Metal-Exchanged Phosphomolybdic Acid Salts-Catalyzed Esterification of Levulinic Acid
Abstract
1. Introduction
2. Materials and Methods
2.1. Chemicals
2.2. Synthesis and Characterization of M3/xPMo12O40 (Mx+ = Fe3+, Al3+, Zn2+, Cu2+, Mn2+, Ni2+, and Co2+) Catalysts
2.3. Catalytic Runs
2.4. Products Identification
3. Results Discussion
3.1. Catalytic Tests
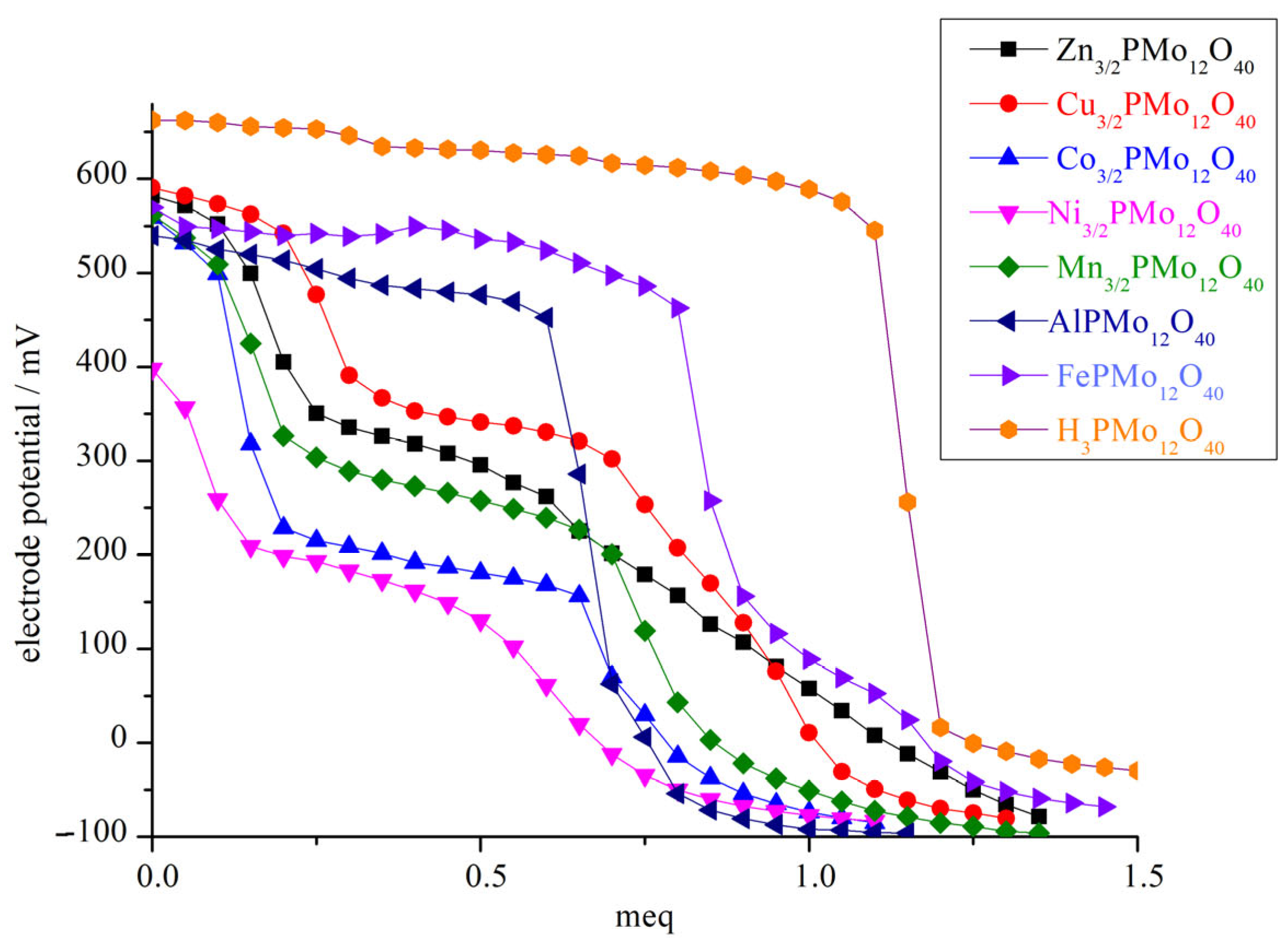
3.1.1. Effect of Metal Phosphomolybdate Catalyst
3.1.2. Mechanism Proposal of Levulinic Acid Esterification with Alkyl Alcohol Catalyzed by H+ Cations Generated by Hydrolysis of Metal Phosphomolybdates
3.1.3. Effect of Catalyst Load
3.1.4. Recyclability Tests
3.1.5. Effect of Temperature
3.1.6. Effect of Alcohol
4. Conclusions
Author Contributions
Funding
Data Availability Statement
Conflicts of Interest
References
- Ramos, M.; Dias, A.P.S.; Puna, J.F.; Gomes, J.; Bordado, J.C. Biodiesel Production Processes and Sustainable Raw Materials. Energies 2019, 12, 4408. [Google Scholar] [CrossRef]
- Pileidis, F.D.; Titirici, M. Levulinic Acid Biorefineries: New Challenges for Efficient Utilization of Biomass. ChemSusChem 2016, 9, 562–582. [Google Scholar] [CrossRef] [PubMed]
- Di Bucchianico, D.D.M.; Wang, Y.; Buvat, J.-C.; Pan, Y.; Casson Moreno, V.; Leveneur, S. Production of Levulinic Acid and Alkyl Levulinates: A Process Insight. Green Chem. 2022, 24, 614–646. [Google Scholar] [CrossRef]
- Werpy, T.; Petersen, G. Top Value Added Chemicals from Biomass: Volume I—Results of Screening for Potential Candidates from Sugars and Synthesis Gas; U.S. Department of Energy Office of Scientific and Technical Information: Golden, CO, USA, 2004. [Google Scholar] [CrossRef]
- Khan, M.A.; Dharmalingam, B.; Chuetor, S.; Cheng, Y.-S.; Sriariyanun, M. Comprehensive Review on Effective Conversion of Lignocellulosic Biomass to Levulinic Acid. In Biomass Conversion and Biorefinery; Springer: Berlin/Heidelberg, Germany, 2023. [Google Scholar] [CrossRef]
- Mthembu, L.D.; Gupta, R.; Deenadayalu, N. Advances in Biomass-Based Levulinic Acid Production. Waste Biomass Valorization 2023, 14, 1–22. [Google Scholar] [CrossRef]
- Victor, A.; Sharma, P.; Pulidindi, I.N.; Gedanken, A. Levulinic Acid Is a Key Strategic Chemical from Biomass. Catalysts 2022, 12, 909. [Google Scholar] [CrossRef]
- Girisuta, B.; Heeres, H.J. Production of Platform Chemicals from Sustainable Resources; Fang, Z., Smith, R.L., Jr., Qi, X., Eds.; Springer: Singapore, 2017; pp. 143–169. [Google Scholar]
