Abstract
This article provides an overview of low-permeability reservoir development technologies, including carbon dioxide injection, nitrogen injection, air injection, natural gas injection, water injection (unstable water injection, advanced water injection), water–gas alternating injection, and hydraulic fracturing (hydraulic fracturing, repeated fracturing). These technologies have their own strengths and weaknesses in improving crude oil recovery and are significantly constrained by reservoir characteristics. This article uses specific cases such as the increase in CO2 injection pressure in Yaoyingtai oilfield, which significantly improves recovery rate, nitrogen injection in Zhongyuan oilfield, which increases adjacent well production and single-well recovery rate, air injection in a certain block of Changqing oilfield, natural gas injection in Yushulin oilfield, which has the best effect under specific pressure, as well as the effects and problems of water injection technology, the increasing production effect, and potential risks of hydraulic fracturing, to deeply analyze the application effectiveness and influencing factors of various technologies. Through comparative analysis, it can be concluded that CO2 injection has corrosion and gas channeling problems, nitrogen injection is limited by solubility, oxygen consumption in air injection is affected by temperature and pressure, natural gas injection is constrained by reservoir structure, water injection technology is unstable and difficult to determine timings, and fracturing technology faces difficulties in energy replenishment and time determination. Therefore, optimizing and applying these technologies rationally is of great significance for the efficient development of low-permeability reservoirs.
1. Introduction
Since the beginning of the 21st century, the whole society has entered a new period of development. With the rapid development of the economy, the demand for energy in various industries continues to rise. With the advent of the unconventional development era, conventional technology makes it difficult to achieve the strategic, sustainable, and effective development of oil fields. To meet the requirements of social and economic development for oil consumption, it is necessary to conduct research and analysis on the extraction technology on the existing basis, actively explore more effective extraction methods based on the characteristics and development status of low-permeability oil fields, and to take effective measures to develop functional and economically effective recovery rate improvement technologies, consolidate the stable production foundation of oil fields, and achieve the sustainable and stable development of oil fields [1]. At present, many oil-producing countries such as Russia, the United States, Canada, etc., have discovered many low-permeability oil reservoirs [2], The proportion of low-efficiency reserves with thin layers and low permeability in the proven oil reservoirs located in the West Siberian region of Russia exceeds 50% [3]. China is rich in low-permeability oil and gas reservoirs, which are mainly distributed in Ordos Basin, Songliao Basin, Sichuan Basin, and other regions. The permeability range is 0.1–50 mD, the porosity range is 4–20%, and the reservoir depth is 1500–4000 m [4]. For example, Ansai oilfield is in the Ordos Basin. Its permeability ranges from 0.3 to 50 mD (partially ultra-low), and the porosity is 8–16%. It mostly uses water flooding, CO2 flooding, and fracturing technologies for development. Blocks such as Lengjiabao in the Liaohe Basin have a permeability of 5–30 mD and a porosity of 12–20%. In 2015, the China Chemical Trade Journal reported that China’s low-permeability oil reserves were approximately 5 billion tons, of which 2 billion tons had been developed and 3 billion tons had not been utilized, with a utilization rate of about 40%. The proportion of newly discovered low-grade reserves in newly discovered reserves exceeded 68% [5]. As of the end of 2002, the reserves of low-permeability petroleum resources in China were 210.7 × 108 tons, accounting for 22.4% of the total resources. Among them, the proven unused reserves accounted for more than 50% of the total proven reserves [6]. At present, the development of low-permeability oil reservoirs faces problems such as insufficient research on permeability mechanisms, low accuracy in reservoir characterization, and strong sensitivity to reservoir damage [7]. As mentioned in the article, the proportion of low-permeability and inefficient reserves in the western Siberian region of Russia exceeds 50%, while the utilization rate of low-permeability oil reserves in China is only about 40%. These data indicate that there is significant room for improvement in basic research and actual development effectiveness.
This review comprehensively covers various low-permeability reservoir development technologies such as carbon dioxide injection, nitrogen injection, air injection, natural gas injection, unstable water injection, advanced water injection, water–gas alternation injection, hydraulic fracturing, and repeated fracturing. Their characteristics are shown in Table 1.
Table 1.
Characteristics of various technologies.
Not only did it elaborate on the principles of each technology, such as the ability of carbon dioxide injection to reduce crude oil viscosity and interfacial tension, but it also deeply analyzed its application effects and influencing factors through many specific experiments and practical cases. Various countries are committed to exploring effective development strategies, and technologies such as carbon dioxide injection, nitrogen injection, air injection, natural gas injection, water injection (unstable water injection, advanced water injection), water–gas alternation injection, and hydraulic fracturing (hydraulic fracturing, repeated fracturing) have emerged. For example, Guo Qingan et al. [8]. conducted carbon dioxide injection experiments on the Yaoyingtai oilfield, demonstrating the changes in recovery rates under different pressures. This detailed case analysis allows readers to gain a deeper understanding of the practical application of the technology, which is more in-depth than some reviews that only briefly mention the technology. These technologies affect oil recovery efficiency to varying degrees, and their application effects vary depending on the characteristics of the reservoir. Thoroughly analyzing the status and potential of these technologies is of great significance for promoting efficient development of low-permeability oil reservoirs and ensuring stable energy supply. The advantages and disadvantages of various technologies are shown in Table 2.
Table 2.
Comparison of advantages and disadvantages of low-permeability reservoir development technologies (covering gas injection, water injection, and fracturing technologies).
2. Gas Injection
The aim is to improve the fluidity of crude oil or change the reservoir pressure by injecting gas (such as CO2, natural gas or nitrogen). The advantage is to improve crude oil recovery, especially for light crude oil, carbon sequestration can be realized by CO2 injection, which has environmental benefits. The disadvantage is high cost, especially for gas compression and transportation, which requires high geological conditions of the reservoir and may lead to premature gas breakthrough [9].
The gas displacement technology for low-permeability reservoirs includes carbon dioxide displacement, nitrogen displacement, air displacement, and natural gas displacement. Carbon dioxide injection can reduce crude oil viscosity, interfacial tension, and improve recovery efficiency. The principle of nitrogen injection includes non-miscible injection and miscible injection. Air injection is the reaction between crude oil and oxygen, generating heat to reduce viscosity. Natural gas injection can reduce the injection pressure difference and maintain formation pressure.
2.1. Injecting CO2 for Oil Recovery
The abundance and permeability of low-permeability reservoirs are relatively low, and the degree of exploitation is low. Water injection exploitation has been increasingly limited by various factors. Injecting CO2 into the oil reservoir can reduce the viscosity of crude oil and increase its fluidity; reduce the interfacial tension of crude oil; weaken displacement resistance; and thereby improve the crude oil recovery rate.
Guo Qingan et al. [8] conducted thin tube experiments on heavy oil in the Yaoyingtai low-porosity and ultra-low permeability oilfield under formation temperatures of 89.7 °C, with pressure points of 15, 20, 25, 30, and 35 MPa. The recovery rates after CO2 injection were 51.90%, 65.09%, 85.98%, 91.21%, and 92.56%. The results of testing the variation in recovery rate with different injection pore volumes under different displacement pressures are shown in Figure 1. The simulation results show that the higher the injection pressure of CO2, the better the oil displacement effect and the more significant the increase in recovery rate. This indicates that the injection pressure of CO2 is one of the key factors affecting its oil displacement efficiency, providing important pressure parameter references for the application of CO2 oil displacement technology in similar reservoirs. The relationship curve between CO2 injection pore volume and recovery rate under different pressure conditions is shown in Figure 1.
