Impact of Drying Method and Solvent Extraction on Ethiopian Verbascum sinaiticum (Qetetina) Leaves: Metabolite Profiling and Evaluation of Antioxidant Capacity
Abstract
1. Introduction
2. Materials and Methods
2.1. Raw Material
2.2. Chemicals and Reagents
2.3. Drying Methods for V. sinaiticum Plant Leaves
2.4. Fourier Transform Infrared Spectroscopy (FTIR)
2.5. Extraction of V. sinaiticum Leaves
2.6. Determination of Total Polyphenol Content (TPC) and Total Flavonoids Content (TFC)
2.7. Antioxidant Capacity Determination DPPH and ABTS•+ Radical Scavenging
2.8. Metabolite Profiling by UHPLC-ESI-QTOF-MS/MS
2.9. Determination of Color Analysis Using Spectroscopy
2.10. Statistical Analysis
3. Results
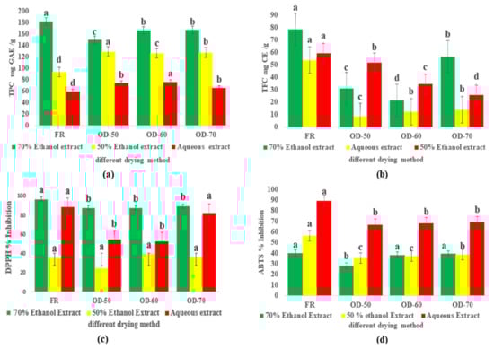
3.1. Extraction Yield, Total Phenolic, Total Flavonoids, Antioxidant Capacity and Correlation
3.2. Color
3.3. Identification of Functional Groups
3.4. Phytochemical Profiling of the Bioactive Extract
4. Discussion
4.1. Effects of Extraction Conditions on the Extract Solvents on Yield, TPC, and TFC
4.2. Effects of Drying Methods and Extraction Solvent on Antioxidant Capacity
4.3. Effects of Drying Methods on Color of V. sinaiticum Leaves
4.4. Effects of Drying Type on Functional Active Compounds
4.5. Metabolite Profile of V. sinaiticum by UHPLC-ESI-QTOF-MS/MS
5. Conclusions
Author Contributions
Funding
Data Availability Statement
Acknowledgments
Conflicts of Interest
Abbreviations
| ABTS | 2-azino-bis 3-ethylbenzeothiazoline-6-sulfonic acid diammonium salt |
| ACN | Acetonitrile |
| CE | Catechin Equivalent |
| DPPH | 2,2,-diphenyl-1-picrylhydrazyl |
| EtOH | Ethanol |
| F | Fresh leaves |
| FBD | Fluidized bed dryer |
| FR | freeze dryer |
| GAE | Gallic acid Equivalent |
| MC | moisture content |
| Mg CE/g D | Milligram Cathechin Equivalent Per gram Dry Extract |
| Mg GE/g D | Milligram Gallic Acid Equivalent Per gram Dry Extract |
| OD | Oven dryer: OD 50/60/70- at 50 °C, 60 °C and 70 °C |
| TFC | Total Flavonoid Content |
| TPC | Total Phenolic Content |
| UPHLC-QTOF MS/MS | ultra-high-performance liquid chromatography quadrupole time of flight mass spectroscopy |
| V. sinaiticum | Verbascum sinaiticum |
References
- Sepahpour, S.; Selamat, J.; Abdul Manap, M.Y.; Khatib, A.; Abdull Razis, A.F. Comparative analysis of chemical composition, antioxidant activity and quantitative characterization of some phenolic compounds in selected herbs and spices in different solvent extraction systems. Molecules 2018, 23, 402. [Google Scholar] [CrossRef] [PubMed]
- Shahbaz, F.; Akhter, N.; Shahid, M.; Riaz, M.; Anjum, F.; Hussain, F. Ultrasound assisted extraction and characterization of bioactives from Verbascum thapsus roots to evaluate their antioxidant and medicinal potential. Dose-Response 2022, 20, 15593258221097665. [Google Scholar] [CrossRef] [PubMed]