- Ukawa-Sato, R.; Hirano, N.; Fushimi, C. Design and Techno–Economic Analysis of Levulinic Acid Production Process from Biomass by Using Co-Product Formic Acid as a Catalyst with Minimal Waste Generation. Chem. Eng. Res. Des. 2023, 192, 389–401. [Google Scholar] [CrossRef]
- Zhang, J.; Wu, S.; Li, B.; Zhang, H.D. Advances in the Catalytic Production of Valuable Levulinic Acid Derivatives. ChemCatChem 2012, 4, 1230–1237. [Google Scholar] [CrossRef]
- Yi, X.; Al-Shaal, M.G.; Ciptonugroho, W.; Delidovich, I.; Wang, X.; Palkovits, R. Synthesis of Butyl Levulinate Based on A-Angelica Lactone in the Presence of Easily Separable Heteropoly Acid Catalysts. ChemSusChem 2017, 10, 1494–1500. [Google Scholar] [CrossRef]
- Xu, W.; Chen, X.; Guo, H.; Li, H.; Zhang, H.; Xiong, L.; Chen, X. Conversion of Levulinic Acid to Valuable Chemicals: A Review. J. Chem. Technol. Biotechnol. 2021, 96, 3009–3024. [Google Scholar] [CrossRef]
- Démolis, A.; Essayem, N.; Rataboul, F. Synthesis and Applications of Alkyl Levulinates. ACS Sustain. Chem. Eng. 2014, 2, 1338–1352. [Google Scholar] [CrossRef]
- Lei, T.; Wang, Z.; Chang, X.; Lin, L.; Yan, X.; Sun, Y.; Shi, X.; He, X.; Zhu, J. Performance and Emission Characteristics of a Diesel Engine Running on Optimized Ethyl Levulinate–Biodiesel–Diesel Blends. Energy 2016, 95, 29–40. [Google Scholar] [CrossRef]
- Christensen, E.; Williams, A.; Paul, S.; Burton, S.; McCormick, R.L. Properties and Performance of Levulinate Esters as Diesel Blend Components. Energy Fuels 2011, 25, 5422–5428. [Google Scholar] [CrossRef]
- Yamanaka, N.; Shimazu, S. Conversion of Biomass-Derived Molecules into Alkyl Levulinates Using Heterogeneous Catalysts. Reactions 2023, 4, 667–678. [Google Scholar] [CrossRef]
- Galletti, A.M.R.; Antonetti, C.; Fulignati, S.; Licursi, D. Direct Alcoholysis of Carbohydrate Precursors and Real Cellulosic Biomasses to Alkyl Levulinates: A Critical Review. Catalysts 2020, 10, 1221. [Google Scholar] [CrossRef]
- Pinheiro, P.F.; Chaves, D.M.; Da Silva, M.J. One-Pot Synthesis of Alkyl Levulinates from Biomass Derivative Carbohydrates in Tin(II) Exchanged Silicotungstates-Catalyzed Reactions. Cellulose 2019, 26, 7953–7969. [Google Scholar] [CrossRef]
- Gan, J. Supply of biomass, bioenergy, and carbon mitigation: Method and application. Energy Policy 2007, 35, 6003–6009. [Google Scholar] [CrossRef]