Figure 1.
Relationship between pore volume and recovery rate of CO2 injection at different pressures in Yaoyingtai oilfield (temperature: 89.7 °C, pressures: 15–35 MPa).
Liu Renjing et al. [10] used numerical simulation methods to investigate the effect of CO2 injection rate on oil displacement in the ultra-low permeability shallow reservoir of the Chuan46 well area in Yanchang oilfield. Designing four different CO2 injection volumes of 0.1, 0.2, 0.3, and 0.4 PV, the results show that the water content decreases in a “funnel” shape during the CO2 injection stage, and the daily oil production gradually increases. CO2 injection can improve production efficiency, and the larger the injection plug of CO2, the greater the “funnel-shaped” decrease, and the more obvious the oil increase effect. Meanwhile, daily oil production is gradually increasing. This indicates that CO2 injection can effectively reduce water content, improve oil production efficiency, and the larger the injection amount, the more prominent the improvement effect. It provides a basis for determining a reasonable CO2 injection amount and helps optimize the CO2 injection plan for this reservoir. The water content curve under different injection volumes is shown in Figure 2.
Figure 2.
Water content curve under different CO2 injection volumes in Chuan46 well area, Yanchang oilfield (injection volumes: 0.1–0.4 PV).
Luo Ruilan et al. [11] investigated the CO2 injection situation in the Lengjiabao and Gaosheng heavy oil blocks of Liaohe oilfield using a numerical simulation method. The results showed that with the increase in crude oil viscosity, the CO2 injection efficiency significantly improved, while the oil-to-gas ratio gradually decreased. Therefore, it can be concluded that CO2 injection can be used in heavy oil blocks. In addition, the authors mentioned that reservoirs with low natural productivity and oil saturations of 45–50% can be treated with CO2 injection. Based on laboratory research, LiQin et al. [12] proposed a scheme for implementing CO2 miscible injection in thin, interbedded low-permeability reservoirs through reservoir numerical simulation and laboratory experiments. Afterward, a long core oil displacement experiment was conducted at the Gao 89-1 reservoir, and the displacement effects of water injection and carbon dioxide mixed-phase injection were preliminarily compared. As the research progressed, water injection parameters were continuously optimized through CMG simulation software combination modeling. The results showed that the oil recovery of the Gao 89-1 reservoir increased by 31 to 42 tons after using carbon dioxide miscible injection. Since Whorton et al. [13] published the first patent for CO2 injection, the process of increasing oil recovery (EOR) by injecting CO2 has rapidly developed. In April 2010, according to a survey by the American Oil and Gas Journal on global EOR, CO2 injection and steam injection were widely used in EOR technology, with CO2 injection accounting for 17% of the total oil production and CO2 miscible injection accounting for 37% of the total number of EOR projects [14]. In summary, CO2 can effectively improve crude oil recovery by promoting crude oil expansion, reducing crude oil viscosity, dissolving gas injection, and lowering interfacial tension. However, the reaction between CO2 and water produces carbonic acid, which has strong corrosiveness to equipment such as wellbores and pipelines. Early gas breakthroughs, high one-time investments in technology, high minimum mixed-phase pressures, and small sweep coefficients are all bottlenecks that restrict the comprehensive promotion of this technology, requiring more in-depth research.
2.2. Nitrogen Injection for Oil Displacement
The principles of nitrogen injection to improve crude oil recovery in low-permeability reservoirs mainly include non-miscible injection, miscible injection, gas cap elastic injection, etc. Due to the lower density of nitrogen gas compared to common oil displacement gases, nitrogen gas displacement has significant advantages in the gravity-driven development of condensate gas reservoirs and gas cap reservoirs. Based on indoor experimental research and technical economic evaluation, Liu Ping et al. [15] conducted a single well nitrogen injection test at the Wei 42-14 well site in the deep ultra-low permeability reservoir of Zhongyuan oilfield. After injecting gas for one and a half months, the daily oil production of Wei 42-8 and Pu 82 wells increased from 5.1 tons to 7.8 tons, with a production increase of 53%. The numerical simulation prediction results show that nitrogen injection for oil recovery in a single well can increase the recovery rate of low-permeability reservoirs by 8.0%. Zhao Yongpan et al. [16] investigated the effect of nitrogen injection on oil recovery. After conducting conventional water injection experiments using degassed crude oil and naturally exposed sandstone from the Chang 6 reservoir of the Ansai oil field in ultra-low permeability reservoirs, three gas injection methods were used, namely, direct gas injection, water–gas alternation, and pulse gas injection. The oil recovery efficiencies were 2.86%, 16.37%, and 15.94%, respectively. The water–gas alternation method had the highest nitrogen recovery rate after water injection of the three gas injection methods. The micro-oil displacement efficiency of nitrogen injection after water injection is shown in Table 3. Table 3 presents the microscopic oil displacement efficiency data of nitrogen injection after water injection in the Chang 6 reservoir of Ansai oilfield. The effects of different injection methods vary significantly. The oil displacement efficiency after water injection followed by gas injection is only 2.86%. This is because the interaction between nitrogen and crude oil is weak, and it is difficult to displace the dispersed crude oil. The efficiency of water-alternating-gas injection after water injection reaches 16.37%. Water suppresses gas channeling, and the two work synergistically to improve the oil displacement effect. The efficiency of pulse gas injection after water injection is 15.94%, which relies on pressure fluctuations for oil displacement, but its effect is slightly inferior to that of water-alternating-gas injection. The core parameters also affect oil displacement efficiency. Although higher porosity and permeability are beneficial for fluid flow, their relationship with the oil displacement efficiency is complex. The oil saturation also does not have a simple positive correlation with oil displacement efficiency. These data are of great significance for actual development as they can guide the optimization of injection schemes and evaluate the potential for enhancing oil recovery.
Table 3.
Microscopic oil displacement efficiency of nitrogen injection after water injection in Chang 6 reservoir of Ansai oilfield (involving different injection methods, oil displacement efficiencies: 2.86–16.37%).
Ren Bo et al. [17] conducted three displacement experiments using a long thin tube model, with nitrogen pressures of 12.02 MPa, 15.02 MPa, and 18.02 MPa and oil displacement efficiencies of 32.6%, 34.3%, and 36.8%, respectively. The experimental pressure is significantly different from the pressure at which the minimum miscible phase is reached, which means that under the current formation conditions (56 °C, 12 MPa), it is impossible to achieve nitrogen miscible oil displacement. Pamax Exploration and Development Company, located in Mexico, has established the world’s largest nitrogen production and transportation facility in Altasta, Campeche, Mexico. Nitrogen is injected into various oil wells in Cantarel to maintain the required pressure level of the reservoir. Since its initial production, it has produced 11.06 × 108 m3 (7 billion barrels) of crude oil with a relative density of 0.9248, accounting for 40% of Mexico’s total oil production. As of the end of 2001, the oil production in Cantarel has increased to 31.6 × 104 m3/d, and the extraction effect is significant [18]. V. S. Rios et al. conducted numerical simulations of steam and nitrogen injection in onshore oil fields in Brazil and analyzed the optimal time for nitrogen injection. The simulation results of nitrogen injection after steam injection show that the cumulative oil production is 3.2% higher than that of traditional processes.