- Dadi, D.W.; Emire, S.A.; Hagos, A.D.; Assamo, F.T. Influences of different drying methods and extraction solvents on total phenolic and flavonoids, and antioxidant capacity of Moringa stenopetala leaves. J. Pharmacogn. Phytochem. 2018, 7, 962–967. [Google Scholar]
- Nguyen, V.T.; Van Vuong, Q.; Bowyer, M.C.; Van Altena, I.A.; Scarlett, C.J. Effects of different drying methods on bioactive compound yield and antioxidant capacity of Phyllanthus amarus. Dry. Technol. 2015, 33, 1006–1017. [Google Scholar] [CrossRef]
- Legesse, A.B.; Emire, S.A.; Tadesse, M.G.; Dadi, D.W.; Kassa, S.K.; Oyinloye, T.M.; Yoon, W.B. Optimization of Ultrasound-Assisted Extraction of Verbascum sinaiticum Leaves: Maximal Phenolic Yield and Antioxidant Capacity. Foods 2024, 13, 1255. [Google Scholar] [CrossRef] [PubMed]
- Azmir, J.; Zaidul, I.S.M.; Rahman, M.M.; Sharif, K.M.; Mohamed, A.; Sahena, F.; Jahurul, M.H.A.; Ghafoor, K.; Norulaini, N.A.N.; Omar, A.K.M. Techniques for extraction of bioactive compounds from plant materials: A review. J. Food Eng. 2013, 117, 426–436. [Google Scholar] [CrossRef]
- Rabeta, M.S.; Vithyia, M. Effect of different drying methods on the antioxidant properties of Vitex negundo Linn. tea. Int. Food Res. J. 2013, 20, 3171. [Google Scholar]
- Anwar, F.; Kalsoom, U.; Sultana, B.; Mushtaq, M.; Mehmood, T.; Arshad, H.A. Effect of drying method and extraction solvent on the total phenolics and antioxidant activity of cauliflower (Brassica oleracea L.) extracts. Int. Food Res. J. 2013, 20, 653. [Google Scholar]
- Lulseged, K.; Akele, M.Z.; Abiye, A.A.; Abebe, B.; Assefa Huluka, S. Wound healing and antioxidant properties of 80% methanol leaf extract of Verbascum sinaiticum (scrophulariaceae): An Ethiopian medicinal plant. Evid.-Based Complement. Altern. Med. 2022, 2022, 9836773. [Google Scholar] [CrossRef] [PubMed]
- Lulekal, E.; Asfaw, Z.; Kelbessa, E.; Van Damme, P. Ethnomedicinal study of plants used for human ailments in Ankober District, North Shewa Zone, Amhara region, Ethiopia. J. Ethnobiol. Ethnomed. 2013, 9, 63. [Google Scholar] [CrossRef]
- Mergia, E.; Shibeshi, W.; Terefe, G.; Teklehaymanot, T. Phytochemical screening and in vitro antitrypanosomal activity of aqueous and methanol leaf extract of Verbascum sinaiticum (scrophulariaceae) against trypanosoma congolense field isolate. Lab. Anim. 2014, 45, 46. [Google Scholar]
- Afifi, M.S.; Ahmed, M.M.; Pezzuto, J.M.; Kinghornt, A.D. Cytotoxic flavonolignans and flavones from Verbascum sinaiticum leaves. Phytochemistry 1993, 34, 839–841. [Google Scholar] [CrossRef]
- Bileflimi, V.T.K. Chemical constituents of Verbascum L. species. Fabad. J. Pharm. Sci. 2004, 29, 93–107. [Google Scholar]
- Gondal, H.Y.; Zamir, R.; Nisar, M.; Choudhary, M.I. Verbascum sinaiticum: A rich source of antioxidant phenylethanoid glycosides. Nat. Prod. J. 2020, 10, 158–162. [Google Scholar] [CrossRef]
