Next Article in Journal
BlueberryNet: A Lightweight CNN for Real-Time Ripeness Detection in Automated Blueberry Processing Systems
Next Article in Special Issue
Research on the Optimization Decision Method for Hydrogen Load Aggregators to Participate in Peak Shaving Market
Previous Article in Journal
Short-Term Wind Power Forecasting Based on Improved Modal Decomposition and Deep Learning
Previous Article in Special Issue
Mathematical Modeling and Experimental Validation for a 50 kW Alkaline Water Electrolyzer
 
 
Font Type:
Arial Georgia Verdana
Font Size:
Aa Aa Aa
Line Spacing:
Column Width:
Background:
Article

Characterization of Hydrogen-in-Oxygen Changes in Alkaline Electrolysis Hydrogen Production System and Analysis of Influencing Factors

1
Suzhou Nuclear Power Research Institute Co., Ltd., Suzhou 215004, China
2
National Engineering Research Center of Nuclear Power Plant Safety & Reliability, Suzhou 215004, China
3
School of Mechanical Engineering, University of Science and Technology Beijing, Beijing 100083, China
4
Shunde Innovation School, University of Science and Technology Beijing, Foshan 528399, China
*
Authors to whom correspondence should be addressed.
These authors contributed equally to this work.
Processes 2025, 13(8), 2517; https://doi.org/10.3390/pr13082517
Submission received: 7 July 2025 / Revised: 28 July 2025 / Accepted: 7 August 2025 / Published: 10 August 2025

Abstract

Industrial alkaline water electrolysis systems face challenges in maintaining hydrogen-in-oxygen impurity within safe limits under fluctuating operating conditions. This study aims to characterize the dynamic response of hydrogen-in-oxygen concentration in an industrial 10 kW alkaline water electrolysis test platform (2 Nm3/h hydrogen output at 1.6 MPa and 90 °C) and to identify how operating parameters influence hydrogen-in-oxygen behavior. We systematically varied the cell current, system pressure, and electrolyte flow rate while monitoring real-time hydrogen-in-oxygen levels. The results show that hydrogen-in-oxygen exhibits significant inertia and delay: during startup, hydrogen-in-oxygen remained below the 2% safety threshold and stabilized at 0.9% at full load, whereas a step decrease to 60% load caused hydrogen-in-oxygen to rise to 1.6%. Furthermore, reducing the pressure from 1.4 to 1.0 MPa lowered the hydrogen-in-oxygen concentration by up to 15%, and halving the alkaline flow rate suppressed hydrogen-in-oxygen by over 20% compared to constant conditions. These findings provide new quantitative insights into hydrogen-in-oxygen dynamics and offer a basis for optimizing control strategies to keep gas purity within safe limits in industrial-scale alkaline water electrolysis systems.