Overall, nitrogen gas has a good oil displacement effect and a high recovery rate of crude oil. In addition, under the same conditions, the compression factor of nitrogen gas is higher than that of carbon dioxide and natural gas, and it is also very effective in supplementing the energy of the formation. However, the solubility of nitrogen in crude oil is not high, and its effect on reducing the interfacial tension of crude oil is limited.
2.3. Air Oil Drive
Low-permeability reservoirs have extremely strong gas absorption capacity. Crude oil undergoes a low-temperature oxidation reaction with oxygen in the air, and oxygen is consumed to form nitrogen gas drive, while generating CO2 and a large amount of heat; its heat causes the reservoir temperature to rise to 200 °C, and the volume of crude oil expands; CO2 dissolves in crude oil, reducing its viscosity. Air injection has attracted considerable attention from scholars both domestically and internationally.
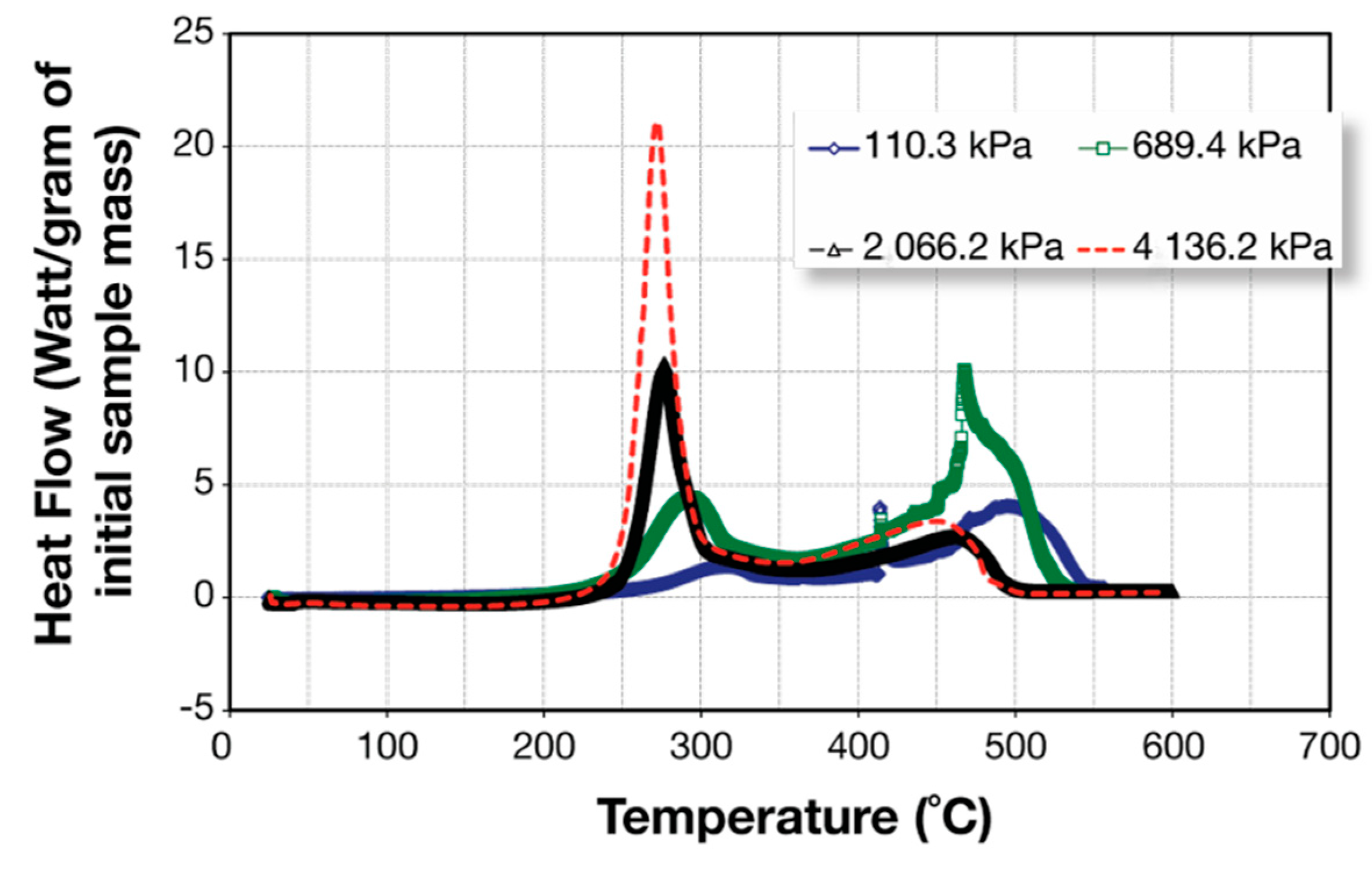
Wang Jiexiang et al. [19] investigated the influencing factors of air injection in blocks 234-47 of the Ante low-permeability reservoir in Changqing oilfield. Oil samples were obtained from the An234-47 block of Changqing oilfield, and a study on static oxidation with air injection was conducted. The results showed that the oxidation reaction rate increased with increasing pressure, and the oxidation reaction could proceed completely at a pressure of 16.8 MPa; the oxidation reaction rate also increases significantly with the increase in temperature. When the temperature reaches 75 °C, the oxidation reaction proceeds more completely, and there is currently a good harvesting effect. Jiang Youwei et al. [20] conducted numerical simulation studies on actual data from five well groups in a certain oil reservoir, studying the changes in the temperature field, nitrogen saturation field, and carbon dioxide saturation field when air injection was set to 2520 days. The results show that the range of displacement sweeps from large to small in nitrogen, carbon dioxide, and temperature, and the maximum reservoir temperature is about 200 °C. The subsequent prediction results of air injection, nitrogen injection, and water injection development showed that the recovery rates of air injection were 21.5%, nitrogen injection was 15.2%, and water injection was 10.6%, indicating significant oil recovery effects of air injection. Li et al. [21] studied the effect of pressure on low-temperature oxidation of crude oil injected with air. When the pressure is 110.3 kPa, two temperature regions of 270–330 °C and 400–500 °C show low exothermic peaks. The highest exothermic peak occurs at a pressure of 689.4 kPa. When the pressure increases to 2066.2 kPa and 4136.2 kPa, there is a low exothermic peak in the range of 250–300 °C. Increasing the pressure within a certain temperature range has a significant promoting effect on air injection and can effectively improve the recovery rate. The PDSC curves of medium oil E in air environments under different pressures are shown in Figure 3.
Figure 3.
PDSC curve of medium oil E in air environment under different pressures in a block of Changqing oilfield (pressures: 110.3−4136.2 kPa).