- Mergia, E.; Shibeshi, W.; Terefe, G.; Teklehaymanot, T. Antitrypanosomal activity of Verbascum sinaiticum Benth. (Scrophulariaceae) against Trypanosoma congolense isolates. BMC Complement. Altern. Med. 2016, 16, 362. [Google Scholar] [CrossRef] [PubMed]
- Asefa, M.; Teshome, N.; Degu, A. Anti-inflammatory and analgesic activity of methanolic root extract of Verbascum sinaiticum benth. J. Inflamm. Res. 2022, 15, 6381–6392. [Google Scholar] [CrossRef] [PubMed]
- Geyesa, J.M.; Esho, T.B.; Legesse, B.A.; Wotango, A.S. Antibacterial and antioxidant potential analysis of Verbascum sinaiticum leaf extract and its synthesized silver nanoparticles. Heliyon 2024, 10, e24215. [Google Scholar] [CrossRef] [PubMed]
- Mihailović, V.; Kreft, S.; Benković, E.T.; Ivanović, N.; Stanković, M.S. Chemical profile, antioxidant activity and stability in stimulated gastrointestinal tract model system of three Verbascum species. Ind. Crops Prod. 2016, 89, 141–151. [Google Scholar] [CrossRef]
- Dereje, B.; Nardos, A.; Abdela, J.; Terefe, L.; Arega, M.; Yilma, T.M.; Tesfaye, T. Antidiabetic Activities of 80% Methanol Extract and Solvent Fractions of Verbascum sinaiticum Benth (Scrophulariaceae) Leaves in Mice. J. Exp. Pharmacol. 2023, 15, 423–436. [Google Scholar] [CrossRef] [PubMed]
- Yeabyo, S.; Zenebe Teka, M.; Gopalakrishnan, V.K.; Hagos, Z.; Krishna Chaithanya, K. Antibacterial activity of root extracts of Verbascum sinaiticum against multidrug-resistant Enterobacteriaceae family Gram-negative and two Gram-positive bacteria. Drug Invent. Today 2018, 10, 8. [Google Scholar]
- Kefalew, A.; Asfaw, Z.; Kelbessa, E. Ethnobotany of medicinal plants in Ada’a District, East Shewa Zone of Oromia regional state, Ethiopia. J. Ethnobiol. Ethnomed. 2015, 11, 25. [Google Scholar] [CrossRef] [PubMed]
- Teklehaymanot, T. Ethnobotanical study of knowledge and medicinal plants use by the people in Dek Island in Ethiopia. J. Ethnopharmacol. 2009, 124, 69–78. [Google Scholar] [CrossRef]
- Nigussie, D.; Davey, G.; Tufa, T.B.; Brewster, M.; Legesse, B.A.; Fekadu, A.; Makonnen, E. Antibacterial and antifungal activities of Ethiopian medicinal plants: A systematic review. Front. Pharmacol. 2021, 12, 633921. [Google Scholar] [CrossRef] [PubMed]
- Yagi, S.; Nilofar, N.; Uba, A.I.; Caprioli, G.; Mustafa, A.M.; Angeloni, S.; Koyuncu, I.; Seker, F.; Polat, R.; Supti, S.J.; et al. Elucidating the chemical profile and biological studies of Verbascum diversifolium Hochst. extracts. Front. Pharmacol. 2024, 15, 1333865. [Google Scholar] [CrossRef]
- Tegegn, G.; Melaku, Y.; Aliye, M.; Abebe, A.; Abdissa, N.; Meresa, A.; Degu, S.; Hunsen, M.; Hussein, A.A.; Endale, M. In vitro antimicrobial and antioxidant activities, essential oil composition, and in silico molecular modeling analysis of secondary metabolites from roots of Verbascum sinaiticum. Z. Naturforsch. C 2024, 79. [Google Scholar] [CrossRef] [PubMed]