1. Introduction

Against the backdrop of the global transition in the energy landscape and increasingly stringent carbon-reduction targets, harnessing renewable electricity to electrolyze water and generate hydrogen has emerged as a pivotal technology for realizing green, low-carbon development [1]. Among the available options, alkaline water electrolysis (AWE) has been extensively deployed in large-scale hydrogen-production projects owing to its technological maturity and significant cost advantages [2]. Nevertheless, the stochastic power fluctuations inherent to wind and solar resources directly undermine the operational stability of AWE systems. Conventional AWE installations are typically engineered for quasi-steady, constant-power conditions. When the supply power varies rapidly, critical cell parameters—temperature, pressure, and hydrogen-in-oxygen impurity (HTO)—become difficult to stabilize, thereby inducing fluctuations in gas yield and purity [3]. Consequently, the intermittent and variable nature of renewable generation impedes the long-term continuous operation of AWE, and the attendant frequent load swings and start–stop cycles further challenge system stability.
Under fluctuating operating conditions, controlling HTO becomes particularly challenging because its dynamic behavior is characterized by pronounced inertia and hysteresis. Experimental studies show that abrupt cell current changes trigger rapid electrical and pressure responses within seconds, whereas the HTO concentration exhibits a delay of several minutes due to inertia [4]. To prevent HTO from surpassing its safety threshold (2%), industrial AWE plants impose a minimum load limit of roughly 10–40% [3]. Operating below this limit causes the HTO content to rise rapidly to hazardous levels, necessitating an emergency shutdown. Recent studies have proposed various strategies and models to address dynamic control challenges associated with HTO. Haug et al. [5,6,7] first established a comprehensive gas-purity mechanistic model incorporating diffusion, convection, and alkali mixing, and quantified the influence of operating variables—current, temperature, pressure, and electrolyte flow rate—on HTO. Qi et al. [8] simplified the gas-purity framework and, for the first time, captured dynamic impurity accumulation, proposing an MPC-based pressure-control scheme that markedly reduces HTO. Zhang et al. [9] systematically reviewed mechanistic models (diffusion, convection, and electro-osmosis) and empirical correlations (temperature—current and pressure coupling) for HTO in alkaline electrolyzers, and introduced a dynamic accumulation model to overcome the limitations of steady-state descriptions. This model predicts HTO evolution under power fluctuations, enables the timely adjustment of operating parameters, and prevents impurity excursions, thereby providing a theoretical basis for real-time prediction and optimization. Gu et al. [4] characterized the dynamic responses of current, voltage, temperature, HTO, and pressure during cold-start, hot-start/stop, and variable-load operations on a 250 kW industrial AWE plant across three time scales—hours, minutes, and seconds. Their results elucidated the distinct time delays and inertial traits associated with each transient. Jang et al. [10] assessed, via numerical modeling, the impact of operating pressure on gas purity and determined that elevating the pressure from atmospheric to 20 bar significantly enhances hydrogen purity and suppresses HTO; further pressurization, however, yields diminishing returns and must be balanced against the additional balance-of-plant energy demand. Ren et al. [11] performed cold-start and wind-powered operating tests on a 250 kW demonstration system and developed a semi-empirical model that captures the coupled effects of pressure, temperature, and current density. Model parameters were identified by nonlinear regression, and validation against demonstration data yielded a maximum HTO prediction error of only 3.9%. Tromans et al. [5] derived accurate fundamental parameters for gas dissolution and mass transfer by systematically measuring the solubility and diffusion coefficients of hydrogen and oxygen in KOH solutions over a range of temperatures and concentrations, thereby furnishing reliable inputs for subsequent mechanistic HTO models that quantify dissolved-gas permeation through membranes. Although numerous studies have examined the influence of operating parameters on HTO through laboratory-scale models and rigs, investigations based on industrial-scale alkaline electrolyzers remain scarce.
Meanwhile, frequent renewable-power fluctuations and electrolytic cell start–stop cycles create safety hazards and significantly reduce system efficiency and lifespan. Operating at partial—or particularly low—loads substantially degrades electrolytic hydrogen-production efficiency [12]. Kojima et al. [12] demonstrated that when the electrolysis current falls below 50% of its rated value, auxiliary energy demands and parasitic losses precipitate a sharp decline in system efficiency; even if the cell continues to operate, the specific energy consumption per unit of hydrogen rises markedly. Moreover, when wind or photovoltaic supply is insufficient, the plant must shut down; repeated cold- and hot-start operations incur heat losses and additional energy expenditure to re-heat the electrolyte and restore the operating temperature, thereby further diminishing overall energy efficiency. Frequent load swings and start–stop sequences also accelerate cell ageing and shorten service life. During power transients, the electrode potential changes abruptly; at shutdown, reverse currents induced by polarity reversal trigger redox cycling on the electrode surface and expedite degradation of the catalytic layer. San Martín et al. [13,14] reported that the lifetime of Ni-based electrodes diminishes significantly under repeated start–stop cycles. Experimental data show that electrode performance deteriorates markedly after roughly 5000–10,000 start–stop cycles, well below the life obtainable under continuous operation. Direct integration with intermittent sources like photovoltaics may subject a single electrolyzer stack to tens of thousands of start–stop cycles over 20–30 years. Thus, persistent input-power fluctuations impose periodic mechanical and electrochemical stress on the cell, accelerating material fatigue and failure. Such degradation reduces hydrogen-production efficiency by increasing electrode overpotential, and also raises maintenance and replacement frequency, reducing the economic viability and availability of AWE systems.
Existing research on HTO concentration has largely focused on steady-state mechanisms, employing highly complex simulation models that pose challenges in calibration. Additionally, there is a notable lack of research on the dynamic behaviors of HTO under conditions of fluctuating power input. Studies addressing optimization and control strategies remain scarce, typically concentrating on single-parameter adjustments to improve HTO while neglecting adverse effects on other critical performance indicators, such as electrolysis efficiency. A literature analysis on the origins and influencing factors of HTO reveals that system pressure and electrolyte flow rate are the primary operational parameters. While reducing system pressure lowers hydrogen solubility, it inevitably raises compressor energy consumption and increases bubble coverage on electrode surfaces, consequently elevating electrolyzer energy consumption. Research has demonstrated that elevating operating pressure increases hydrogen concentration within oxygen streams. Sharshir et al. [15] noted that while higher pressure minimally impacts electrolyzer voltage, it significantly reduces hydrogen purity due to increased hydrogen crossover from the cathode to the anode. In experiments with a 120 bar high-pressure electrolyzer, Janssen et al. [16] found HTO rose from approximately 1.53% to 2.45% when pressure was elevated from 70 bar to 130 bar at 60 °C. On the other hand, the electrolyte inherently dissolves small amounts of generated gas. Zhou et al. [17] confirmed this mechanism, highlighting that increased electrolyte circulation rates significantly raise HTO by transporting more dissolved hydrogen toward the oxygen side. Consequently, under high-pressure conditions, increased hydrogen solubility in the alkali solution and elevated pressure differentials across the diaphragm facilitate hydrogen diffusion and migration. Furthermore, pressure imbalances between the anode and cathode can abruptly drive significant gas volumes across the diaphragm. Numerous studies indicate that varying alkali solution flow rates, particularly in mixed circulation modes, substantially impact dissolved hydrogen ingress to the anode. Zhao et al. [18] employed three-dimensional CFD to compare single- and multi-inlet concave–convex flow channels in alkaline electrolyzers. A three-inlet square design improved the electrolyte-velocity uniformity index to 0.80–0.88, markedly shrinking low-velocity vortex zones and, by facilitating bubble detachment, lowering energy losses and gas-purity penalties. Cheng et al. [19] emphasized that mixed electrolyte circulation continually transfers dissolved hydrogen from the cathode to the anode, with flow rates influenced by electrolyte circulation speed and pressure differentials. Haug et al. [5] systematically compared mixed and separated circulation modes under normal pressure in a zero-gap electrolyzer, demonstrating that reducing average flow rates in mixed circulation decreased HTO from 1.35% to 0.75% at low loads, while separated circulation at low flow rates further reduced it below 0.5%. Innovatively, Hu et al. [20] proposed a coordinated control strategy for the electrolyte flow rate and system pressure to reconcile the conflicting demands of minimum load limits and efficiency in a 250 kW industrial alkaline electrolysis system under renewable energy fluctuations. Employing steady-state and dynamic gas purity models, they elucidated the mechanisms governing HTO. Their approach, involving strategic reductions in system pressure and electrolyte flow rate, increased wind and solar energy utilization rates to 98.3% and 95.6%, respectively, effectively mitigating elevated HTO levels at low loads. Haug et al. [6] developed a simulation model accounting for alkali flow rate impacts, predicting and validating experimentally that a fivefold increase in alkali flow rate raised HTO from 0.2% to 1.1% under mixed circulation at 0.2 A/cm2. They concluded that implementing separated circulation significantly reduces the influence of alkali mixing, rendering HTO predominantly determined by diaphragm diffusion. Finally, Brauns et al. [21] experimentally compared three dynamic strategies under conditions of 7 bar and 60 °C: constant high-flow mixed circulation, periodic switching between mixed and separated circulation, and a linear adjustment of alkali flow rate with current density. Results indicated that the linear load-flow adjustment strategy maintained HTO concentrations between 1.2% and 2.0%, substantially lower than the fixed high-flow strategy (1.5–2.4%), thereby demonstrating the effectiveness of load-adaptive flow control in stabilizing HTO amidst renewable energy fluctuations.
In summary, despite notable advancements in mechanistic modeling, predictive-control methodologies, and flexible system integration, the majority of studies remain confined to low-power experimental rigs or numerical simulations. Systematic empirical datasets and methodological frameworks for defining the dynamic safety boundary of HTO, elucidating efficiency-degradation mechanisms, and formulating multi-parameter cooperative control laws for industrial-scale AWE under renewable-energy fluctuations are still absent. In particular, the coupling effects of key variables—current, pressure, and alkali flow rate—across different load regimes, along with the time-delay and inertial characteristics of gas post-treatment, remain insufficiently characterized. To address these gaps, this study establishes an industrial AWE test rig with a hydrogen-production capacity of 2 Nm3/h. By systematically varying current, pressure, and alkali flow, this study investigates the dynamics and governing factors of HTO in industrial-scale alkaline electrolyzers. In a simulated current ramp-down scenario, the rig evaluates how pressure and alkali flow-rate adjustments influence HTO dynamics and controllability. The research results provide an empirical basis for deeply integrated system design, real-time predictive control strategy development, and life cycle economic assessment of industrial AWE combined with intermittent renewable energy.