Sarma et al. [22] compared the effectiveness of reservoir oil and oil sand air injection, and the results showed that when reservoir oil undergoes oxidation, the exothermic peak appears at around 250 °C. When the temperature is between 260 and 265 °C, the mass loss can reach 95%. The obvious exothermic phenomenon occurs when the oil sand temperature is between 200 and 340 °C and 360 and 450 °C, and the mass loss is 80–90% at 450 °C. Sarma et al. believed that due to the adsorption of oil in sand, it is difficult to react, and the parts that do not participate in the reaction need to be reacted under higher temperature conditions.
Under certain conditions, the recovery rate of low-permeability oil reservoirs can be doubled by air injection development compared to water injection development. With the continuous advancement of low-permeability oil field development technology, the prospect of air drive production is promising. However, the oxygen consumption rate of air injection is greatly affected by temperature and pressure, and problems such as deterioration of crude oil properties still need to be studied and solved.
2.4. Natural Gas Driven Oil Recovery
For low-permeability reservoirs with difficulty in water injection and mid- to late-stage reservoirs with high water content, natural gas injection can significantly reduce the injection pressure difference and maintain good formation pressure during the gas injection period.
Li Mengtao et al. [23] studied the effect of natural gas plug size on the recovery rate of low-permeability oil reservoirs. Using long core injection technology experiments, gas injections and then water injections were carried out at initial saturation. When the natural gas was 0.1 PV, 0.2 PV, 0.3 PV, 0.4 PV, 0.5 PV, 0.6 PV, and 1.0 PV, the oil recovery rates were 50.2%, 53.4%, 56.9%, 61.1%, 63.0%, 64.1%, and 64.4%, respectively. Before the natural gas slug reaches 0.5 PV, the recovery rate increases significantly with the increase in the natural gas slug. When the natural gas slug exceeds 0.5 PV, the increase in oil displacement efficiency decreases. Luo Xianqiang et al. [24] conducted core displacement experiments on the core of the Yushulin oilfield using a one-injection production method. The PV values injected with natural gas at pressures of 15 MPa, 20 MPa, 25 MPa, 30 MPa, and 35 MPa are 0.4 PV, 0.35 PV, 0.45 PV, 0.47 PV, and 0.46 PV, respectively, exhibiting non-miscible oil displacement characteristics. When the pressure rises to 25 MPa, the increase in recovery rate slows down. The authors believed that given the current geological conditions, the best recovery effect is achieved when the pressure is raised to 25 MPa. Zhao Yanqin et al. [25] selected a batch of target units suitable for natural gas injection from 62 low-permeability reservoirs in Zhongyuan oilfield and analyzed the influencing factors of natural gas injection using the black oil model of Canadian CMG numerical simulation software. The results indicate that the higher the formation pressure during natural gas injection, the more significant the increase in recovery rate; the stronger the heterogeneity of the reservoir, the lower the oil displacement efficiency; the higher the ratio of dissolved gas to oil in crude oil, the better the gas injection recovery effect; and the lower the viscosity of underground crude oil, the higher the recovery rate. Li Xuesong et al. [26] conducted a pilot experiment using nitrogen injection in two wells of the Wen88 block and based on the practical data obtained from nitrogen injection in the experiment, implemented natural gas injection in the Wen88 block of deep low-permeability reservoir Wennan oilfield to explore its technical feasibility. The results showed that the oil recovery rate of the block was effectively improved under the implementation of natural gas injection. In foreign countries, the technology of increasing oil recovery by injecting natural gas has been studied as early as the 1950s. By the 1980s, the application of gas injection mixed-phase and non-mixed phase oil displacement technology in oil extraction technology was widespread and had good returns. According to the data, the recovery rate of old oil fields has increased by about 20% after implementing natural gas injection. Currently, natural gas injection technology plays an important role in foreign gas injection processes [27,28].
In general, in low-permeability reservoirs where water cannot be injected or the development effect of water injection is poor, gas injection can be used. Among them, natural gas injection is the best choice for improving development effect. However, natural gas injection is generally more suitable for reservoirs with high comprehensive evaluation scores and simple structures and is easily affected by factors such as gas cap and edge water energy in the reservoir. The applicability and advantages and disadvantages of CO2 injection for oil recovery, nitrogen injection for oil recovery, air injection for oil recovery, and natural gas injection for oil recovery are shown in Table 4.
Table 4.
Comparison of applicability, advantages and disadvantages of four gas injection oil displacement methods (Including CO2, nitrogen, air, and natural gas oil displacement).
In low-permeability reservoir development, gas injection for oil displacement is important. Each method has pros and cons.
CO2 injection is versatile, reducing viscosity and enhancing recovery, but has issues like safety, corrosion, and high costs. Nitrogen injections are feasible in some reservoirs and safe, yet their low solubility limits recovery improvement. Air injections have a wide gas source and low cost but have a corrosion risk and strict parameter requirements. Natural gas injection is promising in heavy-oil reservoirs but is limited by gas supply and safety.
In practice, we must consider factors like reservoir geology and costs to choose or combine methods for efficient development.
3. Water Injection for Oil Recovery
Water injection technology is designed to maintain reservoir pressure and displace crude oil by injecting water into the reservoir, to improve crude oil recovery, especially in the case of insufficient natural energy (such as natural water drive or gas cap drive). Its advantages are mature technology, low cost, and wide applicability. Its disadvantages are that it is prone to water channeling and has high requirements for water quality [29]. The heterogeneity of low-permeability reservoirs limits water injection, and unstable water injection can be achieved by changing the injection method of the water injection well group to establish an unstable pressure drop and promote oil recovery in the unaffected areas. Advanced water injection can quickly establish an effective pressure displacement system, reducing the damage to pore structure and permeability caused by the decrease in formation pressure.
3.1. Unstable Water Injection for Oil Recovery
The heterogeneity of low-permeability reservoirs leads to different permeabilities. In the process of water injection development, the injected water waves are not easily affected by the relatively low-permeability oil layers, which limits water injection and affects the recovery rate of heterogeneous reservoirs. The principle of unstable water injection is to alternately change the injection method of the water injection well group, establish an unstable pressure drop in the oil reservoir, and promote the exploration of reservoirs, zones, and sections that are not affected by water waves, thereby effectively improving the oil recovery rate.
Zhang Guohui [30] conducted unstable water injection experiments on six core samples from the YH reservoir and six core samples from the BB reservoir. The YH core stopped injection when water was found, and the oil displacement efficiency increased by 56.20% and 34.73%, with an average increase of 45.47%; stop injection with a moisture content of 70%, increase by 13.34% and 19.59% with an average of 16.47%; stop injection with a moisture content of 90%, increase by 7.54% and 7.29%, with an average of 7.41%. When water was found in the BB core, the injection was stopped, and the oil displacement efficiency increased by 28.18% and 45.24%, with an average of 36.71%; stop injection with a moisture content of 70%, increase by 11.16% and 12.16%, with an average of 11.66%; stop injection with a moisture content of 90%, increase by 1.48% and 2.65%, with an average of 2.07%. When water was found in the BB core, injection was stopped, and the oil displacement efficiency increased by 28.18% and 45.24%, with an average of 36.71%; stop injection with a moisture content of 70%, increase by 11.16% and 12.16%, with an average of 11.66%; stop injection with a moisture content of 90%, increase by 1.48% and 2.65%, with an average of 2.07%. The final oil displacement efficiency of YH and BB reservoirs has significantly improved compared to before the injection was stopped, and the added value in the YH area is higher than that in the BB area. Yang Xiaopeng et al. [31] implemented unstable water injection for oil recovery in Zone B of the X1 reservoir. By changing the water injection amount and pressure periodically, they improved the permeability and enhanced the water recovery efficiency. At present, a 15-well group with alternating strong and weak water injection with a half cycle of 15 days has been implemented, and the effect is good according to the dynamic analysis of the production outcomes.