- Zhang, Y.; Ju, Z.; Chen, X.; Lyu, Q.; Mei, J.; Han, L.; Liu, D.; Xiao, W. Understanding the Mechanism of Enhanced Alcoholysis of Biomass Carbohydrates to Alkyl Levulinates over Bifunctional Catalysts: Does It Resemble That in Water? Green Chem. 2023, 25, 5222–5232. [Google Scholar] [CrossRef]
- Kamm, B.; Gruber, P.R.; Kamm, M. (Eds.) Biorefineries-Industrial Processes and Products; Wiley: Weinheim, Germany, 2005. [Google Scholar] [CrossRef]
- Russo, V.; Hrobar, V.; Mäki-Arvela, P.; Eränen, K.; Sandelin, F.; Di Serio, M.; Salmi, T. Kinetics and Modelling of Levulinic Acid Esterification in Batch and Continuous Reactors. Top. Catal. 2018, 61, 1856–1865. [Google Scholar] [CrossRef]
- Liu, Y.; Lotero, E.; Goodwinjr, J. A Comparison of the Esterification of Acetic Acid with Methanol Using Heterogeneous versus Homogeneous Acid Catalysis. J. Catal. 2006, 242, 278–286. [Google Scholar] [CrossRef]
- Bringué, R.; Ramírez, E.; Iborra, M.; Tejero, J.; Cunill, F. Esterification of Furfuryl Alcohol to Butyl Levulinate over Ion-Exchange Resins. Fuel 2019, 257, 116010. [Google Scholar] [CrossRef]
- Nandiwale, K.Y.; Niphadkar, P.S.; Deshpande, S.S.; Bokade, V.V. Esterification of Renewable Levulinic Acid to Ethyl Levulinate Biodiesel Catalyzed by Highly Active and Reusable Desilicated H- ZSM-5. J. Chem. Technol. Biotechnol. 2014, 89, 1507–1515. [Google Scholar] [CrossRef]
- Song, D.; An, S.; Lu, B.; Guo, Y.; Leng, J. Arylsulfonic Acid Functionalized Hollow Mesoporous Carbon Spheres for Efficient Conversion of Levulinic Acid or Furfuryl Alcohol to Ethyl Levulinate. Appl. Catal. B 2015, 179, 445–457. [Google Scholar] [CrossRef]
- Cirujano, F.G.; Corma, A.; Llabrés i Xamena, F.X. Conversion of Levulinic Acid into Chemicals: Synthesis of Biomass Derived Levulinate Esters over Zr-Containing MOFs. Chem. Eng. Sci. 2015, 124, 52–60. [Google Scholar] [CrossRef]
- Fernandes, D.R.; Rocha, A.S.; Mai, E.F.; Mota, C.J.A.; Teixeira da Silva, V. Levulinic Acid Esterification with Ethanol to Ethyl Levulinate Production over Solid Acid Catalysts. Appl. Catal. A Gen. 2012, 425–426, 199–204. [Google Scholar] [CrossRef]
- Rocha, G.O.; Lopes, F.S. Esterification of Levulinic Acid over Tetravalent Metal Phosphates: An Efficient Route to Fuel Additives. Catal. Today 2024, 442, 114905. [Google Scholar] [CrossRef]