2. Materials and Methods

This experimental study was performed on a 10 kW industrial-scale AWE system. The system configuration is illustrated in Figure 1, comprising the electrolytic cell, separation subsystem, electrical subsystem, control subsystem, purification subsystem, and auxiliary units. The electrolytic cell exhibits a hydrogen-production capacity of 2 Nm3/h. The cell comprises 26 individual chambers, rated for a working pressure of 1.6 MPa, an operating temperature of 90 °C, a current density of 3500 A/cm2, a nominal current of 200 A, and a cell voltage of 47.8 V. The separation subsystem supports stable cell operation and consists of a gas–liquid separator, wash tank, condensing tank, alkali circulation pump, deionized-water feed pump, heat exchanger, and control valves. Its primary function is to separate product gas from the alkaline electrolyte, facilitate electrolyte supply and forced-circulation cooling, and regulate the cell’s temperature and pressure. The hydrogen-production control system is implemented on a programmable logic controller (PLC) and acquires real-time sensor data—including pressure, temperature, flow rate, actuator position, and gas composition. The HTO analyzer used in this study (YF-H02, Xi’an Yunfeng Intelligent Technologt Co., Ltd, Xi’an, China) has a detection range 0–4%, accuracy 2%, and a response time of approximately 30 s. Therefore, HTO concentrations are now reported to two decimal places, and response delays to the nearest tenth of a minute (e.g., 2.0 min), reflecting the reliable accuracy and resolution of the sensor under the experimental conditions. This control system enables automated operation, continuous monitoring and fault diagnosis, and comprehensive data acquisition and analysis.
Industrial AWE systems typically employ gas chromatography or dedicated hydrogen analyzers to measure HTO concentration at the separation-system outlet. The electrolyte effluent from the cell traverses the gas–liquid separator, wash tank, and condenser before sampling by the HTO analyzer. As illustrated in Figure 2, this sequence entails dynamic impurity accumulation via electrolyte recirculation through the cell and separator, compounded by separation-induced delays. Delay Step 1 denotes the cell’s oxygen purge time, primarily dictated by the alkaline flow rate and chamber volume. Delay Stage 2 represents the oxygen–alkali separation time in the gas–liquid separator, governed by its separation capacity. Inertia Link 1 corresponds to the total residence time from separation through condenser egress, influenced by oxygen flow rate, system pressure, temperature, and chamber volume.
Experiments were designed to study HTO behavior under various transient operating conditions. Each key experimental scenario (e.g., current drop/rise tests or pressure and flow rate changes) was performed only once, and the repeatability of the experiments needs to be verified. In a cold-start test, the electrolyzer current was increased from 0 to full load in 20 A increments (10 steps) over approximately 3.8 h, while monitoring HTO evolution from startup to steady state. We then carried out controlled current-fluctuation tests at a steady operating temperature of 90 °C. In a baseline scenario (Case 1), the system was maintained at 1.4 MPa pressure with a 7 L/min alkaline flow, and the cell current was stepped from 200 A (100% load) down to 120 A (60% load) and back up to 200 A. In Case 2, the same current profile was applied but with the system pressure reduced from 1.4 MPa to 1.0 MPa during the low-load period (followed by re-pressurization to 1.4 MPa). In Case 3, pressure was lowered to 1.0 MPa and held at that level throughout the current rise. Similarly, to investigate the effect of electrolyte circulation, we conducted a set of tests with varying flow rates. In flow Case 1, the flow rate was held constant at 7 L/min. In Case 2, the flow was reduced from 7 L/min to 3.5 L/min during the current downturn and then returned to 7 L/min for the ramp-up. In Case 3, the flow was lowered to 3.5 L/min and kept at that lower rate for the entire test. Throughout all experiments, the HTO concentration at the oxygen outlet was continuously monitored using a hydrogen analyzer (connected to the PLC data acquisition system), providing real-time measurements of the impurity level under each condition.

3. Results

The mass-transfer processes in alkaline hydrogen-production systems can be categorized as follows: (1) electromigration of charge carriers driven by potential differences between adjacent cells; (2) molecular diffusion within individual chambers induced by concentration gradients; and (3) transmembrane diffusion across the diaphragm resulting from concentration differences between dissolved and gaseous species. Transmembrane mixing of dissolved or gaseous species is particularly critical: oxygen ingress into hydrogen reduces product purity, whereas hydrogen crossover into oxygen both raises the system’s minimum-load threshold and triggers an emergency shutdown when HTO exceeds 2%. Consequently, HTO concentration serves as the primary operational safety and quality indicator. The HTO origins can be attributed to the following: (1) transmembrane diffusion due to concentration differences in dissolved species across anode–cathode interfaces; (2) convective transport of dissolved or gaseous species driven by pressure differentials within individual chambers; and (3) entrainment of dissolved gases in the recirculating alkali solution. The relative contributions to HTO follow the order (3) > (2) > (1) [9].

3.1. Analysis of Hydrogen Response Characteristics in Oxygen Under Current Fluctuations

During the cold-start phase of the AWE system, the cell current ramps up gradually from zero. At this stage, HTO has not attained dynamic equilibrium, rendering the system highly sensitive to impurity accumulation and dilution phenomena. A detailed analysis of current-induced HTO dynamics can inform precise current-control strategies, thereby ensuring a rapid, safe, and seamless transition from preheating to full-load operation. This study employs the full cell start-up sequence—from cold start through full-load operation—along with current ramp-up and ramp-down profiles to investigate the evolution of HTO.

3.1.1. Cold Start–Full Load

Following an extended shutdown, the separation subsystem is purged with nitrogen to remove residual impurities, thereby preventing HTO accumulation and mitigating safety hazards. During cold start, electrolytic hydrogen and oxygen flush residual nitrogen from the system. Sensor preheating may temporarily skew HTO readings. Figure 3 presents experimental observations of HTO dynamics throughout the cold-start to full-load sequence. The initial cold start temperature is 23 °C, and the cold start ends when it reaches 90 °C. The cold-start phase employed ten current increments of 20 A each to ramp the system to full load. The complete sequence spanned approximately 3.8 h. The data indicate that HTO remained below the 2.0% threshold throughout the cold start. During the initial 1.8 h, continuous gas production diluted residual impurities, driving HTO toward its steady-state value. After 1.8 h, as the current ramped to full load, HTO stabilized at approximately 0.9%. As current—and thus the gas-production rate—increases while the impurity fluxes via diffusion, convection, and electrolyte mixing remain constant, the resulting dilution further lowers HTO.