Compared to other production methods for heterogeneous low-permeability reservoirs, unstable water injection production is easier to operate, requires less investment, and has significant effects. However, issues such as unstable initial production during mining still need to be addressed.
3.2. Advanced Water Injection
By conducting advanced water injection into low-permeability reservoirs, an effective pressure displacement system can be quickly established, greatly improving oil recovery efficiency. At the same time, advanced water injection reduces the damage to pore structure and permeability caused by the decrease in formation pressure, which has been extensively studied in recent years.
Hongwu Xu et al. [32]. adopted a synchronous water injection method in the production block of Sulun Nur oilfield, which was put into operation 6 months later. This reflects the problems of low single-well production, low oil recovery intensity, low oil production rate, fast production reduction rate, fast formation pressure drops, and a high proportion of low-efficiency wells in the early stage of production (Table 2), and the development effect is relatively poor. Through advanced water injection development, the injection production relationship between oil wells and water wells has been established, with an initial increase in single well production and a decrease in initial decline, resulting in improved development efficiency. Various issues in the early stages of production are shown in Table 5.
Table 5.
Basic data statistics of some blocks in Sulun Nur oilfield (involving parameters such as reserve abundance and permeability).
Anna [33] simulated the advanced water injection scheme for the Triassic ultra-low permeability reservoir in the Ordos Basin. The simulation results showed that the average initial production capacity of the advanced water injection block A reservoir was 3.65 t/d, while the average initial production capacity of the non-advanced water injection block B reservoir was 2.98 t/d. The initial production capacity of oil wells using advanced water injection technology was significantly improved. The optimal cumulative advance water injection volume is 5000 m3 to 8000 m3, with an average initial production capacity of 3.87 t per well currently. Zhang Bo et al. [34] used a combination of synchronous injection and advanced water injection. After 5 months of production, the rate of oil recovery decreased from 0.65 t/d to 0.49 t/d, and crude oil production decreased by about 30%. However, after delaying water injection for 2–6 months, the oil production of the well decreased from 0.4 t/m to 0.32 t/m, a reduction of about 50% in oil production. In summary, compared with the delayed water injection method, the overall production decline in the oil well is significantly reduced using a combination of advanced and synchronous water injection. As the water injection intensity increases, the water injection time will become shorter. At the same time, experiments have shown that the unit output is directly proportional to the injection volume. A water injection period of 3 to 6 months is the best time to achieve high economic benefits. Zhu Shengli et al. [35] implemented advanced water injection production in the Wu 410 area of Wuqi oilfield. The on-site practice results showed that compared with synchronous water injection, the rate of formation pressure drop was relatively slow in the advanced water injection method, and the formation pressure of the oil well remained at a high level, The longer the fracturing advanced water injection time, the higher the single-well production of the oil. The timing of advance water injection is 4–6 months. With the advanced water injection volume maintained at 2500–3500 m3, the horizontal recovery of formation pressure can reach more than 100%. This reflects the advantages of advanced water injection in maintaining formation pressure and increasing oil well production, providing a practical reference for determining reasonable advanced water injection time and amount. The pressure variation curves of oil wells in the Wu 401 area at different production times are shown in Figure 4.
Figure 4.
Pressure variation curves of oil wells in Wu 401 area of Wuqi oilfield at different production times (comparison between advanced water injection and synchronous water injection).
Y. Bigno et al. conducted a study on the development of low-permeability carbonate reservoirs using multi-branch well water injections. The research results showed that theoretically, 97% of movable crude oil can be extracted by adopting advanced water injection. S. V. Kolbikov et al. studied the degree of improvement in the recovery rate of the Koagalym reservoir under optimal water-drive pressure conditions and proposed three advanced water injection production schemes. The results showed that after implementing advanced water injection production, the oil recovery rate of the reservoir was significantly accelerated, and the recovery degree was greatly improved. Advanced water injection can increase oil well production, with a small initial decline and a long stable production period. It not only meets the needs of new oil field development design, but also effectively adjusts the development plan of old oil fields. The key to maintaining pressure in low-permeability oil fields is the timing of advance water injection; therefore, accurately calculating the reasonable advance water injection time is the focus of many scholars’ research [36].
4. Water–Gas Alternation Oil Displacement
Water–gas alternation injection (WAG) is a combination of two traditional oil recovery methods, water injection and gas injection, which has great potential in secondary and tertiary oil recovery. Compared to pure water injection and gas injection, water–gas alternation injection has a smaller relative mobility, which to some extent solves the problem of water and gas channeling.
Zhou Xingze et al. [37] studied the effect of water–gas alternation injection on crude oil recovery in different states. Through experiments, they found that as the injection pressure increases, the injection capacity of the water–gas alternation injection drive increases, and the gas drive effect is good (even reaching mixed phase), resulting in improved oil recovery efficiency; The final oil recovery efficiency of CO2 injection and water–gas alternation injection in the ultra-low permeability reservoir of Block A of Ansai oilfield is relatively high, while the oil recovery efficiency of water injection is low. Water–gas alternation injection is effective at high pressure, a reasonable injection rate, and cyclic injection of plugs. Under the conditions of 2 PV and a gas/water ratio of 1:1, it is better than CO2 injection, which can slow down gas breakthrough, shortens the production cycle, reduces CO2 consumption, and lowers development costs. Zhao Yongpan et al. [16] designed a core (No. 2) gas–water alternation experiment to study the injection and production characteristics of water alternation after water injection in ultra-low permeability reservoirs. The gas/liquid ratio of the experiment was 1:1, with a large plug of 0.1 PV for nitrogen and water, and an injection flow rate of 0.05 mL/min. A total of five water–gas alternations were carried out, and the injection pressure in the initial stage of gas–water alternations was much lower than the injection pressure. During the first four alternations, the injection pressure remained relatively stable, with an average injection pressure gradient of 0.53 MPa/cm, which is 0.7 times the injection pressure gradient. The recovery rate was high in the first four cycles, and the increase in recovery rate after the water injection increased to 15.34%. During the 5th cycle, the injection pressure gradient began to increase sharply, but the change in recovery rate was not significant. During the experiment, it was also concluded from the gas/liquid ratio curve that the alternating injection of water and gas can effectively suppress gas channeling. The physical properties of ultra-low permeability reservoirs are poor, and the effect of water injection development is not ideal. To study the effect of CO2 water–gas alternation injection in the DC block, Yu Chenxiao et al. [38] conducted CO2 expansion experiments on typical well oil samples, established a numerical simulation model for CO2 water–gas alternation injection in a five point well network, and studied the production dynamic laws. The results show that CO2 water–gas alternation injection can maintain stable production for a long period of time, with significantly higher daily oil production and recovery rate than water injection and significantly improve the recovery effect of ultra-low permeability reservoirs; CO2 water–gas alternation injection can effectively supplement the energy of the formation and improve the displacement effect. When the injection timing is earlier, the water to CO2 ratio is 1:1, and the alternation period is 8 months, CO2–water–gas alternation injection can achieve better development results. The understanding obtained from the research has a guiding significance for improving the mining efficiency of DC blocks. Huang Ronggui et al. [39] selected Bohai oilfield as the pilot test area for water–gas alternation injection. Indoor experiments and numerical simulations have shown that the recovery rate of nitrogen–water alternate injection is 11% to 12.6% higher than that of pure water injection. Norsk Hydro conducted water–gas alternation injection oil displacement experiments in the Oseberg oilfield in the North Sea. However, the water–gas alternation project is greatly affected by oil prices. Currently, with the decrease in oil prices, the water–gas alternation injection project has gradually gained attention and entered a rapid development track [40].