- Singleton, V.L.; Orthofer, R.; Lamuela-Raventós, R.M. Analysis of total phenols and other oxidation substrates and antioxidants by means of folin-ciocalteu reagent. Methods Enzymol. 1999, 299, 152–178. [Google Scholar]
- Wen, Y.; Liu, M.; Mai, X. Optimisation of ultrasonic-assisted extraction and biological activity of total flavonoids from leaves of using response surface methodology. Folia Hortic. 2023, 35, 135–148. [Google Scholar] [CrossRef]
- Brand-Williams, W. Use of a free radical method to evaluate antioxidant activity. Food Sci. Technol 1999, 28, 1231–1237. [Google Scholar] [CrossRef]
- Floegel, A.; Kim, D.O.; Chung, S.J.; Koo, S.I.; Chun, O.K. Comparison of ABTS/DPPH assays to measure antioxidant capacity in popular antioxidant-rich US foods. J. Food Compos. Anal. 2011, 24, 1043–1048. [Google Scholar] [CrossRef]
- Dudonne, S.; Vitrac, X.; Coutiere, P.; Woillez, M.; Mérillon, J.M. Comparative study of antioxidant properties and total phenolic content of 30 plant extracts of industrial interest using DPPH, ABTS, FRAP, SOD, and ORAC assays. J. Agric. Food Chem. 2009, 57, 1768–1774. [Google Scholar] [CrossRef] [PubMed]
- Elshamy, S.; Handoussa, H.; El-Shazly, M.; Mohammed, E.D.; Kuhnert, N. Metabolomic profiling and quantification of polyphenols from leaves of seven Acacia species by UHPLC-QTOF-ESI-MS. Fitoterapia 2024, 172, 105741. [Google Scholar] [CrossRef] [PubMed]
- Kolniak-Ostek, J. Identification and quantification of polyphenolic compounds in ten pear cultivars by UPLC-PDA-Q/TOF-MS. J. Food Compos. Anal. 2016, 49, 65–77. [Google Scholar] [CrossRef]
- Idris, O.A.; Kerebba, N.; Horn, S.; Maboeta, M.S.; Pieters, R. Comparative phytochemistry using UPLC-ESI-QTOF-MS phenolic compounds profile of the water and aqueous ethanol extracts of Tagetes minuta and their cytotoxicity. S. Afr. J. Bot. 2024, 164, 50–65. [Google Scholar] [CrossRef]
- Wulf, D.M.; Wise, J.W. Measuring muscle color on beef carcasses using the L* a* b* color space. J. Anim. Sci. 1999, 77, 2418–2427. [Google Scholar] [CrossRef] [PubMed]
- Youssef, K.M.; Mokhtar, S.M. Effect of drying methods on the antioxidant capacity, color and phytochemicals of Portulaca oleracea L. leaves. J. Nutr. Food Sci. 2014, 4, 1. [Google Scholar] [CrossRef]
- Sarkhel, S.; Manvi, D.; Ct, R. Comparison of drying characteristics and quality of tender mulberry leaves (Morus alba) using five different drying methods. J. Med. Plants Stud. 2022, 10, 30–35. [Google Scholar] [CrossRef]
- Mohapatra, P.; Ray, A.; Jena, S.; Nayak, S.; Mohanty, S. Influence of various drying methods on physicochemical characteristics, antioxidant activity, and bioactive compounds in Centella asiatica L. leaves: A comparative study. Biotechnologia 2022, 103, 235. [Google Scholar] [CrossRef] [PubMed]