3.1.2. Current Ramp Up/Down

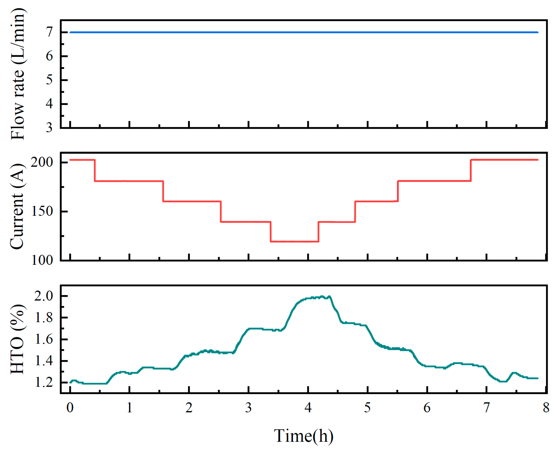
Throughout testing, the system was held at 1.4 MPa and 90 °C, while the cell current was stepped down from 200 A (100% load) to 120 A (60% load). Figure 4 illustrates the dynamic HTO response. Overall, HTO varies inversely with current. When the current decreases, the hydrogen-production rate falls accordingly. Because pressure, temperature, and alkali flow rate remain constant, impurity fluxes via electrolyte mixing, membrane permeation, and diffusion are unchanged, causing the HTO concentration to rise. Conversely, increasing current produces the opposite effect on HTO. Upon stepping the current down from 200 A to 120 A, HTO rose from 0.91% after a 2.03 min delay and stabilized at 1.60%, corresponding to an average increase of 0.005%/min. When the current was ramped back up from 120 A to 200 A, HTO declined from 1.60% after a 2.03 min delay and settled at 0.90%, representing an average decrease of 0.006%/min. In addition, the experimental observation is that the HTO response delay after the current transient is about 3~8 min, and the HTO inertial response is 15~23 min, which is basically consistent with the results of the 250 kW system described by Gu et al., where the time delay range is 2~5 min and the time inertia range is 15~31 min. It should be noted that the HTO suddenly increased at 0.85 h, 2.4 h, 3.7 h, and 4.2 h, which was not caused by the change in current mutation but by the system structure. At these four time points, water replenishment operation was performed (the water replenishment pump replenished water to the washing tank and then overflowed to the gas–liquid separation tank). The gas in the tank was suddenly compressed, resulting in pressure fluctuations, which in turn caused HTO fluctuations. The abnormal increase in HTO in the experiment in Section 3.2 is also due to the same reason, which will not be elaborated on later.

3.2. Analysis of Hydrogen Response Characteristics in Oxygen Due to Fluctuations in Pressure and Alkali Flow Rate

HTO concentration is governed by key process variables—cell current, temperature, system pressure, and alkali flow rate. From the current standpoint, elevating the cell current directly increases the hydrogen-production rate. When diffusion, convection, and electrolyte-mixing fluxes remain constant, higher gas output dilutes the dissolved impurities, thus lowering HTO. Gas solubility in the electrolyte scales with pressure, and pressure variations likewise modulate diffusion, convection, and mixing fluxes. Accordingly, moderate pressure reduction can enhance product purity and extend the system’s minimum-load envelope. Alkali flow rate correlates positively with mixing flux; since impurities primarily ingress via electrolyte mixing, fine-tuning the circulation rate markedly improves gas purity.

3.2.1. The Influence of Pressure and Current on Hydrogen in Oxygen

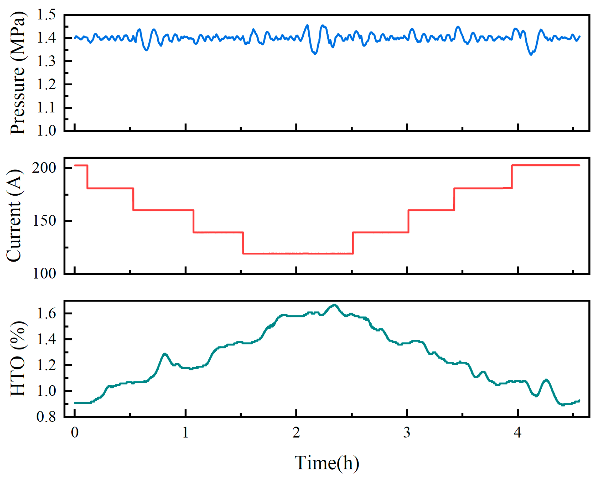
Lowering the system pressure reduces HTO content but simultaneously increases both electrolysis and compression energy demands. Figure 5, Figure 6 and Figure 7 illustrate the combined effects of pressure and current on HTO. Experiments were conducted at 3.5 L/min and 85 °C, with stepwise current profiles under varying pressure conditions. For clarity, Case 1 denotes constant pressure at 1.4 MPa; Case 2 corresponds to a pressure sequence of 1.4 → 1.0 → 1.4 MPa; and Case 3 follows a pressure profile of 1.4 → 1.0 → 1.0 MPa. Pressure variations alter hydrogen solubility, thereby modulating its diffusion, convection, and mixing fluxes. Comparison of Figure 5, Figure 6 and Figure 7 shows that stepping the current from 200 A (100% load) down to 120 A (60% load) and back up induces a marked HTO increase followed by gradual decline.
In Case 1 (Figure 5), HTO closely tracks the current variations. As current decreases, HTO rises from 0.91% at steady state to 1.59%. Upon returning to 200 A, HTO declines from 1.59% to 0.93%. In Case 2 (Figure 6), pressure drops from 1.4 MPa to 1.0 MPa during the current-down phase. Relative to Case 1, the pressure reduction in Case 2 further lowers HTO. Following stable operation at 120 A, current and pressure jointly return to 200 A and 1.4 MPa, yielding an HTO reduction of approximately 1.1–1.5%. In Case 3 (Figure 7), the pressure-down profile mirrors Case 2, resulting in comparable HTO during current descent. However, upon the current ramp-up, Case 3 exhibits a more pronounced HTO decline than Cases 1 and 2.