Overall, water–gas alternating injection (WAG) can effectively improve reservoir recovery. Research has shown that the key to improving the ultimate recovery rate of low-permeability reservoirs by alternating water and gas injection is to do a good job in the early water injection of low-permeability reservoirs. The problem of the difficulties in converting water injection into gas injection is currently the focus of research, as the relative fluidity of gas–water or alternating water–gas injection is reduced by 1–2 times compared to pure water injection or gas injection.
5. Fracturing Oil Displacement
Fracturing oil displacement fractures rocks by high-pressure fluid to improve reservoir permeability. The advantage is to significantly improve the production of low-permeability reservoirs, which can be combined with other EOR technologies. The disadvantage is that it may cause environmental problems, such as groundwater pollution, high cost and complex technical requirements [9].
5.1. Hydraulic Fracturing
Conventional production of low-permeability reservoirs is low, but hydraulic fracturing can increase production, while repeated fracturing increases recovery by injecting sealants and opening new fractures.
The low-permeability and low-pressure characteristics of oil reservoirs result in lower natural productivity when using conventional production methods, and higher productivity can only be achieved through fracturing. Hydraulic fracturing is the process of injecting high-viscosity liquid into an oil well using a surface high-pressure pump unit at a flow rate far exceeding the absorption capacity of the formation. The pressure near the bottom of the well exceeds the stress and rock tensile strength near the wellbore, forming fractures in the formation. Injecting a liquid with a proppant into the fracture forms sand-filled fractures with a certain height and width, allowing oil and gas to flow smoothly into the well and achieve the goal of increasing production.
Liu Wenchao et al. [41] conducted numerical simulation studies on low-permeability reservoirs, and the results showed that the fracturing injection production well network under Darcy flow mode is closer to piston-type water injection, with good water injection effect and high oil displacement efficiency. The fracturing injection production well network with a starting pressure gradient has a large oil-water two-phase mixed seepage zone, which belongs to a typical non-piston water drive oil, with poor water injection effect and low oil drive efficiency. D. N. MechaIl et al. [42] also used numerical simulation methods to study the relationship between the production performance of gas wells and the heterogeneity of fractured gas wells. The results indicate that well spacing and hydraulic fracture length are the main influencing factors on the development status of low-permeability heterogeneous gas reservoirs. After optimizing the seam length and well spacing, the optimal well layout and fracturing construction plan are obtained. Knoplov and Zazovsky [43] used a two-dimensional two-phase reservoir numerical model to calculate the relationship between the production performance of oil wells, the number of fracturing wellheads, and the orientation of fractures in a linear (row) well injection production network. Zhou Fuchen et al. [44] conducted hydraulic fracturing on-site in low-permeability oil reservoirs, including Block 14, Block 629, and Block 74 in the Ci oil production area; this shows the changes in daily production capacity of oil wells as the length of the fracturing section increases. In the initial stage of production, the daily output of a single well is 5–15 tons, with some wells reaching over 20 tons. After implementing an optimized fracturing plan, the average daily oil production of the oil well is 4–5 tons, with a cumulative increase of 6.07 × 104 tons of oil and 2023 × 104/m3 of gas.
Fan Jianli et al. [45] determined the fracturing scale of the Shi 100 low-permeability reservoir through well-logging data analysis, core experiments, field testing, and three-dimensional finite element simulation. The optimal fracture length range is about 0.2–0.3 times the well spacing, and the fracture conductivity is about 50 μm2·m. Two well groups, namely North History 8-107 and History 3-8-11, along with their corresponding oil wells, and five out of eight oil wells along the front line, naturally showed short-term effects, with an average fracturing time of five months. The daily liquid production before the effect increased from 82 tons to 149 tons after the effect, and the cumulative juice injection production ratio of the well group increased from 0.3 to 0.47. Other oil wells also showed results on land.
The effect of hydraulic fracturing on increasing production and oil displacement is considerable, and the fractures after fracturing also solve the low yield problem caused by bottom-hole pollution. However, the author found that during the development process, when the local energy is not replenished on time, the energy of the oil well quickly decreases, and the determination of the fracturing time will significantly affect the production effect.
5.2. Repeated Fracturing
The repeated fracturing technology uses the injection of sealing agents into old cracks, which can effectively seal a certain length of the crack. Then, because of the unsealed old crack surface, new cracks are pressed and opened, and a new crack oil release system is constructed, which has achieved a good production increase effect and attracted much attention from researchers.
Sun Jianbo et al. [46] optimized the development of Zhongyuan oilfield in low- to ultra-low permeability reservoirs. During repeated fracturing, the average sand-to-fluid ratio was increased to over 30%, the highest sand-to-fluid ratio was increased from 50% to 60%, and the fracture length was 120 to 170 m by expanding the fracturing scale. After compression, by forcibly closing, the fracturing fluid undergoes rapid backflow, greatly reducing the residence time of external fluids in the formation. According to the data obtained from simulation experiments, implementing on-site repeated fracturing for oil recovery at this fracture length significantly increases the sweeping efficiency and production capacity of the oil well. Afterward, He Dongxu [47] proposed and researched the formation of hydraulic fracturing technology using infiltration fluid as an auxiliary fluid. By adding infiltration fluid, the displacement efficiency, infiltration rate, and recovery rate of infiltration fluid can be significantly improved. After the infiltration fluid mass fraction increases to 0.5%, the improvement effect slows down. In 2021, the infiltration fluid-assisted repeated fracturing technology was implemented 5 times on site and compared with five conventional repeated fracturing wells in the same block, the cumulative annual oil production increased by 5451 tons.
