; Royall, P.G. In-situ freeze-drying—Forming amorphous solids directly within capsules: An investigation of dissolution enhancement for a poorly soluble drug. Sci. Rep. 2017, 7, 2910. [Google Scholar] [CrossRef]
- Li, Y.; Rantanen, J.; Yang, M.; Bohr, A. Molecular structure and impact of amorphization strategies on intrinsic dissolution of spray dried indomethacin. Eur. J. Pharm. Sci. 2019, 129, 1–9. [Google Scholar] [CrossRef] [PubMed]
- Kumbhar, D.D.; Pokharkar, V.B. Engineering of a nanostructured lipid carrier for the poorly water-soluble drug, bicalutamide: Physicochemical investigations. Colloids Surf. Physicochem. Eng. Asp. 2013, 416, 32–42. [Google Scholar] [CrossRef]
- Le, Y.; Ji, H.; Chen, J.-F.; Shen, Z.; Yun, J.; Pu, M. Nanosized bicalutamide and its molecular structure in solvents. Int. J. Pharm. 2009, 370, 175–180. [Google Scholar] [CrossRef]
- Masiello, D.; Cheng, S.; Bubley, G.J.; Lu, M.L.; Balk, S.P. Bicalutamide Functions as an Androgen Receptor Antagonist by Assembly of a Transcriptionally Inactive Receptor. J. Biol. Chem. 2002, 277, 26321–26326. [Google Scholar] [CrossRef]
- Vega, D.R.; Polla, G.; Martinez, A.; Mendioroz, E.; Reinoso, M. Conformational polymorphism in bicalutamide. Int. J. Pharm. 2007, 328, 112–118. [Google Scholar] [CrossRef]
- Ren, F.; Jing, Q.; Tang, Y.; Shen, Y.; Chen, J.; Gao, F.; Cui, J. Characteristics of Bicalutamide Solid Dispersions and Improvement of the Dissolution. Drug Dev. Ind. Pharm. 2006, 32, 967–972. [Google Scholar] [CrossRef]
- Zhang, J.-Y.; Zhao, L.-J.; Wang, Y.-T. Synthesis and clinical application of small-molecule drugs approved to treat prostatic cancer. Eur. J. Med. Chem. 2023, 262, 115925. [Google Scholar] [CrossRef]
- Szafraniec, J.; Antosik, A.; Knapik-Kowalczuk, J.; Kurek, M.; Syrek, K.; Chmiel, K.; Paluch, M.; Jachowicz, R. Planetary ball milling and supercritical fluid technology as a way to enhance dissolution of bicalutamide. Int. J. Pharm. 2017, 533, 470–479. [Google Scholar] [CrossRef]
- Cockshott, I.D. Bicalutamide: Clinical Pharmacokinetics and Metabolism. Clin. Pharmacokinet. 2004, 43, 855–878. [Google Scholar] [CrossRef] [PubMed]
- European Medicines Agency, Committee for Medicinal Product for Human Use (CHMP), Guideline on the Investigation of Bioequivalence. Available online: https://www.ema.europa.eu/en/documents/scientific-guideline/guideline-investigation-bioequivalence-rev1_en.pdf (accessed on 19 May 2025).
- Hu, X.-R.; Gu, J.-M. N-[4-Cyano-3-(trifluoromethyl)phenyl]-3-(4-fluorophenylsulfonyl)-2-hydroxy-2-methylpropionamide. Acta Crystallogr. Sect. E Struct. Rep. Online 2005, 61, o3897–o3898. [Google Scholar] [CrossRef]
- Gana, I.; Céolin, R.; Rietveld, I.B. Bicalutamide polymorphs I and II: A monotropic phase relationship under ordinary conditions turning enantiotropic at high pressure. J. Therm. Anal. Calorim. 2013, 112, 223–228. [Google Scholar] [CrossRef]
- Dhaked, D.K.; Jain, V.; Kasetti, Y.; Bharatam, P.V. Conformational polymorphism in bicalutamide: A quantum chemical study. Struct. Chem. 2012, 23, 1857–1866. [Google Scholar] [CrossRef]
- Yoshioka, M.; Hancock, B.C.; Zografi, G. Inhibition of indomethacin crystallization in poly(vinylpyrrolidone) coprecipitates. J. Pharm. Sci. 1995, 84, 983–986. [Google Scholar] [CrossRef]
- Ilevbare, G.A.; Liu, H.; Edgar, K.J.; Taylor, L.S. Understanding Polymer Properties Important for Crystal Growth Inhibition—Impact of Chemically Diverse Polymers on Solution Crystal Growth of Ritonavir. Cryst. Growth Des. 2012, 12, 3133–3143. [Google Scholar] [CrossRef]
- Patel, C.; Patel, Z.; Dani, H.; Zaveri, M. ALU-ALU Packaging Vs ALU-PVC Blister Packaging: Waste to Value—A Comparative Analysis. Int. J. Pharm. Sci. 2025, 3, 2810–2818. [Google Scholar] [CrossRef]
- Lamberti, M.; Escher, F. Aluminium Foil as a Food Packaging Material in Comparison with Other Materials. Food Rev. Int. 2007, 23, 407–433. [Google Scholar] [CrossRef]
- Yaren Çapkın, İ.; Gökelma, M. A review on characterization and recyclability of pharmaceutical blisters. Clean. Waste Syst. 2023, 4, 100082. [Google Scholar] [CrossRef]
- Fang, X.; Hu, Y.; Yang, G.; Shi, W.; Lu, S.; Cao, Y. Improving physicochemical properties and pharmacological activities of ternary co-amorphous systems. Eur. J. Pharm. Biopharm. 2022, 181, 22–35. [Google Scholar] [CrossRef] [PubMed]
- Andrews, G.P.; AbuDiak, O.A.; Jones, D.S. Physicochemical Characterization of Hot Melt Extruded Bicalutamide–Polyvinylpyrrolidone Solid Dispersions. J. Pharm. Sci. 2010, 99, 1322–1335. [Google Scholar] [CrossRef]
- Theil, F.; Milsmann, J.; Kyeremateng, S.O.; Anantharaman, S.; Rosenberg, J.; Van Lishaut, H. Extraordinary Long-Term-Stability in Kinetically Stabilized Amorphous Solid Dispersions of Fenofibrate. Mol. Pharm. 2017, 14, 4636–4647. [Google Scholar] [CrossRef]
- Lehmkemper, K.; Kyeremateng, S.O.; Bartels, M.; Degenhardt, M.; Sadowski, G. Physical stability of API/polymer-blend amorphous solid dispersions. Eur. J. Pharm. Biopharm. 2018, 124, 147–157. [Google Scholar] [CrossRef]
- Antosik-Rogóż, A.; Szafraniec-Szczęsny, J.; Knapik-Kowalczuk, J.; Kurek, M.; Gawlak, K.; Paluch, M.; Jachowicz, R. How Does Long-Term Storage Influence the Physical Stability and Dissolution of Bicalutamide from Solid Dispersions and Minitablets? Processes 2022, 10, 1002. [Google Scholar] [CrossRef]
Disclaimer/Publisher’s Note: The statements, opinions and data contained in all publications are solely those of the individual author(s) and contributor(s) and not of MDPI and/or the editor(s). MDPI and/or the editor(s) disclaim responsibility for any injury to people or property resulting from any ideas, methods, instructions or products referred to in the content. |
© 2025 by the authors. Licensee MDPI, Basel, Switzerland. This article is an open access article distributed under the terms and conditions of the Creative Commons Attribution (CC BY) license (https://creativecommons.org/licenses/by/4.0/).