3.2.2. The Influence of Alkali Flow Rate and Current on Hydrogen in Oxygen

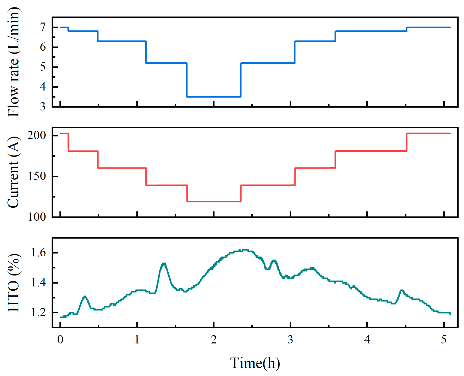
Reducing the alkaline flow rate similarly decreases the HTO concentration. Figure 8, Figure 9 and Figure 10 depict the combined influence of alkali flow rate and cell current on HTO. Experiments were performed at 1.4 MPa and 85 °C, with stepwise current profiles and variable alkali flow rates. For clarity, Case 1 denotes a constant alkali rate of 7 L/min; Case 2 corresponds to a rate sequence of 7 → 3.5 → 7 L/min; and Case 3 follows a 7 → 3.5 → 3.5 L/min profile. Alkali flow rate alters the inlet-mixing flux of dissolved hydrogen—the primary source of HTO—thereby modulating impurity levels.
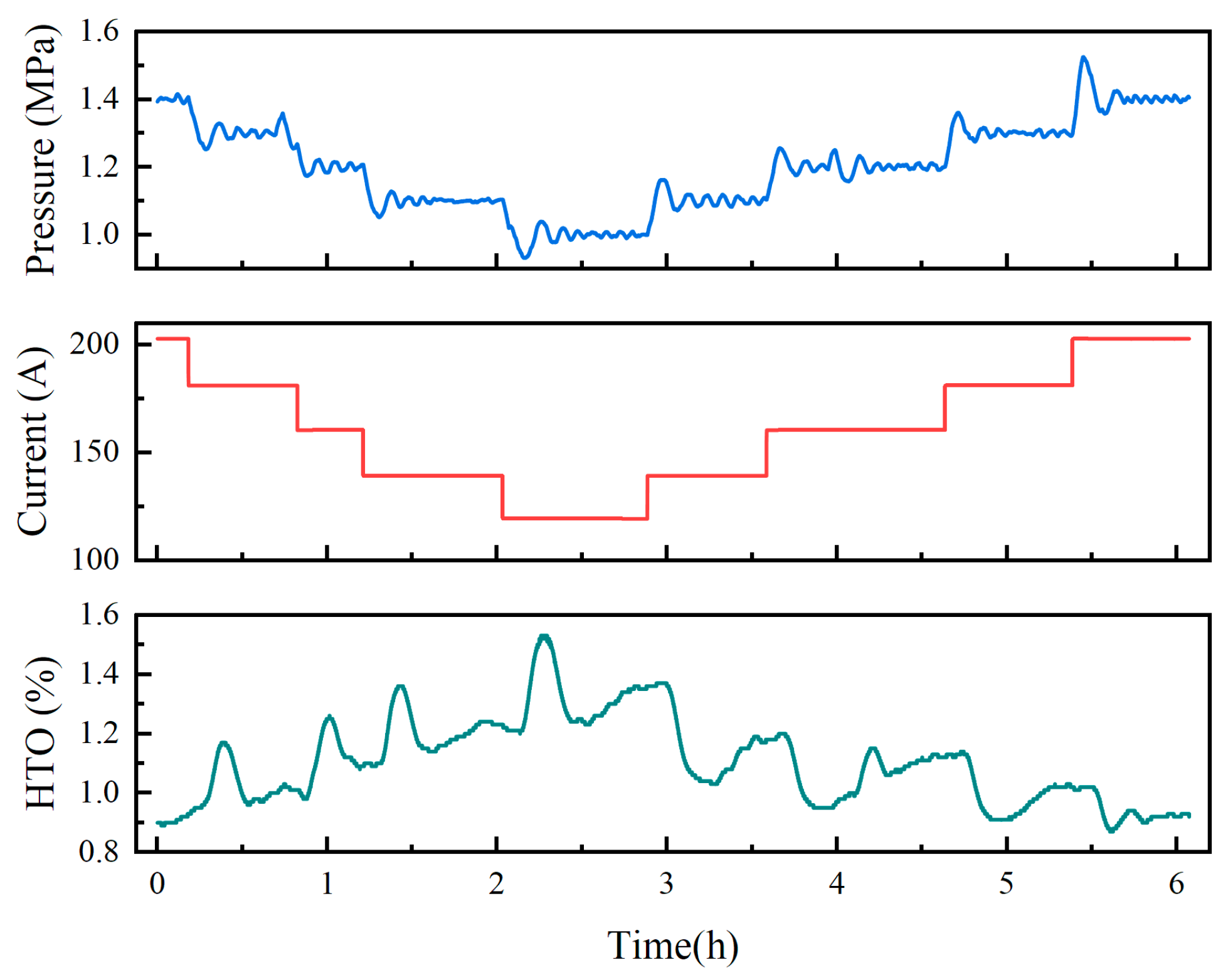
In Case 1 (Figure 8), HTO closely follows the current variations. Decreasing current drives HTO from 1.19% at steady state to 1.98%. Upon returning to 200 A, HTO declines to 1.24%. In Case 2 (Figure 9), the alkali flow rate steps from 7 to 3.5 L/min during the current downturn. Relative to Case 1, the flow reduction in Case 2 further lowers HTO. After stable 120 A operation, the current and alkali flow rate both return to 200 A and 7 L/min. This stage yields an HTO reduction ranging from approximately 3.2% to 18.7%. In Case 3 (Figure 10), the alkali flow rate profile mirrors Case 2 during the current descent. However, upon the current ramp-up, Case 3 exhibits an even greater HTO decline.