The Lucaogou Formation reservoir of Jimsar shale oil in Xinjiang oilfield branch is characterized by low porosity and permeability, undeveloped edge and bottom water, thin oil layer with developed bedding planes, and thick oil quality. There is a lack of effective technology for the repeated fracturing transformation of naked eye packer completion horizontal wells. In response to the above issues, Xie Junhui et al. [48] conducted research on multi-stage temporary plugging and repeated fracturing technology. Through experimental research on the key technology influencing temporary plugging agent, it was found that temporary plugging agent A has advantages such as compressive strength of over 60 MPa and dissolution rate of less than 3% within 6 days. The selected temporary plugging agent A has shown good results in the field test of the repeated fracturing process. After implementing well pressure in the typical well Ji XXX H, the daily oil production of self-injection is 47.5 tons. This technology breaks the traditional view that horizontal wells with naked eye packers cannot undergo repeated fracturing and provides reference for similar reservoirs and processes at home and abroad.
Overall, repeated fracturing has been effective in transforming old oil areas and increasing production, while also being important in the development of new oil fields and has always been a focus of exploration for researchers.
6. Conclusions
Currently, internationally, reservoirs with permeability ranging from 0.1 × 10‒3 μm2 to 50 × 10‒3 μm2 are defined as low-permeability reservoirs. This article comprehensively reviews the development status and various recovery technologies of low-permeability reservoirs in recent years. Technologies like carbon dioxide injection, nitrogen injection, air injection, natural gas injection, water injection (including unstable and advanced water injection), water–gas alternating injection, and hydraulic fracturing (including hydraulic and repeated fracturing) have been widely used but each has its limitations and corresponding solutions. For instance, carbon dioxide injection can boost recovery rates as seen in the Yaoyingtai oilfield but has corrosion and gas channeling issues; nitrogen injection has shown production-increasing effects in the Zhongyuan oilfield but is limited by solubility; air injection in Changqing oilfield has a certain recovery rate under specific conditions but is affected by temperature and pressure; natural gas injection in the Yushulin oilfield has an optimal effect at a certain pressure but is restricted by the reservoir structure; unstable water injection improves oil displacement efficiency in some reservoirs but has unstable initial production; advanced water injection benefits oilfields like Sulun Nur but has difficulty in determining the injection timing; water–gas alternating injection has potential in enhancing recovery rates but has challenges in switching from water to gas injection; hydraulic fracturing can increase production in low-permeability reservoirs but faces energy and time-related problems; and repeated fracturing is effective in some oilfields but has limitations in special reservoirs. Although these technologies have achieved results, there are still bottlenecks such as premature gas breakthrough in CO2 injection, difficulty in determining fracturing time, unstable initial production in unstable water injection, and timing issues in advanced water injection. Future research should focus on optimizing recovery technologies, developing precise mining technologies, reducing environmental impacts, and promoting multi-technology collaborative development to improve the overall development of low-permeability reservoirs.
Author Contributions
X.Z. was responsible for writing the initial draft of this paper, organizing the writing structure, and constructing the core discourse framework; X.Q. fully assisted the first author by providing many constructive revision suggestions for the initial draft, optimizing the logic and expression of this paper. All authors have read and agreed to the published version of the manuscript.
Funding
The National Natural Science Foundation of China (Grant No. 52474060)—Microscopic scale shale oil start-up mechanical mechanism.
Data Availability Statement
Not applicable.
Conflicts of Interest
The authors declare no conflicts of interest.
References
- Qi, Q. Research on Oil Recovery Technology for Low Permeability Oilfield Reservoirs. Chem. Des. Commun. 2019, 45, 49+81. [Google Scholar]
- Jiang, H.; Li, Z.; Zhong, T.; Qi, R.; Li, Y. The status of low-permeability oil and gas development in the world. China Pet. Enterp. 2009, 9, 56–57. [Google Scholar]
- Qigui, C. Fine Description and Development Evaluation Technology for Low-Permeability Sandstone Reservoirs; Petroleum Industry Press: Beijing, China, 2010. [Google Scholar]
- Wenzhi, Z.; Caineng, Z. Resource potential and development prospects of low permeability oil and gas reservoirs in China. Pet. Explor. Dev. 2015, 42, 1–10. [Google Scholar]
- Weiwei, W. Research Status of Low Permeability Reservoir Evaluation. China Chem. Ind. Trade 2015, 17, 201. [Google Scholar]
- Dan, W. Research on Technical and Economic Evaluation of Low Permeability Reservoir Reserve Development Process. Xi’an Univ. Pet. 2012. [Google Scholar]
- Bing, L.; Zhiming, C.; Yutong, C. A review of research and development status of low-permeability reservoirs. Inn. Mong. Petrochem. Ind. 2013, 1, 123–125. [Google Scholar]
- Qing’, G. An Experimental Study on CO2 Oil Displacement in Songnan Gas Field. J. Pet. Nat. Gas 2010, 32, 130–132. [Google Scholar]
- Alvarado, V.; Manrique, E. Enhanced Oil Recovery: An Overview. J. Pet. Technol. 2010, 62, 56–63. [Google Scholar]
- Liu, R.; Liu, H.; Li, X.; Li, J.; Pang, C. Research on CO2 injection technology to enhance oil recovery in ultra-low permeability shallow reservoirs of Yanchang Oilfield. J. Xi’an Petr. Univ. 2010, 25, 63–65. [Google Scholar]
- Ruilan, L. Study on the adaptability of CO2 injection in heavy oil reservoirs. Petr. Drill. Prod. Technol. 2004, 26, 67–73. [Google Scholar]
- Qin, L. Application of CO2 Miscible Injection on Gao 89-1 Low Permeability Reservoir. In Proceedings of the SPE Asia Pacific Oil and Gas Conference and Exhibition, Jakarta, Indonesia, 20–22 September 2022. [Google Scholar]
- Kun, C.; Zhen, Y.; Yan, L.; Lu, Z.-Q.; Wu, S.-L.; Chen, Z.-H.; Huang, Z.-M. Method for Preparation of High Melt Strength Polypropylene with Long Branch Chain Structure by Supercritical Reaction Extrusion. Appl. Polym. Sci. 2011, 121, 3384–3392. [Google Scholar]
- Mapleston, P. Polyurethanes, polyolefin elastomers, debut for footwear applications. Mod. Plast. Int. 1997, 27, 122. [Google Scholar]
- Liu, P.; Zhou, L.; Feng, P.; Zhao, Z.; Li, J. Research on Nitrogen Injection in Wei 42 Ultra Low Permeability Oil Reservoirs. J. Jianghan Petr. Inst. 2001, 23, 58–60. [Google Scholar]