- Rengasamy, K.R.; Khan, H.; Gowrishankar, S.; Lagoa, R.J.; Mahomoodally, F.M.; Khan, Z.; Suroowan, S.; Tewari, D.; Zengin, G.; Hassan, S.T.; et al. The role of flavonoids in autoimmune diseases: Therapeutic updates. Pharmacol. Ther. 2019, 194, 107–131. [Google Scholar] [CrossRef]
- Sut, S.; Zengin, G.; Maggi, F.; Malagoli, M.; Dall’Acqua, S. Triterpene acid and phenolics from ancient apples of Friuli Venezia Giulia as nutraceutical ingredients: LC-MS study and in vitro activities. Molecules 2019, 24, 1109. [Google Scholar] [CrossRef] [PubMed]



| Drying Methods | 70% Ethanol | 50% Ethanol | Aqueous |
|---|---|---|---|
| Freeze drying | 25.85 ± 0.12 A | 24.80 ± 0.11 A | 21.73 ± 0.08 A |
| OD 50 °C | 22.19 ± 0.06 C | 18.10 ± 0.18 C | 18.47 ± 0.26 C |
| OD 60 °C | 24.10 ± 0.20 B | 19.62 ± 0.46 B | 18.77 ± 0.14 C |
| OD 70 °C | 19.94 ± 0.16 D | 20.26 ± 0.03 B | 21.07 ± 0.04 B |
| TPC | TFC | DPPH | ABTS | |
|---|---|---|---|---|
| TPC | 1 | |||
| TFC | 0.751218 | 1 | ||
| DPPH | 0.827154 | 0.908212 | 1 | |
| ABTS | 0.893289 | 0.532728 | 0.506128 | 1 |
| Drying Conditions | L* | a* | b* | ΔE |
|---|---|---|---|---|
| Fresh | 56.23 ± 0.36 A | −7.2 ± 0.05 C | 11.42 ± 0.07 A | 0 |
| FR | 54.22 ± 2.06 A | −5.89 ± 0.06 D | 17.79 ± 0.3 B | 7.24 ± 0.0.21 B |
| OD 50 °C | 42.49 ± 0.02 B | 5.36 ± 0.0.03 B | 3.23 ± 0.03 C | 20.10 ± 0.3 A |
| OD 60 °C | 46.52 ± 0.12 B | 5.24 ± 0007 B | 3.58 ± 0.1 C | 19.93 ± 0. 12 A |
| OD 70 °C | 43.82 ± 0.01 B | −4.01 ± 0.11 A | 3.47 ± 0.0.03 C | 19.16 ± 0.86 A |
| Peak No | RT (Min) | Molecular Weight | M + H or Other (m/z) | Formula | Identified Compound Name |
|---|---|---|---|---|---|
| 1 | 2.992 | 827.267 | 828.2747 | C30H52O26 | Verbascose |
| 2 | 3.002 | 666.22 | 667.21 | C24H42O21 | Sesamose |
| 3 | 3.075 | 504.169 | 522.2 | C18H32O16 | Umbelliferose |
| 4 | 3.945 | 362.0998 | 385.089 | C18H18O8 | 5,7,3′-Trihydroxy-6,4′,5′-trimethoxyflavanone |
| 5 | 5.482 | 624.134 | 625.1 | C27H28O17 | Kaempferol 3-glucuronide-7-glucoside |
| 6 | 6.558 | 162.032 | 163.039 | C9H6O3 | Umbelliferone |
| 7 | 8.294 | 290.079 | 291.0865 | C15H14O6 | Catechin |
| 8 | 10.546 | 610.156 | 611.2 | C27H30O16 | Myricetin 3-rhamnosyl-(1->2)-rhamnoside |
| 9 | 10.645 | 458.158 | 459.2 | C24H26O9 | 7-Hydroxy-5,4′-dimethoxy-8-methylisoflavone 7-O-rhamnoside |
| 10 | 11.049 | 624.2042 | 625.2 | C29H36O15 | Verbascoside |
| 11 | 11.694 | 492.163 | 493.2 | C24H28O11 | 4,2′-Dihydroxy-3,4′,6′-trimethoxychalcone 4-glucoside |
| 12 | 12.391 | 594.101 | 612.1 | C29H22O14 | Catechin 7,4′-di-O-gallate |
| 13 | 12.864 | 638.221 | 656.3 | C30H38O15 | 4′-Hydroxy-5,7,2′-trimethoxyflavanone 4′-rhamnosyl-(1->6)-glucoside |
| 14 | 13.02 | 288.1 | 289.1 | C16H16O5 | 7,2′-Dihydroxy-4′-methoxy-isoflavanol |
| 15 | 15.322 | 271.252 | 289.3 | C16H33NO2 | 2-amino-Hexadecanoic acid |
| 16 | 15.698 | 316.262 | 334.3 | C18H36O4 | 15,16-dihydroxy-octadecanoic acid |
| 17 | 16.905 | 420.251 | 438.3 | C24H36O6 | 6′β-Hydroxylovastatin |