4. Discussion

Lowering the system pressure was found to directly decrease HTO by reducing hydrogen solubility in the electrolyte. At a reduced pressure of 1.0 MPa, less hydrogen dissolves into the KOH solution, and so less dissolved hydrogen can migrate to the oxygen side; as a result, the HTO concentration in the oxygen stream remains lower. Conversely, when pressure is raised back to 1.4 MPa, the increased solubility causes a rapid resurgence of hydrogen impurity, explaining the quick rebound in HTO. This indicates that a moderate pressure reduction can effectively suppress HTO in the short term, although it must be balanced against the energy cost and practicality of pressure changes. Likewise, reducing the alkaline solution flow rate markedly lowers HTO by limiting the convective carryover of dissolved hydrogen. A lower circulation rate (e.g., 3.5 L/min and 7 L/min) means the electrolyte transports less dissolved hydrogen from the cathode to the anode side, thereby decreasing the impurity level in the oxygen output. Additionally, we observed an HTO response delay of approximately 3 to 5 min following abrupt current changes. This inertia is attributable to the system’s gas residence time and the sequential purge and separation delays, which cause HTO to lag behind the current response. Recognizing these delay and inertia effects is important for control: it suggests that predictive strategies are needed to manage HTO spikes before they approach the 2% safety threshold.
Furthermore, the findings presented in this study have direct practical implications for industrial alkaline water electrolysis system operation, particularly regarding maintaining operational safety and efficiency under renewable energy fluctuations. Understanding the dynamics and time delays associated with hydrogen-in-oxygen concentrations enables plant operators to proactively implement control strategies, such as pressure adjustments and optimized electrolyte circulation rates, to maintain gas purity and prevent hazardous conditions. For instance, strategically lowering system pressure or adjusting electrolyte flow during low-load conditions can significantly mitigate impurity accumulation, thereby enhancing the safety and reliability of electrolyzer operation.
Intelligent control and management systems enhance stability and reliability, reduce O&M costs, and improve efficiency in alkaline electrolyzers. Intelligent control is realized through integration of high-precision sensors and advanced controllers for real-time monitoring and regulation of cell operation. Sensors monitor key parameters—temperature, pressure, and liquid level—in real-time, providing accurate and timely data to the control unit. The control unit performs real-time analytics, executes precise control decisions, and dynamically adjusts operating setpoints via embedded algorithms, thereby mitigating human-induced or parameter-driven fluctuations.
A digital-twin model centered on HTO integrates mechanistic and data-driven models to simulate system behavior in real time, predict HTO trends, and support fault diagnosis and control optimization. Jiang Yue [22] developed a digital twin for alkaline electrolyzers leveraging their operational characteristics. By combining high-precision sensors, IoT connectivity, and simulation modeling, the twin provides real-time evaluation of impedance, temperature profiles, power-regulation behavior, and hydrogen-production efficiency. Emphasizing tank temperature as a critical indicator, the model simplifies mechanistic complexity and underpins precise operation and control of electrolysis cells. Building on this, Jiang Yue [23] proposed a four-layer digital-twin architecture—physical, data-acquisition, simulation, and application layers—and detailed its use in fault diagnosis, parameter optimization, and asset-cluster management. They also identified challenges, including data-collection accuracy limitations, incomplete monitoring dimensions, and real-time model-update constraints. The work underscores how digital twins enhance monitoring fidelity and decision timeliness in O&M, offering robust digital tools for large-scale hydrogen-production system optimization.

5. Conclusions

This study constructed a 2 Nm3/h alkaline water electrolysis (AWE) system to evaluate industrial-scale AWE performance under practical operating conditions. Via rigorous experimental design, process analysis, and data comparison, we comprehensively investigated hydrogen-in-oxygen impurity (HTO) dynamics in the 10 kW system during cold start/ramp-up–ramp-down sequences and continuous-load operation. Our findings clearly show that reducing system pressure or electrolyte flow rate significantly decreases HTO, extending beyond results from prior laboratory-scale or model studies. The main findings are as follows:
(1)
During cold start and current ramp sequences, raising the cell current increases gas yield and dilutes impurities—thus reducing HTO—although HTO exhibits significant response delay and inertia.
(2)
Reducing pressure from 1.4 to 1.0 MPa decreases HTO by up to 15%; upon re-pressurization, HTO rebounds rapidly. Maintaining low pressure at low load effectively reduces HTO.
(3)
Under low-load conditions, cutting alkali flow rate from 7 to 3.5 L/min lowers HTO by over 20% versus constant flow; during subsequent high-load recovery, HTO remains suppressed.
This dual-parameter (pressure–alkali flow rate) control provides the quantitative evidence that real-time tuning of these two variables can markedly widen the safe operating window of industrial alkaline water electrolysis (AWE), forming a data-driven basis for purity-constrained predictive control and, ultimately, a lower levelized cost of green hydrogen.

Author Contributions

Conceptualization, S.H. and H.C.; methodology, S.H., W.Z. and S.W.; software, H.C. and S.W.; validation, H.C., S.W. and S.H.; formal analysis, M.C. and H.C.; investigation, M.C. and H.C.; resources, W.Z., D.C., S.H. and X.X.; data curation, H.C., S.H. and S.W.; writing—original draft preparation, S.W. and H.C.; writing—review and editing, S.H., W.Z. and M.C.; visualization, H.C.; supervision, S.H., D.C. and X.X.; project administration, S.H. and D.C.; funding acquisition, S.H. and D.C. All authors have read and agreed to the published version of the manuscript.

Funding

This research was funded by the Guangdong Basic and Applied Basic Research Foundation (2024A1515110095), Song Hu, 100 000; CGN-USTB Joint Research and Development Center for Advanced Energy Materials and Service Safety, Dongfang Chen, 300 000; the Opening Fund from the National Center of Technology Innovation for Fuel Cell (nctifc-sq-2024-101), Song Hu, 250 000; the Fundamental Research Funds for the Central Universities (FRF-TP-22-031A1), Song Hu, 100 000; the Scientific and Technological Innovation Foundation of Foshan, USTB (BK22BE010), Song Hu, 240 000.

Data Availability Statement

The original contributions presented in this study are included in the article. Further inquiries can be directed to the corresponding authors.

Acknowledgments

During the preparation of this manuscript, the authors used ChatGPT o3 for the purposes of language improvement. The authors have reviewed and edited the output and take full responsibility for the content of this publication.

Conflicts of Interest

Authors Shuiyong Wang, Wanxiang Zhao and Mingya Chen were employed by Suzhou Nuclear Power Research Institute Co., Ltd. The remaining authors declare that the research was conducted in the absence of any commercial or financial relationships that could be construed as potential conflicts of interest.

Abbreviations

The following abbreviations are used in this manuscript:
AWEAlkaline water electrolysis
HTOHydrogen-in-oxygen impurity
MPCModel predictive control
PLCProgrammable logic controller
KOHPotassium hydroxide
Nm3/hNormal cubic meter per hour
MPaMegapascal
°CDegrees Celsius
L/minLiters per minute
hHour