- Patel, A.; Morawala, D.; Lankapati, H.; Shah, B.; Maheria, K. Ti-ATMP Catalyzed Esterification of Levulinic Acid to Synthesize Butyl Ester. Mater. Today Proc. 2021, 35, A1–A8. [Google Scholar] [CrossRef]
- Fuchineco, D.A.B.; Heredia, A.C.; Mendoza, S.M.; Rodríguez-Castellón, E.; Crivello, M.E. Esterification of Levulinic Acid to Methyl Levulinate over Zr-MOFs Catalysts. ChemEngineering 2022, 6, 26. [Google Scholar] [CrossRef]
- Bhat, N.S.; Mal, S.S.; Dutta, S. Recent Advances in the Preparation of Levulinic Esters from Biomass-Derived Furanic and Levulinic Chemical Platforms Using Heteropoly Acid (HPA) Catalysts. Mol. Catal. 2021, 505, 111484. [Google Scholar] [CrossRef]
- Da Silva, M.J.; Rodrigues, A.A. Metal Silicotungstate Salts as Catalysts in Furfural Oxidation Reactions with Hydrogen Peroxide. Mol. Catal. 2020, 493, 111104. [Google Scholar] [CrossRef]
- Coronel, N.C.; Da Silva, M.J. Lacunar Keggin Heteropolyacid Salts: Soluble, Solid and Solid-Supported Catalysts. J. Clust. Sci. 2018, 29, 195–205. [Google Scholar] [CrossRef]
- Chaves, D.M.; Ferreira, S.O.; Chagas da Silva, R.; Natalino, R.; Da Silva, M.J. Glycerol Esterification over Sn(II)-Exchanged Keggin Heteropoly Salt Catalysts: Effect of Thermal Treatment Temperature. Energy Fuels 2019, 33, 7705–7716. [Google Scholar] [CrossRef]
- Costa, B.E.; Da Silva, A.O.S.; Meneghetti, S.M.P. Esterification of Levulinic Acid with Different Alcohols Using Mesoporous Stannosilicates as the Catalyst. ACS Omega 2024, 9, 31128–31135. [Google Scholar] [CrossRef] [PubMed]
- Rodrigues, A.A.; Da Silva, M.J.; Ferreira, S.O.; Da Silva, R.C.; Silva, T.A.; De Araújo, E.N.D. Assessment of the Metal Exchanged Phosphomolybdic Acid Salt-Catalyzed Nerol Oxidation Reactions with Hydrogen Peroxide. Mol. Catal. 2023, 545, 113221. [Google Scholar] [CrossRef]
- Cai, J.; Zhang, Q.; Wei, F.; Huang, J.; Feng, Y.; Ma, H.; Zhang, Y. Preparation of Copper (II) Containing Phosphomolybdic Acid Salt as Catalyst for the Synthesis of Biodiesel by Esterification. J. Oleo Sci. 2018, 67, 427–432. [Google Scholar] [CrossRef]
- Méndez, L.; Torviso, R.; Pizzio, L.; Blanco, M. 2-Methoxynaphthalene Acylation Using Aluminum or Copper Salts of Tungstophosphoric and Tungstosilicic Acids as Catalysts. Catal. Today 2011, 173, 32–37. [Google Scholar] [CrossRef]
- Da Silva, M.J.; De Oliveira, C.M. Catalysis by Keggin Heteropolyacid Salts. Curr. Catal. 2018, 7, 26–34. [Google Scholar] [CrossRef]
- Timofeeva, M.N. Acid Catalysis by Heteropoly Acids. Appl. Catal. A Gen. 2003, 256, 19–35. [Google Scholar] [CrossRef]