| 18 | 17.089 | 396.1945 | 414.2276 | C24H28O5 | α-,4,2′-Trihydroxy-4-O-geranyldihydrochalcone |
| 19 | 18.994 | 372.324 | 390.4 | C22H44O4 | 13,14-dihydroxy-docosanoic acid |
| 20 | 27.542 | 276.209 | 277.2 | C18H28O2 | 3,7-octadecadiynoic acid |
| 21 | 29.568 | 620.153 | 643.1 | C32H28O13 | Apigenin 7-(3″-acetyl-6″-E-p-coumaroylglucoside) |
| 22 | 29.77 | 464.459 | 482.5 | C31H60O2 | Pentadecyl oleate |
| 23 | 30.172 | 576.127 | 577.1 | C30H24O12 | Proanthocyanidin A2 |
| 24 | 32.06 | 191.1313 | 192.1386 | C12H17NO | 2,3,4-Trimethyl-5-phenyloxazolidine |
| 25 | 33.581 | 252.2093 | 270.2432 | C16H28O2 | 8Z,10E-Tetradecadienyl acetate |
| 26 | 34.171 | 644.225 | 645.2 | C36H36O11 | 4′-O-Methylneobavaisoflavone 7-O-(2″-p-coumaroylglucoside) |
| 27 | 34.629 | 498.299 | 516.333 | C30H42O6 | Cucurbitacin S |
| 28 | 35.82 | 355.1097 | 356.1205 | C12H21NO11 | Chondrosine |
| 29 | 43.325 | 202.027 | 203.0 | C11H6O4 | 6-Hydroxyangelicin |
Disclaimer/Publisher’s Note: The statements, opinions and data contained in all publications are solely those of the individual author(s) and contributor(s) and not of MDPI and/or the editor(s). MDPI and/or the editor(s) disclaim responsibility for any injury to people or property resulting from any ideas, methods, instructions or products referred to in the content. |
© 2024 by the authors. Licensee MDPI, Basel, Switzerland. This article is an open access article distributed under the terms and conditions of the Creative Commons Attribution (CC BY) license (https://creativecommons.org/licenses/by/4.0/).
Share and Cite
Legesse, A.B.; Emire, S.A.; Dadi, D.W.; Tadesse, M.G.; Oyinloye, T.M.; Yoon, W.B. Impact of Drying Method and Solvent Extraction on Ethiopian Verbascum sinaiticum (Qetetina) Leaves: Metabolite Profiling and Evaluation of Antioxidant Capacity. Processes 2024, 12, 914. https://doi.org/10.3390/pr12050914
Legesse AB, Emire SA, Dadi DW, Tadesse MG, Oyinloye TM, Yoon WB. Impact of Drying Method and Solvent Extraction on Ethiopian Verbascum sinaiticum (Qetetina) Leaves: Metabolite Profiling and Evaluation of Antioxidant Capacity. Processes. 2024; 12(5):914. https://doi.org/10.3390/pr12050914
Chicago/Turabian StyleLegesse, Alemu Belay, Shimelis Admassu Emire, Debebe Worku Dadi, Minbale Gashu Tadesse, Timilehin Martins Oyinloye, and Won Byong Yoon. 2024. "Impact of Drying Method and Solvent Extraction on Ethiopian Verbascum sinaiticum (Qetetina) Leaves: Metabolite Profiling and Evaluation of Antioxidant Capacity" Processes 12, no. 5: 914. https://doi.org/10.3390/pr12050914
APA StyleLegesse, A. B., Emire, S. A., Dadi, D. W., Tadesse, M. G., Oyinloye, T. M., & Yoon, W. B. (2024). Impact of Drying Method and Solvent Extraction on Ethiopian Verbascum sinaiticum (Qetetina) Leaves: Metabolite Profiling and Evaluation of Antioxidant Capacity. Processes, 12(5), 914. https://doi.org/10.3390/pr12050914