References

  1. Liu, P.; Yang, W.; Zhang, J.; Sun, H.; Cui, Z. Prospects for emission reduction technologies under carbon neutral targets. Mod. Chem. Ind. 2021, 41, 6–10. [Google Scholar] [CrossRef]
  2. Li, Y.; Zhang, T.; Ma, J.; Deng, X.; Gu, J.; Yang, F.; Ouyang, M. Study the effect of lye flow rate, temperature, system pressure and different current density on energy consumption in catalyst test and 500W commercial alkaline water electrolysis. Mater. Today Phys. 2022, 22, 100606. [Google Scholar] [CrossRef]
  3. Brauns, J.; Turek, T. Alkaline water electrolysis powered by renewable energy: A review. Processes 2020, 8, 248. [Google Scholar] [CrossRef]
  4. Gu, J.; Guo, B.; Hu, S.; Ding, S.; Zhang, T.; Tian, Z.; Yang, F.; Ouyang, M. Experimental studies on dynamic performance of 250-kW alkaline electrolytic system. J. Power Sources 2024, 592, 233920. [Google Scholar] [CrossRef]
  5. Haug, P.; Koj, M.; Turek, T. Influence of process conditions on gas purity in alkaline water electrolysis. Int. J. Hydrogen Energy 2017, 42, 9406–9418. [Google Scholar] [CrossRef]
  6. Haug, P.; Kreitz, B.; Koj, M.; Turek, T. Process modelling of an alkaline water electrolyzer. Int. J. Hydrogen Energy 2017, 42, 15689–15707. [Google Scholar] [CrossRef]
  7. Trinke, P.; Haug, P.; Brauns, J.; Bensmann, B.; Hanke-Rauschenbach, R.; Turek, T. Hydrogen Crossover in PEM and Alkaline Water Electrolysis: Mechanisms, Direct Comparison and Mitigation Strategies. J. Electrochem. Soc. 2018, 165, F502. [Google Scholar] [CrossRef]
  8. Qi, R.; Gao, X.; Lin, J.; Song, Y.; Wang, J.; Qiu, Y.; Liu, M. Pressure control strategy to extend the loading range of an alkaline electrolysis system. Int. J. Hydrogen Energy 2021, 46, 35997–36011. [Google Scholar] [CrossRef]
  9. Hu, S.; Guo, B.; Ding, S.; Yang, F.; Dang, J.; Liu, B.; Gu, J.; Ma, J.; Ouyang, M. A comprehensive review of alkaline water electrolysis mathematical modeling. Appl. Energy 2022, 327, 120099. [Google Scholar] [CrossRef]
  10. Jang, D.; Cho, H.-S.; Kang, S. Numerical modeling and analysis of the effect of pressure on the performance of an alkaline water electrolysis system. Appl. Energy 2021, 287, 116554. [Google Scholar] [CrossRef]
  11. Ren, Z.; Wang, J.; Yu, Z.; Zhang, C.; Gao, S.; Wang, P. Experimental studies and modeling of a 250-kW alkaline water electrolyzer for hydrogen production. J. Power Sources 2022, 544, 231886. [Google Scholar] [CrossRef]
  12. Kojima, H.; Nagasawa, K.; Todoroki, N.; Ito, Y.; Matsui, T.; Nakajima, R. Influence of renewable energy power fluctuations on water electrolysis for green hydrogen production. Int. J. Hydrogen Energy 2023, 48, 4572–4593. [Google Scholar] [CrossRef]
  13. Ursúa, A.; Martín, I.S.; Barrios, E.L.; Sanchis, P. Stand-alone operation of an alkaline water electrolyser fed by wind and photovoltaic systems. Int. J. Hydrogen Energy 2013, 38, 14952–14967. [Google Scholar] [CrossRef]
  14. Ursúa, A.; Barrios, E.L.; Pascual, J.; Martín, I.S.; Sanchis, P. Integration of commercial alkaline water electrolysers with renewable energies: Limitations and improvements. Int. J. Hydrogen Energy 2016, 41, 12852–12861. [Google Scholar] [CrossRef]
  15. Sharshir, S.W.; Joseph, A.; Elsayad, M.M.; Tareemi, A.A.; Kandeal, A.; Elkadeem, M.R. A review of recent advances in alkaline electrolyzer for green hydrogen production: Performance improvement and applications. Int. J. Hydrogen Energy 2024, 49, 458–488. [Google Scholar] [CrossRef]
  16. Janssen, H.; Bringmann, J.C.; Emonts, B.; Schroeder, V. Safety-related studies on hydrogen production in high-pressure electrolysers. Int. J. Hydrogen Energy 2004, 29, 759–770. [Google Scholar] [CrossRef]
  17. Zhou, Y.; Zhang, H.; Liu, L.; Yuan, F.; Yang, Q.; Liu, B. Effect of electrolyte circulation on hydrogen-in-oxygen in alkaline water electrolysis. Int. J. Hydrogen Energy 2024, 82, 143–149. [Google Scholar] [CrossRef]
  18. Zhao, W.; Xu, C.; Chen, M.; Wang, S.; Yang, L.; Zhang, Y.; Luo, M.; Li, Z.; Wang, Z. Impact of Multiple Inlet and Outlet Structures of Bipolar Plate Channel on the Mass Transport in ALK Electrolyzers. Energies 2025, 18, 2771. [Google Scholar] [CrossRef]
  19. Haoran, C.; Xia, Y.; Wei, W.; Yongzhi, Z.; Bo, Z.; Leiqi, Z. Safety and efficiency problems of hydrogen production from alkaline water electrolyzers driven by renewable energy sources. Int. J. Hydrogen Energy 2024, 54, 700–712. [Google Scholar] [CrossRef]
  20. Hu, S.; Guo, B.; Ding, S.; Tian, Z.; Gu, J.; Yang, H.; Yang, F.; Ouyang, M. Study on the synergistic regulation strategy of load range and electrolysis efficiency of 250 kW alkaline electrolysis system under high-dynamic operation conditions. eTransportation 2024, 19, 100304. [Google Scholar] [CrossRef]
  21. Brauns, J.; Turek, T. Experimental evaluation of dynamic operating concepts for alkaline water electrolyzers powered by renewable energy. Electrochimica Acta 2022, 404, 139715. [Google Scholar] [CrossRef]
  22. Jiang, Y.; Shen, X.; Lu, H.; Zhang, C. Construction and Simulation of Operation Digital Twin Model for Alkaline Water Electrolyzer. Trans. China Electrotech. Soc. 2022, 37, 2897–2908. [Google Scholar] [CrossRef]
  23. Jiang, Y.; Shen, X. Construction and Application of Digital Twin in Hydrogen Production System of Alkaline Water Electrolyzer. High Volt. Eng. 2022, 48, 1673–1683. [Google Scholar] [CrossRef]
Figure 1. Structure of 10 kW alkaline electrolysis water hydrogen-production equipment.
Figure 1. Structure of 10 kW alkaline electrolysis water hydrogen-production equipment.
Processes 13 02517 g001
Figure 2. Simplified diagram of 10 kW alkaline hydrogen-production system. The green arrows in the figure represent hydrogen, the blue arrows represent oxygen, and the orange arrows represent alkali solution.
Figure 2. Simplified diagram of 10 kW alkaline hydrogen-production system. The green arrows in the figure represent hydrogen, the blue arrows represent oxygen, and the orange arrows represent alkali solution.
Processes 13 02517 g002
Figure 3. Dynamic response of HTO concentration from cold start to full load.
Figure 3. Dynamic response of HTO concentration from cold start to full load.
Processes 13 02517 g003
Figure 4. Dynamic response of HTO concentration during current ramp-down (200 A to 120 A) and subsequent ramp-up (120 A to 200 A) at constant pressure (1.4 MPa), temperature (90 °C), and alkaline flow rate (7 L/min).
Figure 4. Dynamic response of HTO concentration during current ramp-down (200 A to 120 A) and subsequent ramp-up (120 A to 200 A) at constant pressure (1.4 MPa), temperature (90 °C), and alkaline flow rate (7 L/min).
Processes 13 02517 g004
Figure 5. The influence of different currents on HTO under constant pressure of 1.4 MPa, alkali flow rate of 3.5 L/min, and temperature of 85 °C. Control scenario at constant pressure (1.4 MPa), demonstrating baseline hydrogen-in-oxygen dynamics during current load transitions.
Figure 5. The influence of different currents on HTO under constant pressure of 1.4 MPa, alkali flow rate of 3.5 L/min, and temperature of 85 °C. Control scenario at constant pressure (1.4 MPa), demonstrating baseline hydrogen-in-oxygen dynamics during current load transitions.
Processes 13 02517 g005
Figure 6. The influence of different currents and pressures on HTO at a constant alkali flow rate of 3.5 L/min and a temperature of 85 °C, with pressure settings ranging across 1.4–1–1.4 MPa. Scenario illustrating simultaneous variation in system pressure with load: system pressure decreases as current load decreases, and increases back to initial conditions as load recovers.
Figure 6. The influence of different currents and pressures on HTO at a constant alkali flow rate of 3.5 L/min and a temperature of 85 °C, with pressure settings ranging across 1.4–1–1.4 MPa. Scenario illustrating simultaneous variation in system pressure with load: system pressure decreases as current load decreases, and increases back to initial conditions as load recovers.
Processes 13 02517 g006
Figure 7. The influence of different currents and pressures on HTO at a constant alkali flow rate of 3.5 L/min and a temperature of 85 °C, with pressure settings of 1.4–1–1 MPa. Scenario demonstrating pressure adjustments correlated with load reduction: system pressure decreases when current load decreases and remains constant during subsequent load recovery.
Figure 7. The influence of different currents and pressures on HTO at a constant alkali flow rate of 3.5 L/min and a temperature of 85 °C, with pressure settings of 1.4–1–1 MPa. Scenario demonstrating pressure adjustments correlated with load reduction: system pressure decreases when current load decreases and remains constant during subsequent load recovery.
Processes 13 02517 g007
Figure 8. The influence of different currents on HTO under constant pressure of 1.4 MPa, alkali flow rate of 7 L/min, and temperature of 85 °C. Control scenario at constant alkali flow rate, showing baseline hydrogen-in-oxygen behavior during load variations.
Figure 8. The influence of different currents on HTO under constant pressure of 1.4 MPa, alkali flow rate of 7 L/min, and temperature of 85 °C. Control scenario at constant alkali flow rate, showing baseline hydrogen-in-oxygen behavior during load variations.
Processes 13 02517 g008
Figure 9. The influence of different currents and alkaline solution flow rates on HTO under constant pressure of 1.4 MPa and temperature of 85 °C, with alkali flow rate set at 7–3.5–7 L/min. Scenario showing simultaneous adjustment of alkali flow rate with load variations: flow rate decreases during current load reduction and returns to initial conditions upon load increase.
Figure 9. The influence of different currents and alkaline solution flow rates on HTO under constant pressure of 1.4 MPa and temperature of 85 °C, with alkali flow rate set at 7–3.5–7 L/min. Scenario showing simultaneous adjustment of alkali flow rate with load variations: flow rate decreases during current load reduction and returns to initial conditions upon load increase.
Processes 13 02517 g009
Figure 10. The influence of different currents and alkaline solution flow rates on HTO under constant pressure of 1.4 MPa and temperature of 85 °C, with alkali flow rate set at 7–3.5–3.5 L/min. Scenario demonstrating alkali flow rate adjustment only during load reduction: flow rate decreases when load decreases and remains unchanged during the subsequent load increase.
Figure 10. The influence of different currents and alkaline solution flow rates on HTO under constant pressure of 1.4 MPa and temperature of 85 °C, with alkali flow rate set at 7–3.5–3.5 L/min. Scenario demonstrating alkali flow rate adjustment only during load reduction: flow rate decreases when load decreases and remains unchanged during the subsequent load increase.
Processes 13 02517 g010
Disclaimer/Publisher’s Note: The statements, opinions and data contained in all publications are solely those of the individual author(s) and contributor(s) and not of MDPI and/or the editor(s). MDPI and/or the editor(s) disclaim responsibility for any injury to people or property resulting from any ideas, methods, instructions or products referred to in the content.