- Pizzio, L.R.; Vázquez, P.G.; Cáceres, C.V.; Blanco, M.N. Supported Keggin Type Heteropolycompounds for Ecofriendly Reactions. Appl. Catal. A Gen. 2003, 256, 125–139. [Google Scholar] [CrossRef]
- Da Silva, M.J.; Julio, A.A.; Mosqueira Ayala, D.A.; De Miranda, L.M.P. Fe(SO4)3-catalyzed synthesis of terpenic alcohols esters: A simple and bifunctional reusable solid catalyst. ChemistrySelect 2018, 3, 5742–5748. [Google Scholar] [CrossRef]














| Catalyst | pH Value b | Conversion c (%) |
|---|---|---|
| H3PMo12O40 | 0.53 | 98 |
| AlPMo12O40 | 0.55 | 98 |
| FePMo12O40 | 0.54 | 98 |
| Cu1.5PMo12O40 | 0.71 | 95 |
| Mn1.5PMo12O40 | 0.68 | 94 |
| Zn1.5PMo12O40 | 1.06 | 72 |
| Co1.5PMo12O40 | 0.75 | 69 |
| Ni1.5PMo12O40 | 1.03 | 66 |
| Cycle | Conversion/% | Selectivity/% | Recovery Rate/% |
|---|---|---|---|
| 1 | 100 | 100 | 98 |
| 2 | 98 | 98 | 94 |
| 3 | 97 | 97 | 94 |
| 4 | 96 | 97 | 95 |
Disclaimer/Publisher’s Note: The statements, opinions and data contained in all publications are solely those of the individual author(s) and contributor(s) and not of MDPI and/or the editor(s). MDPI and/or the editor(s) disclaim responsibility for any injury to people or property resulting from any ideas, methods, instructions or products referred to in the content. |
© 2024 by the authors. Licensee MDPI, Basel, Switzerland. This article is an open access article distributed under the terms and conditions of the Creative Commons Attribution (CC BY) license (https://creativecommons.org/licenses/by/4.0/).
Share and Cite
Silva, M.J.d.; Rodrigues, A.A.; Taba, W.K. Metal-Exchanged Phosphomolybdic Acid Salts-Catalyzed Esterification of Levulinic Acid. Processes 2024, 12, 2574. https://doi.org/10.3390/pr12112574
Silva MJd, Rodrigues AA, Taba WK. Metal-Exchanged Phosphomolybdic Acid Salts-Catalyzed Esterification of Levulinic Acid. Processes. 2024; 12(11):2574. https://doi.org/10.3390/pr12112574
Chicago/Turabian StyleSilva, Márcio José da, Alana Alves Rodrigues, and Wilton Keisuke Taba. 2024. "Metal-Exchanged Phosphomolybdic Acid Salts-Catalyzed Esterification of Levulinic Acid" Processes 12, no. 11: 2574. https://doi.org/10.3390/pr12112574
APA StyleSilva, M. J. d., Rodrigues, A. A., & Taba, W. K. (2024). Metal-Exchanged Phosphomolybdic Acid Salts-Catalyzed Esterification of Levulinic Acid. Processes, 12(11), 2574. https://doi.org/10.3390/pr12112574