- Zhao, Y.; Hong, L.; Jiang, S.; Yue, X.; Wei, H. Analysis of nitrogen injection characteristics in oil reservoirs after water injection. Oilfield Chem. 2013, 30, 376–379. [Google Scholar]
- Bo, R. Numerical simulation study on nitrogen injection to enhance oil recovery in ultra-low permeability reservoirs in northern Shaanxi. Xi’an Univ. Pet. 2012, 14–21. [Google Scholar]
- Cao, X.; Guo, P.; Yang, X. Prospect analysis of gas injection to enhance oil recovery in low-permeability reservoirs. Nat. Gas Ind. 2006, 26, 100–102. [Google Scholar]
- Wang, J.; Zhang, Y.; Liu, S. Experimental study on low-temperature oxidation reaction of light oil. Spec. Oil Gas Reserv. 2012, 19, 116–121. [Google Scholar]
- Jiang, Y.; Xia, J.; Liu, S. Mechanism of air injection for oil recovery in low-permeability reservoirs. Pet. Explor. Dev. 2010, 37, 471–476. [Google Scholar]
- Li, J.; Mehta, S.A.; Moore, R.G. New Insights into Oxidation Behaviors of Crude Oils. J. Can. Pet. Technol 2009, 48, 18–22. [Google Scholar] [CrossRef]
- Sarma, H.; Shyamol, D. Air Injection Potential in Kenmore Oilfield: A Screening Study Through Thermogravimetric and Calorimetric Analyses. In Proceedings of the SPE Middle East Oil and Gas Show and Conference, Manama, Bahrain, 15 March 2009; p. SPE-120595-MS. [Google Scholar]
- Li, M.; Zhang, Y.; Liu, X. Research on Natural Gas Injection in Yushulin Oilfield, Daqing. Nat. Gas Ind. 2006, 26, 84–86. [Google Scholar]
- Xianqiang, L.; Anwei, Q.; Youlin, R. Exploration of Natural Gas Injection in Ultra-Low Permeability Residual Oil Reservoirs. In Proceedings of the 6th Youth Academic Conference of the Chinese Petroleum Society; Heilongjiang Science and Technology Press: Harbin, China, 2009. [Google Scholar]
- Zhao, Y.; Li, Q.; Chen, D. Study on the adaptability of natural gas injection in low-permeability reservoirs. Block Oil Gas Field 2009, 16, 77–79. [Google Scholar]
- Xuesong, L. Feasibility analysis and supporting process research of natural gas injection in Block 88. Xi’an Univ. Pet. 2007, 35–41. [Google Scholar]
- Xia, Y. Summer rain Application of nitrogen injection in foreign oil fields. Petr. Drill. Prod. Technol. 1995, 17, 65–70. [Google Scholar]
- Zong, L.; Jin, P.; Yang, K. High pressure nitrogen miscible/immiscible injection enhances oil recovery. For. Oilfield Eng. 2005, 21. ISSN 1002-641X. [Google Scholar]
- Willhite, G.P. Waterinjection: A Comprehensive Guide; Society of Petroleum Engineers: Richardson, TX, USA, 1986. [Google Scholar]
- Guohui, Z. Experimental study on unstable water injection in low-permeability reservoirs. West. Explor. Eng. 2022, 34, 105–107+118. [Google Scholar]
- Yang, X.; Xie, Y.; Zhang, J. How to improve oil recovery in the X1 reservoir of Wuliwan. Petrochem. Appl. 2024, 43, 47–49. [Google Scholar]
- Xu, H. Effective Water Injection Development Test for Rolling Outward Expansion of Low-grade Reservoir. J. Phys. Conf. Ser. 2023, 2503, 012016. [Google Scholar] [CrossRef]
- An, N. Research on Dynamic Productivity Characteristics and Technical Optimization of Advanced Water Injection in Triassic Oil Reservoirs. Chem. Manag. 2023, 3, 90–92. [Google Scholar]
- Bo, Z.; Avi, H. Research and application of advanced water injection technology in low-permeability oil fields. China Pet. Chem. Ind. Stand. Qual. 2021, 41, 169–170. [Google Scholar]
- Zhu, S.; Wang, W.; Mao, J. Quantitative Study on Advanced Water Injection Technology Policy for Ultra-Low Permeability Reservoirs in Wu 410 Area of Wuqi Oilfield. In Proceedings of the 6th Ningxia Young Scientists Forum; Ningxia Hui Autonomous Region Science and Technology Association: Ningxia, China, 2010. [Google Scholar]
- Daofu, W. Development of Ultra-Low Permeability Oil Fields in the Ordos Basin; Petroleum Industry Press: Beijing, China, 2007; Volume 3. [Google Scholar]
- Zhou, X.; Liao, X.; Zhao, X. Experimental study on CO2 water gas alternation injection in ultra-low permeability reservoirs. J. Shaanxi Univ. Sci. Technol. 2016, 34, 120–124. [Google Scholar]
- Yu, C.; Xia, Z.; Ren, W. Research on the law of CO 2 water gas alternation driving in ultra-low permeability reservoirs. Petrochem. Appl. 2023, 42, 37–41. [Google Scholar]
- Huang, R.; Tang, X.; Huang, X. Pilot Experimental Study on Water Gas Alternating Composite Injection for Enhanced Oil Recovery in Bohai a Oilfield. Petrochem. Appl. 2016, 35, 28–32. [Google Scholar]
- Skauge, A.; Aarra, M.G.; Surgucher, L. Foam-Assisted WAG: Experience form the Snorre Field. In Proceedings of the SPE/DOE Improved Oil Recovery Symposium, Tulsa, OK, USA, 13 April 2002; p. SPE-75157-MS. [Google Scholar]
- Liu, W.; Yao, J.; Chen, Z. Numerical simulation study on reverse nine-point hydraulic fracturing injection production well network in low-permeability reservoirs considering the influence of dynamic boundaries. Petrochem. Appl. 2014, 14, 170–175. [Google Scholar]
- Settari, A. A New General Model of Fluid Loss in Hydraulic Fracturing. Soc. Pet. Eng. J. 1985, 25, 491–501. [Google Scholar] [CrossRef]
- Clark, P.E.; Barkat, O. Analysis of Fluid-Loss Data. SPE Prod. Eng. 1990, 5, 306–310. [Google Scholar] [CrossRef]
- Zhou, F.; Mou, Y.; Song, R. Research on Optimization of Hydraulic Fracturing Scheme for Ultra Low Permeability Oil Reservoirs. In Proceedings of the Advanced Seminar on New Technologies for Oil and Gas Drilling and Production in China, China Petroleum Society; Petroleum Institute: Daqing, China, 2006. [Google Scholar]
- Jianli, F. Research on Hydraulic Fracturing Technology for the Shishen 100 Fault Block. Neijiang Sci. Technol. 2006, 27, 155–156. [Google Scholar]
- Sun, J.; Yang, M.; Dai, J. Research and application of repeated fracturing mechanism in low-permeability reservoirs. Inn. Mong. Petrochem. 2004, 30, 158–159. [Google Scholar]
- Dongxu, H. Research and Application of Infiltration Fluid for Repeated Fracturing of Low Permeability Tight Oil Reservoirs. Petr. Nat. Gas Chem. Ind. 2023, 52, 99–103+109. [Google Scholar]
- Xie, J.; Wang, C.; Yin, H.; Tang, X.; Han, H.; Luo, S.; Li, X. Research and application of repeated fracturing technology for old shale oil wells in Jimsar. Petr. Nat. Gas Chem. Ind. 2021, 50, 100–103. [Google Scholar]
Disclaimer/Publisher’s Note: The statements, opinions and data contained in all publications are solely those of the individual author(s) and contributor(s) and not of MDPI and/or the editor(s). MDPI and/or the editor(s) disclaim responsibility for any injury to people or property resulting from any ideas, methods, instructions or products referred to in the content. |
© 2025 by the authors. Licensee MDPI, Basel, Switzerland. This article is an open access article distributed under the terms and conditions of the Creative Commons Attribution (CC BY) license (https://creativecommons.org/licenses/by/4.0/).