Share and Cite

MDPI and ACS Style

Wang, S.; Chen, H.; Hu, S.; Zhao, W.; Chen, M.; Chen, D.; Xu, X. Characterization of Hydrogen-in-Oxygen Changes in Alkaline Electrolysis Hydrogen Production System and Analysis of Influencing Factors. Processes 2025, 13, 2517. https://doi.org/10.3390/pr13082517

AMA Style

Wang S, Chen H, Hu S, Zhao W, Chen M, Chen D, Xu X. Characterization of Hydrogen-in-Oxygen Changes in Alkaline Electrolysis Hydrogen Production System and Analysis of Influencing Factors. Processes. 2025; 13(8):2517. https://doi.org/10.3390/pr13082517

Chicago/Turabian Style

Wang, Shuiyong, Huabin Chen, Song Hu, Wanxiang Zhao, Mingya Chen, Dongfang Chen, and Xiaoming Xu. 2025. "Characterization of Hydrogen-in-Oxygen Changes in Alkaline Electrolysis Hydrogen Production System and Analysis of Influencing Factors" Processes 13, no. 8: 2517. https://doi.org/10.3390/pr13082517

APA Style

Wang, S., Chen, H., Hu, S., Zhao, W., Chen, M., Chen, D., & Xu, X. (2025). Characterization of Hydrogen-in-Oxygen Changes in Alkaline Electrolysis Hydrogen Production System and Analysis of Influencing Factors. Processes, 13(8), 2517. https://doi.org/10.3390/pr13082517

Note that from the first issue of 2016, this journal uses article numbers instead of page numbers. See further details here.

Article Metrics

Back to TopTop